Effect of Cu-Doped Carbon Quantum Dot Dispersion Liquid on the Lubrication Performance of Polyethylene Glycol
Abstract
1. Introduction
2. Experimental
2.1. Preparation and Dispersion of Materials
2.1.1. Preparation of Copper-Doped CQDs Dispersion
2.1.2. The Mutual Solubility of Copper-Doped CQDs Dispersion with PEG200
2.2. Characterization of Physical and Chemical Properties of Cu-CQDs Particles in Dispersion Solution
2.3. Tribological Tests
3. Results and Discussion
3.1. Antifriction Property
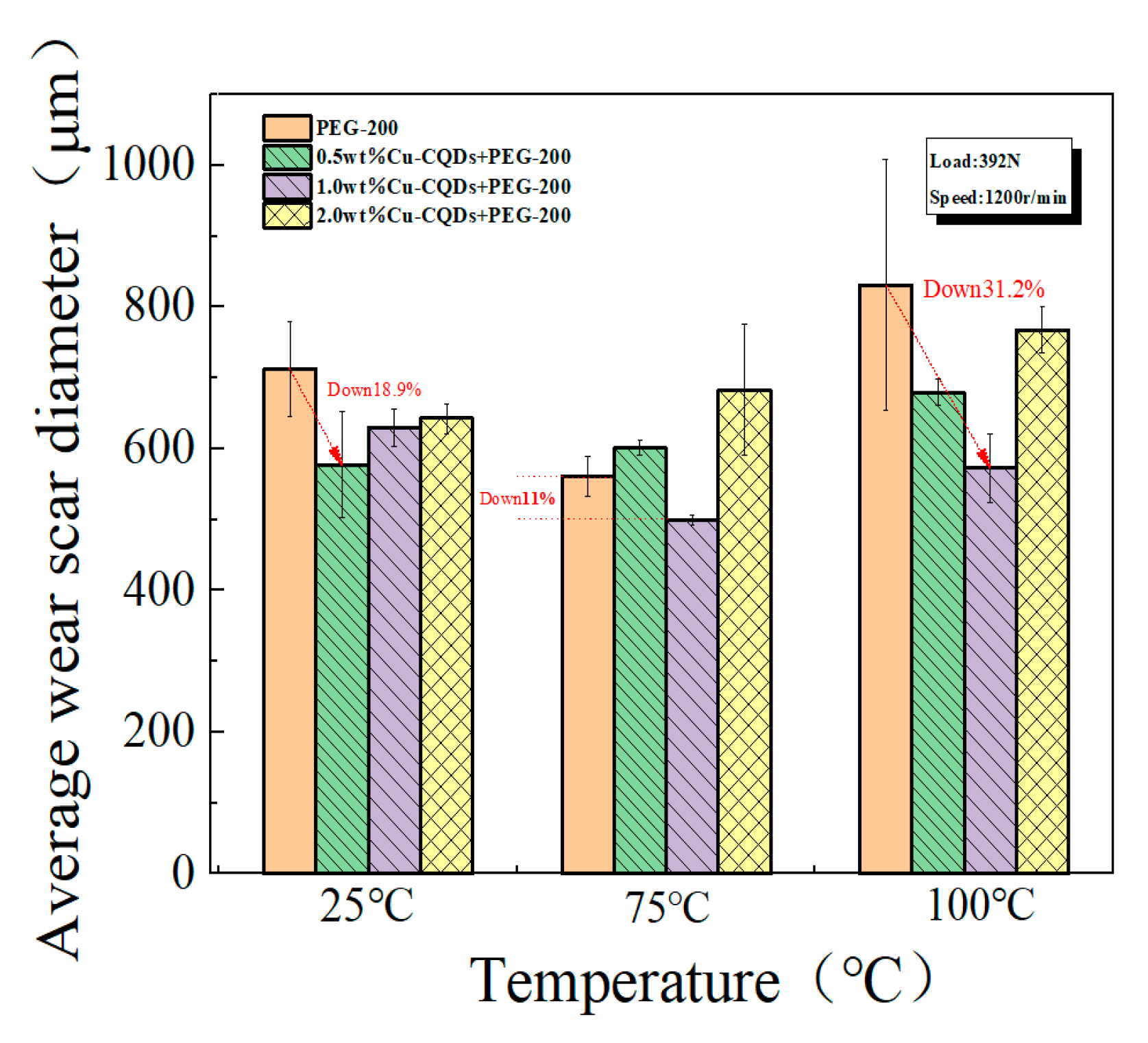
3.2. Abrasion Resistance Property
3.3. Surface Analysis
3.4. Analysis of Friction and Wear Mechanism
4. Conclusions
- (1)
- The average particle size of the synthesized Cu-CQDs in the dispersion solution is about 8.33 nm, which shows good dispersion in PEG200.
