Pain in High-Dose-Rate Brachytherapy for Cervical Cancer: A Retrospective Cohort Study
Abstract
1. Introduction
2. Materials and Methods
2.1. Routine Peri-Procedural Management
2.2. Routine Pain Evaluation
2.3. Study Protocol
2.4. Statistical Analysis
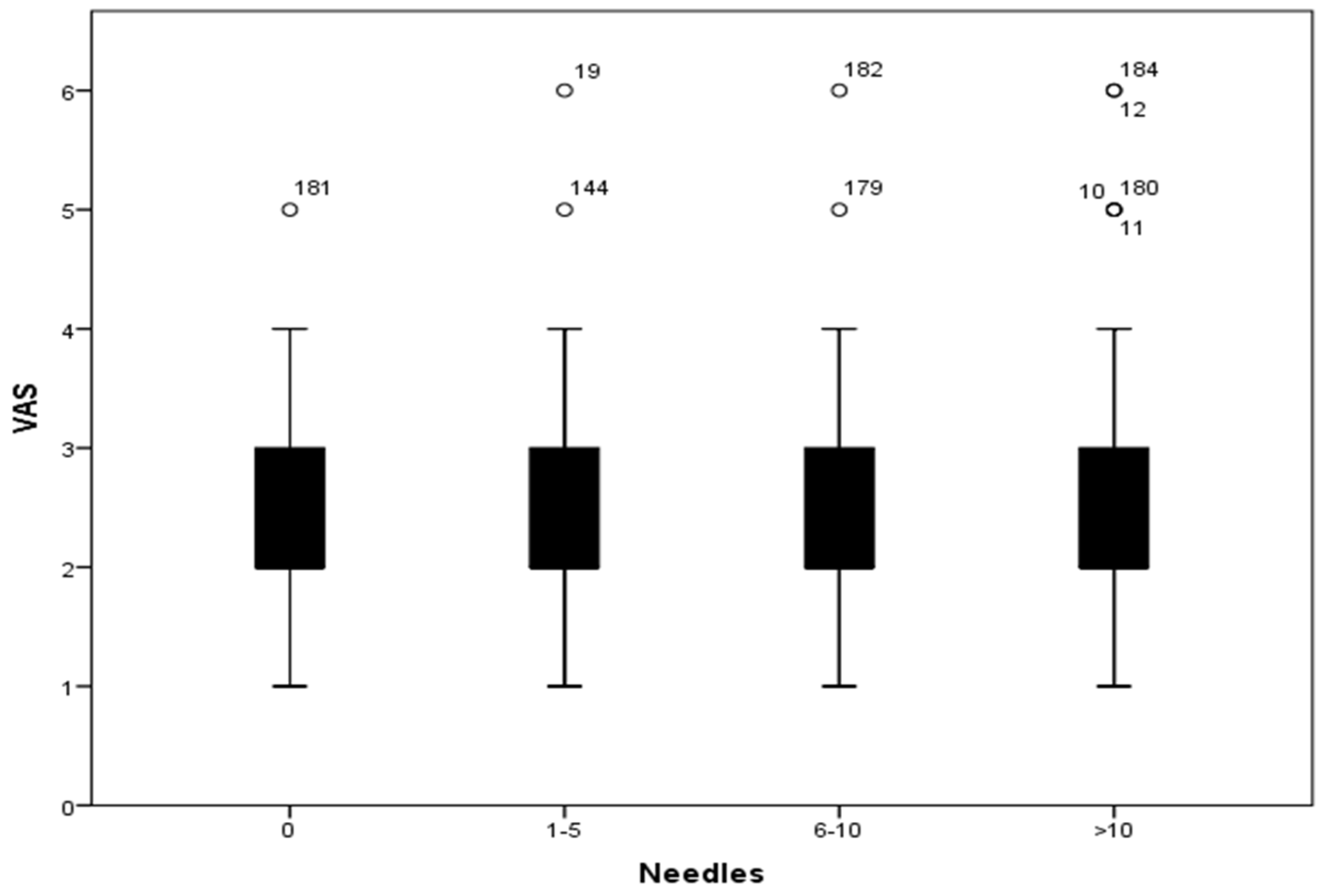
3. Results
4. Discussion
5. Conclusions
Author Contributions
Funding
Institutional Review Board Statement
Informed Consent Statement
Data Availability Statement
Acknowledgments
Conflicts of Interest
References
- Marth, C.; Landoni, F.; Mahner, S.; McCormack, M.; Gonzalez-Martin, A.; Colombo, N.; ESMO Guidelines Committee. Cervical cancer: ESMO Clinical Practice Guidelines for diagnosis, treatment and follow-up. Ann. Oncol. 2017, 28 (Suppl. S4), iv72–iv83. [Google Scholar] [CrossRef] [PubMed]
- Lee, L.J.; Das, I.J.; Higgins, S.A.; Jhingran, A.; Small, W.; Thomadsen, B.; Viswanathan, A.N.; Wolfson, A.; Eifel, P.; American Brachytherapy Society. American Brachytherapy Society consensus guidelines for locally advanced carcinoma of the cervix. Part III: Low-dose-rate and pulsed-dose-rate brachytherapy. Brachytherapy 2012, 11, 53–57. [Google Scholar] [CrossRef] [PubMed]
- Miglierini, P.; Malhaire, J.P.; Goasduff, G.; Miranda, O.; Pradier, O. Cervix cancer brachytherapy: High dose rate. Cancer Radiother. 2014, 18, 452–457. [Google Scholar] [CrossRef]
- Nag, S.; Erickson, B.; Thomadsen, B.; Orton, C.; Demanes, J.D.; Petereit, D. The american brachytherapy society recommendations for high-dose-rate brachytherapy for carcinoma of the cervix. Int. J. Radiat. Oncol. Biol. Phys. 2000, 48, 201–211. [Google Scholar] [CrossRef] [PubMed]
- Mayadev, J.; Viswanathan, A.; Liu, Y.; Li, C.; Albuquerque, K.; Damato, A.L.; Beriwal, S.; Erickson, B. American Brachytherapy Task Group Report: A pooled analysis of clinical outcomes for high-dose-rate brachytherapy for cervical cancer. Brachytherapy 2017, 16, 22–43. [Google Scholar] [CrossRef]
- Kwekkeboom, K.L.; Dendaas, N.R.; Straub, M.; Bradley, K.A. Patterns of pain and distress during high-dose-rate intracavity brachytherapy for cervical cancer. J. Support. Oncol. 2009, 7, 108–114. [Google Scholar]
- Smith, M.D.; Todd, J.G.; Symonds, R.P. Analgesia for pelvic brachytherapy. Br. J. Anaesth. 2002, 88, 270–276. [Google Scholar] [CrossRef]
- Roessler, B.; Six, L.M.; Gustorff, B. Anaesthesia for brachytherapy. Curr. Opin. Anaesthesiol. 2008, 21, 514–518. [Google Scholar] [CrossRef] [PubMed]
- Bhanabhai, H.; Samant, R.; Grenier, E.C.L.; Lowry, S. Pain assessment during conscious sedation for cervical cancer high-dose-rate brachytherapy. Curr. Oncol. 2013, 20, e307–e310. [Google Scholar] [CrossRef]
