Study on the Effect of CeO2 on the Performance of WC + Ni60 Laser Cladding Coating
Abstract
1. Introduction
2. Experimental Materials, Methods, and Equipment
2.1. Materials
2.2. Equipment and Methods
3. Results and Analysis
3.1. Coating Morphology
3.2. Phase Analysis
3.3. Coated SEM and Energy Spectrum Analysis
3.4. Friction and Wear Analysis
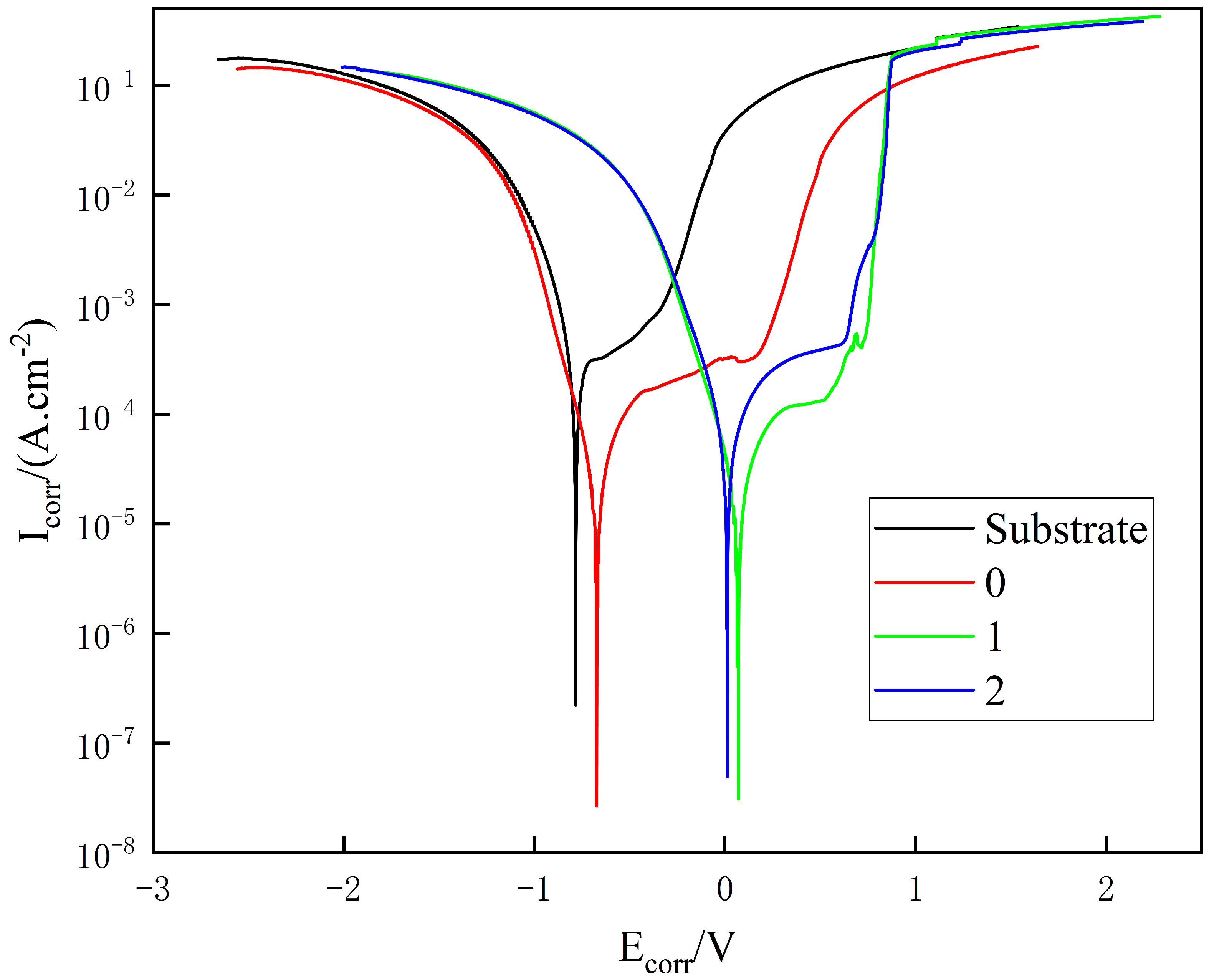
