Serum and Synovial Markers in Patients with Rheumatoid Arthritis and Periprosthetic Joint Infection
Abstract
:1. Introduction
2. Materials and Methods
2.1. Patients
2.2. Statistical Analysis
3. Results
3.1. Patient Characteristics
3.2. Pathology and Microbiology
3.3. Laboratory
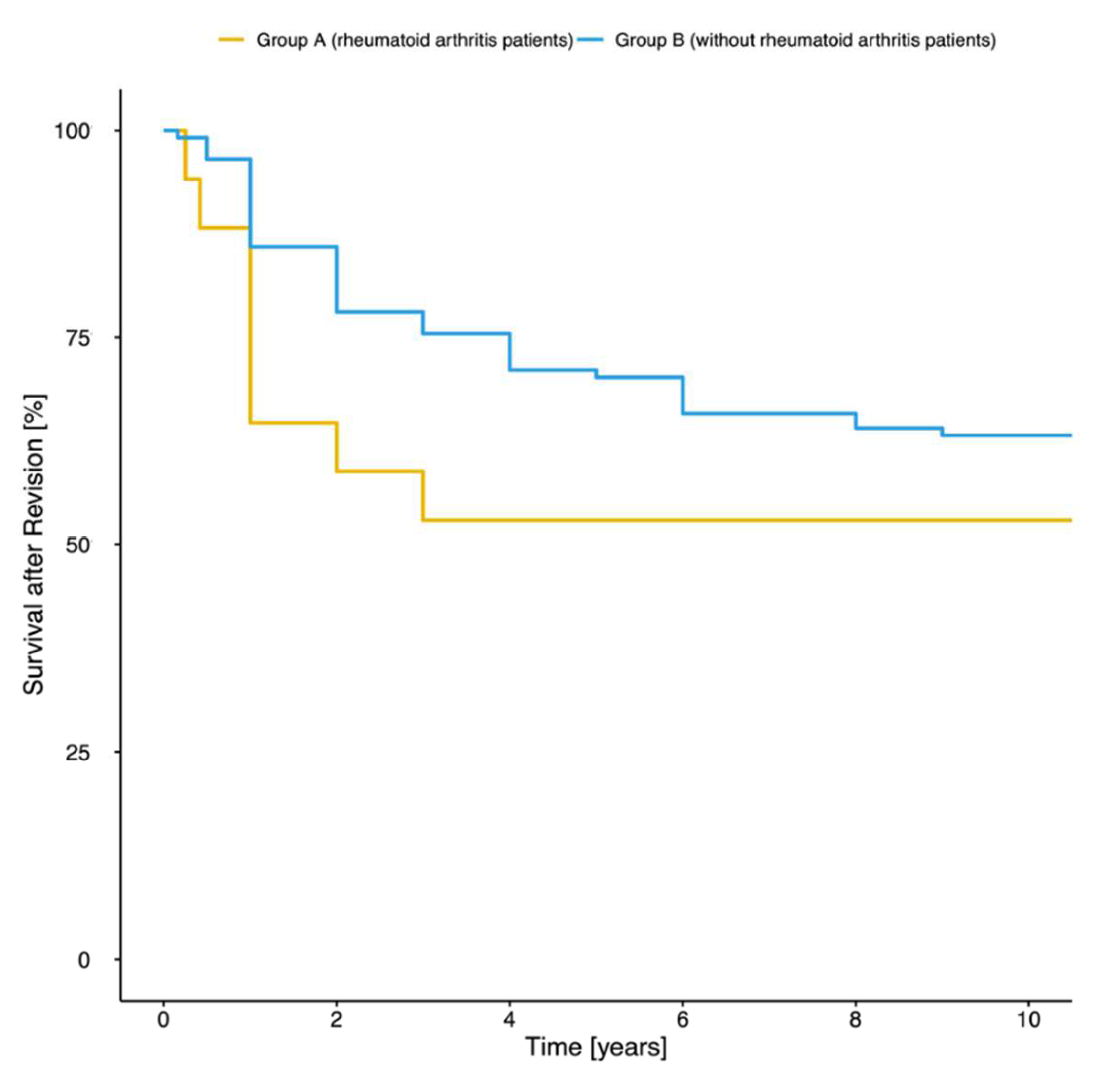
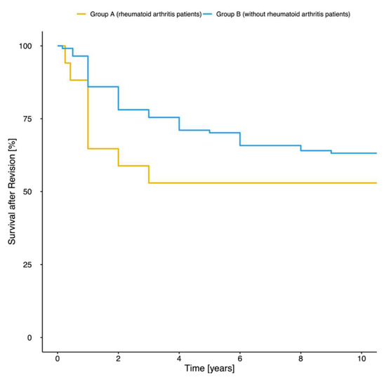
3.4. Prosthesis Survival
4. Discussion
Author Contributions
Funding
Institutional Review Board Statement
Data Availability Statement
Acknowledgments
Conflicts of Interest
Abbreviations
References
- Delanois, R.E.; Mistry, J.B.; Gwam, C.U.; Mohamed, N.S.; Choksi, U.S.; Mont, M.A. Current Epidemiology of Revision Total Knee Arthroplasty in the United States. J. Arthroplast. 2017, 32, 2663–2668. [Google Scholar] [CrossRef] [PubMed]
- Kurtz, S.M.; Lau, E.; Schmier, J.; Ong, K.L.; Zhao, K.; Parvizi, J. Infection Burden for Hip and Knee Arthroplasty in the United States. J. Arthroplast. 2008, 23, 984–991. [Google Scholar] [CrossRef] [PubMed]
- Kapadia, B.H.; Berg, R.A.; Daley, J.A.; Fritz, J.; Bhave, A.; Mont, M.A. Periprosthetic joint infection. Lancet 2016, 387, 386–394. [Google Scholar] [CrossRef]
- Zimmerli, W.; Trampuz, A.; Ochsner, P.E. Prosthetic-joint infections. N. Engl. J. Med. 2004, 351, 1645–1654. [Google Scholar] [CrossRef] [Green Version]
- Huotari, K.; Peltola, M.; Jamsen, E. The incidence of late prosthetic joint infections: A registry-based study of 112,708 primary hip and knee replacements. Acta Orthop. 2015, 86, 321–325. [Google Scholar] [CrossRef] [Green Version]
- Insall, J.N.; Thompson, F.M.; Brause, B.D. Two-stage reimplantation for the salvage of infected total knee arthroplasty. J. Bone Jt. Surg. 1983, 65, 1087–1098. [Google Scholar] [CrossRef] [Green Version]
- Poss, R.; Thornhill, T.S.; Ewald, F.C.; Thomas, W.H.; Batte, N.J.; Sledge, C.B. Factors influencing the incidence and outcome of infection following total joint arthroplasty. Clin. Orthop. Relat. Res. 1984, 182, 117–126. [Google Scholar] [CrossRef]
- Argenson, J.N.; Arndt, M.; Babis, G.; Battenberg, A.; Budhiparama, N.; Catani, F.; Chen, F.; de Beaubien, B.; Ebied, A.; Esposito, S.; et al. Hip and Knee Section, Treatment, Debridement and Retention of Implant: Proceedings of International Consensus on Orthopedic Infections. J. Arthroplast. 2019, 34, S399–S419. [Google Scholar] [CrossRef]
- Nace, J.; Siddiqi, A.; Talmo, C.T.; Chen, A.F. Diagnosis and Management of Fungal Periprosthetic Joint Infections. J. Am. Acad. Orthop. Surg. 2019, 27, e804–e818. [Google Scholar] [CrossRef]