- Chen, H.C.; Leung, S.W.; Wang, C.J.; Sun, L.M.; Fang, F.M.; Huang, E.Y.; Wang, S.J.; Yang, C.W. Local vaginal anesthesia during high-dose-rate intracavitary brachytherapy for cervical cancer. Int. J. Radiat. Oncol. Biol. Phys. 1998, 42, 541–544. [Google Scholar] [CrossRef]
- Isoyama-Shirakawa, Y.; Nakamura, K.; Abe, M.; Kunitake, N.; Matsumoto, K.; Ohga, S.; Sasaki, T.; Uehara, S.; Okushima, K.; Shioyama, Y.; et al. Caudal epidural anesthesia during intracavitary brachytherapy for cervical cancer. J. Radiat. Res. 2015, 56, 583–587. [Google Scholar] [CrossRef] [PubMed]
- Kathirvel, S.; Sadhasivam, S.; Saxena, A.; Kannan, T.R.; Ganjoo, P. Effects of intrathecal ketamine added to bupivacaine for spinal anaesthesia. forum. Anaesthesia 2000, 55, 899–904. [Google Scholar] [CrossRef]
- Benrath, J.; Kozek-Langenecker, S.; Hüpfl, M.; Lierz, P.; Gustorff, B. Anaesthesia for brachytherapy—5½ yr of experience in 1622 procedures. Br. J. Anaesth. 2006, 96, 195–200. [Google Scholar] [CrossRef] [PubMed]
- Proud, C. The Use of Oral Transmucosal Fentanyl Citrate During High-Dose-Rate Gynecologic Brachytherapy. Clin. J. Oncol. Nurs. 2007, 11, 561–567. [Google Scholar] [CrossRef] [PubMed]
- Gan, T.J. Poorly controlled postoperative pain: Prevalence, consequences, and prevention. J. Pain Res. 2017, 10, 2287–2298. [Google Scholar] [CrossRef]
- Von Elm, E.; Altman, D.G.; Egger, M.; Pocock, S.J.; Gotzsche, P.C.; Vandenbroucke, J.P.; STROBE Initiative. The Strengthening the Reporting of Observational Studies in Epidemiology (STROBE) statement: Guidelines for reporting observational studies. Lancet 2007, 370, 1453–1457. [Google Scholar] [CrossRef]
- El-Aqoul, A.; Obaid, A.; Yacoub, E.; Al-Najar, M.; Ramadan, M.; Darawad, M. Factors associated with inadequate pain control among postoperative patients with cancer. Pain Manag. Nurs. 2018, 19, 130–138. [Google Scholar] [CrossRef]
- Watanabe Nemoto, M.; Nozaki-Taguchi, N.; Togasaki, G.; Kanazawa, A.; Kurokawa, M.; Harada, R.; Kobayashi, H.; Isono, S.; Uno, T. New approach to relieving pain and distress during high-dose-rate intracavitary irradiation for cervical cancer. Brachytherapy 2015, 14, 642–647. [Google Scholar] [CrossRef]
- Nielsen, A.A.; Liyanage, T.A.; Leiserowitz, G.S.; Mayadev, J. Optimal perioperative anesthesia management for gynecologic interstitial brachytherapy. J. Contemp. Brachyther. 2017, 9, 216–223. [Google Scholar] [CrossRef]
- Tekin, A.B.; Yassa, M.; Kaya, C.; Budak, D.; Ilter, P.B.; Mutlu, M.A.; Usta, C.; Gunkaya, O.S.; Yavuz, E.; Tug, N. Implementing the transvaginal natural orifice transluminal endoscopic surgery (vNOTES) “first” strategy in benign gynecological surgeries. Arch. Gynecol. Obstet. 2023, 307, 1007–1013. [Google Scholar] [CrossRef]
