A Prospective Controlled Study on the Longitudinal Effects of Rehabilitation in Older Women with Primary Sarcopenia
Abstract
1. Introduction
- Muscle mass, evaluated using bioelectrical impedance analysis (BIA) or dual-energy X-ray absorptiometry (DXA) [24];
- In certain cases, advanced imaging techniques, such as Magnetic Resonance Imaging (MRI) and Computed Tomography (CT), provide highly accurate data on muscle composition and quality. However, these methods are less practical for routine use due to their high costs and specialized equipment requirements [25].
- A kinesiotherapy program, proven to improve muscle strength, mass, and physical performance [30]. Numerous studies confirm the benefits of individualized resistance and aerobic training in combating sarcopenia-related muscle atrophy. Resistance training using elastic bands or bodyweight improves type II fiber recruitment and functional mobility, while aerobic and balance exercises enhance coordination and reduce fall risk [24,31,32].
- Nutritional interventions, ensuring optimal protein intake and correcting frequent vitamin D deficiency in older adults [33]. Combining exercise with protein supplementation, which shows superior results compared to either intervention alone [24]; Adequate protein intake (1.2–1.5 g/kg/day) is essential for maximizing muscle protein synthesis, particularly when synchronized with post-exercise recovery windows. Meta-analyses have demonstrated synergistic effects between resistance training and leucine-rich protein supplementation in improving muscle function in older adults [34,35].
- Comorbidities management, particularly addressing metabolic imbalances such as insulin resistance and dyslipidemia, which further accelerate muscle loss [36]. Interventions targeting glycemic control and lipid balance can indirectly support muscle preservation. Recent evidence highlights the role of insulin sensitivity in maintaining anabolic signaling in skeletal muscle, underscoring the importance of systemic metabolic regulation [36].
2. Materials and Methods
2.1. Design Overview
- Study Group (SG): A total of 50 patients enrolled in a structured, individualized rehabilitation program;
- Control Group (CG): A total of 46 patients who maintained their usual daily activities without additional physical interventions.
- Completed both T1 and T2 evaluations;
- Attended at least 80% of the rehabilitation sessions (for SG);
- Provided complete and valid data.
2.2. Participants
2.3. Study Intervention
- Stage 1 (Supervised Initiation)—In-hospital kinesiotherapy and deep oscillation therapy (2 weeks): Twelve supervised sessions of kinesiotherapy combined with deep oscillation therapy. Sessions were conducted daily under the guidance of a specialized physiotherapist to ensure adherence, safety, and correct exercise execution. This phase emphasized comprehensive monitoring and individualized attention to foster behavior changes and maximized the program’s effectiveness. The detailed program is included in Table 1;
- Stage 2 (Home-based Maintenance)—Home-Based Kinetic Training Program (5 months): Patients followed a personalized home exercise plan with monthly outpatient evaluations to monitor progress. Weekly telephone follow-ups were conducted by the physiotherapist to ensure compliance, provide motivation, and address potential barriers. Patients received detailed educational brochures outlining daily exercises to facilitate adherence. The detailed program is included in Table 2;
- Stage 3 (Reinforcement and Optimization)—Outpatient Kinesiotherapy and deep oscillation therapy (2 weeks): Resumption of 12 kinesiotherapy and deep oscillation sessions at the outpatient clinic. This phase reinforced exercise habits and optimized functional gains achieved during the home-training phase. The detailed program is included in Table 1.
- Kinesiotherapy Program: The objectives of the applied kinesiotherapy program were to improve muscle strength, balance, flexibility, and endurance, thereby reducing sarcopenia-related functional decline. The kinesiotherapy sessions focused on the following components: flexibility exercises (to improve joint mobility and reduce stiffness, enhancing muscle elasticity and preventing injuries); resistance (strength) training (targeting agonist-antagonist muscle groups using resistance bands, small weights, and bodyweight exercises); balance and gait training (implementing proprioceptive exercises on unstable platforms to improve coordination and reduce fall risk); aerobic endurance training (low-intensity activities (e.g., walking, cycling) performed at 40–60% of the maximum heart rate, based on the formula: (220 − age) × 0.65); functional training (mimicking daily activities like stair climbing, sit-to-stand transitions, and carrying light objects to enhance daily living skills);
- Deep oscillation therapy was utilized to prepare skeletal muscles for the kinesiotherapy program, enhance local metabolism, reduce muscle stiffness, and improve muscle function [37,38,39,40]. A personal device (DOP1.1.—INDIVID, PHYSIOMED ELECTROMEDIZIN A.G., Germany, Series 2442007) was used, applying high-frequency oscillations (100 Hz) for analgesic and muscle-relaxing effects, followed by low-frequency oscillations (5–25 Hz) to stimulate metabolic activity.
- Nutritional recommendations: targeting 1.2–1.5 g/kg of protein daily to maximize muscle protein synthesis [34];
- Educational support: counseling on sarcopenia awareness, the importance of physical activity, and long-term self-management strategies.
2.4. Parameters and Measurements
- The SARC-F Questionnaire was used as a screening tool. It includes five components: strength, assistance with walking, rising from a chair, stair climbing, and a history of falling. Each component is scored from 0 to 2 points, with a total score ranging from 0 to 10. A score of ≥4 is predictive of sarcopenia and indicates the need for further diagnostic evaluation [23];
- Muscle Strength Assessment: HGS was measured using the Saehan Squeeze Dynamometer (Baseline 12-0290 Dynamometer, Pneumatic Squeeze Bulb 30 30 PSI, without Reset Fabrication Enterprises (FEI)–USA, Importer, Romania), a validated tool strongly correlated with lower-extremity strength. Participants stood upright with the dynamometer beside them, but not touching their bodies. They performed three maximal isometric contractions of 5 s each with their dominant hand, with 60 s rest intervals between trials. The highest value was recorded for analysis. Cut-off values: <27 kg for men and <16 kg for women, as recommended by the European Working Group on Sarcopenia in Older People (EWGSOP2) [24];
- Anthropometric Measurements: Height (m), body mass (kg), BMI, (kg/m2), and mid-upper arm circumference (MUAC) were performed. MUAC was measured at the midpoint between the olecranon and acromion with the elbow flexed at 90°. A cut-off value of <22.5 cm indicates reduced muscle reserves [25]. All anthropometric assessments were conducted following standardized procedures to ensure reliability and reproducibility across evaluations.
