Dust at the Cosmic Dawn
Abstract
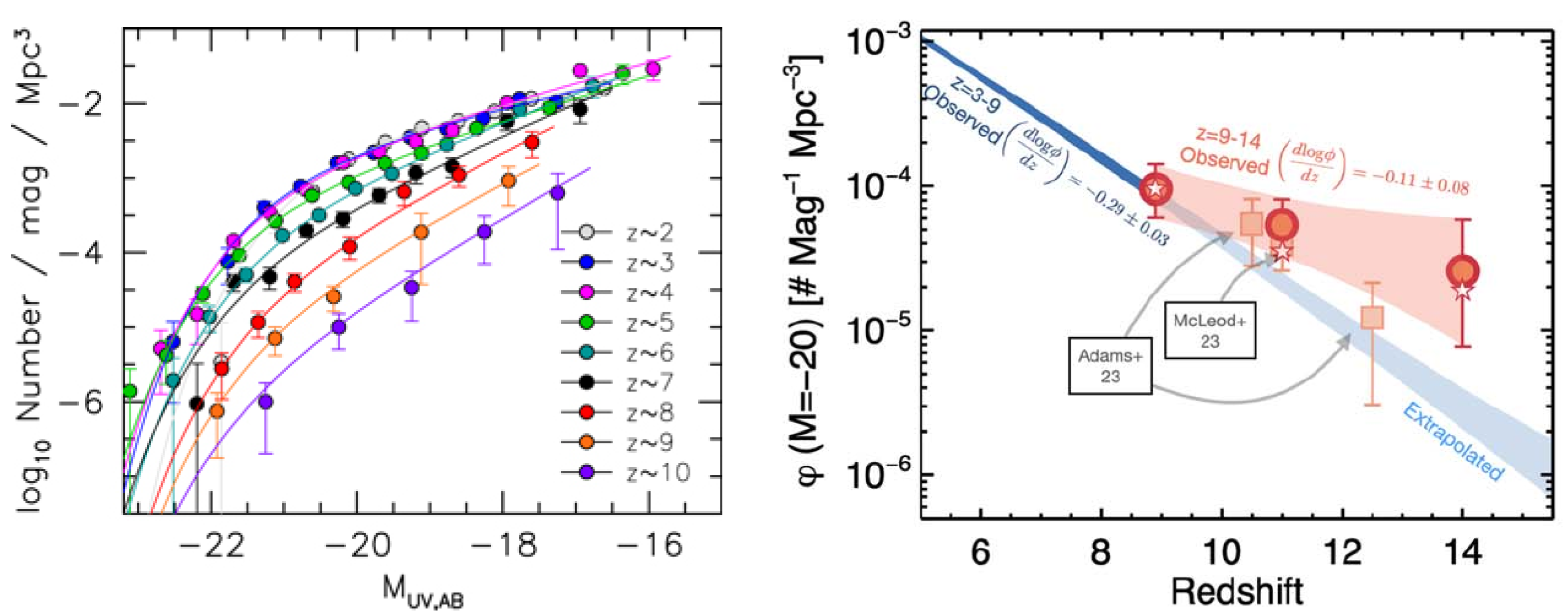
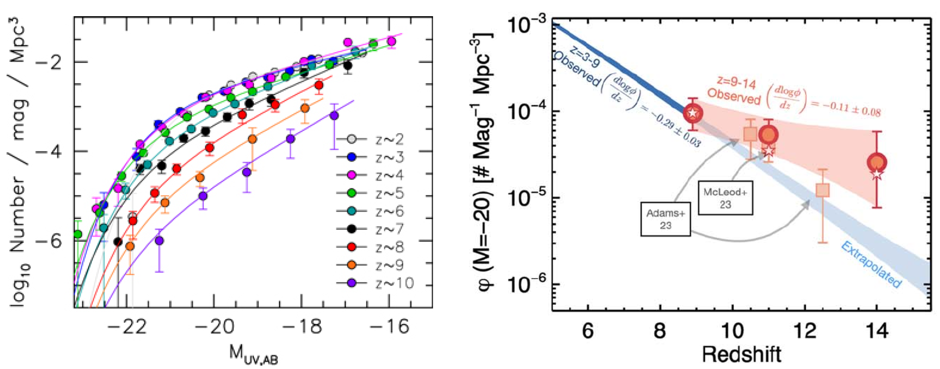
1. Introduction
2. Dust-Free Galaxies:

- (i)
- (ii)
- (iii)
- (iv)
- (v)
- (i)
- ∼ Myr, for the first,
- (ii)
- ∼10 Myr for the second, as discussed in Section 2.2.2, and
- (iii)
- ∼∼(0.3–1) Myr, for the third ∼1, and ∼ yr−1 kpc−2 as shown in Figure 2.
2.1. Conditions for Dust Destruction at
2.2. Clearing the Galaxies from Dust
2.2.1. Radiation-Driven Outflows
2.2.2. SNe-Driven Outflows
2.2.3. Feedback-Free Starbursts
2.2.4. Delayed Stellar Feedback
3. Dust-Rich Galaxies:
3.1. Intermediate Epochs: Super-Dusty Galaxies
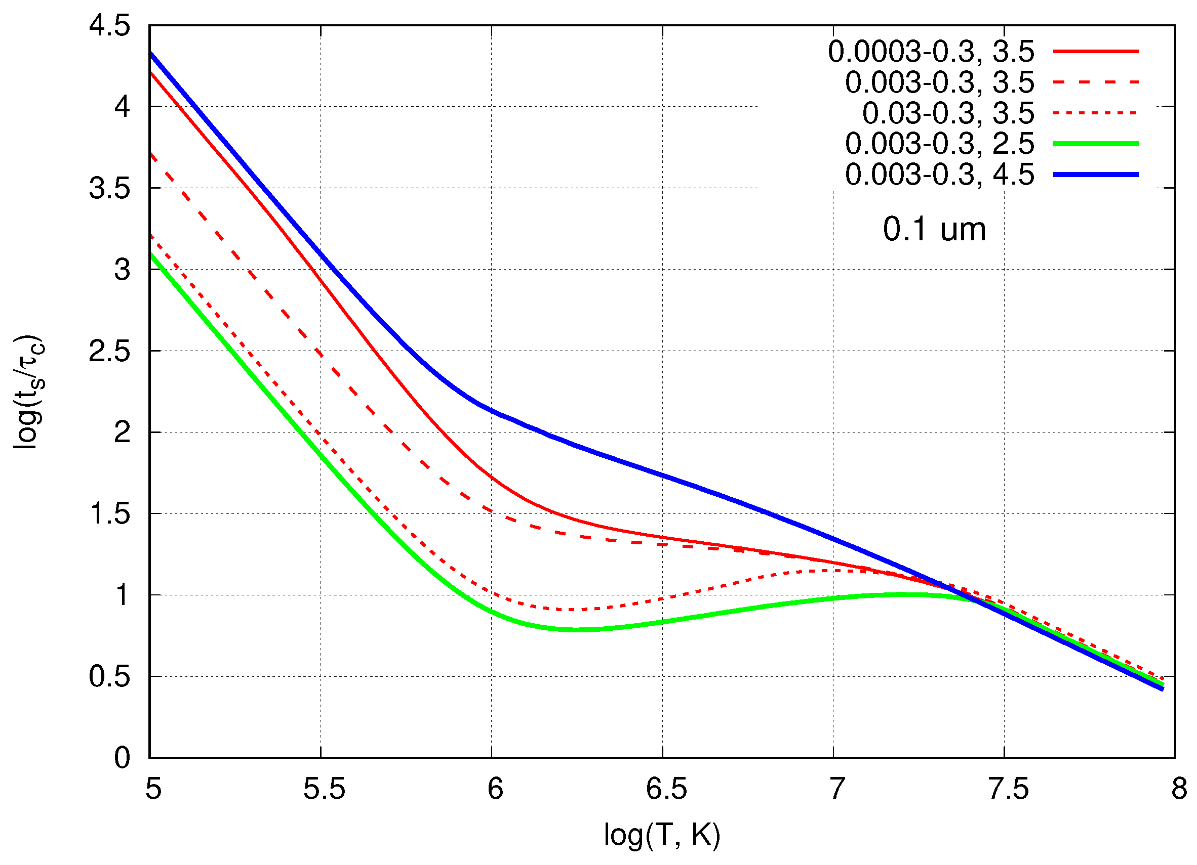
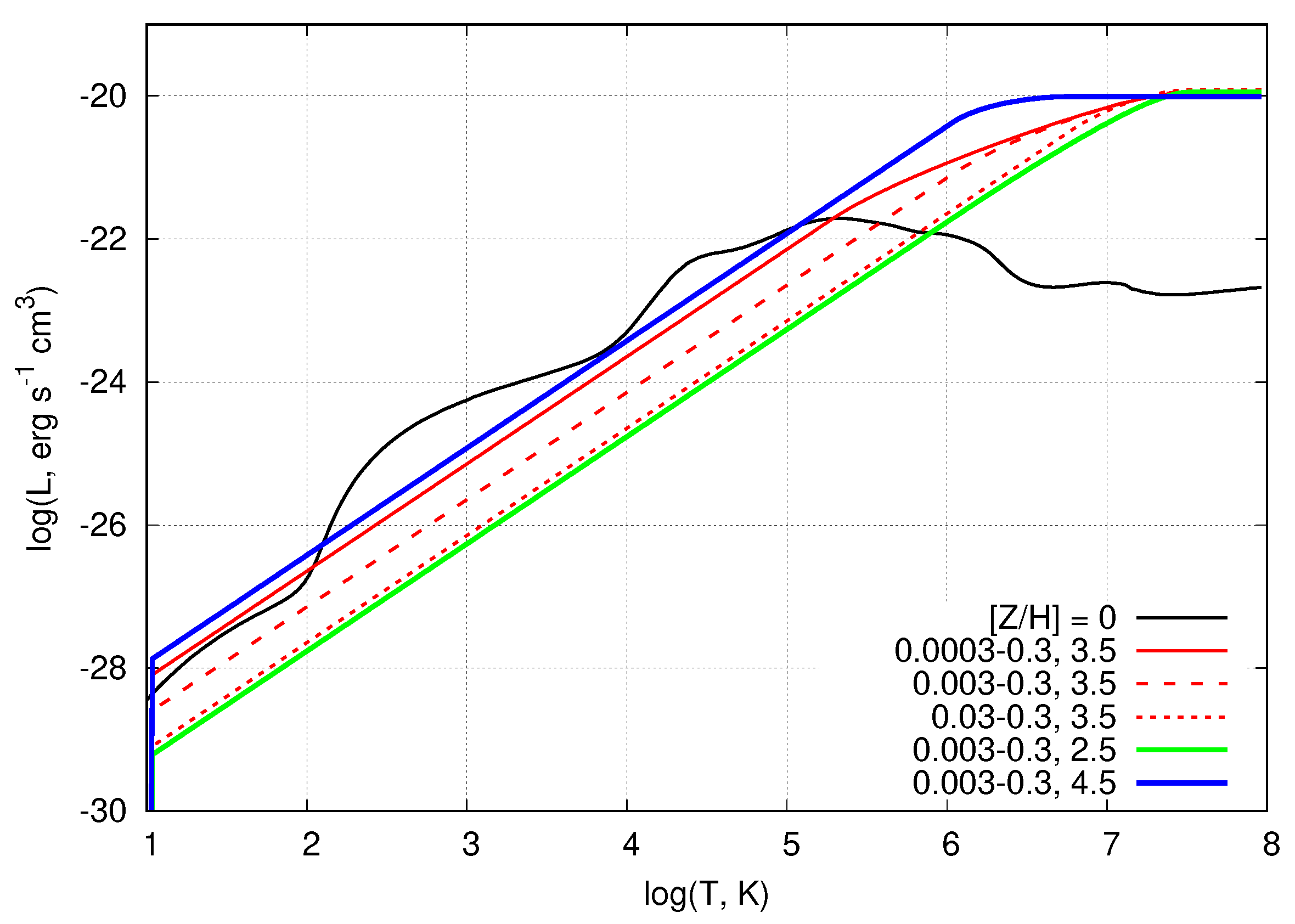
3.1.1. Destruction of the Freshly Nucleated Dust
3.1.2. Dust Growth in the ISM
3.1.3. Dust Survival
3.1.4. Thermal Instability Shields Dust Particles
4. Discussion
4.1. Evacuation of Dust in a Clumpy ISM
4.2. Cold Dusty Clumps
4.3. Environmental Modulation
5. Conclusions
Author Contributions
Funding
Data Availability Statement
Acknowledgments
Conflicts of Interest
Abbreviations
| ApJ | Astrophysical Journal |
| ApJL | Astrophysical Journal Letters |
| ApJS | Astrophysical Journal Supplement Series |
| MNRAS | Monthly Notices of the Royal Astronomical Society |
| A& A | Astronomy & Astrophysics |
| 1 | CAnadian NIRISS Unbiased Cluster Survey. |
| 2 | It is worth noting that the estimate of factor drop in the UV LF between and 12 in [34] suffers from uncertainties because of small statistics, as stressed by the authors. |
| 3 | They are dubbed Blue Monsters [56]. |
| 4 | By net yield it is commonly understood the dust mass from SN ejecta after its processing through the reverse shock. |
| 5 | This condition is not sufficient though, because the destruction time depends on the ambient gas density, dust particle size, and characteristic times of other involved processes. |
| 6 | is not measurable before SN explosions in the cluster are exhausted. |
| 7 | is the total attenuation at 2175 Å, , is the difference between the and the baseline at 2175 Å. |
| 8 | The dominant contribution comes from core-collapse supernovae (CCSN) with the progenitors of 12–35 . |
| 9 |
References
- Bouwens, R.J.; Illingworth, G.D.; Oesch, P.; Stiavelli, M.; van Dokkum, P.; Trenti, M.; Magee, D.; Labbé, I.; Franx, M.; Carollo, C.M.; et al. Discovery of z∼8 Galaxies in the Hubble Ultra Deep Field from Ultra-Deep WFC3/IR Observations. Astrophys. J. Lett. 2010, 709, L133–L137. [Google Scholar] [CrossRef]
- Zheng, W.; Postman, M.; Zitrin, A.; Moustakas, J.; Shu, X.; Jouvel, S.; Høst, O.; Molino, A.; Bradley, L.; Coe, D.; et al. A magnified young galaxy from about 500 million years after the Big Bang. Nature 2012, 489, 406–408. [Google Scholar] [CrossRef] [PubMed]
- Coe, D.; Zitrin, A.; Carrasco, M.; Shu, X.; Zheng, W.; Postman, M.; Bradley, L.; Koekemoer, A.; Bouwens, R.; Broadhurst, T.; et al. CLASH: Three Strongly Lensed Images of a Candidate z≈11 Galaxy. Astrophys. J. 2013, 762, 32. [Google Scholar] [CrossRef]
- Ellis, R.S.; McLure, R.J.; Dunlop, J.S.; Robertson, B.E.; Ono, Y.; Schenker, M.A.; Koekemoer, A.; Bowler, R.A.A.; Ouchi, M.; Rogers, A.B.; et al. The Abundance of Star-forming Galaxies in the Redshift Range 8.5–12: New Results from the 2012 Hubble Ultra Deep Field Campaign. Astrophys. J. Lett. 2013, 763, L7. [Google Scholar] [CrossRef]
- Oesch, P.A.; Bouwens, R.J.; Illingworth, G.D.; Labbé, I.; Smit, R.; Franx, M.; van Dokkum, P.G.; Momcheva, I.; Ashby, M.L.N.; Fazio, G.G.; et al. The Most Luminous z∼9–10 Galaxy Candidates Yet Found: The Luminosity Function, Cosmic Star-formation Rate, and the First Mass Density Estimate at 500 Myr. Astrophys. J. 2014, 786, 108. [Google Scholar] [CrossRef]
- Bouwens, R.J.; Bradley, L.; Zitrin, A.; Coe, D.; Franx, M.; Zheng, W.; Smit, R.; Host, O.; Postman, M.; Moustakas, L.; et al. A Census of Star-forming Galaxies in the z∼9–10 Universe based on HST+Spitzer Observations over 19 Clash Clusters: Three Candidate z∼9–10 Galaxies and Improved Constraints on the Star Formation Rate Density at z∼9.2. Astrophys. J. 2014, 795, 126. [Google Scholar] [CrossRef]
- Zitrin, A.; Zheng, W.; Broadhurst, T.; Moustakas, J.; Lam, D.; Shu, X.; Huang, X.; Diego, J.M.; Ford, H.; Lim, J.; et al. A Geometrically Supported z∼10 Candidate Multiply Imaged by the Hubble Frontier Fields Cluster A2744. Astrophys. J. Lett. 2014, 793, L12. [Google Scholar] [CrossRef]
- Michałowski, M.J. Dust production 680–850 million years after the Big Bang. Astron. Astrophys. 2015, 577, A80. [Google Scholar] [CrossRef]
- Oesch, P.A.; Brammer, G.; van Dokkum, P.G.; Illingworth, G.D.; Bouwens, R.J.; Labbé, I.; Franx, M.; Momcheva, I.; Ashby, M.L.N.; Fazio, G.G.; et al. A Remarkably Luminous Galaxy at z = 11.1 Measured with Hubble Space Telescope Grism Spectroscopy. Astrophys. J. 2016, 819, 129. [Google Scholar] [CrossRef]
- Knudsen, K.K.; Watson, D.; Frayer, D.; Christensen, L.; Gallazzi, A.; Michałowski, M.J.; Richard, J.; Zavala, J. A merger in the dusty, z = 7.5 galaxy A1689-zD1? Mon. Not. R. Astron. Soc. 2017, 466, 138–146. [Google Scholar] [CrossRef]
- Jiang, L.; Kashikawa, N.; Wang, S.; Walth, G.; Ho, L.C.; Cai, Z.; Egami, E.; Fan, X.; Ito, K.; Liang, Y.; et al. Evidence for GN-z11 as a luminous galaxy at redshift 10.957. Nat. Astron. 2021, 5, 256–261. [Google Scholar] [CrossRef]
- Ferrara, A.; Sommovigo, L.; Dayal, P.; Pallottini, A.; Bouwens, R.J.; Gonzalez, V.; Inami, H.; Smit, R.; Bowler, R.A.A.; Endsley, R.; et al. The ALMA REBELS Survey. Epoch of Reionization giants: Properties of dusty galaxies at z ≈ 7. Mon. Not. R. Astron. Soc. 2022, 512, 58–72. [Google Scholar] [CrossRef]
- Naidu, R.P.; Oesch, P.A.; van Dokkum, P.; Nelson, E.J.; Suess, K.A.; Brammer, G.; Whitaker, K.E.; Illingworth, G.; Bouwens, R.; Tacchella, S.; et al. Two Remarkably Luminous Galaxy Candidates at z ≈ 10 − 12 Revealed by JWST. Astrophys. J. Lett. 2022, 940, L14. [Google Scholar] [CrossRef]
- Finkelstein, S.L.; Bagley, M.B.; Arrabal Haro, P.; Dickinson, M.; Ferguson, H.C.; Kartaltepe, J.S.; Papovich, C.; Burgarella, D.; Kocevski, D.D.; Huertas-Company, M.; et al. A Long Time Ago in a Galaxy Far, Far Away: A Candidate z ∼ 12 Galaxy in Early JWST CEERS Imaging. Astrophys. J. Lett. 2022, 940, L55. [Google Scholar] [CrossRef]
- Topping, M.W.; Stark, D.P.; Endsley, R.; Plat, A.; Whitler, L.; Chen, Z.; Charlot, S. Searching for Extremely Blue UV Continuum Slopes at z = 7 − 11 in JWST/NIRCam Imaging: Implications for Stellar Metallicity and Ionizing Photon Escape in Early Galaxies. Astrophys. J. 2022, 941, 153. [Google Scholar] [CrossRef]
