The Effect of Specific Treadmill Protocol on Aerobic Performance Parameters in Flat-Terrain-Trained Athletes
Abstract
1. Introduction
2. Materials and Methods
2.1. Experimental Approach to the Problem
2.2. Subjects
2.3. Procedures
- Age 18+;
- Engagement in regular aerobic activity (≥3 days per week for at least 30 min per session) for a minimum of six months;
- Familiarity with treadmill running.
- Failure to meet the PAR-Q+ physical activity readiness screening.
2.4. Speed Calculations
2.5. Statistical Analysis
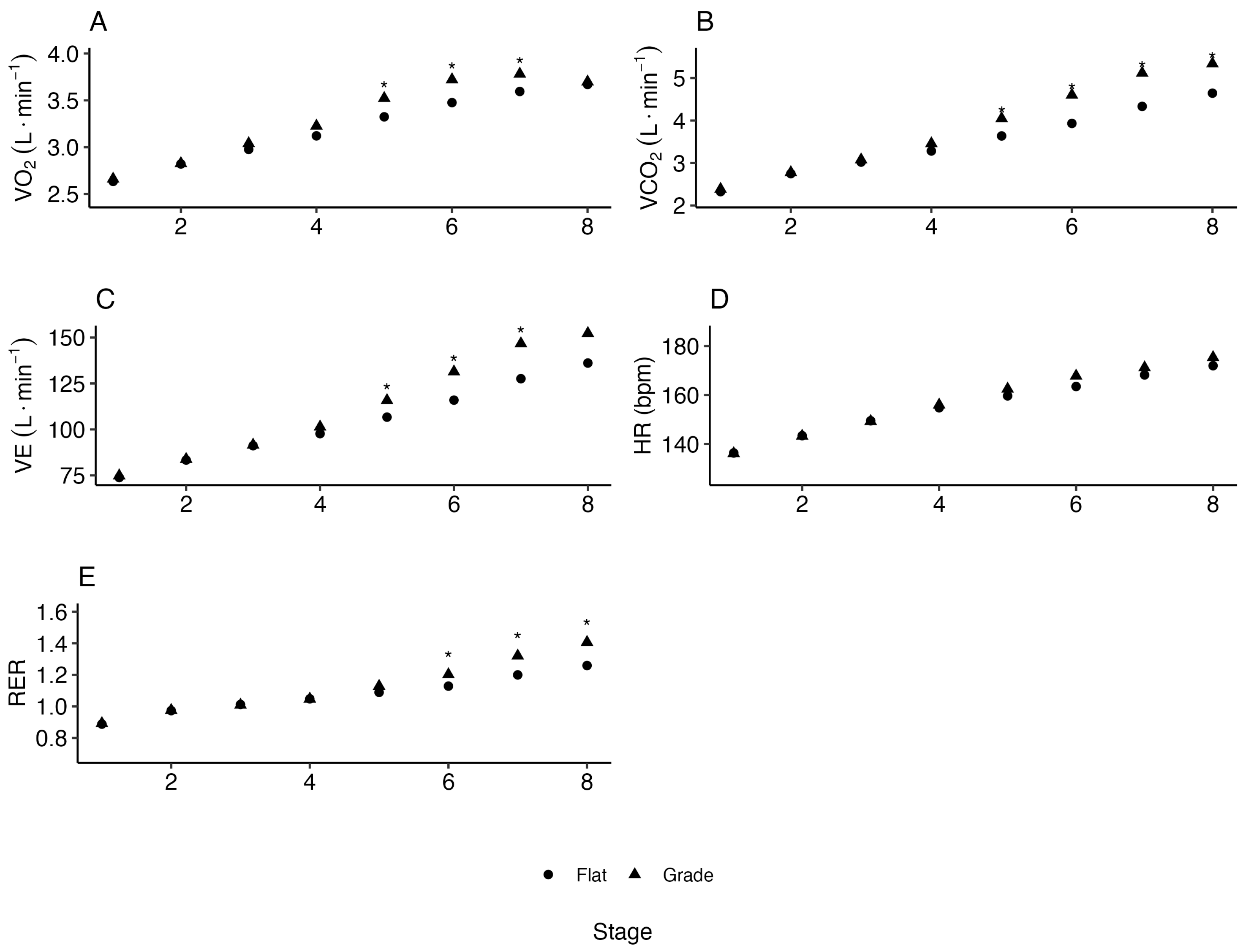
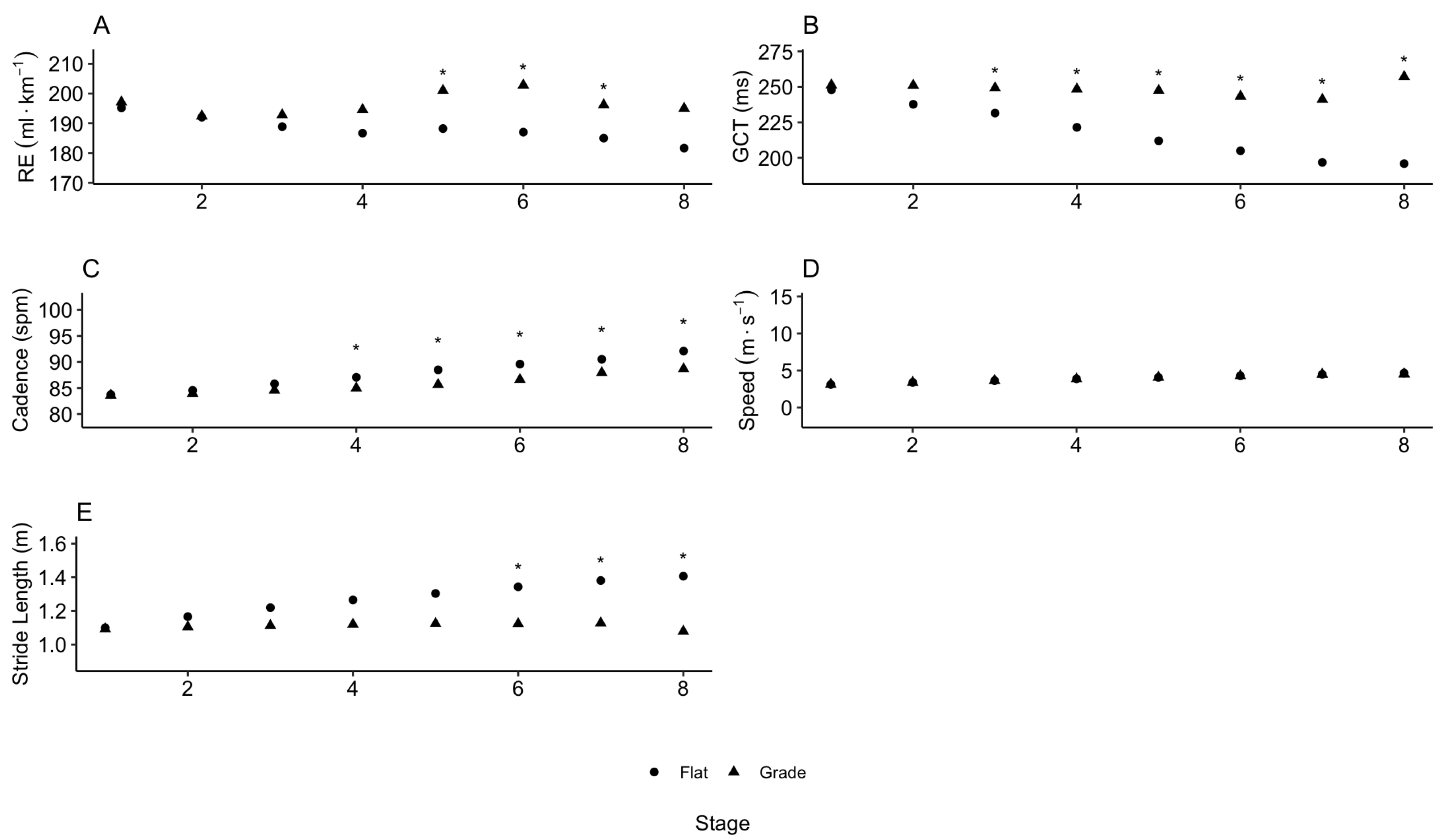
3. Results
4. Discussion
4.1. Limitations
4.2. Practical Applications and Future Recommendations
5. Conclusions
Author Contributions
Funding
Institutional Review Board Statement
Informed Consent Statement
Data Availability Statement
Conflicts of Interest
References
- Costill, D.L.; Thomason, H.; Roberts, E. Fractional utilization of the aerobic capacity during distance running. Med. Sci. Sport. 1972, 5, 248–252. [Google Scholar]
- Foster, C.; Crowe, A.; Daines, E.; Dumit, M.; Green, M.A.; Lettau, S.; Thompson, N.N.; Weymier, J. Predicting functional capacity during treadmill testing independent of exercise protocol. Med. Sci. Sport. Exerc. 1996, 28, 752–756. [Google Scholar]
- Thompson, W.R.; Gordon, N.F.; Pescatello, L.S.; American College of Sports Medicine. ACSM’s Guidelines for Exercise Testing and Prescription, 8th ed.; Wolters Kluwer/Lippincott Williams & Wilkins Health: Philadelphia, PA, USA, 1996. [Google Scholar]
- Arena, R.; Myers, J.; Forman, D.E.; Lavie, C.J.; Guazzi, M. Should high-intensity-aerobic interval training become the clinical standard in heart failure? Heart Fail. Rev. 2013, 18, 95–105. [Google Scholar]
- Mezzani, A.; Hamm, L.F.; Jones, A.M.; McBride, P.E.; Moholdt, T.; Stone, J.A.; Urhausen, A.; Williams, M.A. Aerobic exercise intensity assessment and prescription in cardiac rehabilitation: A joint position statement of the European Association for Cardiovascular Prevention and Rehabilitation, the American Association of Cardiovascular and Pulmonary Rehabilitation and the Canadian Association of Cardiac Rehabilitation. Eur. J. Prev. Cardiol. 2013, 20, 442–467. [Google Scholar]