- Body Composition Analysis- Bioelectrical impedance analysis (BIA) estimates body composition by measuring the impedance of a low-frequency electrical current passed through the body. Since fat and muscle conduct electricity differently, this technique effectively monitors changes in body composition over time. Standardization: To minimize variability, BIA measurements were performed under controlled conditions—at the same time of day, after fasting, and following a period of rest. The same evaluator conducted all measurements to reduce inter-observer variability [26]. BIA offers an optimal balance between affordability and accuracy, making it suitable for routine clinical practice. The EWGSOP2 recommends BIA as a valid method for assessing muscle mass in clinical settings [27]. BIA is recognized in guidelines as a valid approach for detecting and screening sarcopenia. It offers a non-invasive, cost-effective, and portable solution for assessing body composition with reliability [45];
- Skeletal Muscle Mass (SMM): Measured using the Omron Healthcare BIA device (Body Fat Monitor, BF511, Omron 4015672104051, Global headquarters: Kyoto, Japan, Imported/distributed by MedTehnica, Romania). A pathological SMM was defined as values below 24% of the patient’s total body weight;
- The Skeletal Muscle Mass Index (SMMI) was calculated as appendicular skeletal muscle mass divided by height squared (kg/m2). The cut-off value for sarcopenia in women was <5.7 kg/m2, as per EWGSOP2 guidelines [24];
- Skeletal Muscle Percentage (SM%) represents the proportion of an individual’s total body weight that is composed of SMM. It provides a useful metric to assess muscle health relative to body size, offering insights into body composition beyond absolute muscle mass measurements [46]. While SM% is not always included as a diagnostic criterion for sarcopenia, it can complement other metrics like SMM and SMMI to provide a more comprehensive assessment of muscle status.
 
- The physical performance assessment was used to establish sarcopenia severity and ensure a homogeneous study cohort. Physical performance was evaluated using the following standardized tests:- Timed Up-and-Go (TUG) Test: Participants rose from a chair without using their arms, walked 3 m, turned, and returned to the chair. The fastest time of the three trials was recorded. According to reviewed studies, the Timed Up and Go test is clinically relevant and demonstrates reliability across various groups. Its broad applicability in clinical settings makes it a versatile tool for selecting activity-based outcome measures. Particularly in geriatric assessments, the Timed Up and Go test is extensively researched and utilized [47];
- Gait Speed Calculation: (6/TUG time) × 1.62. Gait speed ≤ 0.8 m/s indicates impaired mobility and is associated with an increased risk of adverse health outcomes [48];
- The short physical performance battery (SPPB) assessed lower-limb function through three components: the balance test (participants maintained three different positions for 10 s each: feet together; semi-tandem stance; tandem stance: heel-to-toe); chair stand test, which assessed lower-limb strength by timing the participant rising from a seated position without using their arms; the 4-meter gait speed test (measures walking speed over a short distance. Each subtest is scored from 0 to 4 points, with a maximum total score of 12. A score ≤8 indicates severe sarcopenia [49,50]. SPPB is a valid and reliable tool for use with older patients and is recommended as part of the comprehensive geriatric assessment for the evaluation of the physical or functional status [51].
 
- A quality of life assessment was performed using the SarQoL questionnaire, a disease-specific, patient-reported outcome measure designed to assess health-related quality of life (HRQoL) in individuals with sarcopenia. It consists of 55 items integrated into 22 questions covering seven domains: D1 (physical and mental health), D2 (locomotion), D3 (body composition), D4 (functionality), D5 (activities of daily living), D6 (leisure activities), D7 (fears). Most items use a Likert scale to assess frequency or intensity, with responses scored from 0 to 100. A higher score indicates better HRQoL [29]. The sarcopenia quality of life® (SarQol®) questionnaire is a specific tool designed for evaluating quality of life (QoL) in sarcopenia. Its adaptation across different languages and cultural contexts has confirmed its validity and reliability for assessing QoL in elderly sarcopenic patients [52]. The Romanian version of the SarQoL questionnaire was administered to all participants. Scoring followed the official algorithm provided by the questionnaire developers, available online [52];
- Laboratory Evaluations: To exclude secondary causes of sarcopenia and control for potential confounders, comprehensive laboratory testing was performed, including standard biochemical markers (C-reactive protein, fibrinogen, lipid profile) and inflammatory biomarkers (adiponectin, leptin, and tumor necrosis factor-alpha). These markers were measured using commercially available ELISA kits (Biovendor R&D, Brno, Czech Republic), following standardized laboratory protocols.
2.5. Ethics Approval
2.6. Statistical Analysis
- Within-group differences (T1 vs. T2) were analyzed using the Wilcoxon signed-rank test;
- Between-group differences (SG vs. CG) were assessed with the Mann–Whitney U test;
- Associations between continuous variables were explored using Spearman’s rank correlation coefficient (ρ).
- Zα/2 = 1.96 (for a two-tailed test at α = 0.05);
- Zβ = 0.84 (for 80% power);
- d = 0.843 (expected effect size based on prior studies using SPPB and SarQoL.
3. Results
3.1. Baseline Patient Characteristics
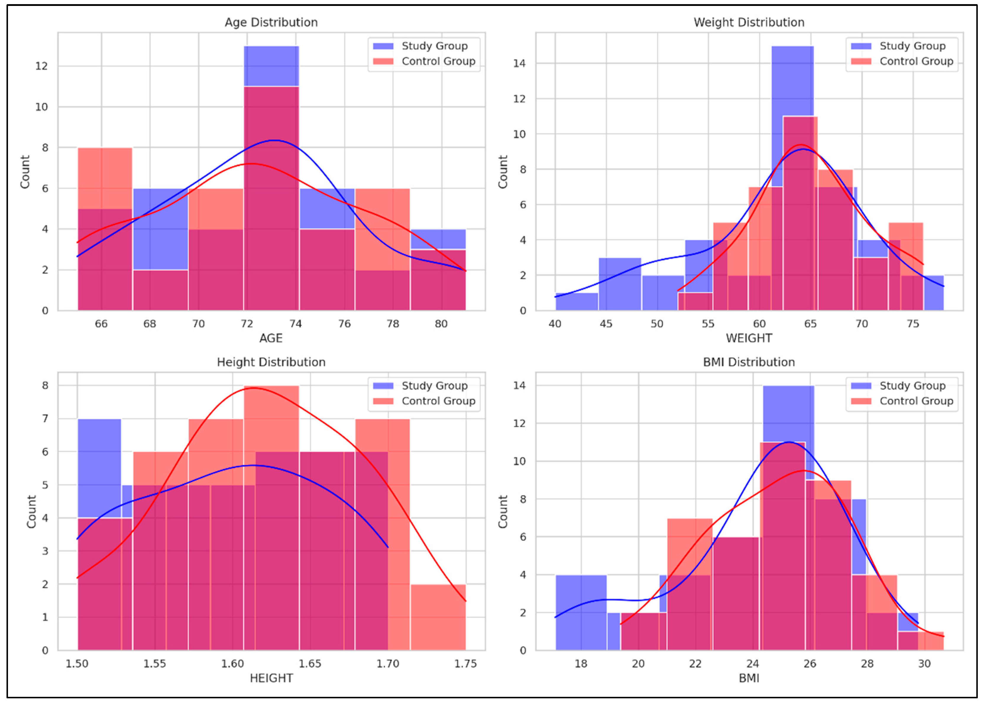
3.1.1. Demographic and Anthropometric Characteristics
- Age: SG peaked around 70–75 years, while CG showed a broader range (66–80 years);
- Weight: SG peaked at 60–65 kg; CG showed a broader distribution with a peak at 65–70 kg;
- Height: SG peaked around 1.65–1.70 m; CG had higher counts in the 1.60–1.65 m range;
- BMI: SG showed a peak at 24–26 kg/m2, while CG had a broader distribution with peaks around 26–28 kg/m2.
