Effectiveness and Safety of a New Nutrient Fixed Combination Containing Pollen Extract Plus Teupolioside, in the Management of LUTS in Patients with Benign Prostatic Hypertrophy: A Pilot Study
Abstract
1. Introduction
2. Materials and Methods
2.1. Study Design
2.2. Experimental Protocol
2.3. Inclusion and Exclusion Criteria
2.4. End Points
2.5. Drug Adherence
2.6. Drugs
2.7. Statistical Analysis
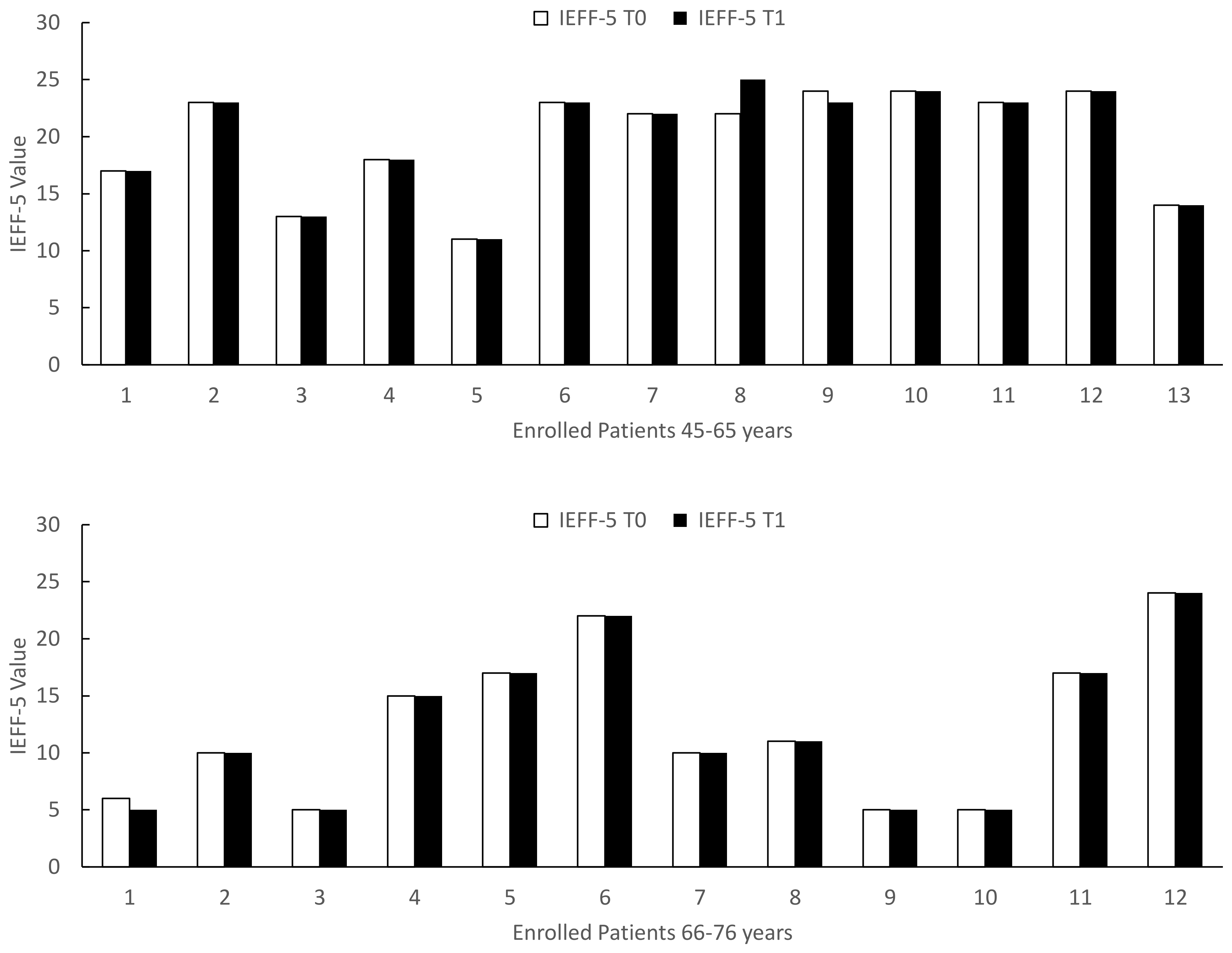
3. Results
3.1. Patients
3.2. Effect of the Treatment on Clinical Parameters
3.3. ADRs Related to XIPAG
4. Discussion
5. Conclusions
Author Contributions
Funding
Institutional Review Board Statement
Informed Consent Statement
Conflicts of Interest
References
- Egan, K.B. The Epidemiology of Benign Prostatic Hyperplasia Associated with Lower Urinary Tract Symptoms: Prevalence and Incident Rates. Urol. Clin. N. Am. 2016, 43, 289–297. [Google Scholar] [CrossRef] [PubMed]
- Kwon, Y.K.; Choe, M.S.; Seo, K.W.; Park, C.H.; Chang, H.S.; Kim, B.H.; Kim, C.I. The effect of intraprostatic chronic inflammation on benign prostatic hyperplasia treatment. Korean J. Urol. 2010, 51, 266–270. [Google Scholar] [CrossRef] [PubMed][Green Version]
- Fibbi, B.; Penna, G.; Morelli, A.; Adorini, L.; Maggi, M. Chronic inflammation in the pathogenesis of benign prostatic hyperplasia. Int. J. Androl. 2010, 33, 475–488. [Google Scholar] [CrossRef] [PubMed]
- McConnell, J.D.; Roehrborn, C.G.; Bautista, O.M.; Andriole, G.R.J.; Dixon, C.M.; Kusek, J.W.; Lepor, H.; McVary, K.T.; Nyberg, L.M.J.; Clarke, H.S.; et al. The long-term effect of doxazosin, finasteride, and combination therapy on the clinical progression of benign prostatic hyperplasia. N. Engl. J. Med. 2003, 349, 2387–2398. [Google Scholar] [CrossRef]
- Austin, D.C.; Strand, D.W.; Love, H.L.; Franco, O.E.; Jang, A.; Grabowska, M.M.; Miller, N.L.; Hameed, O.; Clark, P.E.; Fowke, J.H.; et al. NF-κB and androgen receptor variant expression correlate with human BPH progression. Prostate 2016, 76, 491–511. [Google Scholar] [CrossRef]
- Cindolo, L.; Pirozzi, L.; Sountoulides, P.; Fanizza, C.; Romero, M.; Castellan, P.; Antonelli, A.; Simeone, C.; Tubaro, A.; De Nunzio, C.; et al. Patient’s adherence on pharmacological therapy for benign prostatic hyperplasia (BPH)-associated lower urinary tract symptoms (LUTS) is different: Is combination therapy better than monotherapy. BMC Urol. 2015, 15, 96. [Google Scholar] [CrossRef]
- Funahashi, Y.; Takahashi, R.; Mizoguchi, S.; Suzuki, T.; Takaoka, E.; Ni, J.; Wang, Z.; DeFranco, D.B.; de Groat, W.C.; Tyagi, P.; et al. Bladder overactivity and afferent hyperexcitability induced by prostate-to-bladder cross-sensitization in rats with prostatic inflammation. J. Physiol. 2019, 597, 2063–2078. [Google Scholar] [CrossRef]
- Cai, T.; Tiscione, D.; Gallelli, L.; Verze, P.; Palmieri, A.; Mirone, V.; Bartoletti, R.; Malossini, G. Serenoa repens associated with selenium and lycopene extract and bromelain and methylsulfonylmethane extract are able to improve the efficacy of levofloxacin in chronic bacterial prostatitis patients. Arch. Ital. Urol. Androl. 2016, 88, 177–182. [Google Scholar] [CrossRef]
