Repurposing Diltiazem for Its Neuroprotective Anti-Dementia Role against Intra-Cerebroventricular Streptozotocin-Induced Sporadic Alzheimer’s Disease-Type Rat Model
Abstract
1. Introduction
2. Materials and Methods
2.1. Chemicals
2.2. Animals
2.3. Surgical Procedures and ICV-STZ Treatment
2.4. Experimental Design
2.5. Behavioral Studies
2.5.1. Passive Avoidance Test
2.5.2. Morris Water Maze (MWM) Test
2.6. Biochemical Analysis
2.6.1. Tissue Préparations
2.6.2. Measurement of LPO
2.6.3. Measurement of Brain GSH Levels
2.6.4. Measurement of Superoxide Dismutase (SOD) Levels
2.6.5. Effect on Brain Nitrite and Pro-Inflammatory Cytokine Levels
2.7. Protein Content and Western Blotting (WB) Analysis
2.8. Immunocytochemistry
2.9. Statistical Analysis
3. Results
3.1. Effect of DTZ on Body Weight Changes in ICV-STZ-Induced Rats
3.2. Effect of DTZ on Cognitive Deficits in Passive Avoidance Task
3.3. Effect of DTZ on ICV-STZ-Induced Cognitive Impairment in MWM Task
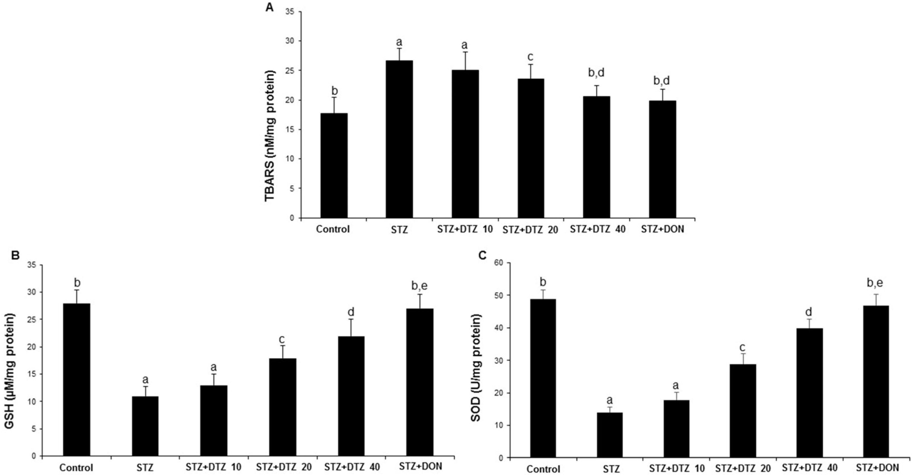
3.4. Effect of DTZ on the Anti-Oxidative Enzyme Status in ICV-STZ-Induced Rat Brain Tissues
3.5. Effect of DTZ on the Pro-Inflammatory Markers in Rat Brain Tissues
3.6. Effect of DTZ on the Total Protein Content and APP Expression
3.7. Effect of DTZ on ICV-STZ-Induced Aβ Accumulation in Rat Brain Tissues
4. Discussion
5. Conclusions
Author Contributions
Funding
Institutional Review Board Statement
Informed Consent Statement
Data Availability Statement
Acknowledgments
Conflicts of Interest
References
- Guo, T.; Zhang, D.; Zeng, Y.; Huang, T.Y.; Xu, H.; Zhao, Y. Molecular and Cellular Mechanisms Underlying the Pathogenesis of Alzheimer’s Disease. Mol. Neurodegener. 2020, 15, 40. [Google Scholar] [CrossRef] [PubMed]
- Haque, R.U.; Levey, A.I. Alzheimer’s Disease: A Clinical Perspective and Future Nonhuman Primate Research Opportunities. Proc. Natl. Acad. Sci. USA 2019, 116, 26224–26229. [Google Scholar] [CrossRef] [PubMed]
- Sajjad, R.; Arif, R.; Shah, A.A.; Manzoor, I.; Mustafa, G. Pathogenesis of Alzheimer’s Disease: Role of Amyloid-Beta and Hyperphosphorylated Tau Protein. Indian J. Pharm. Sci. 2018, 80, 581–591. [Google Scholar] [CrossRef]
- Masters, C.L.; Bateman, R.; Blennow, K.; Rowe, C.C.; Sperling, R.A.; Cummings, J.L. Alzheimer’s Disease. Nat. Rev. Dis. Primers 2015, 1, 15056. [Google Scholar] [CrossRef] [PubMed]
- Iqbal, K.; Grundke-Iqbal, I. Alzheimer’s Disease, a Multifactorial Disorder Seeking Multitherapies. Alzheimer’s Dement. 2010, 6, 420–424. [Google Scholar] [CrossRef] [PubMed]
- Chin, E.; Jaqua, E.; Safaeipour, M.; Ladue, T. Conventional Versus New Treatment: Comparing the Effects of Acetylcholinesterase Inhibitors and N-Methyl-D-Aspartate Receptor Antagonist With Aducanumab. Cureus 2022, 14, e31065. [Google Scholar] [CrossRef] [PubMed]