3.1.2. Functional Outcomes and Quality of Life Assessment
3.2. Study Group, Time-Evolution
- Strong Improvements: Physical and mental health (D1), locomotion (D2), functionality (D4), fears (D7), SaQoL total score, and SPPB showed highly significant improvements (p < 0.001), suggesting strong evidence against the null hypothesis and reflecting the substantial positive impact of the intervention;
- Moderate Improvements: Body composition (D3) and activities of daily living (D5) also exhibited significant improvements, though to a slightly lesser extent compared to the parameters above;
- Notable Changes in Leisure Activities (D6): While D6 showed significant improvement, the p-value suggests moderate evidence against the null hypothesis, indicating variability in how leisure activities responded to the intervention.
- Strong Positive Correlations (r ≥ 0.8): Observed across most SarQoL domains (D1–D7), indicating that higher initial scores generally predict higher final scores, suggesting consistent improvements over time in sarcopenia-related quality of life;
- Moderate Positive Correlations (r = 0.5–0.8): Found between total SarQoL and SPPB scores, reflecting a positive but more variable trend in functional performance and quality of life improvements;
- Notable Inter-domain Correlations: For instance, the correlation between initial locomotion scores (D2) and final SarQoL outcomes (r = 0.58) suggests that early physical performance may moderately predict quality of life improvements post-intervention.
3.3. Control Group, Time-Evolution
- Strong Positive Correlations: High correlations (r > 0.7) between D1–D7 suggest consistent scores over time, reflecting the stability of these parameters without intervention. This consistency implies that the natural course of the condition, without therapeutic input, leads to minimal fluctuations;
- Moderate Correlations for the SarQoL Total Score (r = 0.69): This indicates some variability in quality of life, likely influenced by daily life factors rather than structured intervention;
- Low Correlation for SPPB (r = 0.11): This suggests no predictable change in physical performance over time, as no supervised kinetic measures were performed. This highlights the importance of active rehabilitation in maintaining or improving physical function.
3.4. Study Group Versus Control Group
- Parameters with significant differences (p < 0.05): D1 (physical and mental health) (p = 0.046), D2 (locomotion) (p = 9.72 × 10−8), D4 (functionality) (p = 0.044), D7 (fears) (p = 5.42 × 10−7). These results suggest that the SG experienced notable improvements in these domains, likely due to the initial impact of the intervention;
- Parameters with non-significant differences (p ≥ 0.05): The SaQoL total score (p = 0.095) and SPPB (p = 0.787) showed no significant differences, indicating similar baseline distributions. D3 (body composition) (p ≈ 0.358), D5 (activities of daily living) (p = 0.488), and D6 (leisure activities) (p = 0.095) also showed no significant differences, reflecting baseline homogeneity.
- Parameters with Significant Differences (p < 0.05): D1 (physical and mental health), D2 (locomotion), D4 (functionality), D6 (leisure activities), D7 (fears), and SaQoL total score (p = 9.78 × 10−6) showed highly significant improvements in the SG compared to the CG. SPPB (short physical performance battery) demonstrated an extremely significant difference (p = 2.01 × 10−11), highlighting the profound effect of the rehabilitation program on physical performance;
- Parameters with No Significant Differences (p ≥ 0.05): D3 (body composition) (p > 0.05) and D5 (activities of daily living) (p > 0.05) did not show significant changes, suggesting that these parameters were less influenced by the intervention.
4. Discussion
5. Conclusions
Author Contributions
Funding
Institutional Review Board Statement
Informed Consent Statement
Data Availability Statement
Acknowledgments
Conflicts of Interest
References
- Piastra, G.; Perasso, L.; Lucarini, S.; Monacelli, F.; Bisio, A.; Ferrando, V.; Gallamini, M.; Faelli, E.; Ruggeri, P. Effects of Two Types of 9-Month Adapted Physical Activity Program on Muscle Mass, Muscle Strength, and Balance in Moderate Sarcopenic Older Women. BioMed Res. Int. 2018, 2018, 5095673. [Google Scholar] [CrossRef]
- Wang, H.; Huang, W.Y.; Zhao, Y. Efficacy of Exercise on Muscle Function and Physical Performance in Older Adults with Sarcopenia: An Updated Systematic Review and Meta-Analysis. Int. J. Environ. Res. Public Health 2022, 19, 8212. [Google Scholar] [CrossRef]
- Dufour, A.B.; Hannan, M.T.; Murabito, J.M.; Kiel, D.P.; McLean, R.R. Sarcopenia Definitions Considering Body Size and Fat Mass Are Associated with Mobility Limitations: The Framingham Study. J. Gerontol. A Biol. Sci. Med. Sci. 2013, 68, 168–174. [Google Scholar] [CrossRef]
- Pan, L.; Xie, W.; Fu, X.; Lu, W.; Jin, H.; Lai, J.; Zhang, A.; Yu, Y.; Li, Y.; Xiao, W. Inflammation and Sarcopenia: A Focus on Circulating Inflammatory Cytokines. Exp. Gerontol. 2021, 154, 111544. [Google Scholar] [CrossRef]