- (2)
- At the different test temperatures, the anti-wear and antifriction properties of PEG200 were significantly improved by adding 1.0 wt% Cu-CQDs dispersion.
- (3)
- The friction and wear mechanism of Cu-CQDs dispersion can be attributed to the boundary lubrication film including the components of Cu-CQDs, thus reducing the friction and wear of the friction pair.
Supplementary Materials
Author Contributions
Funding
Data Availability Statement
Acknowledgments
Conflicts of Interest
References
- Xue, Q.; Liu, W.; Zhang, Z. Friction and wear properties of a surface-modified TiO2 nanoparticle as an additive in liquid paraffin. Wear 1997, 213, 29–32. [Google Scholar] [CrossRef]
- Wang, B.; Qiu, F.; Barber, G.C.; Zou, Q.; Wang, J.; Guo, S.; Yuan, Y.; Jiang, Q. Role of nano-sized materials as lubricant additives in friction and wear reduction: A review. Wear 2022, 490, 204206. [Google Scholar] [CrossRef]
- Uflyand, I.E.; Zhinzhilo, V.A.; Burlakova, V.E. Metal-containing nanomaterials as lubricant additives: State-of-the-art and future development. Friction 2019, 7, 93–116. [Google Scholar] [CrossRef]
- Han, K.; Zhang, Y.; Song, N. The Current Situation and Future Direction of Nanoparticles Lubricant Additives in China. Lubricants 2022, 10, 312. [Google Scholar] [CrossRef]
- Zhang, Y. Energy efficiency techniques in machining process: A review. Int. J. Adv. Manuf. Technol. 2014, 71, 1123–1132. [Google Scholar]
- He, Q.; Liu, H.; Ye, J. Tribological properties of nano copper as N32 lubricating oil additive. Tribology 2010, 2, 145–149. (In Chinese) [Google Scholar]
- Qin, Y.; Wu, M.; Yang, Y.; Yang, Y.; Yang, G. Enhanced ability of halloysite nanotubes to form multilayer nanocrystalline tribofilms by thermal activation. Tribol. Int. 2022, 174, 107718. [Google Scholar] [CrossRef]
- Jiang, H.; Hou, X.; Ma, Y.A.; Su, D.; Qian, Y.; Ahmed Ali, M.K.; Dearn, K.D. The tribological performance evaluation of steel-steel contact surface lubricated by polyalphaolefins containing surfactant-modified hybrid MoS2/h-BN nano-additives. Wear 2022, 504–505, 204426. [Google Scholar] [CrossRef]
- Lahouij, I.; Vacher, L.; Martin, J.; Dassenoy, F. IF-MoS2 based lubricants: Influence of size, shape and crystal structure. Wear 2012, 296, 558–566. [Google Scholar] [CrossRef]
- Li, B.; Xia, Y.; Wang, X. Friction and wear properties of nano Cu in polyethylene glycol solution. Tribology 2005, 25, 385–389. (In Chinese) [Google Scholar]
- Zhu, S.; Song, Y.; Zhao, X. The photoluminescence mechanism in carbon dots (graphene quantum dots, carbon nanodots, and polymer dots): Current state and future perspective. Nano Res. 2015, 8, 355–381. [Google Scholar] [CrossRef]
- Yang, Z.; Li, Z.; Xu, M.; Ma, Y.; Zhang, J.; Su, Y. Controllable synthesis of fluorescent carbon dots and their detection application as nanoprobes. Nano-Micro Lett. 2013, 5, 247–259. [Google Scholar] [CrossRef]