- Durães, F.; Pinto, M.; Sousa, E. Old Drugs as New Treatments for Neurodegenerative Diseases. Pharmaceuticals 2018, 11, 44. [Google Scholar] [CrossRef] [PubMed]
- Godfraind, T. Discovery and Development of Calcium Channel Blockers. Front. Pharmacol. 2017, 8, 286. [Google Scholar] [CrossRef] [PubMed]
- Zornow, M.H.; Prough, D.S. Neuroprotective Properties of Calcium-Channel Blockers. New Horiz. 1996, 4, 107–114. [Google Scholar]
- Kopecky, B.J.; Liang, R.; Bao, J. T-Type Calcium Channel Blockers as Neuroprotective Agents. Pflugers Arch. 2014, 466, 757–765. [Google Scholar] [CrossRef]
- Huang, B.-R.; Chang, P.-C.; Yeh, W.-L.; Lee, C.-H.; Tsai, C.-F.; Lin, C.; Lin, H.-Y.; Liu, Y.-S.; Wu, C.Y.-J.; Ko, P.-Y.; et al. Anti-Neuroinflammatory Effects of the Calcium Channel Blocker Nicardipine on Microglial Cells: Implications for Neuroprotection. PLoS ONE 2014, 9, e91167. [Google Scholar] [CrossRef] [PubMed]
- Lovell, M.A.; Abner, E.; Kryscio, R.; Xu, L.; Fister, S.X.; Lynn, B.C. Calcium Channel Blockers, Progression to Dementia, and Effects on Amyloid Beta Peptide Production. Oxid. Med. Cell. Longev. 2015, 2015, 787805. [Google Scholar] [CrossRef] [PubMed]
- Burgoyne, R.D.; Haynes, L.P. Understanding the Physiological Roles of the Neuronal Calcium Sensor Proteins. Mol. Brain 2012, 5, 2. [Google Scholar] [CrossRef] [PubMed]
- Radulescu, C.I.; Cerar, V.; Haslehurst, P.; Kopanitsa, M.; Barnes, S.J. The Aging Mouse Brain: Cognition, Connectivity and Calcium. Cell Calcium 2021, 94, 102358. [Google Scholar] [CrossRef] [PubMed]
- Yu, J.-T.; Chang, R.C.-C.; Tan, L. Calcium Dysregulation in Alzheimer’s Disease: From Mechanisms to Therapeutic Opportunities. Prog. Neurobiol. 2009, 89, 240–255. [Google Scholar] [CrossRef] [PubMed]
- Zündorf, G.; Reiser, G. Calcium Dysregulation and Homeostasis of Neural Calcium in the Molecular Mechanisms of Neurodegenerative Diseases Provide Multiple Targets for Neuroprotection. Antioxid. Redox Signal. 2011, 14, 1275–1288. [Google Scholar] [CrossRef] [PubMed]
- Tan, Y.; Deng, Y.; Qing, H. Calcium Channel Blockers and Alzheimer’s Disease. Neural Regen. Res. 2012, 7, 137–140. [Google Scholar] [CrossRef]
- Tong, B.C.-K.; Wu, A.J.; Li, M.; Cheung, K.-H. Calcium Signaling in Alzheimer’s Disease & Therapies. Biochim. Biophys. Acta Mol. Cell Res. 2018, 1865, 1745–1760. [Google Scholar] [CrossRef]
- Nimmrich, V.; Eckert, A. Calcium Channel Blockers and Dementia. Br. J. Pharmacol. 2013, 169, 1203–1210. [Google Scholar] [CrossRef]
- Zupan, G.; Mrsić, J.; Simonić, A. Effects of Nicardipine, Felodipine and Nifedipine on Passive Avoidance Behavior of Intact and Hypoxia-Exposed Rats. Arch. Int. Pharmacodyn. Ther. 1993, 325, 61–69. [Google Scholar]