- Hsiao, T.Y.-Y.; Coe, D.; Abdurroúf; Whitler, L.; Jung, I.; Khullar, G.; Meena, A.K.; Dayal, P.; Barrow, K.S.S.; Santos-Olmsted, L.; et al. JWST Reveals a Possible z ∼ 11 Galaxy Merger in Triply Lensed MACS0647–JD. Astrophys. J. Lett. 2023, 949, L34. [Google Scholar] [CrossRef]
- Cullen, F.; McLeod, D.J.; McLure, R.J.; Dunlop, J.S.; Donnan, C.T.; Carnall, A.C.; Keating, L.C.; Magee, D.; Arellano-Cordova, K.Z.; Bowler, R.A.A.; et al. The ultraviolet continuum slopes of high-redshift galaxies: Evidence for the emergence of dust-free stellar populations at z > 10. Mon. Not. R. Astron. Soc. 2024, 531, 997–1020. [Google Scholar] [CrossRef]
- Casey, C.M.; Akins, H.B.; Shuntov, M.; Ilbert, O.; Paquereau, L.; Franco, M.; Hayward, C.C.; Finkelstein, S.L.; Boylan-Kolchin, M.; Robertson, B.E.; et al. COSMOS-Web: Intrinsically Luminous z ≳ 10 Galaxy Candidates Test Early Stellar Mass Assembly. Astrophys. J. 2024, 965, 98. [Google Scholar] [CrossRef]
- Topping, M.W.; Stark, D.P.; Endsley, R.; Whitler, L.; Hainline, K.; Johnson, B.D.; Robertson, B.; Tacchella, S.; Chen, Z.; Alberts, S.; et al. The UV continuum slopes of early star-forming galaxies in JADES. Mon. Not. R. Astron. Soc. 2024, 529, 4087–4103. [Google Scholar] [CrossRef]
- Donnan, C.T.; McLeod, D.J.; Dunlop, J.S.; McLure, R.J.; Carnall, A.C.; Begley, R.; Cullen, F.; Hamadouche, M.L.; Bowler, R.A.A.; Magee, D.; et al. The evolution of the galaxy UV luminosity function at redshifts z ≃ 8–15 from deep JWST and ground-based near-infrared imaging. Mon. Not. R. Astron. Soc. 2023, 518, 6011–6040. [Google Scholar] [CrossRef]
- Harikane, Y.; Ouchi, M.; Oguri, M.; Ono, Y.; Nakajima, K.; Isobe, Y.; Umeda, H.; Mawatari, K.; Zhang, Y. A Comprehensive Study of Galaxies at z∼9–16 Found in the Early JWST Data: Ultraviolet Luminosity Functions and Cosmic Star Formation History at the Pre-reionization Epoch. Astrophys. J. Suppl. Ser. 2023, 265, 5. [Google Scholar] [CrossRef]
- Atek, H.; Shuntov, M.; Furtak, L.J.; Richard, J.; Kneib, J.-P.; Mahler, G.; Zitrin, A.; McCracken, H.J.; Charlot, S.; Chevallard, J.; et al. Revealing galaxy candidates out to z∼16 with JWST observations of the lensing cluster SMACS0723. Mon. Not. R. Astron. Soc. 2023, 519, 1201–1220. [Google Scholar] [CrossRef]
- Cullen, F.; McLure, R.J.; McLeod, D.J.; Dunlop, J.S.; Donnan, C.T.; Carnall, A.C.; Bowler, R.A.A.; Begley, R.; Hamadouche, M.L.; Stanton, T.M. The ultraviolet continuum slopes (β) of galaxies at z = 8–16 from JWST and ground-based near-infrared imaging. Mon. Not. R. Astron. Soc. 2023, 520, 14–22. [Google Scholar] [CrossRef]
- Fujimoto, S.; Finkelstein, S.L.; Burgarella, D.; Carilli, C.L.; Buat, V.; Casey, C.M.; Ciesla, L.; Tacchella, S.; Zavala, J.A.; Brammer, G.; et al. ALMA FIR View of Ultra-high-redshift Galaxy Candidates at z∼11–17: Blue Monsters or Low-z Red Interlopers? Astrophys. J. 2023, 955, 130. [Google Scholar] [CrossRef]
- Rémy-Ruyer, A.; Madden, S.C.; Galliano, F.; Galametz, M.; Takeuchi, T.T.; Asano, R.S.; Zhukovska, S.; Lebouteiller, V.; Cormier, D.; Jones, A.; et al. Gas-to-dust mass ratios in local galaxies over a 2 dex metallicity range. Astron. Astrophys. 2014, 563, A31. [Google Scholar] [CrossRef]
- Kozasa, T.; Hasegawa, H. Formation of dust grains in the ejecta of SN 1987A. Astrophys. J. 1989, 344, 325–331. [Google Scholar] [CrossRef]
- Todini, P.; Ferrara, A. Dust formation in primordial Type II supernovae. Mon. Not. R. Astron. Soc. 2001, 325, 726–736. [Google Scholar] [CrossRef]
- Wooden, D.H.; Rank, D.M.; Bregman, J.D.; Witteborn, F.C.; Tielens, A.G.G.M.; Cohen, M.; Pinto, P.A.; Axelrod, T.S. Airborne Spectrophotometry of SN 1987A from 1.7 to 12.6 Microns: Time History of the Dust Continuum and Line Emission. Astrophys. J. Suppl. Ser. 1993, 88, 477. [Google Scholar] [CrossRef]
- Dunne, L.; Eales, S.; Ivison, R. Type II supernovae as a significant source of interstellar dust. Natur 2003, 424, 285–287. [Google Scholar] [CrossRef]
- Oesch, P.A.; Bouwens, R.J.; Illingworth, G.D.; Gonzalez, V.; Trenti, M.; van Dokkum, P.G.; Franx, M.; Labbé, I.; Carollo, C.M.; Magee, D. The Bright End of the Ultraviolet Luminosity Function at z ∼ 8: New Constraints from CANDELS Data in GOODS-South. Astrophys. J. 2012, 759, 135. [Google Scholar] [CrossRef]
- Oesch, P.A.; Bouwens, R.J.; Illingworth, G.D.; Labbé, I.; Stefanon, M. The Dearth of z ∼ 10 Galaxies in All HST Legacy Fields—The Rapid Evolution of the Galaxy Population in the First 500 Myr. Astrophys. J. 2018, 855, 105. [Google Scholar] [CrossRef]
- Bouwens, R.J.; Oesch, P.A.; Stefanon, M.; Illingworth, G.; Labbé, I.; Reddy, N.; Atek, H.; Montes, M.; Naidu, R.; Nanayakkara, T.; et al. New Determinations of the UV Luminosity Functions from z∼9 to 2 Show a Remarkable Consistency with Halo Growth and a Constant Star Formation Efficiency. AJ 2021, 162, 47. [Google Scholar] [CrossRef]
- Willott, C.J.; Desprez, G.; Asada, Y.; Sarrouh, G.T.E.; Abraham, R.; Bradač, M.; Brammer, G.; Estrada-Carpenter, V.; Iyer, K.G.; Martis, N.S.; et al. A Steep Decline in the Galaxy Space Density beyond Redshift 9 in the CANUCS UV Luminosity Function. Astrophys. J. 2024, 966, 74. [Google Scholar] [CrossRef]
- Bouwens, R.J.; Stefanon, M.; Brammer, G.; Oesch, P.A.; Herard-Demanche, T.; Illingworth, G.D.; Matthee, J.; Naidu, R.P.; van Dokkum, P.G. Evolution of the UV LF from z∼15 to z∼8 using new JWST NIRCam medium-band observations over the HUDF/XDF. Mon. Not. R. Astron. Soc. 2023, 523, 1036–1055. [Google Scholar] [CrossRef]
- Finkelstein, S.L.; Bagley, M.B. On the Coevolution of the AGN and Star-forming Galaxy Ultraviolet Luminosity Functions at 3 < z < 9. Astrophys. J. 2022, 938, 25. [Google Scholar]
- McLeod, D.J.; Donnan, C.T.; McLure, R.J.; Dunlop, J.S.; Magee, D.; Begley, R.; Carnall, A.C.; Cullen, F.; Ellis, R.S.; Hamadouche, M.L.; et al. The galaxy UV luminosity function at z ≃ 11 from a suite of public JWST ERS, ERO, and Cycle-1 programs. Mon. Not. R. Astron. Soc. 2024, 527, 5004–5022. [Google Scholar] [CrossRef]
- Adams, N.J.; Conselice, C.J.; Austin, D.; Harvey, T.; Ferreira, L.; Trussler, J.; Juodžbalis, I.; Li, Q.; Windhorst, R.; Cohen, S.H.; et al. EPOCHS. II. The Ultraviolet Luminosity Function from 7.5 < z < 13.5 Using 180 arcmin2 of Deep, Blank Fields from the PEARLS Survey and Public JWST Data. Astrophys. J. 2024, 965, 169. [Google Scholar]
- Finkelstein, S.L.; Leung, G.C.K.; Bagley, M.B.; Dickinson, M.; Ferguson, H.C.; Papovich, C.; Akins, H.B.; Arrabal Haro, P.; Davé, R.; Dekel, A.; et al. The Complete CEERS Early Universe Galaxy Sample: A Surprisingly Slow Evolution of the Space Density of Bright Galaxies at z ∼ 8.5 − 14.5. Astrophys. J. Lett. 2024, 969, L2. [Google Scholar] [CrossRef]