- Kumar, V.B.; Sahu, A.K.; Rao, K.B.S. Development of Doped Carbon Quantum Dot-Based Nanomaterials for Lubricant Additive Applications. Lubricants 2022, 10, 144. [Google Scholar] [CrossRef]
- Tang, W.; Zhang, Z.; Li, Y. Application of carbon spot in lubrication field: A review. J. Mater. Sci. 2021, 56, 12061–12092. [Google Scholar] [CrossRef]
- Ma, W.; Gong, Z.; Gao, K. Superlubricity achieved by carbon quantum dots in ionic liquid. Mater. Lett. 2017, 195, 220–223. [Google Scholar] [CrossRef]
- Shang, W.; Cai, T.; Zhang, Y.; Liu, D.; Sun, L.; Su, X.; Liu, S. Covalent grafting of chelated othoborate ionic liquid on carbon quantum dot towards high performance additives: Synthesis, characterization and tribological evaluation. Tribol. Int. 2018, 121, 302–309. [Google Scholar] [CrossRef]
- Tang, J.; Chen, S.; Jia, Y.; Ma, Y.; Xie, H.; Quan, X.; Ding, Q. Carbon dots as an additive for improving performance in water-based lubricants for amorphous carbon (aC) coatings. Carbon 2020, 156, 272–281. [Google Scholar] [CrossRef]
- Hu, Y.; Wang, Y.; Wang, C.; Ye, Y.; Zhao, H.; Li, J.; Xue, Q. One-pot pyrolysis preparation of carbon dots as eco-friendly nano-additives of water-based lubricants. Carbon 2019, 152, 511–520. [Google Scholar] [CrossRef]
- He, J.; Sun, J.; Choi, J.; Wang, C.; Su, D. Synthesis of N-doped carbon quantum dots as lubricant additive to enhance the tribological behavior of MoS2 nanofluid. Friction 2022, 11, 441–459. [Google Scholar] [CrossRef]
- Ye, M.; Cai, T.; Zhao, L.; Liu, D. Covalently attached strategy to modulate surface of carbon quantum dots: Towards effectively multifunctional lubricant additives in polar and apolar base fluids. Tribol. Int. 2019, 136, 349–359. [Google Scholar] [CrossRef]
- Tu, Z.; Hu, E.; Wang, B.; David, K.D.; Seeger, P.; Moneke, M.; Hu, X. Tribological behaviors of Ni-modified citric acid carbon quantum dot particles as a green additive in polyethylene glycol. Friction 2020, 8, 182–197. [Google Scholar] [CrossRef]
- Huang, H.; Hu, H.; Qiao, S.; Bai, L.; Han, M.; Liu, Y.; Kang, Z. Carbon quantum dot/CuSx nanocomposites towards highly efficient lubrication and metal wear repair. Nanoscale 2015, 7, 11321–11327. [Google Scholar] [CrossRef] [PubMed]
- Shang, W.; Cai, T.; Zhang, Y.; Liu, D.; Liu, S. One pot pyrolysis synthesis of carbon quantum dots and graphene oxide nanomaterials: All carbon hybrids as eco-environmental lubricants for low friction and remarkable wear-resistance. Tribol. Int. 2018, 118, 373–380. [Google Scholar] [CrossRef]
- Wang, F.; Shang, L.; Zhang, G.; Wang, Z. Polyethylene glycol derived carbon quantum dots nanofluids: An excellent lubricant for diamond-like carbon film/bearing steel contact. Friction 2022, 10, 1393–1404. [Google Scholar] [CrossRef]