- Župan, G.; Vitezić, D.; Mršić, J.; Matešić, D.; Simonić, A. Effects of Nimodipine, Felodipine and Amlodipine on Electroconvulsive Shock-Induced Amnesia in the Rat. Eur. J. Pharmacol. 1996, 310, 103–106. [Google Scholar] [CrossRef] [PubMed]
- Mason, R.P.; Mak, I.T.; Trumbore, M.W.; Mason, P.E. Antioxidant Properties of Calcium Antagonists Related to Membrane Biophysical Interactions. Am. J. Cardiol. 1999, 84, 16–22. [Google Scholar] [CrossRef] [PubMed]
- Godfraind, T. Antioxidant Effects and the Therapeutic Mode of Action of Calcium Channel Blockers in Hypertension and Atherosclerosis. Philos. Trans. R. Soc. B Biol. Sci. 2005, 360, 2259–2272. [Google Scholar] [CrossRef]
- Das, R.; Burke, T.; Van Wagoner, D.R.; Plow, E.F. L-Type Calcium Channel Blockers Exert an Antiinflammatory Effect by Suppressing Expression of Plasminogen Receptors on Macrophages. Circ. Res. 2009, 105, 167–175. [Google Scholar] [CrossRef] [PubMed]
- Chaffman, M.; Brogden, R.N. Diltiazem. Drugs 1985, 29, 387–454. [Google Scholar] [CrossRef] [PubMed]
- Rodríguez Padial, L.; Barón-Esquivias, G.; Hernández Madrid, A.; Marzal Martín, D.; Pallarés-Carratalá, V.; de la Sierra, A. Clinical Experience with Diltiazem in the Treatment of Cardiovascular Diseases. Cardiol. Ther. 2016, 5, 75–82. [Google Scholar] [CrossRef]
- Paquet-Durand, F.; Gierse, A.; Bicker, G. Diltiazem Protects Human NT-2 Neurons against Excitotoxic Damage in a Model of Simulated Ischemia. Brain Res. 2006, 1124, 45–54. [Google Scholar] [CrossRef] [PubMed]
- Fansa, I.; Altug, M.; Melek, I.; Ucar, E.; Kontas, T.; Akcora, B.; Atik, E.; Duman, T. The Neuroprotective and Anti-Inflammatory Effects of Diltiazem in Spinal Cord Ischaemia–Reperfusion Injury. J. Int. Med. Res. 2009, 37, 520–533. [Google Scholar] [CrossRef] [PubMed]
- Rani, A.; Neha; Sodhi, R.K.; Kaur, A. Protective Effect of a Calcium Channel Blocker “Diltiazem” on Aluminum Chloride-Induced Dementia in Mice. Naunyn-Schmiedeberg’s Arch. Pharmacol. 2015, 388, 1151–1161. [Google Scholar] [CrossRef]
- Vallazza-Deschamps, G.; Fuchs, C.; Cia, D.; Tessier, L.-H.; Sahel, J.A.A.; Dreyfus, H.; Picaud, S. Diltiazem-Induced Neuroprotection in Glutamate Excitotoxicity and Ischemic Insult of Retinal Neurons. Doc. Ophthalmol. 2005, 110, 25–35. [Google Scholar] [CrossRef]
- Zhang, J.; Cao, H.; Zhang, Y.; Zhang, Y.; Ma, J.; Wang, J.; Gao, Y.; Zhang, X.; Zhang, F.; Chu, L. Nephroprotective Effect of Calcium Channel Blockers against Toxicity of Lead Exposure in Mice. Toxicol. Lett. 2013, 218, 273–280. [Google Scholar] [CrossRef] [PubMed]
- Mathangi, D.C.; Namasivayam, A. Protective Effect of Diltiazem on Cyanide-Induced Neurotoxicity in Wistar Strain Rats. Food Chem. Toxicol. 2004, 42, 605–608. [Google Scholar] [CrossRef] [PubMed]