- Finkelstein, S.L. Observational Searches for Star-Forming Galaxies at z > 6. Publ. Astron. Soc. Aust. 2016, 33, e037. [Google Scholar] [CrossRef]
- McLeod, D.J.; McLure, R.J.; Dunlop, J.S. The z = 9–10 galaxy population in the Hubble Frontier Fields and CLASH surveys: The z = 9 luminosity function and further evidence for a smooth decline in ultraviolet luminosity density at z ≥ 8. Mon. Not. R. Astron. Soc. 2016, 459, 3812–3824. [Google Scholar] [CrossRef]
- Laporte, N.; Zitrin, A.; Ellis, R.S.; Fujimoto, S.; Brammer, G.; Richard, J.; Oguri, M.; Caminha, G.B.; Kohno, K.; Yoshimura, Y.; et al. ALMA Lensing Cluster Survey: A strongly lensed multiply imaged dusty system at z ≥ 6. Mon. Not. R. Astron. Soc. 2021, 505, 4838–4846. [Google Scholar] [CrossRef]
- Harikane, Y.; Nakajima, K.; Ouchi, M.; Hiroya, U.; Yuki, I.; Yoshiaki, O.; Yi, X.; Yechi, Z. Pure Spectroscopic Constraints on UV Luminosity Functions and Cosmic Star Formation History from 25 Galaxies at zspec = 8.61 − 13.20 Confirmed with JWST/NIRSpec. Astrophys. J. 2023, 960, 56. [Google Scholar] [CrossRef]
- Whitler, L.; Stark, D.P.; Topping, M.W.; Robertson, B.; Rieke, M.; Hainline, K.N.; Endsley, R.; Chen, Z.; Baker, W.M.; Bhatawdekar, R.; et al. The z ∼ 9 galaxy UV luminosity function from the JWST Advanced Deep Extragalactic Survey: Insights into early galaxy evolution and reionization. arXiv 2025, arXiv:2501.00984. [Google Scholar]
- Carniani, S.; Hainline, K.; D’Eugenio, F.; Eisenstein, D.J.; Jakobsen, P.; Witstok, J.; Johnson, B.D.; Chevallard, J.; Maiolino, R.; Helton, J.M.; et al. Spectroscopic confirmation of two luminous galaxies at a redshift of 14. Nature 2024, 633, 318–322. [Google Scholar] [CrossRef]
- Schouws, S.; Bouwens, R.J.; Ormerod, K.; Smit, R.; Algera, H.; Sommovigo, L.; Hodge, J.; Ferrara, A.; Oesch, P.A.; Rowland, L.; et al. Detection of [OIII]88μm in JADES-GS-z14-0 at z = 14.1793. arXiv 2024, arXiv:2409.20549. [Google Scholar]
- Zavala, J.A.; Castellano, M.; Akins, H.B.; Bakx, T.J.L.C.; Burgarella, D.; Casey, C.M.; Chávez Ortiz, Ã.A.; Dickinson, M.; Finkelstein, S.L.; Mitsuhashi, I.; et al. A luminous and young galaxy at z = 12.33 revealed by a JWST/MIRI detection of α and [O iii]. Nat. Astron. 2025, 9, 155–164. [Google Scholar] [CrossRef] [PubMed]
- DÉugenio, F.; Maiolino, R.; Carniani, S.; Chevallard, J.; Curtis-Lake, E.; Witstok, J.; Charlot, S.; Baker, W.M.; Arribas, S.; Boyett, K.; et al. JADES: Carbon enrichment 350 Myr after the Big Bang. Astron. Astrophys. 2024, 689, A152. [Google Scholar]
- Helton, J.M.; Rieke, G.H.; Alberts, S.; Wu, Z.; Eisenstein, D.J.; Hainline, K.N.; Carniani, S.; Ji, Z.; Baker, W.M.; Bhatawdekar, R.; et al. Photometric detection at 7.7 μm of a galaxy beyond redshift 14 with JWST/MIRI. arXiv 2024, arXiv:2405.18462. [Google Scholar] [CrossRef]
- Schouws, S.; Bouwens, R.J.; Algera, H.; Smit, R.; Kumari, N.; Rowland, L.E.; van Leeuwen, I.; Sommovigo, L.; Ferrara, A.; Oesch, P.A.; et al. Deep Constraints on [CII]158μm in JADES-GS-z14-0: Further Evidence for a Galaxy with Low Gas Content at z = 14.2. arXiv 2025, arXiv:2502.01610. [Google Scholar]
- Wilkins, S.M.; Bouwens, R.J.; Oesch, P.A.; Labbé, I.; Sargent, M.; Caruana, J.; Wardlow, J.; Clay, S. Quantifying the UV-continuum slopes of galaxies to z ∼ 10 using deep Hubble+Spitzer/IRAC observations. Mon. Not. R. Astron. Soc. 2016, 455, 659–667. [Google Scholar] [CrossRef]
- Tacchella, S.; Finkelstein, S.L.; Bagley, M.; Dickinson, M.; Ferguson, H.C.; Giavalisco, M.; Graziani, L.; Grogin, N.A.; Hathi, N.; Hutchison, T.A.; et al. On the Stellar Populations of Galaxies at z = 9 − 11: The Growth of Metals and Stellar Mass at Early Times. Astrophys. J. 2022, 927, 170. [Google Scholar] [CrossRef]
- Hashimoto, T.; Inoue, A.K.; Mawatari, K.; Tamura, Y.; Matsuo, H.; Furusawa, H.; Harikane, Y.; Shibuya, T.; Knudsen, K.K.; Kohno, K.; et al. Big Three Dragons: A z = 7.15 Lyman-break galaxy detected in [O III] 88μm, [C II] 158μm, and dust continuum with ALMA. Publ. Astron. Soc. Jpn. 2019, 71, 71. [Google Scholar] [CrossRef]
- Fudamoto, Y.; Oesch, P.A.; Schouws, S.; Stefanon, M.; Smit, R.; Bouwens, R.J.; Bowler, R.A.A.; Endsley, R.; Gonzalez, V.; Inami, H.; et al. Normal, dust-obscured galaxies in the epoch of reionization. Nature 2021, 597, 489–492. [Google Scholar] [CrossRef]
- Schaerer, D.; Marques-Chaves, R.; Barrufet, L.; Oesch, P.; Izotov, Y.I.; Naidu, R.; Guseva, N.G.; Brammer, G. First look with JWST spectroscopy: Resemblance among z ∼ 8 galaxies and local analogs. Astron. Astrophys. 2022, 665, L4. [Google Scholar] [CrossRef]
- Killi, M.; Watson, D.; Fujimoto, S.; Akins, H.; Knudsen, K.; Richard, J.; Harikane, Y.; Rigopoulou, D.; Rizzo, F.; Ginolfi, M.; et al. A solar metallicity galaxy at z > 7? Possible detection of the [N II] 122 μm and [O III] 52 μm lines. Mon. Not. R. Astron. Soc. 2023, 521, 2526–2534. [Google Scholar] [CrossRef]
- Ziparo, F.; Ferrara, A.; Sommovigo, L.; Kohandel, M. Blue monsters. Why are JWST super-early, massive galaxies so blue? Mon. Not. R. Astron. Soc. 2023, 520, 2445–2450. [Google Scholar] [CrossRef]
- Malhotra, S. Detection of the 2175 ÅDust Feature in Mg II Absorption Systems. Astrophys. J. 1997, 488, L101–L104. [Google Scholar] [CrossRef]
- Pettini, M.; Smith, L.J.; Hunstead, R.W.; King, D.L. Metal Enrichment, Dust, and Star Formation in Galaxies at High Redshifts. III. Zn and CR Abundances for 17 Damped Lyman-Alpha Systems. Astrophys. J. 1994, 426, 79–96. [Google Scholar] [CrossRef]
- Steidel, C.C.; Pettini, M.; Dickinson, M.; Persson, S.E. Imaging of Two Damped Lyman Alpha Absorbers at Intermediate Redshifts. Astron. J. 1994, 108, 2046. [Google Scholar] [CrossRef]
- Omont, A.; Cox, P.; Bertoldi, F.; McMahon, R.G.; Carilli, C.; Isaak, K.G. A 1.2 mm MAMBO/IRAM-30 m survey of dust emission from the highest redshift PSS quasar. Astron. Astrophys. 2001, 374, 371–381. [Google Scholar] [CrossRef]
- Bertoldi, F.; Carilli, C.L.; Cox, P.; Fan, X.; Strauss, M.A.; Beelen, A.; Omont, A.; Zylka, R. Dust emission from the most distant quasars. Astron. Astrophys. 2003, 406, L55–L58. [Google Scholar] [CrossRef]
- Priddey, R.S.; Isaak, K.G.; McMahon, R.G.; Robson, E.I.; Pearson, C.P. Quasars as probes of the submillimetre cosmos at z > 5—I. Preliminary SCUBA photometry. Mon. Not. R. Astron. Soc. 2003, 344, L74–L78. [Google Scholar] [CrossRef]
- Maiolino, R.; Schneider, R.; Oliva, E.; Bianchi, S.; Ferrara, A.; Mannucci, F.; Pedani, M.; Roca Sogorb, M. A supernova origin of dust in a high-redshift quasar. Nature 2004, 431, 533. [Google Scholar] [CrossRef]