- Andersen, K.L.; Denolin, H.; Shephard, R.; Varnauskas, E.; Masironi, R. Fundamentals of Exercise Testing; World Health Organization: Geneva, Switzerland, 1971. [Google Scholar]
- Pollock, M.L.; Foster, C.; Schmidt, D.; Hellman, C.; Linnerud, A.; Ward, A. Comparative analysis of physiologic responses to three different maximal graded exercise test protocols in healthy women. Am. Heart J. 1982, 103, 363–373. [Google Scholar] [CrossRef]
- Weltman, A.; Snead, D.; Stein, P.; Seip, R.; Schurrer, R.; Rutt, R.; Weltman, J. Reliability and validity of a continuous incremental treadmill protocol for the determination of lactate threshold, fixed blood lactate concentrations, and VO2max. Int. J. Sport. Med. 1990, 11, 26–32. [Google Scholar]
- Fernhall, B.; Kohrt, W. The effect of training specificity on maximal and submaximal physiological responses to treadmill and cycle ergometry. J. Sport. Med. Phys. Fit. 1990, 30, 268–275. [Google Scholar]
- Tofari, P.J.; McLean, B.D.; Kemp, J.; Cormack, S. A self-paced intermittent protocol on a non-motorised treadmill: A reliable alternative to assessing team-sport running performance. J. Sport. Sci. Med. 2015, 14, 62–68. [Google Scholar]
- Sperlich, P.F.; Holmberg, H.-C.; Reed, J.L.; Zinner, C.; Mester, J.; Sperlich, B. Individual versus standardized running protocols in the determination of VO2max. J. Sport. Sci. Med. 2015, 14, 386–393. [Google Scholar]
- McGawley, K. The reliability and validity of a four-minute running time-trial in assessing VO2max and performance. Front. Physiol. 2017, 8, 270. [Google Scholar]
- Mauger, A.R.; Sculthorpe, N. A new VO2max protocol allowing self-pacing in maximal incremental exercise. Brit. J. Sport. Med. 2012, 46, 59–63. [Google Scholar] [CrossRef] [PubMed]
- Astorino, T.A. Alterations in VO2max and the VO2 plateau with manipulation of sampling interval. Clin. Physiol. Funct. Imaging 2009, 29, 60–67. [Google Scholar] [CrossRef] [PubMed]
- Bentley, D.J.; Newell, J.; Bishop, D. Incremental exercise test design and analysis: Implications for performance diagnostics in endurance athletes. Sports Med. 2007, 37, 575–586. [Google Scholar] [CrossRef]
- Abe, D.; Fukuoka, Y.; Muraki, S.; Yasukouchi, A.; Sakaguchi, Y.; Niihata, S. Effects of load and gradient on energy cost of running. J. Physiol. Anthr. 2011, 30, 153–160. [Google Scholar] [CrossRef] [PubMed]