- Thanthong, S.; Rojthamarat, S.; Worasawate, W.; Vichitvejpaisal, P.; Nantajit, D.; Ieumwananontachai, N. Comparison of efficacy of meperidine and fentanyl in terms of pain management and quality of life in patients with cervical cancer receiving intracavitary brachytherapy: A double-blind, randomized controlled trial. Support. Care Cancer. 2017, 25, 2531–2537. [Google Scholar] [CrossRef]
- Chatterjee, A.; Grover, S.; Gurram, L.; Sastri, S.; Mahantshetty, U. Patterns of cervical cancer brachytherapy in India: Results of an online survey supported by the Indian Brachytherapy Society. J. Contemp. Brachyther. 2019, 11, 527–533. [Google Scholar] [CrossRef] [PubMed]
- Kumar, D.; Srinivasa, G.Y.; Gupta, A.; Rai, B.; Oinam, A.S.; Bansal, P.; Ghoshal, S. Comparative study to evaluate dosimetric differences in patients of locally advanced carcinoma cervix undergoing intracavitary brachytherapy under two different anaesthesia techniques: An audit from a tertiary cancer centre in India. J. Egypt Natl. Cancer Inst. 2019, 31, 5. [Google Scholar] [CrossRef] [PubMed]
- Wiebe, E.; Surry, K.; Derrah, L.; Murray, T.; Hammond, A.; Yaremko, B.; D’Souza, D. Pain and symptom assessment during multiple fractions of gynecologic high-dose-rate brachytherapy. Brachytherapy 2011, 10, 352–356. [Google Scholar] [CrossRef]
- Leong, Y.H.; Tan, K.H.S.; Choo, B.A.; Koh, V.Y.; Tang, J.I. Novel anesthetic technique for combined intracavitary and interstitial brachytherapy for cervix cancer in an outpatient setting. J. Contemp. Brachyther. 2017, 9, 236–241. [Google Scholar] [CrossRef] [PubMed]
- Amsbaugh, A.K.; Amsbaugh, M.J.; El-Ghamry, M.N.; Derhake, B.M. Optimal epidural analgesia for patients diagnosed as having gynecologic cancer undergoing interstitial brachytherapy. J. Clin. Anesth. 2016, 35, 509–515. [Google Scholar] [CrossRef] [PubMed]
- Janaki, M.G.; Nirmala, S.; Kadam, A.R.; Ramesh, B.S.; Sunitha, K.S. Epidural analgesia during brachytherapy for cervical cancer patients. J. Cancer Res. Ther. 2008, 4, 60–63. [Google Scholar] [CrossRef]
- Lim, K.H.; Lu, J.J.; Wynne, C.K.; Back, M.F.; Mukherjee, R.; Razvi, K.; Shakespeare, T.P. A study of complications arising from different methods of anesthesia used in high-dose-rate brachytherapy for cervical cancer. Am. J. Clin. Oncol. 2004, 27, 449–451. [Google Scholar] [CrossRef]
- Frankart, A.J.; Meier, T.; Minges, T.L.; Kharofa, J. Comparison of spinal and general anesthesia approaches for MRI-guided brachytherapy for cervical cancer. Brachytherapy 2018, 17, 761–767. [Google Scholar] [CrossRef]