- Dwek, E.; Galliano, F.; Jones, A.P. The Evolution of Dust in the Early Universe with Applications to the Galaxy SDSS J1148+5251. Astrophys. J. 2007, 662, 927–939. [Google Scholar] [CrossRef]
- Castellano, M.; Napolitano, L.; Fontana, A.; Roberts-Borsani, G.; Treu, T.; Vanzella, E.; Zavala, J.A.; Arrabal Haro, P.; Calabrò, A.; Llerena, M.; et al. JWST NIRSpec Spectroscopy of the Remarkable Bright Galaxy GHZ2/GLASS-z12 at Redshift 12.34. Astrophys. J. 2024, 972, 143. [Google Scholar] [CrossRef]
- Bunker, A.J.; Saxena, A.; Cameron, A.J. JADES NIRSpec Spectroscopy of GN-z11: Lyman-α emission and possible enhanced nitrogen abundance in a z = 10.60 luminous galaxy. Astron. Astrophys. 2023, 677, A88. [Google Scholar] [CrossRef]
- Yang, L.; Morishita, T.; Leethochawalit, N.; Castellano, M.; Calabrò, A.; Treu, T.; Bonchi, A.; Fontana, A.; Mason, C.; Merlin, E.; et al. Early Results from GLASS-JWST. V: The First Rest-frame Optical Size-Luminosity Relation of Galaxies at z > 7. Astrophys. J. Lett. 2022, 938, L17. [Google Scholar] [CrossRef]
- Adams, N.J.; Conselice, C.J.; Ferreira, L.; Varadaraj, R.G.; Häußler, B. Discovery and properties of ultra-high redshift galaxies (9 < z < 12) in the JWST ERO SMACS 0723 Field. Mon. Not. R. Astron. Soc. 2023, 518, 4755–4766. [Google Scholar]
- Weingartner, J.C.; Draine, B.T. Dust Grain-Size Distributions and Extinction in the Milky Way, Large Magellanic Cloud, and Small Magellanic Cloud. Astrophys. J. 2001, 548, 296–309. [Google Scholar] [CrossRef]
- Ferrara, A.; Pallottini, A.; Sommovigo, L. Blue Monsters at z > 10. Where has all their dust gone. Astron. Astrophys. 2025, 694, A286. [Google Scholar] [CrossRef]
- Furtak, L.J.; Shuntov, M.; Atek, H.; Zitrin, A.; Richard, J.; Lehnert, M.D.; Chevallard, J. Constraining the physical properties of the first lensed z9 − 16 galaxy candidates with JWST. Mon. Not. R. Astron. Soc. 2023, 519, 3064–3075. [Google Scholar] [CrossRef]
- Nath, B.B.; Vasiliev, E.O.; Drozdov, S.A.; Shchekinov, Y.A. Dust-free starburst galaxies at redshifts z > 10. Mon. Not. R. Astron. Soc. 2023, 521, 662–667. [Google Scholar] [CrossRef]
- Ferrara, A. The eventful life of GS-z14-0, the most distant galaxy at redshift z = 14.32. Astron. Astrophys. 2024, 689, A310. [Google Scholar] [CrossRef]
- Ferrara, A.; Carniani, S.; di Mascia, F.; Bouwens, R.J.; Oesch, P.; Schouws, S. ALMA observations of super-early galaxies: Attenuation-free model predictions. Astron. Astrophys. 2025, 694, A215. [Google Scholar] [CrossRef]
- Saxena, A.; Cameron, A.J.; Katz, H.; Bunker, A.J.; Chevallard, J.; D’Eugenio, F.; Arribas, S.; Rachana, B.; Boyett, K.; Cargile, P.A.; et al. Hitting the slopes: A spectroscopic view of UV continuum slopes of galaxies reveals a reddening at z > 9.5. arXiv 2024, arXiv:2411.14532. [Google Scholar]
- Bouwens, R.J.; Smit, R.; Schouws, S.; Stefanon, M.; Bowler, R.; Endsley, R.; Gonzalez, V.; Inami, H.; Stark, D.; Oesch, P.; et al. Reionization Era Bright Emission Line Survey: Selection and Characterization of Luminous Interstellar Medium Reservoirs in the z > 6.5 Universe. Astrophys. J. 2022, 931, 160. [Google Scholar] [CrossRef]
- Castellano, M.; Fontana, A.; Treu, T.; Santini, P.; Merlin, E.; Leethochawalit, N.; Trenti, M.; Vanzella, E.; Mestric, U.; Bonchi, A.; et al. Early Results from GLASS-JWST. XIX. A High Density of Bright Galaxies at z ≈ 10 in the A2744 Region. Astrophys. J. Lett. 2022, 948, L14. [Google Scholar] [CrossRef]
- Topping, M.W.; Stark, D.P.; Endsley, R.; Bouwens, R.J.; Schouws, S.; Smit, R.; Stefanon, M.; Inami, H.; Bowler, R.A.A.; Oesch, P.; et al. The ALMA REBELS Survey: Specific star formation rates in the reionization era. Mon. Not. R. Astron. Soc. 2022, 516, 975–991. [Google Scholar] [CrossRef]
- Robertson, B.E.; Tacchella, S.; Johnson, B.D.; Hainline, K.; Whitler, L.; Eisenstein, D.J.; Endsley, R.; Rieke, M.; Stark, D.P.; Alberts, S.; et al. Identification and properties of intense star-forming galaxies at redshifts z > 10. NatAst 2023, 7, 611–621. [Google Scholar] [CrossRef]
- Rodighiero, G.; Bisigello, L.; Iani, E.; Marasco, A.; Grazian, A.; Sinigaglia, F.; Cassata, P.; Gruppioni, C. JWST unveils heavily obscured (active and passive) sources up to z ∼ 13. Mon. Not. R. Astron. Soc. Lett. 2023, 518, L19–L24. [Google Scholar] [CrossRef]
- Ferrara, A.; Pallottini, A.; Dayal, P. On the stunning abundance of super-early, luminous galaxies revealed by JWST. Mon. Not. R. Astron. Soc. 2023, 522, 3986–3991. [Google Scholar] [CrossRef]
- Fiore, F.; Ferrara, A.; Bischetti, M.; Feruglio, C.; Travascio, A. Dusty-wind-clear JWST Super-early Galaxies. Astrophys. J. Lett. 2023, 943, L27. [Google Scholar] [CrossRef]
- Tsuna, D.; Nakazato, Y.; Hartwig, T. A photon burst clears the earliest dusty galaxies: Modelling dust in high-redshift galaxies from ALMA to JWST. Mon. Not. R. Astron. Soc. 2023, 526, 4801–4813. [Google Scholar] [CrossRef]
- Ferrara, A. Super-early JWST galaxies, outflows, and Lyα visibility in the Epoch of Reionization. Astron. Astrophys. 2024, 684, A207. [Google Scholar] [CrossRef]
- Nakazato, Y.; Ferrara, A. Radiation-driven dusty outflows from early galaxies. arXiv 2025, arXiv:2412.07598. [Google Scholar]
- Stern, J.; Faucher-Giguŕe, C.-A.; Fielding, D.; Fielding, D.; Quataert, E.; Hafen, Z.; Gurvich, A.B.; Ma, X.; Byrne, L.; El-Badry, K.; et al. Virialization of the Inner CGM in the FIRE Simulations and Implications for Galaxy Disks, Star Formation, and Feedback. Astrophys. J. 2021, 911, 88. [Google Scholar] [CrossRef]
- Furlanetto, S.R.; Mirocha, J. Bursty star formation during the Cosmic Dawn driven by delayed stellar feedback. Mon. Not. R. Astron. Soc. 2022, 511, 3895–3909. [Google Scholar] [CrossRef]
- Mirocha, J.; Furlanetto, S.R. Balancing the efficiency and stochasticity of star formation with dust extinction in zgeq10 galaxies observed by JWST. Mon. Not. R. Astron. Soc. 2023, 519, 843–853. [Google Scholar] [CrossRef]
- Sun, G.; Faucher-Giguŕe, C.-A.; Hayward, C.C.; Shen, X. Seen and unseen: Bursty star formation and its implications for observations of high-redshift galaxies with JWST. Mon. Not. R. Astron. Soc. 2023, 526, 2665–2672. [Google Scholar] [CrossRef]
- Sun, G.; Faucher-Giguŕe, C.-A.; Hayward, C.C.; Shen, X. Bursty Star Formation Naturally Explains the Abundance of Bright Galaxies at Cosmic Dawn. Astrophys. J. Lett. 2023, 955, L35. [Google Scholar] [CrossRef]
- Pallottini, A.; Ferrara, A. Stochastic star formation in early galaxies: Implications for the James Webb Space Telescope. Astron. Astrophys. 2023, 677, L4. [Google Scholar] [CrossRef]