- Lussiana, T.; Fabre, N.; Hébert-Losier, K.; Mourot, L. Effect of slope and footwear on running economy and kinematics. Scand J. Med. Sci. Sport. 2013, 23, e246–e253. [Google Scholar] [CrossRef]
- Minetti, A.E.; Moia, C.; Roi, G.S.; Susta, D.; Ferretti, G. Energy cost of walking and running at extreme uphill and downhill slopes. J. Appl. Physiol. 2002, 93, 1039–1046. [Google Scholar] [CrossRef]
- Swanson, S.C.; Caldwell, G.E. An integrated biomechanical analysis of high speed incline and level treadmill running. Med. Sci. Sport. Exerc. 2000, 32, 1146–1155. [Google Scholar] [CrossRef]
- Hunter, I.; Smith, G.A. Preferred and optimal stride frequency, stiffness and economy: Changes with fatigue during a 1-h high-intensity run. Eur. J. Appl. Physiol. 2007, 100, 653–661. [Google Scholar] [CrossRef]
- Sloniger, M.A.; Cureton, K.J.; Prior, B.M.; Evans, E.M. Lower extremity muscle activation during horizontal and uphill running. J. Appl. Physiol. 1997, 83, 2073–2079. [Google Scholar] [CrossRef]
- Paavolainen, L.M.; Nummela, A.; Rusko, H.K. Neuromuscular characteristics and muscle power as determinants of 5-km running performance. Med. Sci. Sport. Exerc. 1999, 31, 124–130. [Google Scholar] [CrossRef]
- Santos-Concejero, J.; Granados, C.; Irazusta, J.; Bidaurrazaga-Letona, I.; Zabala-Lili, J.; Tam, N.; Gil, S.M. Differences in ground contact time explain the less efficient running economy in North African runners. Biol. Sport 2013, 30, 181–187. [Google Scholar] [CrossRef] [PubMed]
- Hermansen, L.; Saltin, B. Oxygen uptake during maximal treadmill and bicycle exercise. J. Appl. Physiol. 1969, 26, 31–37. [Google Scholar]
- Mayhew, J.; Gross, P. Comparison of grade-incremented versus speed-incremented maximal exercise tests in trained men. Br. J. Sport. Med. 1975, 9, 191–195. [Google Scholar]
- Taylor, H.L.; Buskirk, E.; Henschel, A. Maximal oxygen intake as an objective measure of cardio-respiratory performance. J. Appl. Physiol. 1955, 8, 73–80. [Google Scholar] [PubMed]
- Allen, D.; Freund, B.J.; Wilmore, J.H. Interaction of test protocol and horizontal run training on maximal oxygen uptake. Med. Sci. Sport. Exerc. 1986, 18, 581–587. [Google Scholar]
- Kasch, F.; Wallace, J.; Huhn, R.; Krogh, L.; Hurl, P. VO2max during horizontal and inclined treadmill running. J. Appl. Physiol. 1976, 40, 982–983. [Google Scholar] [PubMed]