- Mitchell, A.J.; Chan, M.; Bhatti, H.; Halton, M.; Grassi, L.; Johansen, C.; Meader, N. Prevalence of depression, anxiety, and adjustment disorder in oncological, haematological, and palliative-care settings: A meta-analysis of 94 interview-based studies. Lancet Oncol. 2011, 12, 160–174. [Google Scholar] [CrossRef]
- Yang, Y.L.; Liu, L.; Wang, X.X.; Wang, Y.; Wang, L. Prevalence and associated positive psychological variables of depression and anxiety among Chinese cervical cancer patients: A cross-sectional study. PLoS ONE 2014, 9, e94804. [Google Scholar] [CrossRef] [PubMed]
- Lebel, S.; Devins, G.M. Stigma in cancer patients whose behavior may have contributed to their disease. Future Oncol. 2008, 4, 717–733. [Google Scholar] [CrossRef]
- Humphrey, P.; Bennett, C.; Cramp, F. The experiences of women receiving brachytherapy for cervical cancer: A systematic literature review. Radiography 2018, 24, 396–403. [Google Scholar] [CrossRef]
- Kirchheiner, K.; Czajka-Pepl, A.; Ponocny-Seliger, E.; Scharbert, G.; Wetzel, L.; Nout, R.A.; Sturdza, A.; Dimopoulos, J.C.; Dörr, W.; Pötter, R. Posttraumatic stress disorder after high-dose-rate brachytherapy for cervical cancer with 2 fractions in 1 application under spinal/epidural anesthesia: Incidence and risk factors. Int. J. Radiat. Oncol. Biol. Phys. 2014, 89, 260–267. [Google Scholar] [CrossRef] [PubMed]
- Valencia, L.; Becerra, Á.; Ojeda, N.; Domínguez, A.; Prados, M.; González-Martín, J.M.; Rodríguez-Pérez, A. Effect of preoperative anxiety on postoperative pain after craniotomy. J. Clin. Med. 2022, 11, 556. [Google Scholar] [CrossRef] [PubMed]
- Frauenknecht, J.; Kirkham, K.R.; Jacot-Guillarmod, A.; Albrecht, E. Analgesic impact of intra-operative opioids vs. opioid-free anaesthesia: A systematic review and meta-analysis. Anaesthesia 2019, 74, 651–662. [Google Scholar] [CrossRef]
- Chen, X.; Yao, J.; Xin, Y.; Ma, G.; Yu, Y.; Yang, Y.; Shu, X.; Cao, H. Postoperative pain in patients undergoing cancer surgery and intravenous patient-controlled analgesia use: The first and second 24 h experiences. Pain Ther. 2023, 12, 275–292. [Google Scholar] [CrossRef]



| Analgesic Protocols | Drugs |
|---|---|
| Protocol A | Tramadol (400–300 mg) + NSAIDs (metamizole 12 g or dexketoprofen 300 mg) + antiemetic (metoclopramide 60 mg) |
| Protocol B | Tramadol (150 mg) + NSAIDs (metamizole 12 g) + antiemetic (metoclopramide 60 mg) |
| Protocol C | NSAIDs (metamizole 12 g or dexketoprofen 300 mg) |
| Protocol D | Morphine + PCA + metamizole 2 g or acetaminophen 1 g each 8 h |
| Patients (n = 154) | ||
|---|---|---|
| Age, years old | 54 (43–63) | |
| Weight, kg | 63 (56–70) | |
| BMI, kg·m−2 | 23.9 (21.1–27.4) | |