- Genkova-Papazova, M.G.; Petkova, B.; Shishkova, N.; Lazarova-Bakarova, M. Effect of the Calcium Channel Blockers Nifedipine and Diltiazem on Pentylenetetrazole Kindling-Provoked Amnesia in Rats. Eur. Neuropsychopharmacol. 2001, 11, 91–96. [Google Scholar] [CrossRef] [PubMed]
- Quartermain, D.; Garcia deSoria, V. The Effects of Calcium Channel Antagonists on Short- and Long-Term Retention in Mice Using Spontaneous Alternation Behavior. Neurobiol. Learn. Mem. 2001, 76, 117–124. [Google Scholar] [CrossRef] [PubMed]
- Kamat, P. Streptozotocin Induced Alzheimer′s Disease like Changes and the Underlying Neural Degeneration and Regeneration Mechanism. Neural Regen. Res. 2015, 10, 1050. [Google Scholar] [CrossRef]
- Moreira-Silva, D.; Vizin, R.; Martins, T.; Ferreira, T.; Almeida, M.; Carrettiero, D. Intracerebral Injection of Streptozotocin to Model Alzheimer Disease in Rats. Bio-Protocol 2019, 9, e3397. [Google Scholar] [CrossRef]
- Grieb, P. Intracerebroventricular Streptozotocin Injections as a Model of Alzheimer’s Disease: In Search of a Relevant Mechanism. Mol. Neurobiol. 2016, 53, 1741–1752. [Google Scholar] [CrossRef] [PubMed]
- Villar, M.F.Z.; Hanotte, J.L.; Peralta, F.; Reggiani, P.C. Streptozotocin-induced Sporadic Alzheimer’s Disease: Behavioral Effects in Female Rats. Alzheimer’s Dement. 2021, 17, e051339. [Google Scholar] [CrossRef]
- Zappa Villar, M.F.; López Hanotte, J.; Falomir Lockhart, E.; Trípodi, L.S.; Morel, G.R.; Reggiani, P.C. Intracerebroventricular Streptozotocin Induces Impaired Barnes Maze Spatial Memory and Reduces Astrocyte Branching in the CA1 and CA3 Hippocampal Regions. J. Neural Transm. 2018, 125, 1787–1803. [Google Scholar] [CrossRef]
- Alluri, R.; Ambati, S.R.; Routhu, K.; Kopalli, S.R.; Koppula, S. Phosphoinositide 3-Kinase Inhibitor AS605240 Ameliorates Streptozotocin-Induced Alzheimer’s Disease like Sporadic Dementia in Experimental Rats. EXCLI J. 2020, 19, 71–85. [Google Scholar] [CrossRef]
- Raghavendra, V.; Kulkarni, S.K. Possible Antioxidant Mechanism in Melatonin Reversal of Aging and Chronic Ethanol-Induced Amnesia in plus-Maze and Passive Avoidance Memory Tasks. Free Radic. Biol. Med. 2001, 30, 595–602. [Google Scholar] [CrossRef]
- Morris, R. Developments of a Water-Maze Procedure for Studying Spatial Learning in the Rat. J. Neurosci. Methods 1984, 11, 47–60. [Google Scholar] [CrossRef] [PubMed]
- Buttner, J.E. The Rat Brain in Stereotaxic Coordinates, 3rd Edn. By George Paxinos and Charles Watson. J. Anat. 1997, 191, 315–317. [Google Scholar] [CrossRef]
- Ohkawa, H.; Ohishi, N.; Yagi, K. Assay for Lipid Peroxides in Animal Tissues by Thiobarbituric Acid Reaction. Anal. Biochem. 1979, 95, 351–358. [Google Scholar] [CrossRef] [PubMed]
- Ellman, G.L. Tissue Sulfhydryl Groups. Arch. Biochem. Biophys. 1959, 82, 70–77. [Google Scholar] [CrossRef] [PubMed]