- Hinckson, E.A.; Hopkins, W.G. Reliability of time to exhaustion analyzed with critical-power and log-log modeling. Med. Sci. Sport. Exerc. 2005, 37, 696–701. [Google Scholar] [CrossRef]
- Beaver, W.L.; Wasserman, K.; Whipp, B.J. A new method for detecting anaerobic threshold by gas exchange. J. Appl. Physiol. 1986, 60, 2020–2027. [Google Scholar]
- Thomas, S.; Reading, J.; Shephard, R.J. Revision of the Physical Activity Readiness Questionnaire (PAR-Q). Can. J. Sport Sci. 1992, 17, 338–345. [Google Scholar]
- Berry, T.N.; Wideman, L.; Shields, E.W.; Battaglini, C.L. The Effects of a Duathlon Simulation on Ventilatory Threshold and Running Economy. J. Sport. Sci. Med. 2016, 15, 247–253. [Google Scholar]
- Silva-Cavalcante, M.D.; Correia-Oliveira, C.R.; Santos, R.A.; Lopes-Silva, J.P.; Lima, H.M.; Bertuzzi, R.; Duarte, M.; Bishop, D.J.; Lima-Silva, A.E. Caffeine increases anaerobic work and restores cycling performance following a protocol designed to lower endogenous carbohydrate availability. PLoS ONE 2013, 8, e72025. [Google Scholar]
- Hazell, T.J.; Lemon, P.W. Synchronous whole-body vibration increases VO2 during and following acute exercise. Eur. J. Appl. Physiol. 2012, 112, 413. [Google Scholar] [PubMed]
- Jones, A.M.; Doust, J.H. A 1% treadmill grade most accurately reflects the energetic cost of outdoor running. J. Sport. Sci. 1996, 14, 321–327. [Google Scholar]
- Astrand, I. Aerobic work capacity in men and women with special reference to age. Acta Physiol. Scand. Suppl. 1960, 49, 1. [Google Scholar]
- Nieman, D.C. Exercise Testing and Prescription: A Health Related Approach; McGraw-Hill Companies: New York City, NY, USA, 2003. [Google Scholar]
- Lundby, C.; Montero, D.; Joyner, M. Biology of VO2max: Looking under the physiology lamp. Acta Physiol. 2017, 220, 218–228. [Google Scholar]
- Trowell, D.; Phillips, E.; Saunders, P.; Bonacci, J. The relationship between performance and biomechanics in middle-distance runners. Sport. Biomech. 2021, 20, 974–984. [Google Scholar]
- Cavanagh, P.R.; Williams, K.R. The effect of stride length variation on oxygen uptake during distance running. Med. Sci. Sport. Exerc. 1981, 14, 30–35. [Google Scholar]
- Kyrolainen, H.; Pullinen, T.; Candau, R.; Avela, J.; Huttunen, P.; Komi, P.V. Effects of marathon running on running economy and kinematics. Eur. J. Appl. Physiol. 2000, 82, 297–304. [Google Scholar]