- Damanti, S.; Senini, E.; De Lorenzo, R.; Merolla, A.; Santoro, S.; Festorazzi, C.; Messina, M.; Vitali, G.; Sciorati, C.; Rovere-Querini, P. Acute Sarcopenia: Mechanisms and Management. Nutrients 2024, 16, 3428. [Google Scholar] [CrossRef] [PubMed]
- Chen, L.K.; Woo, J.; Assantachai, P.; Auyeung, T.W.; Chou, M.Y.; Iijima, K.; Jang, H.C.; Kang, L.; Kim, M.; Kim, S.; et al. Asian Working Group for Sarcopenia: 2019 Consensus Update on Sarcopenia Diagnosis and Treatment. J. Am. Med. Dir. Assoc. 2020, 21, 300–307.e2. [Google Scholar] [CrossRef]
- Sutil, D.V.; Parentoni, A.N.; Da Costa Teixeira, L.A.; de Moreira, B.S.; Leopoldino, A.A.O.; Mendonça, V.A.; Lacerda, A.C.R.; Danielewicz, A.L.; de Avelar, N.C.P. Prevalence of Sarcopenia in Older Women and Level of Agreement between the Diagnostic Instruments Proposed by the European Working Group on Sarcopenia in Older People 2 (EWGSOP2). BMC Musculoskelet. Disord. 2023, 24, 182. [Google Scholar] [CrossRef]
- Yadigar, S.; Yavuzer, H.; Yavuzer, S.; Cengiz, M.; Yürüyen, M.; Döventaş, A.; Erdinçler, D.S. Primary Sarcopenia in Older People with Normal Nutrition. J. Nutr. Health Aging 2016, 20, 234–238. [Google Scholar] [CrossRef]
- Kawada, T. Mortality Risk of Sarcopenia in Older Subjects. J. Am. Med. Dir. Assoc. 2021, 22, 1883. [Google Scholar] [CrossRef]
- Xu, J.; Wan, C.S.; Ktoris, K.; Reijnierse, E.M.; Maier, A.B. Sarcopenia Is Associated with Mortality in Adults: A Systematic Review and Meta-Analysis. Gerontology 2021, 68, 361–376. [Google Scholar] [CrossRef]
- Lee, G.K.Y.; Au, P.C.M.; Li, G.H.Y.; Chan, M.; Li, H.L.; Cheung, B.Y.M.; Wong, I.C.K.; Lee, V.H.F.; Mok, J.; Yip, B.H.K.; et al. Sarcopenia and Mortality in Different Clinical Conditions: A Meta-Analysis. Osteoporos. Sarcopenia 2021, 7, S19–S27. [Google Scholar] [CrossRef]
- Cruz-Jentoft, A.; Landi, F.; Schneider, S.; Zúñiga, C.; Arai, H.; Boirie, Y.; Chen, L.K.; Fielding, R.A.; Martin, F.C.; Michel, J.P.; et al. Prevalence of and Interventions for Sarcopenia in Ageing Adults: A Systematic Review. Age Ageing 2014, 43, 748–759. [Google Scholar] [CrossRef] [PubMed]
- Cristea, A.; Qaisar, R.; Edlund, P.K.; Lindblad, J.; Bengtsson, E.; Larsson, L. Effects of Aging and Gender on the Spatial Organization of Nuclei in Single Human Skeletal Muscle Cells. Aging Cell 2010, 9, 685–697. [Google Scholar] [CrossRef] [PubMed]
- Combaret, L.; Dardevet, D.; Béchet, D.; Taillandier, D.; Mosoni, L.; Attaix, D. Skeletal Muscle Proteolysis in Aging. Curr. Opin. Clin. Nutr. Metab. Care 2009, 12, 37–41. [Google Scholar] [CrossRef]
- Sandri, M. Autophagy in Skeletal Muscle. FEBS Lett. 2010, 584, 1411–1416. [Google Scholar] [CrossRef]
- Brook, M.S.; Wilkinson, D.J.; Phillips, B.E.; Perez-Schindler, J.; Philp, A.; Smith, K.; Atherton, P.J. Skeletal Muscle Homeostasis and Plasticity in Youth and Ageing: Impact of Nutrition and Exercise. Acta Physiol. 2016, 216, 15–41. [Google Scholar] [CrossRef]
- Jiao, J.; Demontis, F. Skeletal Muscle Autophagy and Its Role in Sarcopenia and Organismal Aging. Curr. Opin. Pharmacol. 2017, 34, 1–6. [Google Scholar] [CrossRef]
- Léger, B.; Derave, W.; De Bock, K.; Hespel, P.; Russell, A.P. Human Sarcopenia Reveals an Increase in SOCS-3 and Myostatin and a Reduced Efficiency of Akt Phosphorylation. Rejuvenation Res. 2008, 11, 163–175B. [Google Scholar] [CrossRef]
- Franceschi, C.; Garagnani, P.; Parini, P.; Giuliani, C.; Santoro, A. Inflammaging: A New Immune-Metabolic Viewpoint for Age-Related Diseases. Nat. Rev. Endocrinol. 2018, 14, 576–590. [Google Scholar] [CrossRef]
- Short, K.R.; Bigelow, M.L.; Kahl, J.; Singh, R.; Coenen-Schimke, J.; Raghavakaimal, S.; Nair, K.S. Decline in Skeletal Muscle Mitochondrial Function with Aging in Humans. Proc. Natl. Acad. Sci. USA 2005, 102, 5618–5623. [Google Scholar] [CrossRef]
- Kemp, P.R.; Griffiths, M.; Polkey, M.I. Muscle Wasting in the Presence of Disease, Why Is It so Variable? Biol. Rev. Camb. Philos. Soc. 2019, 94, 1038–1055. [Google Scholar] [CrossRef]
- Beaudart, C.; Reginster, J.Y.; Geerinck, A.; Locquet, M.; Bruyère, O. Current Review of the SarQoL®: A Health-Related Quality of Life Questionnaire Specific to Sarcopenia. Expert Rev. Pharmacoeconomics Outcomes Res. 2017, 17, 335–341. [Google Scholar] [CrossRef]
- Malmstrom, T.K.; Morley, J.E. SARC-F: A Simple Questionnaire to Rapidly Diagnose Sarcopenia. J. Am. Med. Dir. Assoc. 2013, 14, 531–532. [Google Scholar] [CrossRef]
- Cruz-Jentoft, A.J.; Bahat, G.; Bauer, J.; Boirie, Y.; Bruyère, O.; Cederholm, T.; Cooper, C.; Landi, F.; Rolland, Y.; Sayer, A.A.; et al. Sarcopenia: Revised European Consensus on Definition and Diagnosis. Age Ageing 2019, 48, 16–31. [Google Scholar] [CrossRef] [PubMed]
- Guttikonda, D.; Smith, A.L. Sarcopenia Assessment Techniques. Clin. Liver Dis. 2021, 18, 189–192. [Google Scholar] [CrossRef]
- Holmes, C.J.; Racette, S.B. The Utility of Body Composition Assessment in Nutrition and Clinical Practice: An Overview of Current Methodology. Nutrients 2021, 13, 2493. [Google Scholar] [CrossRef]
- Cruz-Jentoft, A.J.; Baeyens, J.P.; Bauer, J.M.; Boirie, Y.; Cederholm, T.; Landi, F.; Martin, F.C.; Michel, J.-P.; Rolland, Y.; Schneider, S.M.; et al. Sarcopenia: European Consensus on Definition and Diagnosis. Age Ageing 2010, 39, 412–423. [Google Scholar] [CrossRef]