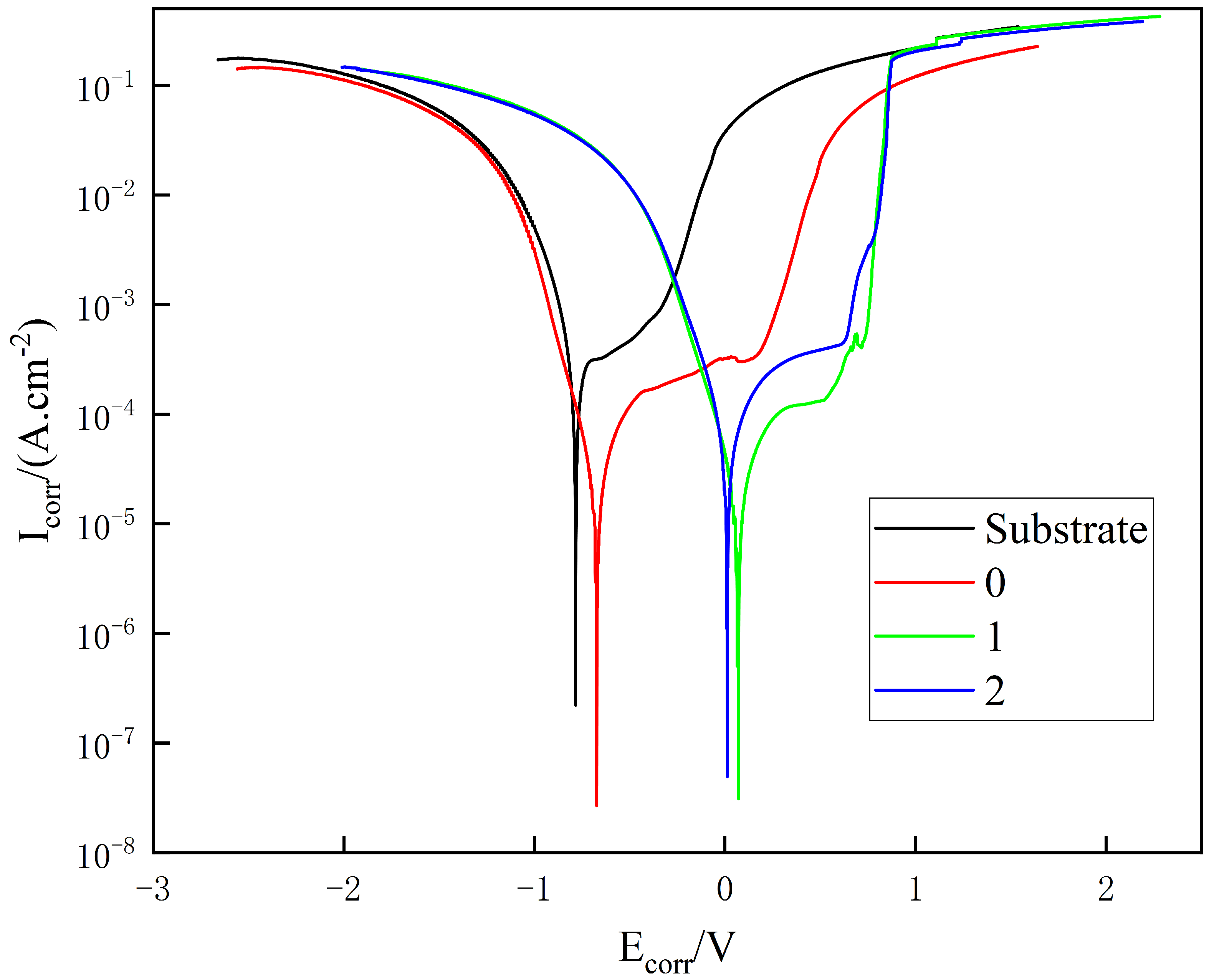
3.5. Corrosion Resistance Analysis
4. Conclusions
- The coating with 1% CeO2 has a lower coefficient of friction (0.47) and a lower amount of wear (0.034), which is 0.112 mm3 less than the coating without CeO2, showing the best wear resistance. A decrease in the coefficient of friction means that during the friction process, the friction between the coating surfaces decreases.