- Kuiper, J.W.; Rustenburg, C.M.; Willems, J.H.; Verberne, S.J.; Peters, E.J.; Saouti, R. Results and Patient Reported Outcome Measures (PROMs) after One-Stage Revision for Periprosthetic Joint Infection of the Hip: A Single-centre Retrospective Study. J. Bone Jt. Infect. 2018, 3, 143–149. [Google Scholar] [CrossRef]
- Kienzle, A.; Walter, S.; Palmowski, Y.; Kirschbaum, S.; Biedermann, L.; von Roth, P.; Perka, C.; Müller, M. Influence of Gender on Occurrence of Aseptic Loosening and Recurrent PJI after Revision Total Knee Arthroplasty. Osteology 2021, 1, 92–104. [Google Scholar] [CrossRef]
- Kienzle, A.; Walter, S.; Von Roth, P.; Fuchs, M.; Winkler, T.; Müller, M. High Rates of Aseptic Loosening After Revision Total Knee Arthroplasty for Periprosthetic Joint Infection. JBJS Open Access 2020, 5, e20.00026. [Google Scholar] [CrossRef] [PubMed]
- Goswami, K.; Parvizi, J.; Maxwell Courtney, P. Current Recommendations for the Diagnosis of Acute and Chronic PJI for Hip and Knee-Cell Counts, Alpha-Defensin, Leukocyte Esterase, Next-generation Sequencing. Curr. Rev. Musculoskelet. Med. 2018, 11, 428–438. [Google Scholar] [CrossRef] [PubMed]
- Parvizi, J.; Tan, T.L.; Goswami, K.; Higuera, C.; Della Valle, C.; Chen, A.F.; Shohat, N. The 2018 Definition of Periprosthetic Hip and Knee Infection: An Evidence-Based and Validated Criteria. J. Arthroplast. 2018, 33, 1309–1314.e2. [Google Scholar] [CrossRef] [PubMed]
- McNally, M.; Sousa, R.; Wouthuyzen-Bakker, M.; Chen, A.F.; Soriano, A.; Vogely, H.C.; Clauss, M.; Higuera, C.A.; Trebše, R. The EBJIS definition of periprosthetic joint infection. Bone Jt. J. 2021, 103-B, 18–25. [Google Scholar] [CrossRef] [PubMed]
- Talsma, D.; Ploegmakers, J.; Jutte, P.; Kampinga, G.; Wouthuyzen-Bakker, M. Time to positivity of acute and chronic periprosthetic joint infection cultures. Diagn. Microbiol. Infect. Dis. 2021, 99, 115178. [Google Scholar] [CrossRef]
- Palan, J.; Nolan, C.; Sarantos, K.; Westerman, R.; King, R.; Foguet, P. Culture-negative periprosthetic joint infections. EFORT Open Rev. 2019, 4, 585–594. [Google Scholar] [CrossRef]
- Tarabichi, M.; Shohat, N.; Goswami, K.; Alvand, A.; Silibovsky, R.; Belden, K.; Parvizi, J. Diagnosis of Periprosthetic Joint Infection: The Potential of Next-Generation Sequencing. J. Bone Jt. Surg. 2018, 100, 147–154. [Google Scholar] [CrossRef]