| ASA physical status, n (%) | II | 59 (38.3) |
| III | 95 (61.7) | |
| Smoker, n (%) | Current smoker | 48 (31.2) |
| Ex-smoker | 23 (15.0) | |
| Alcohol consumption, n (%) | Current | 8 (5.2) |
| Former | 1 (0.7) | |
| Psychiatric comorbidities, n (%) | Depression | 17 (11.0) |
| Anxiety | 9 (5.8) | |
| Therapy for chronic pain, n (%) | 11 (7.1) | |
| Treatments (n = 247) | ||
| VAS, n (%) | 1 | 26 (10.5) |
| 2 | 116 (47.0) | |
| 3 | 60 (24.3) | |
| 4 | 35 (14.2) | |
| 5 | 6 (2.4) | |
| 6 | 4 (1.6) | |
| SAS, n (%) | Excellent | 15 (6.1) |
| Good | 179 (72.5) | |
| Fair | 51 (20.6) | |
| Poor | 2 (0.8) | |
| Additional analgesic requirements, n (%) | 0 | 140 (56.7) |
| 1 | 44 (17.8) | |
| ≥2 | 63 (25.5) | |
| Treatments (n = 247) | ||||||
|---|---|---|---|---|---|---|
| Protocol A (n = 187) | Protocol B (n = 42) | Protocol C (n = 11) | Protocol D (n = 7) | p-Value | ||
| Age, years old | 54 (51–56) | 60 (55–65) | 67 (55–78) | 46 (36–57) | 0.001 | |
| Weight, kg | 52 (49–55) | 63 (56–69) | 66 (55–76) | 48 (45–54) | 0.001 | |
| BMI, kg·m−2 | 23.9 (22.9–24.9) | 25.0 (22.2–27.8) | 24.6 (21.5–27.8) | 20 (19.1–25.4) | 0.210 | |
| Anesthesia duration, min | 82 ± 27 | 90 ± 36 | 105 ± 35 | 113 ± 45 | 0.055 | |
| ASA physical status, n (%) | II | 78 (41.8) | 11 (26.2) | 1 (9.1) | 7 (100) | 0.223 |
| III | 109 (58.2) | 31 (73.8) | 10 (90.9) | 0 (0) | ||
| Smoker, n (%) | Current | 58 (31.0) | 8 (19.0) | 3 (27.3) | 3 (42.8) | 0.921 |
| Ex-smoker | 29 (15.5) | 15 (35.7) | 2 (18.2) | 0 (0) | ||
| Alcohol consumption, n (%) | Current | 8 (4.3) | 0 (0) | 1 (9.1) | 0 (0) | 0.977 |
| Former | 2 (1.1) | 0 (0) | 0 (0) | 0 (0) | ||
| Psychiatric comorbidities, n (%) | Depression | 29 (15.5) | 6 (14.3) | 0 (0) | 3 (42.8) | 0.811 |
| Anxiety | 4 (2.1) | 3 (7.1) | 3 (27.3) | 0 (0) | ||
| Therapy for chronic pain, n (%) | 8 (4.3) | 4 (9.5) | 3 (27.3) | 2 (28.5) | 0.027 | |
| Analgesic Protocol, n (%) | VAS | SAS, n (%) | Additional Analgesic Requirements, n (%) | |||
|---|---|---|---|---|---|---|
| Protocol A | 187 (73.2) | 2.56 ± 1.05 | Excellent | 13 (6.9) | None | 101 (54.0) |
| Good | 133 (71.1) | Once | 34 (18.2) | |||
| Fair | 39 (20.9) | Twice | 34 (18.2) | |||
| Poor | 2 (1.1) | Three-times | 18 (9.6) | |||
| Protocol B | 42 (20.7) | 2.48 ± 0.74 | Excellent | 1 (2.4) | None | 25 (59.5) |
| Good | 36 (85.7) | Once | 9 (21.4) | |||
| Fair | 5 (11.9) | Twice | 6 (14.3) | |||
| Poor | 0 (0.0) | Three-times | 2 (4.8) | |||
| Protocol C | 11 (3.3) | 2.09 ± 0.94 | Excellent | 0 (0.0) | None | 8 (72.7) |
| Good | 9 (81.8) | Once | 1 (9.1) | |||
| Fair | 2 (18.2) | Twice | 2 (18.2) | |||
| Poor | 0 (0.0) | Three-times | 0 (0) | |||