- The coating with 1% CeO2 has a self-corrosion potential of 0.07 V and a self-corrosion current density of 1.82 × 10−5 A·cm−2, showing the best corrosion resistance. The self-corrosion current density is significantly reduced, indicating that the corrosion resistance of the coating has been enhanced. In summary, coatings with 1% CeO2 exhibit significant advantages in terms of grain refinement, abrasion resistance, and corrosion resistance. This provides an important reference for the development of high-performance coating materials.
Author Contributions
Funding
Institutional Review Board Statement
Informed Consent Statement
Data Availability Statement
Conflicts of Interest
References
- John, M.; Kuruveri, U.B.; Menezes, P.L. Laser Cladding-Based Surface Modification of Carbon Steel and High-Alloy Steel for Extreme Condition Applications. Coatings 2022, 12, 1444. [Google Scholar] [CrossRef]
- Wu, T.; Shi, W.; Xie, L.; Gong, M.; Huang, J.; Xie, Y.; He, K. Study on the effect of Ni60 transition coating on microstructure and mechanical properties of Fe/WC composite coating by laser cladding. Opt. Laser Technol. 2023, 163, 109387. [Google Scholar] [CrossRef]
- Yang, H.; Li, W.; Liu, Y.; Li, F.; Yi, J.; Eckert, J. The Microstructure and Properties of Ni60/60% WC Wear-Resistant Coatings Prepared by Laser-Directed Energy Deposition. Micromachines 2024, 15, 1071. [Google Scholar] [CrossRef] [PubMed]
- Xu, S.; Han, K.; Wang, H.; Xi, Y.; Wang, L.; Dong, X. The Influence of Adding B4C and CeO2 on the Mechanical Properties of Laser Cladding Nickel-Based Coatings on the Surface of TC4 Titanium Alloy. Materials 2024, 17, 3823. [Google Scholar] [CrossRef]
- Xue, K.N.; Lu, H.F.; Luo, K.Y.; Cui, C.Y.; Yao, J.H.; Xing, F.; Lu, J.Z. Effects of Ni25 transitional layer on microstructural evolution and wear property of laser clad composite coating on H13 tool steel. Surf. Coat. Technol. 2020, 402, 126488. [Google Scholar] [CrossRef]
- Yang, C.; Jing, C.; Fu, T.; Lin, T.; Guo, W.; Liu, N. Effect of CeO2 on the microstructure and properties of AlCoCrFeNi2.1 laser cladding coatings. J. Alloys Compd. 2024, 976, 172948. [Google Scholar] [CrossRef]
- Xue, S.L.; Li, J.H.; Yao, F.P.; Yang, Y.H.; Li, X.X. Preparation and Structural Properties of Gradient Composite Coatings for Laser Cladding. Lasers Eng. (Old City Publ.) 2023, 54, 343. [Google Scholar]
- Li, D.; Cui, X.; Yuan, C.; Zhang, D.; Jin, G.; Zheng, W.; Yang, Y. Effect of Ni modified graphene on microstructure and properties of Ni60 composite coatings prepared by laser cladding. Opt. Laser Technol. 2021, 136, 106756. [Google Scholar] [CrossRef]
- Yang, L.; Li, B.; Yao, J.; Li, Z. Effects of diamond size on the deposition characteristic and tribological behavior of diamond/Ni60 composite coating prepared by supersonic laser deposition. Diam. Relat. Mater. 2015, 58, 139–148. [Google Scholar] [CrossRef]
- Chen, S.; Feng, A.; Chen, C.; Song, X. Research on the Process of Laser Cladding Ni60 Coating on High-Nickel Cast Iron Surfaces. Processes 2024, 12, 647. [Google Scholar] [CrossRef]