- De, B.; Karak, N. A green and facile approach for the synthesis of water soluble fluorescent carbon dots from banana juice. RSC Adv. 2013, 3, 8286–8290. [Google Scholar] [CrossRef]
- Gao, S.; Chen, Y.; Fan, H.; Wei, X.; Hu, C.; Wang, L.; Qu, L. A green one-arrow-two-hawks strategy for nitrogen-doped carbon dots as fluorescent ink and oxygen reduction electrocatalysts. J. Mater. Chem. A 2014, 2, 6320–6325. [Google Scholar] [CrossRef]
- Hu, E.; Hu, K.; Dearn, K.D.; Hu, X.; Xu, Y.; Yu, D.; Tang, Y. Tribological performance of rice husk ceramic particles as a solid additive in liquid paraffin. Tribol. Int. 2016, 103, 139–148. [Google Scholar] [CrossRef]
- Cai, J.; Dai, L. Study on the method for measuring the friction coefficient of lubricating oil (four ball method). Lubr. Oil 2001, 16, 5. (In Chinese) [Google Scholar]
- Odi-Owei, S.; Roylance, B.J.; Xie, L. An experimental study of initial scuffing and recovery in sliding wear using a four-ball machine. Wear 1987, 117, 267–287. [Google Scholar] [CrossRef]
- Ke, L.; Wang, Y. Two-dimensional sliding frictional contact of functionally graded materials. Eur. J. Mech.-A Solids 2007, 26, 171–188. [Google Scholar] [CrossRef]
- Davey, W.; Edwards, E.D. The extreme-pressure lubricating properties of some sulphides and disulphides, in mineral oil, as assessed by the Four-Ball Machine. Wear 1958, 1, 291–304. [Google Scholar] [CrossRef]
- Sarno, M.; Mustafa, W.A.A.; Senatore, A.; Scarpa, D. One-step “green” synthesis of dispersable carbon quantum dots/poly (methyl methacrylate) nanocomposites for tribological applications. Tribol. Int. 2020, 148, 106311. [Google Scholar] [CrossRef]
- Wen, S.; Huang, P. Principles of Tribology; Tsinghua University Press: Beijing, China, 2002. [Google Scholar]
- Sato, H.; Tokuoka, N.; Yamamoto, H.; Sasaki, M. Study on Wear Mechanism by Soot Contaminated in Engine Oil (First report: Relation between Characteristics of Used Oil and Wear). SAE Tech. Pap. 1999, 1, 3573. [Google Scholar]
- Wang, J.; Cui, J.; Wang, X.; Qin, X. Inorganic Chemistry, 5th ed.; Higher Education Press: Beijing, China, 2018. (In Chinese) [Google Scholar]
- Xia, J.; Tang, D. Preparation, characterization and catalytic performance of copper ion intercalated graphite oxide composites. New Chem. Mater. 2011, 39 (Suppl. S1), 85–89. (In Chinese) [Google Scholar]
- Mou, Z.; Wang, B.; Lu, H.; Quan, H.; Huang, Z. Branched polyelectrolyte grafted carbon dots as the high-performance friction-reducing and antiwear additives of polyethylene glycol. Carbon 2019, 149, 594–603. [Google Scholar] [CrossRef]
- Wang, J.; Li, X.; Deng, Y.; Chen, S.; Liang, W.; Zhang, L.; Wan, Y. Carbon quantum dots doped with silver as lubricating oil additive for enhancing tribological performance at various temperatures. Appl. Surf. Sci. 2022, 599, 154029. [Google Scholar] [CrossRef]