- Moore, I.S. Is there an economical running technique? A review of modifiable biomechanical factors affecting running economy. Sports Med. 2016, 46, 793–807. [Google Scholar]
- Morgan, D.; Martin, P.; Craib, M.; Caruso, C.; Clifton, R.; Hopewell, R. Effect of step length optimization on the aerobic demand of running. J. Appl. Physiol. 1994, 77, 245–251. [Google Scholar] [PubMed]
- Billat, V.L.; Flechet, B.; Petit, B.; Muriaux, G.; Koralsztein, J.P. Interval training at VO2max: Effects on aerobic performance and overtraining markers. Med. Sci. Sport. Exerc. 1999, 31, 156–163. [Google Scholar] [CrossRef] [PubMed]
- Crowley, E.; Powell, C.; Carson, B.; Davies, R.W. The effect of exercise training intensity on VO2max in healthy adults: An overview of systematic reviews and meta-analyses. Transl. Sport. Med. 2022, 2022, 9310710. [Google Scholar]
- Freund, B.J.; Allen, D.; Wilmore, J.H. Interaction of test protocol and inclined run training on maximal oxygen uptake. Med. Sci. Sport. Exerc. 1986, 18, 588–592. [Google Scholar]
- Alexander, R.M. Energy-saving mechanisms in walking and running. J. Exp. Biol. 1991, 160, 55–69. [Google Scholar] [CrossRef]
- Cavagna, G.A.; Heglund, N.C.; Taylor, C.R. Mechanical work in terrestrial locomotion: Two basic mechanisms for minimizing energy expenditure. Am. J. Physiol. 1977, 233, R243–R261. [Google Scholar]
- Minetti, A.; Ardigo, L.; Saibene, F. Mechanical determinants of the minimum energy cost of gradient running in humans. Am. J. Exp. Biol. 1994, 195, 211–225. [Google Scholar]
- Nummela, A.; Keränen, T.; Mikkelsson, L. Factors related to top running speed and economy. Int. J. Sport. Med. 2007, 28, 655–661. [Google Scholar]
- Kaneko, M.; Matsumoto, M.; Ito, A.; Fuchimoto, T. Optimum step frequency in constant speed running. Biomech. XB 1987, 6, 803–807. [Google Scholar]
- Quinn, T.J.; Dempsey, S.L.; LaRoche, D.P.; Mackenzie, A.M.; Cook, S.B. Step frequency training improves running economy in well-trained female runners. J. Strength Cond. Res. 2021, 35, 2511–2517. [Google Scholar]
- Midgley, A.W.; McNaughton, L.R.; Wilkinson, M. Is there an optimal training intensity for enhancing the maximal oxygen uptake of sitance runners?: Empirical research findings, current opinions, physiological rationale and practical recommendations. Sports Med. 2006, 36, 117–132. [Google Scholar]