| Protocol D | 7 (2.9) | 3.71 ± 1.79 | Excellent | 1 (14.3) | None | 6 (85.7) |
| Good | 1 (14.3) | Once | 0 (0) | |||
| Fair | 5 (71.4) | Twice | 1 (14.3) | |||
| Poor | 0 (0.0) | Three-times | 0 (0) | |||
| p-value | 0.010 | 0.034 | 0.659 | |||
| Intraprocedural Anesthesia, n (%) | VAS | SAS, n (%) | Additional Analgesic Requirements, n (%) | |||
|---|---|---|---|---|---|---|
| General | 65 (26.3) | 2.36 ± 0.86 | Excellent | 3 (4.6) | None | 39 (60.0) |
| Good | 52 (80.0) | Once | 9 (13.8) | |||
| Fair | 10 (15.4) | Twice | 14 (21.5) | |||
| Poor | 0 (0.0) | Three times | 3 (4.6) | |||
| Spinal | 182 (73.7) | 2.62 ± 1.09 | Excellent | 12 (6.6) | None | 101 (55.5) |
| Good | 127 (69.8) | Once | 35 (19.2) | |||
| Fair | 41 (22.5) | Twice | 29 (15.9) | |||
| Poor | 2 (1.1) | Three times | 17 (9.3) | |||
| p-value | 0.092 | 0.408 | 0.371 | |||
Disclaimer/Publisher’s Note: The statements, opinions and data contained in all publications are solely those of the individual author(s) and contributor(s) and not of MDPI and/or the editor(s). MDPI and/or the editor(s) disclaim responsibility for any injury to people or property resulting from any ideas, methods, instructions or products referred to in the content. |
© 2023 by the authors. Licensee MDPI, Basel, Switzerland. This article is an open access article distributed under the terms and conditions of the Creative Commons Attribution (CC BY) license (https://creativecommons.org/licenses/by/4.0/).
Share and Cite
Becerra-Bolaños, Á.; Jiménez-Gil, M.; Federico, M.; Domínguez-Díaz, Y.; Valencia, L.; Rodríguez-Pérez, A. Pain in High-Dose-Rate Brachytherapy for Cervical Cancer: A Retrospective Cohort Study. J. Pers. Med. 2023, 13, 1187. https://doi.org/10.3390/jpm13081187
Becerra-Bolaños Á, Jiménez-Gil M, Federico M, Domínguez-Díaz Y, Valencia L, Rodríguez-Pérez A. Pain in High-Dose-Rate Brachytherapy for Cervical Cancer: A Retrospective Cohort Study. Journal of Personalized Medicine. 2023; 13(8):1187. https://doi.org/10.3390/jpm13081187
Chicago/Turabian StyleBecerra-Bolaños, Ángel, Miriam Jiménez-Gil, Mario Federico, Yurena Domínguez-Díaz, Lucía Valencia, and Aurelio Rodríguez-Pérez. 2023. "Pain in High-Dose-Rate Brachytherapy for Cervical Cancer: A Retrospective Cohort Study" Journal of Personalized Medicine 13, no. 8: 1187. https://doi.org/10.3390/jpm13081187
APA StyleBecerra-Bolaños, Á., Jiménez-Gil, M., Federico, M., Domínguez-Díaz, Y., Valencia, L., & Rodríguez-Pérez, A. (2023). Pain in High-Dose-Rate Brachytherapy for Cervical Cancer: A Retrospective Cohort Study. Journal of Personalized Medicine, 13(8), 1187. https://doi.org/10.3390/jpm13081187