- Qin, L.; Wang, H.; Zhao, C.; Chen, C.; Chen, H.; Li, X.; Wang, J.; Hu, N.; Huang, W. Serum and Synovial Biomarkers for Distinguishing Between Chronic Periprosthetic Joint Infections and Rheumatoid Arthritis: A Prospective Cohort Study. J. Arthroplast. 2021, 37, 342–346. [Google Scholar] [CrossRef]
- Ochsner, P.E.; Borens, O.; Bodler, P.-M. Infections of the Musculoskeletal System: Basic Principles, Prevention, Diagnosis and Treatment; Swiss Orthopaedics In-House-Publisher: Grandvaux, Switzerland, 2014. [Google Scholar]
- Krenn, V.; Morawietz, L.; Perino, G.; Kienapfel, H.; Ascherl, R.; Hassenpflug, G.; Thomsen, M.; Thomas, P.; Huber, M.; Kendoff, D.; et al. Revised histopathological consensus classification of joint implant related pathology. Pathol. Res. Pract. 2014, 210, 779–786. [Google Scholar] [CrossRef]
- Kay, J.; Upchurch, K.S. ACR/EULAR 2010 rheumatoid arthritis classification criteria. Rheumatology 2012, 51 (Suppl. 6), vi5–vi9. [Google Scholar] [CrossRef] [PubMed] [Green Version]
- Youden, W.J. Index for rating diagnostic tests. Cancer 1950, 3, 32–35. [Google Scholar] [CrossRef]
- Premkumar, A.; Morse, K.; Levack, A.E.; Bostrom, M.P.; Carli, A.V. Periprosthetic Joint Infection in Patients with Inflammatory Joint Disease: Prevention and Diagnosis. Curr. Rheumatol. Rep. 2018, 20, 68. [Google Scholar] [CrossRef] [PubMed]
- Stundner, O.; Danninger, T.; Chiu, Y.-L.; Sun, X.; Goodman, S.M.; Russell, L.A.; Figgie, M.; Mazumdar, M.; Memtsoudis, S.G. Rheumatoid Arthritis vs Osteoarthritis in Patients Receiving Total Knee Arthroplasty: Perioperative Outcomes. J. Arthroplast. 2014, 29, 308–313. [Google Scholar] [CrossRef] [PubMed] [Green Version]
- Yeganeh, M.H.; Kheir, M.M.; Shahi, A.; Parvizi, J. Rheumatoid Arthritis, Disease Modifying Agents, and Periprosthetic Joint Infection: What Does a Joint Surgeon Need to Know? J. Arthroplasty. 2018, 33, 1258–1264. [Google Scholar] [CrossRef] [PubMed]
- Trikha, R.; Greig, D.; Sekimura, T.; Cevallos, N.; Kelley, B.; Mamouei, Z.; Hart, C.; Ralston, M.; Turkmani, A.; Sassoon, A.; et al. Active rheumatoid arthritis in a mouse model is not an independent risk factor for periprosthetic joint infection. PLoS ONE 2021, 16, e0250910. [Google Scholar] [CrossRef]
- Indelli, P.F.; Ghirardelli, S.; Violante, B.; Amanatullah, D.F. Next generation sequencing for pathogen detection in periprosthetic joint infections. EFORT Open Rev. 2021, 6, 236–244. [Google Scholar] [CrossRef]