| Male | Female | |
|---|---|---|
| Age (years) | 43.9 ± 5.7 | 33.5 ± 3.7 |
| Height (m) | 1.80 ± 0.09 | 1.64 ± 0.08 |
| Body mass (kg) | 75.0 ± 6.6 | 60.9 ± 4.2 |
| (mL of ) | 57.6 ± 5.7 | 47.6 ± 5.7 |
| Variable | Flat Protocol | Inclined Protocol | Significance (p-Value) |
|---|---|---|---|
| (L·) | 3.90 ± 0.5 | 3.99 ± 0.5 | 1.000 |
| (L·) | 3.42 ± 0.4 | 3.62 ± 0.4 | 0.0489 |
| VE (L·) | 92.5 ± 8.7 | 101.4 ± 9.1 | 0.010 |
| HR (L·) | 173.9 ± 5.3 | 172.9 ± 5.5 | 1.000 |
| Running economy (mL·) | 185 ± 10 | 200 ± 11 | 0.0232 |
| Stride length (m) | 1.35 ± 0.1 | 1.28 ± 0.1 | 0.001 |
| Cadence (steps·) | 1.35 ± 0.1 | 1.28 ± 0.1 | 0.001 |
| Ground contact time (ms) | 225 ± 10 | 238 ± 11 | 0.001 |
Disclaimer/Publisher’s Note: The statements, opinions and data contained in all publications are solely those of the individual author(s) and contributor(s) and not of MDPI and/or the editor(s). MDPI and/or the editor(s) disclaim responsibility for any injury to people or property resulting from any ideas, methods, instructions or products referred to in the content. |
© 2025 by the authors. Licensee MDPI, Basel, Switzerland. This article is an open access article distributed under the terms and conditions of the Creative Commons Attribution (CC BY) license (https://creativecommons.org/licenses/by/4.0/).
Share and Cite
Tsai, M.-C.; Lin, E.; Thomas, S. The Effect of Specific Treadmill Protocol on Aerobic Performance Parameters in Flat-Terrain-Trained Athletes. Life 2025, 15, 569. https://doi.org/10.3390/life15040569
Tsai M-C, Lin E, Thomas S. The Effect of Specific Treadmill Protocol on Aerobic Performance Parameters in Flat-Terrain-Trained Athletes. Life. 2025; 15(4):569. https://doi.org/10.3390/life15040569
Chicago/Turabian StyleTsai, Ming-Chang, Edward Lin, and Scott Thomas. 2025. "The Effect of Specific Treadmill Protocol on Aerobic Performance Parameters in Flat-Terrain-Trained Athletes" Life 15, no. 4: 569. https://doi.org/10.3390/life15040569
APA StyleTsai, M.-C., Lin, E., & Thomas, S. (2025). The Effect of Specific Treadmill Protocol on Aerobic Performance Parameters in Flat-Terrain-Trained Athletes. Life, 15(4), 569. https://doi.org/10.3390/life15040569