- Saeki, C.; Takano, K.; Oikawa, T.; Aoki, Y.; Kanai, T.; Takakura, K.; Nakano, M.; Torisu, Y.; Sasaki, N.; Abo, M.; et al. Comparative Assessment of Sarcopenia Using the JSH, AWGS, and EWGSOP2 Criteria and the Relationship between Sarcopenia, Osteoporosis, and Osteosarcopenia in Patients with Liver Cirrhosis. BMC Musculoskelet. Disord. 2019, 20, 615. [Google Scholar] [CrossRef]
- Demonceau, C.; Voz, B.; Bruyère, O.; Reginster, J.-Y.; Beaudart, C. Content Validity of SarQoL, a Quality of Life Questionnaire Specific to Sarcopenia. Aging Clin. Exp. Res. 2024, 36, 101. [Google Scholar] [CrossRef] [PubMed]
- Dent, E.; Morley, J.E.; Cruz-Jentoft, A.J.; Arai, H.; Kritchevsky, S.B.; Guralnik, J.; Bauer, J.M.; Pahor, M.; Clark, B.C.; Cesari, M.; et al. International Clinical Practice Guidelines for Sarcopenia (ICFSR): Screening, Diagnosis and Management. J. Nutr. Health Aging 2018, 22, 1148–1161. [Google Scholar] [CrossRef] [PubMed]
- Lu, L.; Mao, L.; Feng, Y.; Ainsworth, B.E.; Liu, Y.; Chen, N. Effects of Different Exercise Training Modes on Muscle Strength and Physical Performance in Older People with Sarcopenia: A Systematic Review and Meta-Analysis. BMC Geriatr. 2021, 21, 708. [Google Scholar] [CrossRef]
- Shen, Y.; Shi, Q.; Nong, K.; Li, S.; Yue, J.; Huang, J.; Dong, B.; Beauchamp, M.; Hao, Q. Exercise for Sarcopenia in Older People: A Systematic Review and Network Meta-Analysis. J. Cachexia Sarcopenia Muscle 2023, 14, 1199–1211. [Google Scholar] [CrossRef]
- Chen, N.; He, X.; Feng, Y.; Ainsworth, B.E.; Liu, Y. Effects of Resistance Training in Healthy Older People with Sarcopenia: A Systematic Review and Meta-Analysis of Randomized Controlled Trials. Eur. Rev. Aging Phys. Act. 2021, 18, 23. [Google Scholar] [CrossRef] [PubMed]
- Rondanelli, M.; Cereda, E.; Klersy, C.; Faliva, M.A.; Peroni, G.; Nichetti, M.; Gasparri, C.; Iannello, G.; Spadaccini, D.; Infantino, V.; et al. Improving Rehabilitation in Sarcopenia: A Randomized-Controlled Trial Utilizing a Muscle-Targeted Food for Special Medical Purposes. J. Cachexia Sarcopenia Muscle 2020, 11, 1535–1547. [Google Scholar] [CrossRef] [PubMed] [PubMed Central]
- Giallauria, F.; Cittadini, A.; Smart, N.A.; Vigorito, C. Resistance Training and Sarcopenia. Monaldi Arch. Chest Dis. 2016, 84, 738. [Google Scholar] [CrossRef] [PubMed]
- Amzolini, A.M.; Forțofoiu, M.C.; Barau Alhija, A.; Vladu, I.M.; Clenciu, D.; Mitrea, A.; Forțofoiu, M.; Matei, D.; Diaconu, M.; Tudor, M.S.; et al. Triglyceride and Glucose Index as a Screening Tool for Nonalcoholic Liver Disease in Patients with Metabolic Syndrome. J. Clin. Med. 2022, 11, 3043. [Google Scholar] [CrossRef]
- Koleva, I.B.; Ioshinov, B.R.; Yoshinov, R.D. Complex Analgesia (Infiltrations and Deep Oscillation) in Patients with Stump Pain and Phantom Pain After Lower Limb Amputation (Double-Blind Randomised Controlled Trial of Efficacy). J. Adv. Med. Med. Res. 2017, 22, 1–17. [Google Scholar] [CrossRef]
- Locheva, V.; Todorov, I.; Panayotova-Ovcharova, L. Therapy with Deep Oscillations—Principle, Biological Effects. Review Varna Med. Forum 2019, 8, 105–114. [Google Scholar] [CrossRef]
- Fistetto, G.; Iannitti, T.; Capone, S.; Torricelli, F.; Palmieri, B. Deep Oscillation®: Esperienze Terapeutico-Riabilitative con un Nuovo Innovativo Strumento ad Azione Elettrostatica. Minerva Med. 2011, 102, 277–288. [Google Scholar] [PubMed]
- Rogan, S.; Taeymans, J.; Radlinger, L.; Naepflin, S.; Ruppen, S.; Bruelhart, Y.; Hilfiker, R. Effects of Whole-Body Vibration on Postural Control in Elderly: An Update of a Systematic Review and Meta-Analysis. Arch. Gerontol. Geriatr. 2017, 73, 95–112. [Google Scholar] [CrossRef]
- Weng, S.E.; Huang, Y.W.; Tseng, Y.C.; Peng, H.R.; Lai, H.Y.; Akishita, M.; Arai, H.; Hsiao, F.Y.; Chen, L.K. The Evolving Landscape of Sarcopenia in Asia: A Systematic Review and Meta-Analysis Following the 2019 Asian Working Group for Sarcopenia (AWGS) Diagnostic Criteria. Arch. Gerontol. Geriatr. 2025, 128, 105596. [Google Scholar] [CrossRef] [PubMed]
- Bhasin, S.; Travison, T.G.; Manini, T.M.; Patel, S.; Pencina, K.M.; Fielding, R.A.; Magaziner, J.M.; Newman, A.B.; Kiel, D.P.; Cooper, C.; et al. Sarcopenia Definition: The Position Statements of the Sarcopenia Definition and Outcomes Consortium. J. Am. Geriatr. Soc. 2020, 68, 1410–1418. [Google Scholar] [CrossRef] [PubMed]
- Trăistaru, R.; Alexandru, D.O.; Kamal, D.; Kamal, C.K.; Rogoveanu, O.C.; Postolache, P. Boswellia Derivates and Rehabilitation Program in Knee Osteoarthritis Patients. Rev. Chim. 2018, 69, 4105–4108. [Google Scholar] [CrossRef]
- Trăistaru, R.; Alexandru, D.O.; Kamal, D.; Kamal, C.K.; Rogoveanu, O. The Role of Herbal Extracts in Knee Osteoarthritis Females’ Rehabilitation. Farmacia 2018, 66, 507–513. [Google Scholar]
- Kyle, U.G.; Bosaeus, I.; De Lorenzo, A.D.; Deurenberg, P.; Elia, M.; Gómez, J.M.; Heitmann, B.L.; Kent-Smith, L.; Melchior, J.C.; Pirlich, M.; et al. Composition of the ESPEN Working Group. Bioelectrical impedance analysis—Part I: Review of principles and methods. Clin. Nutr. 2004, 23, 1226–1243. [Google Scholar] [CrossRef] [PubMed]