- Luo, J.; Gao, J.J.; Gou, S.W.; Li, Y.L.; Lin, H.X.; Wu, X.R.; Qi, S.Y. Study on microstructure and mechanical properties of Ni60+ WC/Ni35/AISI1040 functional surface gradient structure of remanufacturing chute plate for the mining scraper by a low cost high power CO2 laser cladding technique. Mater. Res. Express 2020, 7, 086521. [Google Scholar] [CrossRef]
- Lian, G.; Gao, W.; Chen, C.; Huang, X.; Feng, M. Review on hard particle reinforced laser cladding high-entropy alloy coatings. J. Mater. Res. Technol. 2024, 33, 1366–1405. [Google Scholar] [CrossRef]
- Wu, X.; Chen, J.; Huang, J.; Shi, W.; Wang, Q.; An, F.; Wu, J. Laser-Melted Wc/Ni-Based Coating Remelting Study on Q235 Steel Surface. Coatings 2024, 14, 1172. [Google Scholar] [CrossRef]
- Li, H.C.; Wang, D.G.; Chen, C.Z.; Weng, F. Effect of CeO2 and Y2O3 on microstructure, bioactivity and degradability of laser cladding CaO–SiO2 coating on titanium alloy. Colloids Surf. B Biointerfaces 2015, 127, 15–21. [Google Scholar] [CrossRef] [PubMed]
- Zhang, L.; Zhang, M.; Zhu, Z.; Gao, M.; Gao, J.; Guo, Z. Effects of nano-CeO2 on microstructure and properties of Ni625 alloy prepared by laser cladding. J. Alloys Compd. 2022, 918, 165571. [Google Scholar] [CrossRef]
- Xiang, D.; Wang, D.; Zheng, T.; Chen, Y. Effects of Rare Earths on Microstructure and Wear Resistance in Metal Additive Manufacturing: A Review. Coatings 2024, 14, 139. [Google Scholar] [CrossRef]
- Wei, X.; Rang, X.; Zhu, W.; Xiang, M.; Deng, Y.; Jiang, F.; Wang, F. Morphology effect of CeO2 on Ni/CeO2 catalysts for selective hydrogenation of cinnamaldehyde. Chem. Phys. 2021, 542, 111079. [Google Scholar] [CrossRef]
- Wang, X.; Zhou, S.; Dai, X.; Lei, J.; Guo, J.; Gu, Z.; Wang, T. Evaluation and mechanisms on heat damage of WC particles in Ni60/WC composite coatings by laser induction hybrid cladding. Int. J. Refract. Met. Hard Mater. 2017, 64, 234–241. [Google Scholar] [CrossRef]
- Zhang, Y.; Lou, L.; Xu, Q.; Li, Y.; Li, C.; Li, C. Microstructure and wear resistance of Ni-based WC coating by ultra-high speed laser cladding. Acta Met. Sin. 2020, 56, 1530–1540. [Google Scholar]
- Zhou, S.; Zeng, X.; Hu, Q.; Huang, Y. Analysis of crack behavior for Ni-based WC composite coatings by laser cladding and crack-free realization. Appl. Surf. Sci. 2008, 255, 1646–1653. [Google Scholar] [CrossRef]
- Zhao, S.; Yang, L.; Huang, Y.; Xu, S. A novel method to fabricate Ni/WC composite coatings by laser wire deposition: Processing characteristics, microstructural evolution and mechanical properties under different wire transfer modes. Addit. Manuf. 2021, 38, 101738. [Google Scholar] [CrossRef]
- Shen, X.; He, X.; Gao, L.; Su, G.; Xu, C.; Xu, N. Study on crack behavior of laser cladding ceramic-metal composite coating with high content of WC. Ceram. Int. 2022, 48, 17460–17470. [Google Scholar] [CrossRef]
- He, H.; Dai, J.; Yang, M. Effect of CeO2 on microstructures and properties of Ni60A laser cladding layer. Ordnance Mater. Sci. Eng. 2017, 40, 83–87. [Google Scholar]
- Li, Z.; Zhang, Y.; Shi, X.; Yin, B.; Song, D. Effect of CeO2 Addition on the Structure and Mechanical Properties of Laser-Selected Melted Tc4 Alloy. J. Mater. Eng. Perform. 2023. [Google Scholar] [CrossRef]