- Durak, I.; Yurtarslanl, Z.; Canbolat, O.; Akyol, Ö. A Methodological Approach to Superoxide Dismutase (SOD) Activity Assay Based on Inhibition of Nitroblue Tetrazolium (NBT) Reduction. Clin. Chim. Acta 1993, 214, 103–104. [Google Scholar] [CrossRef] [PubMed]
- Green, L.C.; Wagner, D.A.; Glogowski, J.; Skipper, P.L.; Wishnok, J.S.; Tannenbaum, S.R. Analysis of Nitrate, Nitrite, and [15N]Nitrate in Biological Fluids. Anal. Biochem. 1982, 126, 131–138. [Google Scholar] [CrossRef] [PubMed]
- Lowry, O.H.; Rosebrough, N.J.; Farr, A.L.; Randall, R.J. Protein Measurement with the Folin Phenol Reagent. J. Biol. Chem. 1951, 193, 265–275. [Google Scholar] [CrossRef]
- Tang, L.; Gamal El-Din, T.M.; Lenaeus, M.J.; Zheng, N.; Catterall, W.A. Structural Basis for Diltiazem Block of a Voltage-Gated Ca 2+ Channel. Mol. Pharmacol. 2019, 96, 485–492. [Google Scholar] [CrossRef]
- Tamargo, J.; Ruilope, L.M. Investigational Calcium Channel Blockers for the Treatment of Hypertension. Expert Opin. Investig. Drugs 2016, 25, 1295–1309. [Google Scholar] [CrossRef]
- Mohanty, P.K.; Sowers, J.R.; Thames, M.D. Effects of Hydrochlorothiazide and Diltiazem on Reflex Vasoconstriction in Hypertension. Hypertension 1987, 10, 35–42. [Google Scholar] [CrossRef] [PubMed]
- Ortner, N.J.; Striessnig, J. L-Type Calcium Channels as Drug Targets in CNS Disorders. Channels 2016, 10, 7–13. [Google Scholar] [CrossRef] [PubMed]
- Pasternak, B.; Svanström, H.; Nielsen, N.M.; Fugger, L.; Melbye, M.; Hviid, A. Use of Calcium Channel Blockers and Parkinson’s Disease. Am. J. Epidemiol. 2012, 175, 627–635. [Google Scholar] [CrossRef] [PubMed]
- Tseng, Y.-F.; Lin, H.-C.; Chao, J.C.-J.; Hsu, C.-Y.; Lin, H.-L. Calcium Channel Blockers Are Associated with Reduced Risk of Parkinson’s Disease in Patients with Hypertension: A Population-Based Retrospective Cohort Study. J. Neurol. Sci. 2021, 424, 117412. [Google Scholar] [CrossRef] [PubMed]
- Lukic-Panin, V.; Kamiya, T.; Zhang, H.; Hayashi, T.; Tsuchiya, A.; Sehara, Y.; Deguchi, K.; Yamashita, T.; Abe, K. Prevention of Neuronal Damage by Calcium Channel Blockers with Antioxidative Effects after Transient Focal Ischemia in Rats. Brain Res. 2007, 1176, 143–150. [Google Scholar] [CrossRef] [PubMed]
- Colbourne, L.; Harrison, P.J. Brain-Penetrant Calcium Channel Blockers Are Associated with a Reduced Incidence of Neuropsychiatric Disorders. Mol. Psychiatry 2022, 27, 3904–3912. [Google Scholar] [CrossRef] [PubMed]
- Chen, Y.-C.; Wu, C.-T.; Chen, J.-H.; Tsai, C.-F.; Wu, C.-Y.; Chang, P.-C.; Yeh, W.-L. Diltiazem Inhibits Breast Cancer Metastasis via Mediating Growth Differentiation Factor 15 and Epithelial-Mesenchymal Transition. Oncogenesis 2022, 11, 48. [Google Scholar] [CrossRef]