- Sugimura, K.; Ricotti, M.; Park, J.; Garcia, F.A.B.; Yajima, H. Violent Starbursts and Quiescence Induced by Far-ultraviolet Radiation Feedback in Metal-poor Galaxies at High Redshift. Astrophys. J. 2024, 970, 14. [Google Scholar] [CrossRef]
- Dekel, A.; Sarkar, K.C.; Birnboim, Y.; Mandelker, N.; Li, Z. Efficient formation of massive galaxies at cosmic dawn by feedback-free starbursts. Mon. Not. R. Astron. Soc. 2023, 523, 3201–3218. [Google Scholar] [CrossRef]
- Li, Z.; Dekel, A.; Sarkar, K.C.; Aung, H.; Giavalisco, M.; Mandelker, N.; Tacchella, S. Feedback-free starbursts at cosmic dawn: Observable predictions for JWST. Astron. Astrophys. 2024, 590, A108. [Google Scholar] [CrossRef]
- Legrand, L.; Hutter, A.; Dayal, P.; Ucci, G.; Gottlöber, S.; Yepes, G. Astraeus IV: Quantifying the star formation histories of galaxies in the Epoch of Reionization. Mon. Not. R. Astron. Soc. 2022, 509, 595–613. [Google Scholar] [CrossRef]
- Mason, C.A.; Trenti, M.; Treu, T. The brightest galaxies at cosmic dawn. Mon. Not. R. Astron. Soc. 2023, 521, 497–503. [Google Scholar] [CrossRef]
- Inayoshi, K.; Harikane, Y.; Inoue, A.K.; Li, W.; Ho, L.C. A Lower Bound of Star Formation Activity in Ultra-high-redshift Galaxies Detected with JWST: Implications for Stellar Populations and Radiation Sources. Astrophys. J. Lett. 2022, 938, L10. [Google Scholar] [CrossRef]
- Hutter, A.; Cueto, E.R.; Dayal, P.; Gottlöber, S.; Trebitsch, M.; Yepes, G. Astraeus X: Indications of a top-heavy initial mass function in highly star-forming galaxies from JWST observations at z > 10. Astron. Astrophys. 2025, 694, A254. [Google Scholar] [CrossRef]
- Jeong, T.B.; Jeon, M.; Song, H. Simulating High-redshift Galaxies: Enhancing UV Luminosity with Star Formation Efficiency and a Top-heavy IMF. Astrophys. J. 2025, 980, 10. [Google Scholar] [CrossRef]
- Mauerhofer, V.; Dayal, P.; Haehnelt, M.G.; Kimm, T.; Rosdahl, J.; Teyssier, R. Synergising semi-analytical models and hydrodynamical simulations to interpret JWST data from the first billion years. Astron. Astrophys. 2025, 696. [Google Scholar] [CrossRef]
- Michałowski, M.J.; Murphy, E.J.; Hjorth, J.; Watson, D.; Gall, C.; Dunlop, J.S. Dust grain growth in the interstellar medium of 5 < z < 6.5 quasars. Astron. Astrophys. 2010, 522, A15. [Google Scholar]
- Morgan, H.L.; Edmunds, M.G. Dust formation in early galaxies. Mon. Not. R. Astron. Soc. 2003, 343, 427–442. [Google Scholar] [CrossRef][Green Version]
- Nozawa, T.; Kozasa, T.; Umeda, H.; Maeda, K.; Nomoto, K. Dust in the Early Universe: Dust Formation in the Ejecta of Population III Supernovae. Astrophys. J. 2003, 598, 785–803. [Google Scholar] [CrossRef]
- McKee, C. Dust Destruction in the Interstellar Medium. In Interstellar Dust: Proceedings of the 135th IAU Symposium; Allamandola, L.J., Tielens, A.G.G.M., Eds.; Kluwer: Dordrecht, The Netherlands, 1989; Volume 135, p. 431. [Google Scholar]
- Draine, B.T. Interstellar Dust Models and Evolutionary Implications. In Cosmic Dust–Near and Far; ASP Conferences Series; Henning, T., Grun, E., Steinacker, J., Eds.; Astronomical Society of the Pacific: San Francisco, CA, USA, 2009; Volume 414, p. 453. [Google Scholar]
- Dedikov, S.Y.; Vasiliev, E.O. Inhibited destruction of dust by supernova in a clumpy medium. New Astron. 2025, 114, 102293. [Google Scholar] [CrossRef]
- Dwek, E. The Infrared Diagnostic of a Dusty Plasma with Applications to Supernova Remnants. Astrophys. J. 1987, 322, 812. [Google Scholar] [CrossRef]
- Seok, J.Y.; Koo, B.-C.; Hirashita, H. Dust Cooling in Supernova Remnants in the Large Magellanic Cloud. Astrophys. J. 2015, 807, 100. [Google Scholar] [CrossRef]
- Isobe, Y.; Ouchi, M.; Nakajima, K.; Harikane, Y.; Ono, Y.; Xu, Y.; Zhang, Y.; Umeda, H. Redshift Evolution of Electron Density in the Interstellar Medium at z∼0–9 Uncovered with JWST/NIRSpec Spectra and Line-spread Function Determinations. Astrophys. J. 2023, 956, 139. [Google Scholar] [CrossRef]
- Abdurro’uf; Larson,, R.L.; Coe,, D.; Hsiao,, T.Y.-Y.; Álvarez-Márquez,, J.; Gómez, A.C.; Adamo, A.; Bhatawdekar, R.; Bik, A.; Bradley, L.D.; et al. JWST NIRSpec High-resolution Spectroscopy of MACS0647–JD at z = 10.167: Resolved [O II] Doublet and Electron Density in an Early Galaxy. Astrophys. J. 2024, 973, 47. [Google Scholar] [CrossRef]
- Marconcini, C.; D’Eugenio, F.; Maiolino, R.; Arribas, S.; Bunker, A.; Carniani, S.; Charlot, S.; Perna, M.; Rodríguez Del Pino, B.; Übler, H.; et al. GA-NIFS: The interplay between merger, star formation, and chemical enrichment in MACS1149-JD1 at z = 9.11 with JWST/NIRSpec. Mon. Not. R. Astron. Soc. 2024, 533, 2488–2501. [Google Scholar] [CrossRef]
- Vasiliev, E.O.; Nath, B.B. Dust destruction from clustered SN explosions. 2025, submitted. 2025; submitted. [Google Scholar]
- Hopkins, P.F.; Cox, T.J.; Hernquist, L.; Narayanan, D.; Hayward, C.C.; Murray, N. Star formation in galaxy mergers with realistic models of stellar feedback and the interstellar medium. Mon. Not. R. Astron. Soc. 2013, 430, 1901–1927. [Google Scholar] [CrossRef]
- Carniani, S.; Venturi, G.; Parlanti, E.; de Graaff, A.; Maiolino, R.; Arribas, S.; Bonaventura, N.; Boyett, K.; Bunker, A.J.; Cameron, A.J.; et al. JADES: The incidence rate and properties of galactic outflows in low-mass galaxies across 3 < z < 9. Astron. Astrophys. 2024, 685, A99. [Google Scholar] [CrossRef]
- Carniani, S.; D’Eugenio, F.; Ji, X.; Parlanti, E.; Scholtz, J.; Sun, F.; Venturi, G.; Bakx, T.J.L.C.; Curti, M.; Maiolino, R.; et al. The eventful life of a luminous galaxy at z = 14: Metal enrichment, feedback, and low gas fraction? Astron. Astrophys. 2024, 696, A87. [Google Scholar] [CrossRef]
- Heckman, T.M. Galactic Superwinds at Low and High Redshift. Astron. Soc. Pac. 2001, 240, 345. [Google Scholar]
- Heckman, T.M. Galactic Superwinds Circa 2001. Astron. Soc. Pac. 2003, 254, 292. [Google Scholar]
- Veilleux, S.; Cecil, G.; Bland-Hawthorn, J. Galactic winds. ARAstron. Astrophys. 2005, 43, 769–826. [Google Scholar] [CrossRef]
- Bolatto, A.D.; Warren, S.R.; Leroy, A.K. Suppression of star formation in the galaxy NGC 253 by a starburst-driven molecular wind. Nature 2013, 499, 450–453. [Google Scholar] [CrossRef]
- Nath, B.B.; Shchekinov, Y.A. Conditions for Supernovae-driven Galactic Wind. Astrophys. J. Lett. 2013, 777, L12. [Google Scholar] [CrossRef]
- Veilleux, S.; Maiolino, R.; Bolatto, A.D.; Aalto, S. Cool outflows in galaxies and their implications. Astron. Astrophys. Rev. 2020, 28, 2. [Google Scholar]
- Vasiliev, E.O.; Drozdov, S.A.; Nath, B.B.; Dettmar, R.-J.; Shchekinov, Y.A. Disc-halo gas outflows driven by stellar clusters as seen in multiwavelength tracers. Mon. Not. R. Astron. Soc. 2023, 520, 2655–2667. [Google Scholar] [CrossRef]