- Keemu, H.; Vaura, F.; Maksimow, A.; Maksimow, M.; Jokela, A.; Hollmén, M.; Mäkelä, K. Novel Biomarkers for Diagnosing Periprosthetic Joint Infection from Synovial Fluid and Serum. JBJS Open Access 2021, 6, e20.00067. [Google Scholar] [CrossRef]
- Patil, S.; Garbuz, D.S.; Greidanus, N.V.; Masri, B.; Duncan, C.P. Quality of Life Outcomes in Revision vs Primary Total Hip Arthroplasty: A Prospective Cohort Study. J. Arthroplast. 2008, 23, 550–553. [Google Scholar] [CrossRef]
- Greidanus, N.V.; Peterson, R.C.; Masri, B.; Garbuz, D.S. Quality of Life Outcomes in Revision Versus Primary Total Knee Arthroplasty. J. Arthroplast. 2011, 26, 615–620. [Google Scholar] [CrossRef]
- Dusad, A.; Pedro, S.; Mikuls, T.R.; Hartman, C.W.; Garvin, K.L.; O’Dell, J.R.; Michaud, K. Impact of Total Knee Arthroplasty as Assessed Using Patient-Reported Pain and Health-Related Quality of Life Indices: Rheumatoid Arthritis Versus Osteoarthritis. Arthritis Rheumatol. 2015, 67, 2503–2511. [Google Scholar] [CrossRef] [PubMed]
- Karczewski, D.; Ren, Y.; Andronic, O.; Akgün, D.; Perka, C.; Müller, M.; Kienzle, A. Candida periprosthetic joint infections—Risk factors and outcome between albicans and non-albicans strains. Int. Orthop. 2022, 46, 449–456. [Google Scholar] [CrossRef] [PubMed]


| Group A (Rheumatoid Arthritis Patients) | Group B (without Rheumatoid Arthritis Patients) | p Value | |
|---|---|---|---|
| Sex | |||
| Male [# (%)] | 12 (70.59%) | 64 (52.89%) | 0.17 |
| Female [# (%)] | 5 (29.41%) | 57 (47.11%) | |
| BMI [kg/m2] | 29.83 ± 6.97 | 30.59 ± 5.82 | 0.69 |
| Age [years] | 72.94 ± 7.10 | 69.07 ± 10.83 | 0.06 |
| PJI onset | |||
| Acute [# (%)] | 9 (52.94%) | 54 (44.63%) | 0.52 |
| Chronic [# (%)] | 8 (47.06%) | 67 (55.37%) | |
| ASA score | |||
| 1 [# (%)] | 0 (0.00%) | 2 (1.65%) | 0.06 |
| 2 [# (%)] | 3 (17.65%) | 68 (56.20%) | |
| 3 [# (%)] | 12 (70.59%) | 44 (36.36%) | |
| 4 [# (%)] | 1 (5.88%) | 4 (3.31%) | |
| 5 [# (%)] | 0 (0.00%) | 1 (0.83%) | |
| Number of prior revision surgeries | |||
| One [# (%)] | 5 (29.41%) | 46 (38.02%) | 0.49 |
| More than one [# (%)] | 12 (70.59%) | 75 (61.98%) |
| Pathogen | Group A (Rheumatoid Arthritis Patients) | Group B (without Rheumatoid Arthritis Patients) |
|---|---|---|
| Staphylococcus aureus | 8 (47.06%) | 40 (33.06%) |
| Staphylococcus epidermidis | 6 (35.29%) | 24 (19.83%) |
| Cutibacterium acnes | - | 12 (9.91%) |
| Enteroccocus faecalis | 1 (5.88%) | 10 (8.26%) |
| Streptococcus anginosus | 1 (5.88%) | 2 (1.65%) |
| Streptococcus dysgalactiae | 1 (5.88%) | 8 (6.61%) |
| Escherichia coli | - | 7 (5.79%) |