- Zadrożniak, A.; Trojnar, M.; Trojnar, M.; Kimber-Trojnar, Ż.; Dudra-Jastrzębska, M.; Andres-Mach, M.; Łuszczki, J.J. Diltiazem Enhances the Protective Activity of Oxcarbazepine against Maximal Electroshock-Induced Seizures in Mice. J. Pre-Clin. Clin. Res. 2008, 2, 147–152. [Google Scholar]
- De Oliveira Bello Corrêa, F.; Giro, G.; Gonçalves, D.; Spolidorio, L.C.; Orrico, S.R.P. Diltiazem Did Not Induce Gingival Overgrowth in Rats: A Clinical, Histological and Histometric Analysis. Braz. Oral Res. 2005, 19, 163–168. [Google Scholar] [CrossRef]
- Shalaby, M.A.; Nounou, H.A.; Deif, M.M. The Potential Value of Capsaicin in Modulating Cognitive Functions in a Rat Model of Streptozotocin-Induced Alzheimer’s Disease. Egypt. J. Neurol. Psychiatr. Neurosurg. 2019, 55, 48. [Google Scholar] [CrossRef]
- Sharma, M.; Gupta, Y.K. Chronic Treatment with Trans Resveratrol Prevents Intracerebroventricular Streptozotocin Induced Cognitive Impairment and Oxidative Stress in Rats. Life Sci. 2002, 71, 2489–2498. [Google Scholar] [CrossRef] [PubMed]
- Ge, M.; Zhang, J.; Chen, S.; Huang, Y.; Chen, W.; He, L.; Zhang, Y. Role of Calcium Homeostasis in Alzheimer’s Disease. Neuropsychiatr. Dis. Treat. 2022, 18, 487–498. [Google Scholar] [CrossRef] [PubMed]
- Cheignon, C.; Tomas, M.; Bonnefont-Rousselot, D.; Faller, P.; Hureau, C.; Collin, F. Oxidative Stress and the Amyloid Beta Peptide in Alzheimer’s Disease. Redox Biol. 2018, 14, 450–464. [Google Scholar] [CrossRef] [PubMed]
- Anjaneyulu, M.; Chopra, K. Diltiazem Attenuates Oxidative Stress in Diabetic Rats. Ren. Fail. 2005, 27, 335–344. [Google Scholar] [CrossRef] [PubMed][Green Version]
- Heneka, M.T.; Carson, M.J.; El Khoury, J.; Landreth, G.E.; Brosseron, F.; Feinstein, D.L.; Jacobs, A.H.; Wyss-Coray, T.; Vitorica, J.; Ransohoff, R.M.; et al. Neuroinflammation in Alzheimer’s Disease. Lancet Neurol. 2015, 14, 388–405. [Google Scholar] [CrossRef] [PubMed]
- Dubey, L. Anti-Inflammatory Action of Diltiazem in Patients with Unstable Angina. Postgrad. Med. J. 2006, 82, 594–597. [Google Scholar] [CrossRef] [PubMed][Green Version]
- Domingues, C.; da Cruz e Silva, O.A.B.; Henriques, A.G. Impact of Cytokines and Chemokines on Alzheimer’s Disease Neuropathological Hallmarks. Curr. Alzheimer Res. 2017, 14, 870–882. [Google Scholar] [CrossRef] [PubMed]
- Wrona, D.; Majkutewicz, I.; Świątek, G.; Dunacka, J.; Grembecka, B.; Glac, W. Dimethyl Fumarate as the Peripheral Blood Inflammatory Mediators Inhibitor in Prevention of Streptozotocin-Induced Neuroinflammation in Aged Rats. J. Inflamm. Res. 2022, 15, 33–52. [Google Scholar] [CrossRef] [PubMed]