- Kennicutt, R.C., Jr.; Evan, N.J., II. Star Formation in the Milky Way and Nearby Galaxies. Annu. Rev. Astron. Astrophys. 2012, 50, 531–608. [Google Scholar] [CrossRef]
- Murray, N.; Quataert, E.; Thompson, T.A. On the Maximum Luminosity of Galaxies and Their Central Black Holes: Feedback from Momentum-driven Winds. Astrophys. J. 2005, 618, 569–585. [Google Scholar] [CrossRef]
- Mathis, J.S.; Rumple, W.; Nordsiek, K.H. The size distribution of interstellar grains. Astrophys. J. 1977, 217, 425–433. [Google Scholar] [CrossRef]
- Nozawa, T.; Kosaza, T.; Habe, A.; Dwek, E.; Umeda, H.; Tominaga, N.; Maeda, K.; Nomoto, K. Evolution of dust in primordial supernova remnants: Can dust grains formed in the ejecta survive and be injected into the early interstellar medium? Astrophys. J. 2007, 666, 955. [Google Scholar] [CrossRef]
- Mac Low, M.-M.; McCray, R.; Norman, M.L. Superbubble Blowout Dynamics. Astrophys. J. 1989, 337, 141. [Google Scholar] [CrossRef]
- Suchkov, A.A.; Balsara, D.S.; Heckman, T.M.; Leitherer, C. Dynamics and X-Ray Emission of a Galactic Superwind Interacting with Disk and Halo Gas. Astrophys. J. 1994, 430, 511–532. [Google Scholar] [CrossRef]
- Bisnovatyi-Kogan, G.S.; Silich, S.A. Shock-wave propagation in the nonuniform interstellar medium. Rev. Mod. Phys. 1995, 67, 661–712. [Google Scholar] [CrossRef]
- Mac Low, M.-M.; Ferrara, A. Starburst-driven Mass Loss from Dwarf Galaxies: Efficiency and Metal Ejection. Astrophys. J. 1999, 513, 142–155. [Google Scholar] [CrossRef]
- Dekel, A.; Birnboim, Y.; Engel, G.; Freundlich, J.; Goerdt, T.; Mumcuoglu, M.; Neistein, E.; Pichon, C.; Teyssier, R.; Zinger, E. Cold streams in early massive hot haloes as the main mode of galaxy formation. Nature 2009, 457, 451–454. [Google Scholar] [CrossRef]
- Mandelker, N.; van Dokkum, P.G.; Brodie, J.P.; van den Bosch, F.C.; Ceverino, D. Cold Filamentary Accretion and the Formation of Metal-poor Globular Clusters and Halo Stars. Astrophys. J. 2018, 861, 148. [Google Scholar] [CrossRef]
- Faucher-Giguŕe, C.-A. A model for the origin of bursty star formation in galaxies. Mon. Not. R. Astron. Soc. 2018, 473, 3717–3731. [Google Scholar] [CrossRef]
- Scalo, J.M.; Struck-Marcell, C. A Physical Mechanism for Bursts of Star Formation. Astrophys. J. 1986, 301, 77. [Google Scholar] [CrossRef]
- Orr, M.E.; Hayward, C.C.; Nelson, E.J.; Hopkins, P.F.; Faucher-Giguère, C.-A.; Kereš, D.; Chan, T.K.; Schmitz, D.M.; Miller, T.B. Stacked Star Formation Rate Profiles of Bursty Galaxies Exhibit “Coherent” Star Formation. Astrophys. J. 2017, 849, L2. [Google Scholar] [CrossRef]
- Orr, M.E.; Hayward, C.C.; Hopkins, P.F. A simple non-equilibrium feedback model for galaxy-scale star formation: Delayed feedback and SFR scatter. Mon. Not. R. Astron. Soc. 2019, 486, 4724–47376. [Google Scholar] [CrossRef]
- Valiante, R.; Schneider, R.; Salvadori, S.; Bianchi, S. The origin of the dust in high-redshift quasars: The case of SDSS J1148+5251. Mon. Not. R. Astron. Soc. 2011, 416, 1916–1935. [Google Scholar] [CrossRef]
- Palla, M.; De Looze, I.; Relaõ, M.; van der Giessen, S.; Dayal, P.; Ferrara, A.; Schneider, R.; Graziani, L.; Algera, H.S.B.; Aravena, M.; et al. Metal and dust evolution in ALMA REBELS galaxies: Insights for future JWST observations. Mon. Not. R. Astron. Soc. 2024, 528, 2407–2427. [Google Scholar] [CrossRef]
- Watson, D.; Christensen, L.; Knudsen, K.K.; Richard, J.; Gallazzi, A.; Michałowski, M.J. A dusty, normal galaxy in the epoch of reionization. Natur 2015, 519, 327–330. [Google Scholar] [CrossRef]
- Laporte, N.; Ellis, R.S.; Boone, F.; Bauer, F.E.; Quénard, D.; Roberts-Borsani, G.W.; Pellò, R.; Pèrez-Fournon, I.; Streblyanska, A. Dust in the Reionization Era: ALMA Observations of a z = 8.38 Gravitationally Lensed Galaxy. Astrophys. J. Lett. 2017, 837, L21. [Google Scholar] [CrossRef]
- Sugahara, Y.; Inoue, A.K.; Hashimoto, T.; Yamanaka, S.; Fujimoto, S.; Tamura, Y.; Matsuo, H.; Binggeli, C.; Zackrisson, E. Big Three Dragons: A [N II] 122 μm Constraint and New Dust-continuum Detection of a z = 7.15 Bright Lyman-break Galaxy with ALMA. Astrophys. J. 2021, 923, 5. [Google Scholar] [CrossRef]
- Hashimoto, T.; Inoue, A.K.; Sugahara, Y.; Fudamoto, Y.; Fujimoto, S.; Knudsen, K.K.; Matsuo, H.; Tamura, Y.; Yamanaka, S.; Harikane, Y. Big Three Dragons: Molecular Gas in a Bright Lyman-break Galaxy at z = 7.15. Astrophys. J. 2023, 952, 48. [Google Scholar] [CrossRef]
- Bakx, T.J.L.C.; Sommovigo, L.; Carniani, S.; Ferrara, A.; Akins, H.B.; Fujimoto, S.; Hagimoto, M.; Knudsen, K.K.; Pallottini, A.; Tamura, Y.; et al. Accurate dust temperature determination in a z = 7.13 galaxy. Mon. Not. R. Astron. Soc. 2021, 508, L58–L63. [Google Scholar] [CrossRef]
- Akins, H.B.; Casey, C.M.; Allen, N.; Bagley, M.B.; Dickinson, M.; Finkelstein, S.L.; Franco, M.; Harish, S.; Arrabal Haro, P.; Ilbert, O.; et al. Two Massive, Compact, and Dust-obscured Candidate z ≃ 8 Galaxies Discovered by JWST. Astrophys. J. 2023, 956, 16. [Google Scholar] [CrossRef]
- Glazer, K.; Bradăc, M.; Sanders, R.L.; Fujimoto, S.; Bolan, P.; Ferrara, A.; Strait, V.; Jones, T.; Lemaux, B.C.; Vallini, L.; et al. Studying [C II] emission in low-mass galaxies at z∼7. Mon. Not. R. Astron. Soc. 2024, 531, 945–952. [Google Scholar] [CrossRef]
- Béthermin, M.; Daddi, E.; Magdis, G.; Lagos, C.; Sargent, M.; Albrecht, M.; Aussel, H.; Bertoldi, F.; Buat, V.; Galametz, M.; et al. Evolution of the dust emission of massive galaxies up to z = 4 and constraints on their dominant mode of star formation. Astron. Astrophys. 2015, 573, A113. [Google Scholar] [CrossRef]
- Donevski, D.; Lapi, A.; Malek, K.D.; Liu, D.; Gómez-Guijarro, C.; Davé, R.; Kraljic, K.; Pantoni, L.; Man, A.; Fujimoto, S.; et al. In pursuit of giants. I. The evolution of the dust-to-stellar mass ratio in distant dusty galaxies Astron. Astrophys. 2020, 644, A144. [Google Scholar] [CrossRef]
- Donevski, D.; Damjanov, I.; Nanni, A.; Man, A.; Giulietti, M.; Romano, M.; Lapi, A.; Narayanan, D.; Davé, R.; Shivaei, I.; et al. In pursuit of giants. II. Evolution of dusty quiescent galaxies over the last six billion years from the hCOSMOS survey. Astron. Astrophys. 2023, 678, A35. [Google Scholar] [CrossRef]
- Gall, C.; Andersen, A.C.; Hjorth, J. Genesis and evolution of dust in galaxies in the early Universe. I. Modelling dust evolution in starburst galaxies. Astron. Astrophys. 2011, 528, A13. [Google Scholar] [CrossRef]
- Gall, C.; Hjorth, J.; Andersen, A.C. Production of dust by massive stars at high redshift. Astron. Astrophys. Rev. 2011, 19, 43. [Google Scholar] [CrossRef]