| Staphylococcus hominis | - | 8 (6.61%) |
| Candida albicans | - | 1 (0.83%) |
| Candida parapsilosis | - | 2 (1.65%) |
| Cutibacterium avidum | - | 1 (0.83%) |
| Staphylococcus capitis | - | 2 (1.65%) |
| Streptococcus agalactiae | - | 1 (0.83%) |
| Streptococcus mitis | - | 1 (0.83%) |
| Streptococcus pyogenes | - | 1 (0.83%) |
| Streptococcus pneumoniae | - | 1 (0.83%) |
| Group A1 (Rheumatoid Arthritis Patients; n = 9) | Group B1 (without Rheumatoid Arthritis Patients; n = 54) | |||||
|---|---|---|---|---|---|---|
| Median | IQR | Median | IQR | W | p Value | |
| Acute PJI | ||||||
| Serum CRP [mg/L] | 88.00 | 86.90–256.20 | 129.45 | 72.03–244.22 | 237 | 0.92 |
| Peripheral blood WBC count [cells/nL] | 9.13 | 6.17–12.03 | 9.93 | 7.22–14.22 | 190 | 0.30 |
| Synovial WBC count [cells/nL] | 60.75 | 54.72–118.06 | 48.92 | 33.58–197.56 | 178 | 0.54 |
| Synovial monocyte cell count [cells/nL] | 6.69 | 2.21–11.43 | 3.97 | 2.05–13.85 | 136 | 0.93 |
| Synovial PMN cell count [cells/nL] | 55.89 | 48.41–86.94 | 48.24 | 31.30–160.93 | 144 | 0.74 |
| Synovial percentage of monocytes [%] | 0.11 | 0.04–0.12 | 0.09 | 0.05–0.16 | 120 | 0.69 |
| Synovial percentage of PMN cells [%] | 0.89 | 0.88–0.96 | 0.91 | 0.84–0.95 | 149 | 0.62 |
| Group A2 (Rheumatoid Arthritis Patients; n = 8) | Group B2 (without Rheumatoid Arthritis Patients; n = 67) | |||||
| Median | IQR | Median | IQR | W | p Value | |
| Chronic PJI | ||||||
| Serum CRP [mg/L] | 43.25 | 25.02–145.00 | 18.80 | 6.45–47.15 | 372 | 0.05 |
| Peripheral blood WBC count [cells/nL] | 6.86 | 5.16–10.81 | 7.45 | 6.25–8.39 | 245 | 0.75 |
| Synovial WBC count [cells/nL] | 34.68 | 23.06–103.17 | 8.33 | 0.86–23.37 | 258 | 0.02 |
| Synovial monocyte cell count [cells/nL] | 2.27 | 1.16–13.5 | 0.79 | 0.33–2.28 | 244 | 0.04 |
| Synovial PMN cell count [cells/nL] | 33.36 | 20.48–70.75 | 6.13 | 0.43–16.68 | 260 | 0.02 |
| Synovial percentage of monocytes [%] | 0.10 | 0.05–0.15 | 0.23 | 0.08–0.43 | 102 | 0.13 |
| Synovial percentage of PMN cells [%] | 0.90 | 0.85–0.95 | 0.77 | 0.55–0.91 | 234 | 0.09 |
| Cut-Off | Sensitivity | Specificity | NPV | PPV | AUC | AUC CI | |
|---|---|---|---|---|---|---|---|
| Acute PJI | |||||||
| Serum CRP [mg/L] | 107.65 | 33.30% | 38.90% | 77.80% | 8.30% | 0.51 | 0.31–0.70 |
| Peripheral Blood WBC count [cells/nL] | 13.36 | 16.80% | 63.00% | 79.10% | 8.40% | 0.61 | 0.43–0.78 |
| Synovial WBC count [cells/nL] | 43.18 | 100% | 35.90% | 100% | 24.20% | 0.57 | 0.41–0.73 |