- Janssen, I.; Heymsfield, S.B.; Wang, Z.; Ross, R. Skeletal Muscle Mass and Distribution in 468 Men and Women Aged 18–88 Yr. J. Appl. Physiol. 2000, 89, 81–88. [Google Scholar] [CrossRef]
- Christopher, A.; Kraft, E.; Olenick, H.; Kiesling, R.; Doty, A. The reliability and validity of the Timed Up and Go as a clinical tool in individuals with and without disabilities across a lifespan: A systematic review. Disabil. Rehabil. 2021, 43, 1799–1813. [Google Scholar] [CrossRef] [PubMed]
- Lauretani, F.; Russo, C.R.; Bandinelli, S.; Bartali, B.; Cavazzini, C.; Di Iorio, A.; Corsi, A.M.; Rantanen, T.; Guralnik, J.M.; Ferrucci, L. Age-Associated Changes in Skeletal Muscles and Their Effect on Mobility: An Operational Diagnosis of Sarcopenia. J. Appl. Physiol. 2003, 95, 851–860. [Google Scholar] [CrossRef]
- Guralnik, J.M.; Simonsick, E.M.; Ferrucci, L.; Glynn, R.J.; Berkman, L.F.; Blazer, D.G.; Scherr, P.A.; Wallace, R.B. A Short Physical Performance Battery Assessing Lower Extremity Function: Association with Self-Reported Disability and Prediction of Mortality and Nursing Home Admission. J. Gerontol. 1994, 49, M85–M94. [Google Scholar] [CrossRef]
- Pavasini, R.; Guralnik, J.; Brown, J.C.; Di Bari, M.; Cesari, M.; Landi, F.; Vaes, B.; Legrand, D.; Verghese, J.; Wang, C.; et al. Short Physical Performance Battery and All-Cause Mortality: Systematic Review and Meta-Analysis. BMC Med. 2016, 14, 215. [Google Scholar] [CrossRef]
- Santamaría-Peláez, M.; González-Bernal, J.J.; Da Silva-González, Á.; Medina-Pascual, E.; Gentil-Gutiérrez, A.; Fernández-Solana, J.; Mielgo-Ayuso, J.; González-Santos, J. Validity and Reliability of the Short Physical Performance Battery Tool in Institutionalized Spanish Older Adults. Nurs. Rep. 2023, 13, 1354–1367. [Google Scholar] [CrossRef]
- SarQoL Questionnaire [Internet]. Available online: http://www.sarqol.org (accessed on 1 March 2025).
- Beaudart, C.; Demonceau, C.; Reginster, J.Y.; Locquet, M.; Cesari, M.; Cruz-Jentoft, A.J.; Bruyère, O. Sarcopenia and Health-Related Quality of Life: A Systematic Review and Meta-Analysis. J. Cachexia Sarcopenia Muscle 2023, 14, 1228–1243. [Google Scholar] [CrossRef] [PubMed]
- Lee, H.; Kim, J. Evaluating the SarQoL Questionnaire as a Screening Tool for Sarcopenia among Korean Older Adults. Healthcare 2024, 12, 2000. [Google Scholar] [CrossRef] [PubMed]
- Erdogan, T.; Eris, S.; Avci, S.; Oren, M.M.; Kucukdagli, P.; Kilic, C.; Beaudart, C.; Bruyere, O.; Karan, M.A.; Bahat, G. Sarcopenia Quality-of-Life Questionnaire (SarQoL)®: Translation, Cross-Cultural Adaptation and Validation in Turkish. Aging Clin. Exp. Res. 2021, 33, 2979–2988. [Google Scholar] [CrossRef] [PubMed]
- Montero-Errasquín, B.; Vaquero-Pinto, N.; Sánchez-Cadenas, V.; Geerinck, A.; Sánchez-García, E.; Mateos-Nozal, J.; Ribera-Casado, J.M.; Cruz-Jentoft, A.J. Spanish Translation, Cultural Adaptation and Validation of the SarQoL®: A Specific Health-Related Quality of Life Questionnaire for Sarcopenia. BMC Musculoskelet. Disord. 2022, 23, 191. [Google Scholar] [CrossRef]
- Reginster, J.Y.; Beaudart, C.; Al-Daghri, N.; Avouac, B.; Bauer, J.; Bere, N.; Bruyère, O.; Cerreta, F.; Cesari, M.; Rosa, M.M.; et al. Update on the ESCEO Recommendation for the Conduct of Clinical Trials for Drugs Aiming at the Treatment of Sarcopenia in Older Adults. Aging Clin. Exp. Res. 2021, 33, 3–17. [Google Scholar] [CrossRef]
- Wu, S.; Ning, H.T.; Xiao, S.M.; Hu, M.-Y.; Wu, X.-Y.; Deng, H.-W.; Feng, H. Effects of Vibration Therapy on Muscle Mass, Muscle Strength and Physical Function in Older Adults with Sarcopenia: A Systematic Review and Meta-Analysis. Eur. Rev. Aging Phys. Act. 2020, 17, 14. [Google Scholar] [CrossRef]
- Matei, D.; Marcu, I.R.; Pătru, G.L.; Pătru, L.; Bighea, A.C.; Pătru, S. A Case of Giant Cell Tumor of the Tendon Sheath in an Elderly Patient: Diagnostic Difficulties and Therapeutic Options. Rom. J. Morphol. Embryol. 2019, 60, 293–296. [Google Scholar] [PubMed]
- Popescu, C.; Matei, D.; Amzolini, A.M.; Trăistaru, M.R. Inflammation and Physical Performance in Overweight and Obese Schoolchildren. Life 2024, 14, 1583. [Google Scholar] [CrossRef]
- Matei, D.; Trăistaru, R.; Pădureanu, V.; Avramescu, T.E.; Neagoe, D.; Genunche, A.; Amzolini, A. The Efficiency of Kinesiotherapy versus Physical Modalities on Pain and Other Common Complaints in Fibromyalgia. Life 2024, 14, 604. [Google Scholar] [CrossRef]
- Soriano, J.M.; Fernández-Garrido, J.J. SarQoL Questionnaire in Community-Dwelling Older Adults under EWGSOP2 Sarcopenia Diagnosis Algorithm: A New Screening Method? Int. J. Environ. Res. Public Health 2022, 19, 8473. [Google Scholar] [CrossRef] [PubMed]
- Drăgoi, D.; Popescu, R.; Trăistaru, R.; Matei, D.; Buzatu, A.M.; Ionovici, N.; Grecu, D. A Multidisciplinary Approach in Patients with Femoral Neck Fracture on an Osteoporotic Basis. Rom. J. Morphol. Embryol. 2010, 51, 707–711. [Google Scholar] [PubMed]
- Zhao, H.; Cheng, R.; Song, G.; Teng, J.; Shen, S.; Fu, X.; Yan, Y.; Liu, C. The Effect of Resistance Training on the Rehabilitation of Elderly Patients with Sarcopenia: A Meta-Analysis. Int. J. Environ. Res. Public Health 2022, 19, 15491. [Google Scholar] [CrossRef] [PubMed]