- Schneider, R.; Maiolino, R. The formation and cosmic evolution of dust in the early Universe. I. Dust sources. Astron. Astrophys. Rev. 2023, 32, 2. [Google Scholar] [CrossRef]
- Witstok, J.; Shivaei, I.; Smit, R.; Maiolino, R.; Carniani, S.; Curtis-Lake, E.; Ferruit, P.; Arribas, S.; Bunker, A.J.; Cameron, A.J.; et al. Carbonaceous dust grains seen in the first billion years of cosmic time. Nature 2023, 621, 267–270. [Google Scholar] [CrossRef]
- Markov, V.; Gallerani, S.; Ferrara, A.; Pallottini, A.; Parlanti, E.; Mascia, F.D.; Sommovigo, L.; Kohandel, M. The evolution of dust attenuation in z = 2 − 12 galaxies observed by JWST. Nat. Astron. 2025, 9, 458–468. [Google Scholar] [CrossRef]
- Polletta, M.; Frye, B.L.; Garuda, N.; Willner, S.P.; Berta, S.; Kneissl, R.; Dole, H.; Jansen, R.A.; Lehnert, M.D.; Cohen, S.H.; et al. JWST’s PEARLS: Resolved study of the stellar and dust components in starburst galaxies at cosmic noon. Astron. Astrophys. 2024, 690, 285. [Google Scholar] [CrossRef]
- Popping, G.; Somerville, R.S.; Galametz, M. The dust content of galaxies from z = 0 to z = 9. Mon. Not. R. Astron. Soc. 2017, 471, 3152–3185. [Google Scholar] [CrossRef]
- Liao, C.-L.; Chen, C.-C.; Wang, W.-H.; Smail, I.; Ao, Y.; Chapman, S.C.; Dudzevičiūtė, U.; Frias Castillo, M.; Lee, M.M.; Serjeant, S.; et al. An ALMA Spectroscopic Survey of the Brightest Submillimeter Galaxies in the SCUBA-2-COSMOS Field (AS2COSPEC): Physical Properties of z = 2 − 5 Ultra- and Hyperluminous Infrared Galaxies. Astrophys. J. 2024, 961, 226. [Google Scholar] [CrossRef]
- da Cunha, E.; Walter, F.; Smail, I.R.; Swinbank, A.M.; Simpson, J.M.; Decarli, R.; Hodge, J.A.; Weiss, A.; van der Werf, P.P.; Bertoldi, F.; et al. An ALMA Survey of Sub-millimeter Galaxies in the Extended Chandra Deep Field South: Physical Properties Derived from Ultraviolet-to-radio Modeling. Astrophys. J. 2015, 806, 110. [Google Scholar] [CrossRef]
- Rowlands, K.; Gomez, H.L.; Dunne, L. The dust budget crisis in high-redshift submillimetre galaxies. Mon. Not. R. Astron. Soc. 2014, 441, 1040–1058. [Google Scholar] [CrossRef]
- Péroux, C.; De Cia, A.; Howk, J.C. Observed dust surface density across cosmic times. Mon. Not. R. Astron. Soc. 2023, 522, 4852–4861. [Google Scholar] [CrossRef]
- Bianchi, S.; Schneider, R. Dust formation and survival in supernova ejecta. Mon. Not. R. Astron. Soc. 2007, 378, 973–982. [Google Scholar] [CrossRef]
- Sarangi, A.; Cherchneff, I. The Chemically Controlled Synthesis of Dust in Type II-P Supernovae. Astrophys. J. 2013, 776, 107. [Google Scholar] [CrossRef]
- Sarangi, A.; Cherchneff, I. Condensation of dust in the ejecta of Type II-P supernovae. Astron. Astrophys. 2015, 575, A95. [Google Scholar]
- Marassi, S.; Schneider, R.; Limongi, M.; Chieffi, A.; Graziani, L.; Bianchi, S. Supernova dust yields: The role of metallicity, rotation, and fallback. Mon. Not. R. Astron. Soc. 2019, 484, 2587–2604. [Google Scholar] [CrossRef]
- Nath, B.B.; Laskar, T.; Shull, J.M. Dust Sputtering by Reverse Shocks in Supernova Remnants. Astrophys. J. 2008, 682, 1055–1064. [Google Scholar] [CrossRef]
- Hirashita, H.; Ferrara, A.; Dayal, P.; Ouchi, M. Constraining dust formation in high-redshift young galaxies. Mon. Not. R. Astron. Soc. 2014, 443, 1704–1712. [Google Scholar] [CrossRef]
- Slavin, J.D.; Dwek, E.; Mac Low, M.-M.; Hill, A.S. The Dynamics, Destruction, and Survival of Supernova-formed Dust Grains. Astrophys. J. 2020, 902, 135. [Google Scholar] [CrossRef]
- Vasiliev, E.O.; Shchekinov, Y.A. Dust evolution in a supernova interacting with the ISM. Mon. Not. R. Astron. Soc. 2024, 527, 8755–8767. [Google Scholar] [CrossRef]
- Draine, B.T. Evolution of interstellar dust. Astron. Soc. Pac. 1990, 12, 193. [Google Scholar]
- Dwek, E. The Evolution of the Elemental Abundances in the Gas and Dust Phases of the Galaxy. Astrophys. J. 1998, 501, 643. [Google Scholar] [CrossRef]
- Asano, R.S.; Takeuchi, T.T.; Hirashita, H.; Inoue, A.K. Dust formation history of galaxies: A critical role of metallicity* for the dust mass growth by accreting materials in the interstellar medium. Earth Planets Space 2013, 65, 213–222. [Google Scholar] [CrossRef]
- Asano, R.S.; Takeuchi, T.T.; Hirashita, H.; Nozawa, T. What determines the grain size distribution in galaxies? Mon. Not. R. Astron. Soc. 2013, 432, 637–652. [Google Scholar] [CrossRef]
- Narayanan, D.; Stark, D.P.; Finkelstein, S.L.; Torrey, P.; Li, Q.; Cullen, F.; Topping, M.W.; Marinacci, F.; Sales, L.V.; Shen, X.; et al. The Ultraviolet Slopes of Early Universe Galaxies: The Impact of Bursty Star Formation, Dust, and Nebular Continuum Emission. Astrophys. J. 2025, 982, 7. [Google Scholar] [CrossRef]
- Galliano, F.; Galametz, M.; Jones, A.P. The Interstellar Dust Properties of Nearby Galaxies. Annu. Rev. Astron. Astrophys. 2018, 56, 673–713. [Google Scholar] [CrossRef]
- Ceccarelli, C.; Viti, S.; Balucani, N.; Taquet, V. The evolution of grain mantles and silicate dust growth at high redshif. Mon. Not. R. Astron. Soc. 2018, 476, 1371–1383. [Google Scholar] [CrossRef]
- Ferrara, A.; Viti, S.; Ceccarelli, C. The problematic growth of dust in high-redshift galaxies. Mon. Not. R. Astron. Soc. 2016, 463, L112–L116. [Google Scholar] [CrossRef]
- Spitzer, L. Physical Processes in the Interstellar Medium; Wiley: New York, NY, USA, 1978. [Google Scholar]
- Sommovigo, L.; Ferrara, A.; Pallottini, A.; Dayal, P.; Bouwens, R.J.; Smit, R.; da Cunha, E.; De Looze, I.; Bowler, R.A.A.; Hodge, J.; et al. The ALMA REBELS Survey: Cosmic dust temperature evolution out to z∼7. Mon. Not. R. Astron. Soc. 2022, 513, 3122–3135. [Google Scholar] [CrossRef]
- He, J.; Acharyya, K.; Vidali, G. Sticking of Molecules on Nonporous Amorphous Water Ice. Astrophys. J. 2016, 823, 56. [Google Scholar] [CrossRef]
- Bossion, D.; Sarangi, A.; Aalto, S.; Esmerian, C.; Hashemi, S.R.; Knudsen, K.K.; Vlemmings, W.; Nyman, G. Accurate sticking coefficient calculation for carbonaceous dust growth through accretion and desorption in astrophysical environments. Astron. Astrophys. 2024, 692, A249. [Google Scholar] [CrossRef]
- Draine, B.T. Physics of the Interstellar and Intergalactic Medium; Princeton University Press: Princeton, NJ, USA, 2011. [Google Scholar]
- Hosokawa, T.; Inutsuka, S.-I. Dynamical Expansion of Ionization and Dissociation Front around a Massive Star. II. On the Generality of Triggered Star Formation. Astrophys. J. 2006, 646, 240–257. [Google Scholar] [CrossRef]
- Gupta, S.; Nath, B.B.; Sharma, P.; Shchekinov, Y. How radiation affects superbubbles: Through momentum injection in early phase and photo-heating thereafter. Mon. Not. R. Astron. Soc. 2016, 462, 4532–4548. [Google Scholar] [CrossRef]