- Mishra, S.K.; Singh, S.; Shukla, S.; Shukla, R. Intracerebroventricular Streptozotocin Impairs Adult Neurogenesis and Cognitive Functions via Regulating Neuroinflammation and Insulin Signaling in Adult Rats. Neurochem. Int. 2018, 113, 56–68. [Google Scholar] [CrossRef] [PubMed]
- Kraska, A.; Santin, M.D.; Dorieux, O.; Joseph-Mathurin, N.; Bourrin, E.; Petit, F.; Jan, C.; Chaigneau, M.; Hantraye, P.; Lestage, P.; et al. In Vivo Cross-Sectional Characterization of Cerebral Alterations Induced by Intracerebroventricular Administration of Streptozotocin. PLoS ONE 2012, 7, e46196. [Google Scholar] [CrossRef] [PubMed]
- Begum, A. Comparative Study of Anti-Inflammatory Property of Calcium Channel Blocker and Aspirin in Albino Rats. Int. J. Basic Clin. Pharmacol. 2018, 8, 21. [Google Scholar] [CrossRef]
- Arora, R.B.; Kumar, K.; Deshmukh, R.R. FK506 Attenuates Intracerebroventricular Streptozotocin-Induced Neurotoxicity in Rats. Behav. Pharmacol. 2013, 24, 580–589. [Google Scholar] [CrossRef] [PubMed]







Disclaimer/Publisher’s Note: The statements, opinions and data contained in all publications are solely those of the individual author(s) and contributor(s) and not of MDPI and/or the editor(s). MDPI and/or the editor(s) disclaim responsibility for any injury to people or property resulting from any ideas, methods, instructions or products referred to in the content. |
© 2023 by the authors. Licensee MDPI, Basel, Switzerland. This article is an open access article distributed under the terms and conditions of the Creative Commons Attribution (CC BY) license (https://creativecommons.org/licenses/by/4.0/).
Share and Cite
Alluri, R.; Kilari, E.K.; Pasala, P.K.; Kopalli, S.R.; Koppula, S. Repurposing Diltiazem for Its Neuroprotective Anti-Dementia Role against Intra-Cerebroventricular Streptozotocin-Induced Sporadic Alzheimer’s Disease-Type Rat Model. Life 2023, 13, 1688. https://doi.org/10.3390/life13081688
Alluri R, Kilari EK, Pasala PK, Kopalli SR, Koppula S. Repurposing Diltiazem for Its Neuroprotective Anti-Dementia Role against Intra-Cerebroventricular Streptozotocin-Induced Sporadic Alzheimer’s Disease-Type Rat Model. Life. 2023; 13(8):1688. https://doi.org/10.3390/life13081688
Chicago/Turabian StyleAlluri, Ramesh, Eswar Kumar Kilari, Praveen Kumar Pasala, Spandana Rajendra Kopalli, and Sushruta Koppula. 2023. "Repurposing Diltiazem for Its Neuroprotective Anti-Dementia Role against Intra-Cerebroventricular Streptozotocin-Induced Sporadic Alzheimer’s Disease-Type Rat Model" Life 13, no. 8: 1688. https://doi.org/10.3390/life13081688
APA StyleAlluri, R., Kilari, E. K., Pasala, P. K., Kopalli, S. R., & Koppula, S. (2023). Repurposing Diltiazem for Its Neuroprotective Anti-Dementia Role against Intra-Cerebroventricular Streptozotocin-Induced Sporadic Alzheimer’s Disease-Type Rat Model. Life, 13(8), 1688. https://doi.org/10.3390/life13081688