- Chen, Y.; Hu, E.; Zhong, H.; Wang, J.; Subedi, A.; Hu, K.; Hu, X. Characterization and tribological performances of graphene and fluorinated graphene particles in PAO. Nanomaterials 2021, 11, 2126. [Google Scholar] [CrossRef] [PubMed]
- Hu, E.; Dearn, K.; Yang, B.; Song, R.; Xu, Y.; Hu, X. Tribofilm formation and characterization of lubricating oils with biofuel soot and inorganic fluorides. Tribol. Int. 2017, 107, 163–172. [Google Scholar] [CrossRef]
- Hu, E.; Hu, K.; Xu, Y.; Hu, X.; Chen, D.; Cheng, Z.; Wu, D. Study on the mechanism of friction induced changes in the composition and structure of soot particles from biofuels. Tribology 2016, 36, 185–193. (In Chinese) [Google Scholar]













| Sample | Maximum Non-Seizure Load (N) | Rate of Change (%) |
|---|---|---|
| PEG200 | 530 | – |
| 0.5 wt% Cu-CQDs | 588 | 10.94% |
| 1.0 wt% Cu-CQDs | 588 | 10.94% |
| 2.0 wt% Cu-CQDs | 637 | 20.19% |
| Samples | 25 °C (Gpa) | 75 °C (Gpa) | 100 °C (Gpa) |
|---|---|---|---|
| PEG200 | 0.33 | 0.54 | 0.24 |
| 0.5 wt% Cu-CQDs | 0.51 | 0.47 | 0.37 |
| 1.0 wt% Cu-CQDs | 0.43 | 0.68 | 0.51 |
| 2.0 wt% Cu-CQDs | 0.41 | 0.36 | 0.29 |
Disclaimer/Publisher’s Note: The statements, opinions and data contained in all publications are solely those of the individual author(s) and contributor(s) and not of MDPI and/or the editor(s). MDPI and/or the editor(s) disclaim responsibility for any injury to people or property resulting from any ideas, methods, instructions or products referred to in the content. |
© 2023 by the authors. Licensee MDPI, Basel, Switzerland. This article is an open access article distributed under the terms and conditions of the Creative Commons Attribution (CC BY) license (https://creativecommons.org/licenses/by/4.0/).
Share and Cite
Liu, S.; Yu, X.; Hu, E.; Su, E.; Chen, Y.; Wang, J.; Hu, K.; Xu, Y.; Hu, X.; Zhong, H. Effect of Cu-Doped Carbon Quantum Dot Dispersion Liquid on the Lubrication Performance of Polyethylene Glycol. Lubricants 2023, 11, 86. https://doi.org/10.3390/lubricants11020086
Liu S, Yu X, Hu E, Su E, Chen Y, Wang J, Hu K, Xu Y, Hu X, Zhong H. Effect of Cu-Doped Carbon Quantum Dot Dispersion Liquid on the Lubrication Performance of Polyethylene Glycol. Lubricants. 2023; 11(2):86. https://doi.org/10.3390/lubricants11020086
Chicago/Turabian StyleLiu, Shusheng, Xiuqian Yu, Enzhu Hu, Enhao Su, Yanjie Chen, Jianping Wang, Kunhong Hu, Yong Xu, Xianguo Hu, and Hua Zhong. 2023. "Effect of Cu-Doped Carbon Quantum Dot Dispersion Liquid on the Lubrication Performance of Polyethylene Glycol" Lubricants 11, no. 2: 86. https://doi.org/10.3390/lubricants11020086
APA StyleLiu, S., Yu, X., Hu, E., Su, E., Chen, Y., Wang, J., Hu, K., Xu, Y., Hu, X., & Zhong, H. (2023). Effect of Cu-Doped Carbon Quantum Dot Dispersion Liquid on the Lubrication Performance of Polyethylene Glycol. Lubricants, 11(2), 86. https://doi.org/10.3390/lubricants11020086