- Chen, L.; Zhao, Y.; Guan, C.; Yu, T. Effects of CeO2 addition on microstructure and properties of ceramics reinforced Fe-based coatings by laser cladding. Int. J. Adv. Manuf. Technol. 2021, 115, 2581–2593. [Google Scholar] [CrossRef]
- Alidokht, S.A.; Vo, P.; Yue, S.; Chromik, R.R. Cold spray deposition of Ni and WC-reinforced Ni matrix composite coatings. J. Therm. Spray Technol. 2017, 26, 1908–1921. [Google Scholar] [CrossRef]
- Raja, R.; Jannet, S.; Thankachan, T. Investigation of hybrid copper surface composite synthesized via FSP. Mater. Manuf. Process. 2021, 36, 1377–1383. [Google Scholar] [CrossRef]
- Gupta, P.; Ahamad, N.; Kumar, D.; Gupta, N.; Chaudhary, V.; Gupta, S.; Chaudhary, V. Synergetic effect of CeO2 doping on structural and tribological behavior of Fe-Al2O3 metal matrix nanocomposites. ECS J. Solid State Sci. Technol. 2022, 11, 117001. [Google Scholar] [CrossRef]
- Dadvand, M.; Savadogo, O. Highly corrosion and wear-resistant NiW–SiC–CeO2 composite coating. Can. Metall. Q. 2024, 63, 105–118. [Google Scholar] [CrossRef]
- Najar, F.A.; Rathee, S.; Srivastava, M.; Yadav, A. Tribological and corrosion behaviour of Al-Mg-CeO2 metal matrix surface composites. Tribol. Int. 2024, 194, 109508. [Google Scholar] [CrossRef]
- Li, M.; Zhang, J.; Mi, T.; Zheng, C.; Wu, D.; Chen, Z.; Yi, X. Improvement mechanism of Mo element on cracks, microstructure and properties of laser cladding WC-Ni60AA coating. Surf. Coat. Technol. 2024, 489, 131047. [Google Scholar] [CrossRef]
- Hu, Y.; Wang, Z.; Pang, M. Effect of WC content on laser cladding Ni-based coating on the surface of stainless steel. Mater. Today Commun. 2022, 31, 103357. [Google Scholar] [CrossRef]
- Fenker, M.; Balzer, M.; Kappl, H. Corrosion protection with hard coatings on steel: Past approaches and current research efforts. Surf. Coat. Technol. 2014, 257, 182–205. [Google Scholar] [CrossRef]
- Ralston, K.D.; Birbilis, N. Effect of grain size on corrosion: A review. Corrosion 2010, 66, 075005. [Google Scholar] [CrossRef]
- Munagala, V.N.V.; Wasekar, N.P.; Bathini, L.; Ramakrishna, L.; Sundararajan, G. Deciphering the role of W content, triple junctions, and heat treatment on the corrosion performance of Ni–W alloy coatings used for automotive applications. Mater. Chem. Phys. 2023, 308, 128305. [Google Scholar] [CrossRef]
- Wang, X.; Wan, X.; Liu, Y.; Zhu, Y.; Zhang, F.; Lv, S.; Du, Z. Failure mechanism of HR3C austenitic steel during creep at 650 °C. Fatigue Fract. Eng. Mater. Struct. 2023, 46, 2017–2022. [Google Scholar] [CrossRef]
- Liu, Z.; Lu, H.; Zhao, Z.; Zhu, Z.; Li, S. Influence of ultrasonic power modulation on the optimisation of aluminium alloy micro-arc oxidation coating properties. Appl. Surf. Sci. 2025, 679, 161067. [Google Scholar] [CrossRef]
- Tomlinson, W.J.; Talks, M.G. Erosion and corrosion of cast iron under cavitation conditions. Tribol. Int. 1991, 24, 67–75. [Google Scholar] [CrossRef]
- Jie, G.; Yan, S.; Kangning, W.; Qiang, S.; Canming, W. Effect of Fe content on microstructure and corrosion resistance of Ni-based alloy formed by laser cladding. Surf. Coat. Technol. 2022, 446, 128761. [Google Scholar] [CrossRef]