- Cesari, M.; Landi, F.; Calvani, R.; Cherubini, A.; Di Bari, M.; Kortebein, P.; Del Signore, S.; Regis Le Lain, S.; Vellas, B.; Pahor, M.; et al. Rationale for a Preliminary Operational Definition of Physical Frailty and Sarcopenia in the SPRINTT Trial. Aging Clin. Exp. Res. 2017, 29, 81–88. [Google Scholar] [CrossRef]







| Components | Description | |
|---|---|---|
| Stage 1—In-Hospital Kinesiotherapy and Deep Oscillation Therapy | Kinesiotherapy 
 | Resistance exercises (strength training) We selected agonist-antagonist muscle groups—knee and elbow flexors-extensors). Both sides with a possible full range of motion. Exercise at a load around 40–50% of baseline strength as the initial training stimulus. A total of 8–12 repetitions, 3 sets, separated by rest intervals of 90 s. We increased resistance by adding small weights or using elastic bands (TheraBand Latex Resistance Bands), and body resistance. Balance and gait training—mono and bipedal walking on an unstable proprioceptive platform. Resistance and balance and gait training were performed a.m. Endurance training (aerobic training)—many repetitions, low resistance. We selected an aerobic exercise (walking, cycling) using large muscle groups. Begin with low-intensity exercise (40% of maximum heart rate) for a short duration (5–10 min). Then, the intensity of exercise was maintained at 60% of maximum heart rate. We included warm-up and cool-down exercises (stretching and breathing exercises). The aerobic program was performed p.m. | 
| Deep oscillation—therapy with manual applicator 30 min, daily | First, 5 min—high frequency 100 Hz, for the thixotropic, analgesic, and muscle-relaxing effect. Then, 10 min—low frequency 5–25 Hz, which activates local metabolism, improving muscle function. A 5 cm oscillator head was applied to both thigh muscles. | |
| The second stage (5 months)—Table 2 Home training kinetic program, with weekly monitoring through the outpatient service | ||
| Stage 3—Outpatient Kinesiotherapy and Deep Oscillation Therapy | Kinesiotherapy 
 | Implement balance training such as standing on one foot, walking heel-to-toe, or using balance boards to reduce fall risk and improve body coordination. (10 min) Practice functional movements that mimic daily activities, such as stepping up and down stairs, sitting down and standing up from a chair, and carrying weights to simulate grocery bags (10 min). Pedaling on the elliptical bike. Begin with short durations (10–15 min) and gradually increase to 20 min. | 
| Deep oscillation—therapy with manual applicator 30 min, daily | First, 5 min—high frequency 100 Hz, for the thixotropic, analgesic, and muscle-relaxing effect. Then, 10 min—low frequency 5–25 Hz, which activates local metabolism, improving muscle function. A 5 cm oscillator head was applied to both thigh muscles. | |
| Day | Type of Training | Activities | Duration | 
|---|---|---|---|
| Day 1 | Aerobic Training | Warm-up (10 min): gentle stretching and slow walking or stationary cycling. Main activity (20 min): walking on a flat surface or treadmill. Cool-down (10 min): slow walking and stretching. | 40 min | 
| Day 2 | Resistance training | Warm-up (10 min): light stretching and mobility exercises. Main activity (20 min): seated leg press, arm curls with resistance bands, chest press. Cool-down (10 min): gentle stretching. | 40 min | 
| Day 3 | Balance training | Warm-up (10 min): gentle stretching of the upper and lower body. Main activity (20 min): Single-leg stands: hold each leg for up to 30 s, using a chair for support if needed. Heel-to-toe walk: walk in a straight line, placing the heel of one foot directly in front of the toes of the other foot. Standing yoga poses: tree pose or warrior III, using a wall or chair for support. Cool-down (10 min): gentle stretching focusing on the legs and lower back. | 40 min | 
| Day 4 | Rest day | Activity: Light walking or leisure activities (gardening, shopping, light housework) | 40–60 min | 
| Day 5 | Combined aerobic and light resistance training | Warm-up (10 min): gentle stretching and mobility exercises. Main activity (40 min): cycling on a stationary bike, light resistance circuit. Cool-down (10 min): stretching and relaxation exercises. | 60 min | 
| Day 6 | Flexibility training | Warm-up (10 min): light cardiovascular exercise like walking or stationary cycling at a very low intensity. Main Activity (20 min): Dynamic stretches: leg swings and arm circles to improve range of motion. Static stretches: hold stretches for each major muscle group for 20–30 s, such as hamstring and quadriceps stretches, and arm stretches. Cool-down (10 min): deep breathing and relaxation techniques to enhance muscle relaxation. | 40 min | 
| Day 7 | Rest day | Activity: light, non-strenuous activities such as walking around the home or gardening, gentle walking in a park with low-intensity movements | 30–60 min | 
| Study Group 40 Females | Control Group 40 Females | p-Value | |
|---|---|---|---|
| Age (years) | 72.45 ± 4.24 | 72.32 ± 4.48 | 0.898 | 
| Weight (kg) | 61.97 ± 8.42 | 65.07 ± 5.79 | 0.059 | 