- Haid, S.; Walch, S.; Seifried, D.; Wünsch, R.; Dinnbier, F.; Naab, T. The relative impact of photoionizing radiation and stellar winds on different environments. Mon. Not. R. Astron. Soc. 2018, 478, 4799–4815. [Google Scholar] [CrossRef]
- Dwarkadas, V.V. On the Evolution of, and Hot Gas in, Wind-Blown Bubbles around Massive Stars-Wind Bubbles Are Not Energy-Conserving. Galaxies 2023, 11, 78. [Google Scholar] [CrossRef]
- Kourniotis, M.; Wünsch, R.; Martínez-González, S. Simulations of pre-supernova feedback in spherical clouds. Mon. Not. R. Astron. Soc. 2023, 521, 5686–5698. [Google Scholar] [CrossRef]
- Nanni, A.; Cristallo, S.; Donevski, D.; Michałowski, M.J.; Romano, M.; Sawant, P. Dust survival in harsh environments. Investigating the relevance of photo-evaporation process. Astron. Astrophys. 2024, 684, A361. [Google Scholar] [CrossRef]
- Shchekinov, Y.A.; Nath, B.B. Survival of dust in superdusty galaxies at redshifts z = 7 − 8. 2025; submitted. [Google Scholar]
- André, P.; Men’shchikov, A.; Bontemps, S.; Könyves, V.; Motte, F.; Schneider, N.; Didelon, P.; Minier, V.; Saraceno, P.; Ward-Thompson, D.; et al. From filamentary clouds to prestellar cores to the stellar IMF: Initial highlights from the Herschel Gould Belt Survey. Astron. Astrophys. 2022, 518, L102. [Google Scholar] [CrossRef]
- Zavagno, A.; André, P.; Schuller, F.; Peretto, N.; Shimajiri, Y.; Arzoumanian, D.; Csengeri, T.; Figueira, M.; Fuller, G.A.; Könyves, V.; et al. The role of Galactic H II regions in the formation of filaments. High-resolution submilimeter imaging of RCW 120 with ArTéMiS. Astron. Astrophys. 2020, 638, A7. [Google Scholar] [CrossRef]
- Poludnenko, A.Y.; Frank, A.; Blackman, E.G. Hydrodynamic Interaction of Strong Shocks with Inhomogeneous Media. I. Adiabatic Case. Astrophys. J. 2002, 576, 832–848. [Google Scholar] [CrossRef]
- Korolev, V.V.; Vasiliev, E.O.; Kovalenko, I.G.; Shchekinov, Y.A. Dynamics of a supernova envelope in a cloudy interstellar medium. ARep 2015, 59, 690–708. [Google Scholar] [CrossRef]
- Faucher-Giguére, C.-A.; Oh, S.P. Key Physical Processes in the Circumgalactic Medium. ARAstron. Astrophys. 2023, 61, 131–195. [Google Scholar] [CrossRef]
- Schneider, E.E.; Robertson, B.E. Hydrodynamical Coupling of Mass and Momentum in Multiphase Galactic Winds. Astrophys. J. 2017, 834, 144. [Google Scholar] [CrossRef]
- Villares, A.S.; Banda-Barragán, W.E.; Rojas, C. Hydrodynamic shielding in radiative multicloud outflows within multiphase galactic winds. Mon. Not. R. Astron. Soc. 2024, 535, 1163–1182. [Google Scholar] [CrossRef]
- Zhang, D.; Thompson, T.A.; Quataert, E.; Murray, N. Entrainment in trouble: Cool cloud acceleration and destruction in hot supernova-driven galactic winds. Mon. Not. R. Astron. Soc. 2017, 468, 4801–4814. [Google Scholar] [CrossRef]
- Zhang, D.; Davis, S.W.; Jiang, Y.-F.; Stone, J.M. Dusty Cloud Acceleration by Radiation Pressure in Rapidly Star-forming Galaxies. Astrophys. J. 2018, 854, 110. [Google Scholar] [CrossRef]
- Gronke, M.; Oh, S.P. The growth and entrainment of cold gas in a hot wind. Mon. Not. R. Astron. Soc. 2018, 480, L111–L115. [Google Scholar] [CrossRef]
- Bakx, T.J.L.C.; Zavala, J.A.; Mitsuhashi, I.; Treu, T.; Fontana, A.; Tadaki, K.-i.; Casey, C.M.; Castellano, M.; Glazebrook, K.; Hagimoto, M.; et al. Deep ALMA redshift search of a z ∼ 12 GLASS-JWST galaxy candidate. Mon. Not. R. Astron. Soc. 2023, 519, 5076–5085. [Google Scholar] [CrossRef]
- Slavin, J.D.; Dwek, E.; Jones, A.P. Destruction of Interstellar Dust in Evolving Supernova Remnant Shock Waves. Astrophys. J. 2015, 803, 7. [Google Scholar] [CrossRef]
- Pearson, W.J.; Wang, L.; Alpaslan, M.; Baldry, I.; Bilicki, M.; Brown, M.J.I.; Grootes, M.W.; Holwerda, B.W.; Kitching, T.D.; Kruk, S.; et al. Effect of galaxy mergers on star-formation rates. Astron. Astrophys. 2019, 631, A51. [Google Scholar] [CrossRef]
- Puskás, D.; Tacchella, S.; Simmonds, C.; Hainline, K.; D’Eugenio, F.; Alberts, S.; Arribas, S.; Baker, W.M.; Bunker, A.J.; Carniani, S.; et al. Constraining the major merger history of z∼ 9 galaxies using JADES: Dominant in-situ star formation. arXiv 2025, arXiv:2502.01721. [Google Scholar] [CrossRef]
- Kiyota, T.; Ouchi, M.; Xu, Y.; Nakazato, Y.; Soga, K.; Yajima, H.; Fujimoto, S.; Harikane, Y.; Nakajima, K.; Ono, Y.; et al. Comprehensive JWST+ALMA Study on the Extended Lyα Emitters, Himiko and CR7 at z∼7: Blue Major Merger Systems in Stark Contrast to Submillimeter Galaxies. arXiv 2025, arXiv:2504.03156. [Google Scholar]
- Chastenet, J.; De Looze, I.; Relaño, M.; Dale, D.A.; Williams, T.G.; Bianchi, S.; Xilouris, E.M.; Baes, M.; Bolatto, A.D.; Boyer, M.L.; et al. JWST MIRI and NIRCam observations of NGC 891 and its circumgalactic medium. Astron. Astrophys. 2024, 690, A348. [Google Scholar] [CrossRef]
- Ménard, B.; Scranton, R.; Fukugita, M.; Richards, G. Measuring the galaxy-mass and galaxy-dust correlations through magnification and reddening. Mon. Not. R. Astron. Soc. 2010, 405, 1025–1039. [Google Scholar] [CrossRef]
- Fukushima, H.; Yajima, H. Radiation hydrodynamics simulations of massive star cluster formation in giant molecular clouds. Mon. Not. R. Astron. Soc. 2021, 506, 5512–5539. [Google Scholar] [CrossRef]












| Time | 0.3 m | 0.1 m | 0.03 m | 0.01 m |
|---|---|---|---|---|
| 0.5 | 0.75 (0.95) | 0.3 (0.76) | 0.03 (0.3) | … (0.03) |
| 1.0 | 0.5 (0.8) | 0.1 (0.55) | … (0.06) | … (…) |
| 1.5 | 0.3 (0.75) | 0.03 (0.1) | … (…) | … (…) |
Disclaimer/Publisher’s Note: The statements, opinions and data contained in all publications are solely those of the individual author(s) and contributor(s) and not of MDPI and/or the editor(s). MDPI and/or the editor(s) disclaim responsibility for any injury to people or property resulting from any ideas, methods, instructions or products referred to in the content. |
© 2025 by the authors. Licensee MDPI, Basel, Switzerland. This article is an open access article distributed under the terms and conditions of the Creative Commons Attribution (CC BY) license (https://creativecommons.org/licenses/by/4.0/).
Share and Cite
Shchekinov, Y.A.; Nath, B.B. Dust at the Cosmic Dawn. Galaxies 2025, 13, 64. https://doi.org/10.3390/galaxies13030064
Shchekinov YA, Nath BB. Dust at the Cosmic Dawn. Galaxies. 2025; 13(3):64. https://doi.org/10.3390/galaxies13030064
Chicago/Turabian StyleShchekinov, Yuri A., and Biman B. Nath. 2025. "Dust at the Cosmic Dawn" Galaxies 13, no. 3: 64. https://doi.org/10.3390/galaxies13030064
APA StyleShchekinov, Y. A., & Nath, B. B. (2025). Dust at the Cosmic Dawn. Galaxies, 13(3), 64. https://doi.org/10.3390/galaxies13030064