| Ni60 | WC | CeO2 |
|---|---|---|
| 75 | 25 | 0 |
| 74 | 25 | 1 |
| 73 | 25 | 2 |
| Element | C | Cr | B | Mn | Si | Fe | P | S | Ni |
|---|---|---|---|---|---|---|---|---|---|
| Ni60 | 0.8–1.2 | 14–16 | 3–3.5 | - | 3.5–4.0 | 14–15 | 0.02 | 0.02 | Bal |
| Q235 | 0.22 | - | - | 0.3–0.7 | 0.35 | Bal | 0.045 | 0.05 | - |
| Element | B | C | Si | Ce | Cr | Fe | Ni | W | |
|---|---|---|---|---|---|---|---|---|---|
| Spectrum A | Weight % | 0.54 | 2.12 | 0.41 | - | 10.78 | 18.07 | 41.11 | 26.43 |
| Atomic % | 3.09 | 10.88 | 0.89 | - | 12.8 | 19.98 | 43.24 | 8.88 | |
| Spectrum B | Weight % | 1.74 | 1.11 | 0.77 | 0.74 | 5.29 | 24.93 | 58.59 | 6.83 |
| Atomic % | 8.61 | 4.94 | 1.46 | 0.28 | 5.45 | 23.88 | 53.39 | 1.99 | |
| Spectrum C | Weight % | 1.33 | 3.27 | 0.64 | 0.55 | 14.22 | 15.79 | 34.12 | 30.09 |
| Atomic % | 7.16 | 15.78 | 1.32 | 0.23 | 15.87 | 16.41 | 33.73 | 9.5 | |
| Spectrum D | Weight % | 3.05 | 1.82 | 0.25 | 0.47 | 11.63 | 21.4 | 47 | 14.37 |
| Atomic % | 14.62 | 7.84 | 0.46 | 0.17 | 11.57 | 19.84 | 41.44 | 4.05 | |
| Spectrum E | Weight % | 0.39 | 2.26 | 0.4 | 0.55 | 14.12 | 11.41 | 30.5 | 40.37 |
| Atomic % | 2.45 | 12.94 | 0.98 | 0.27 | 18.63 | 14.02 | 35.64 | 15.07 | |
| Spectrum F | Weight % | 0.87 | 1.56 | 0.44 | 0.49 | 11.85 | 19.78 | 43.76 | 21.26 |
| Atomic % | 4.8 | 7.75 | 0.93 | 0.21 | 13.64 | 21.18 | 44.58 | 6.91 | |
| Sample | Base Metal | 0 | 1 | 2 |
|---|---|---|---|---|
| Ecorr/V | −0.78 | −0.67 | 0.07 | 0.01 |
| Icorr/(A·cm−2) | 5.81 × 10−4 | 2.87 × 10−5 | 1.82 × 10−5 | 8.01 × 10−5 |
Disclaimer/Publisher’s Note: The statements, opinions and data contained in all publications are solely those of the individual author(s) and contributor(s) and not of MDPI and/or the editor(s). MDPI and/or the editor(s) disclaim responsibility for any injury to people or property resulting from any ideas, methods, instructions or products referred to in the content. |
© 2025 by the authors. Licensee MDPI, Basel, Switzerland. This article is an open access article distributed under the terms and conditions of the Creative Commons Attribution (CC BY) license (https://creativecommons.org/licenses/by/4.0/).
Share and Cite
Wu, J.; Zhang, J.; Chen, D.; Huang, J.; Shi, W.; An, F.; Wu, X. Study on the Effect of CeO2 on the Performance of WC + Ni60 Laser Cladding Coating. Lubricants 2025, 13, 24. https://doi.org/10.3390/lubricants13010024
Wu J, Zhang J, Chen D, Huang J, Shi W, An F, Wu X. Study on the Effect of CeO2 on the Performance of WC + Ni60 Laser Cladding Coating. Lubricants. 2025; 13(1):24. https://doi.org/10.3390/lubricants13010024
Chicago/Turabian StyleWu, Jingquan, Jianwen Zhang, Dianlong Chen, Jiang Huang, Wenqing Shi, Fenju An, and Xianglin Wu. 2025. "Study on the Effect of CeO2 on the Performance of WC + Ni60 Laser Cladding Coating" Lubricants 13, no. 1: 24. https://doi.org/10.3390/lubricants13010024
APA StyleWu, J., Zhang, J., Chen, D., Huang, J., Shi, W., An, F., & Wu, X. (2025). Study on the Effect of CeO2 on the Performance of WC + Ni60 Laser Cladding Coating. Lubricants, 13(1), 24. https://doi.org/10.3390/lubricants13010024