| Height (m) | 1.59 ± 0.06 | 1.62 ± 0.06 | 0.125 | 
| BMI (kg/m2) | 24.23 ± 2.94 | 24.82 ± 2.41 | 0.328 | 
| Urban (n, %) | 20 (50%) | 18 (45%) | 0.822 | 
| Rural (n, %) | 20 (50%) | 22 (55%) | 0.659 | 
| SPPB | 5.75 ± 0.86 | 5.8 ± 0.88 | 0.798 | 
| SarQoL | 54.42 ± 8.76 | 55.59 ± 4.61 | 0.457 | 
| Parameters | Mean Value | SD | Min Value | 25th Percentile | Median Value | 75th Percentile | Max Value | p Value | |
|---|---|---|---|---|---|---|---|---|---|
| D1 = Physical and mental health | T1 | 51.02 | 9.18 | 34.40 | 43.30 | 52.20 | 57.92 | 66.80 | <0.001 | 
| T2 | 54.86 | 9.50 | 37.00 | 47.25 | 56.90 | 62.35 | 69.10 | ||
| D2 = Locomotion | T1 | 53.50 | 9.00 | 27.80 | 50.00 | 55.10 | 60.50 | 63.90 | <0.001 | 
| T2 | 57.86 | 9.71 | 31.20 | 53.47 | 60.90 | 64.35 | 72.20 | ||
| D3 = Body composition | T1 | 50.20 | 11.17 | 29.20 | 41.70 | 50.00 | 61.97 | 71.00 | <0.001 | 
| T2 | 54.50 | 12.31 | 30.50 | 45.87 | 52.30 | 64.40 | 79.20 | ||
| D4 = Functionality | T1 | 51.62 | 9.33 | 27.10 | 45.87 | 52.80 | 56.65 | 69.60 | <0.001 | 
| T2 | 55.90 | 9.78 | 30.80 | 48.82 | 55.50 | 63.70 | 71.80 | ||
| D5 = Activities of daily living | T1 | 47.13 | 10.11 | 18.30 | 41.15 | 46.80 | 53.00 | 73.30 | <0.001 | 
| T2 | 50.63 | 10.82 | 23.50 | 43.72 | 50.30 | 56.60 | 74.60 | ||
| D6 = Leisure activities | T1 | 59.03 | 19.88 | 33.30 | 49.90 | 49.90 | 66.50 | 99.80 | <0.001 | 
| T2 | 76.07 | 19.52 | 33.30 | 62.35 | 83.10 | 87.27 | 99.80 | ||
| D7 = Fears | T1 | 59.60 | 8.57 | 35.90 | 50.00 | 62.50 | 66.40 | 72.40 | <0.001 | 
| T2 | 63.45 | 8.38 | 41.20 | 55.57 | 65.65 | 70.55 | 76.00 | ||
| Total SaQoL | T1 | 54.42 | 8.76 | 36.60 | 47.62 | 55.75 | 59.07 | 68.90 | <0.001 | 
| T2 | 62.55 | 7.00 | 47.10 | 58.95 | 63.15 | 67.50 | 72.80 | ||
| SPPB | T1 | 5.75 | 0.86 | 4.00 | 5.00 | 6.00 | 6.00 | 7.00 | <0.001 | 
| T2 | 8.05 | 0.90 | 6.00 | 7.00 | 8.00 | 9.00 | 9.00 | ||
| Parameters | Mean Value | SD | Min Value | 25th Percentile | Median Value | 75th Percentile | Max Value | p Value | |
|---|---|---|---|---|---|---|---|---|---|
| D1 = Physical and mental health | T1 | 55.48 | 5.39 | 42.30 | 51.65 | 55.15 | 58.35 | 68.30 | 0.5537 | 
| T2 | 54.14 | 5.42 | 43.40 | 50.57 | 54.45 | 57.22 | 64.50 | ||
| D2 = Locomotion | T1 | 44.14 | 6.63 | 30.20 | 41.52 | 44.90 | 46.70 | 58.90 | 0.6957 | 
| T2 | 45.56 | 7.91 | 31.30 | 40.47 | 44.30 | 50.22 | 61.50 | ||
| D3 = Body composition | T1 | 54.45 | 9.02 | 38.60 | 47.47 | 55.60 | 63.42 | 67.10 | <0.001 | 
| T2 | 56.47 | 9.02 | 42.00 | 46.40 | 57.80 | 65.50 | 68.90 | ||
| D4 = Functionality | T1 | 50.40 | 9.55 | 35.20 | 42.40 | 48.30 | 57.70 | 69.70 | 0.1498 | 
| T2 | 50.38 | 9.63 | 29.80 | 43.00 | 49.20 | 57.12 | 69.10 | ||
| D5 = Activities of daily living | T1 | 51.37 | 9.38 | 40.70 | 43.77 | 48.20 | 57.82 | 74.20 | <0.001 | 
| T2 | 52.80 | 10.08 | 35.00 | 45.15 | 50.65 | 59.55 | 76.70 | ||
| D6 = Leisure activities | T1 | 52.81 | 21.25 | 33.30 | 33.30 | 49.90 | 66.50 | 99.80 | 0.4805 | 
| T2 | 56.13 | 20.49 | 33.30 | 33.30 | 49.90 | 66.50 | 99.80 | ||
| D7 = Fears | T1 | 44.06 | 14.55 | 12.80 | 36.77 | 46.20 | 52.62 | 70.60 | <0.001 | 
| T2 | 45.52 | 14.17 | 15.50 | 37.55 | 47.80 | 53.97 | 71.10 | ||
| Total SaQoL | T1 | 55.59 | 4.61 | 48.60 | 51.77 | 56.65 | 58.82 | 68.10 | 0.1528 | 
| T2 | 56.51 | 5.51 | 43.60 | 52.45 | 56.35 | 58.97 | 69.20 | ||
| SPPB | T1 | 5.80 | 0.88 | 4.00 | 5.00 | 6.00 | 6.00 | 7.00 | 0.4113 | 
| T2 | 6.17 | 0.78 | 5.00 | 6.00 | 6.00 | 7.00 | 8.00 | ||
| Disclaimer/Publisher’s Note: The statements, opinions and data contained in all publications are solely those of the individual author(s) and contributor(s) and not of MDPI and/or the editor(s). MDPI and/or the editor(s) disclaim responsibility for any injury to people or property resulting from any ideas, methods, instructions or products referred to in the content. | 
© 2025 by the authors. Licensee MDPI, Basel, Switzerland. This article is an open access article distributed under the terms and conditions of the Creative Commons Attribution (CC BY) license (https://creativecommons.org/licenses/by/4.0/).
Share and Cite
Vladutu, B.M.; Matei, D.; Amzolini, A.M.; Kamal, C.; Traistaru, M.R. A Prospective Controlled Study on the Longitudinal Effects of Rehabilitation in Older Women with Primary Sarcopenia. Life 2025, 15, 609. https://doi.org/10.3390/life15040609
Vladutu BM, Matei D, Amzolini AM, Kamal C, Traistaru MR. A Prospective Controlled Study on the Longitudinal Effects of Rehabilitation in Older Women with Primary Sarcopenia. Life. 2025; 15(4):609. https://doi.org/10.3390/life15040609
Chicago/Turabian StyleVladutu, Bianca Maria, Daniela Matei, Anca Maria Amzolini, Constantin Kamal, and Magdalena Rodica Traistaru. 2025. "A Prospective Controlled Study on the Longitudinal Effects of Rehabilitation in Older Women with Primary Sarcopenia" Life 15, no. 4: 609. https://doi.org/10.3390/life15040609
APA StyleVladutu, B. M., Matei, D., Amzolini, A. M., Kamal, C., & Traistaru, M. R. (2025). A Prospective Controlled Study on the Longitudinal Effects of Rehabilitation in Older Women with Primary Sarcopenia. Life, 15(4), 609. https://doi.org/10.3390/life15040609
 
        


 
       