| Synovial monocyte cell count [cells/nL] | 2.06 | 100% | 26.30% | 100% | 20.00% | 0.51 | 0.30–0.71 |
| Synovial PMN cell count [cells/nL] | 37.79 | 100% | 31.60% | 100% | 21.20% | 0.54 | 0.37–0.70 |
| Synovial percentage of monocytes [%] | 10.07 | 57.10% | 63.20% | 88.90% | 22.20% | 0.45 | 0.20–0.69 |
| Synovial percentage of PMN cells [%] | 0.90 | 100% | 9.30% | 100% | 15.60% | 0.44 | 0.20–0.69 |
| Chronic PJI | |||||||
| Serum CRP [mg/L] | 29.05 | 75.00% | 60.60% | 95.20% | 18.80% | 0.71 | 0.50–0.90 |
| Peripheral Blood WBC count [cells/nL] | 5.495 | 62.50% | 10.60% | 70.00% | 7.80% | 0.54 | 0.23–0.83 |
| Synovial WBC count [cells/nL] | 19.48 | 83.30% | 72.70% | 97.60% | 25.00% | 0.78 | 0.61–0.95 |
| Synovial monocyte cell count [cells/nL] | 0.83 | 100% | 55.60% | 100% | 20.00% | 0.75 | 0.58–0.92 |
| Synovial PMN cell count [cells/nL] | 16.18 | 83.30% | 74.10% | 97.60% | 26.30% | 0.80 | 0.63–0.96 |
| Synovial percentage of monocytes [%] | 14.70 | 16.70% | 41.80% | 82.10% | 3.00% | 0.69 | 0.50–0.87 |
| Synovial percentage of PMN cells [%] | 85.30 | 83.30% | 73.00% | 97.10% | 18.50% | 0.71 | 0.52–0.90 |
Publisher’s Note: MDPI stays neutral with regard to jurisdictional claims in published maps and institutional affiliations. |
© 2022 by the authors. Licensee MDPI, Basel, Switzerland. This article is an open access article distributed under the terms and conditions of the Creative Commons Attribution (CC BY) license (https://creativecommons.org/licenses/by/4.0/).
Share and Cite
Ren, Y.; Biedermann, L.; Gwinner, C.; Perka, C.; Kienzle, A. Serum and Synovial Markers in Patients with Rheumatoid Arthritis and Periprosthetic Joint Infection. J. Pers. Med. 2022, 12, 810. https://doi.org/10.3390/jpm12050810
Ren Y, Biedermann L, Gwinner C, Perka C, Kienzle A. Serum and Synovial Markers in Patients with Rheumatoid Arthritis and Periprosthetic Joint Infection. Journal of Personalized Medicine. 2022; 12(5):810. https://doi.org/10.3390/jpm12050810
Chicago/Turabian StyleRen, Yi, Lara Biedermann, Clemens Gwinner, Carsten Perka, and Arne Kienzle. 2022. "Serum and Synovial Markers in Patients with Rheumatoid Arthritis and Periprosthetic Joint Infection" Journal of Personalized Medicine 12, no. 5: 810. https://doi.org/10.3390/jpm12050810
APA StyleRen, Y., Biedermann, L., Gwinner, C., Perka, C., & Kienzle, A. (2022). Serum and Synovial Markers in Patients with Rheumatoid Arthritis and Periprosthetic Joint Infection. Journal of Personalized Medicine, 12(5), 810. https://doi.org/10.3390/jpm12050810