- Cai, T.; Gallelli, L.; Meacci, F.; Brugnolli, A.; Prosperi, L.; Roberta, S.; Eccher, C.; Mazzoli, S.; Lanzafame, P.; Caciagli, P.; et al. The Efficacy of Umbelliferone, Arbutin, and N-Acetylcysteine to Prevent Microbial Colonization and Biofilm Development on Urinary Catheter Surface: Results from a Preliminary Study. J. Pathog. 2016, 2016, 1590952. [Google Scholar] [CrossRef][Green Version]
- Tiscione, D.; Gallelli, L.; Tamanini, I.; Luciani, L.G.; Verze, P.; Palmieri, A.; Mirone, V.; Bartoletti, R.; Malossini, G.; Cai, T. Daidzein plus isolase associated with zinc improves clinical symptoms and quality of life in patients with LUTS due to benign prostatic hyperplasia: Results from a phase I–II study. Arch. Ital. Urol. Androl. 2017, 89, 12–16. [Google Scholar] [CrossRef]
- Cai, T.; Morgia, G.; Carrieri, G.; Terrone, C.; Imbimbo, C.; Verze, P.; Mirone, V.; IDIProst® Gold Study Group. An improvement in sexual function is related to better quality of life, regardless of urinary function improvement: Results from the IDIProst® Gold Study. Arch. Ital. Urol. Androl. 2013, 85, 184–189. [Google Scholar] [CrossRef]
- EAU European Association of Urology Guidelines. Available online: https://uroweb.org/individual-guidelines/non-oncology-guidelines/ (accessed on 13 February 2022).
- Cai, T.; Verze, P.; La Rocca, R.; Palmieri, A.; Tiscione, D.; Luciani, L.G.; Mazzoli, S.; Mirone, V.; Malossini, G. The Clinical Efficacy of Pollen Extract and Vitamins on Chronic Prostatitis/Chronic Pelvic Pain Syndrome Is Linked to a Decrease in the Pro-Inflammatory Cytokine Interleukin-8. World J. Men’s Health 2017, 35, 120–128. [Google Scholar] [CrossRef]
- Cai, T.; Verze, P.; La Rocca, R.; Anceschi, U.; De Nunzio, C.; Mirone, V. The role of flower pollen extract in managing patients affected by chronic prostatitis/chronic pelvic pain syndrome: A comprehensive analysis of all published clinical trials. BMC Urol. 2017, 17, 32. [Google Scholar] [CrossRef]
- Nagashima, A.; Ishii, M.; Yoshinaga, M.; Higaki, E. Effect of cernitin extract (Cernilton®) on the function of urinary bladder in conscious rats. Jpn. Pharmacol. Ther. 1998, 26, 51–56. [Google Scholar]
- Wagenlehner, F.M.E.; Bschleipfer, T.; Pilatz, A.; Weidner, W. Pollen extract for chronic prostatitis-chronic pelvic pain syndrome. Urol. Clin. N. Am. 2011, 38, 285–292. [Google Scholar] [CrossRef]
- Matsukawa, Y.; Naito, Y.; Funahashi, Y.; Ishida, S.; Fujita, T.; Tochigi, K.; Kato, M.; Gotoh, M. Comparison of cernitin pollen extract vs tadalafil therapy for refractory chronic prostatitis/chronic pelvic pain syndrome: A randomized, prospective study. Neurourol. Urodyn. 2020, 39, 1994–2002. [Google Scholar] [CrossRef]
- Locatelli, M.; Macchione, N.; Ferrante, C.; Chiavaroli, A.; Recinella, L.; Carradori, S.; Zengin, G.; Cesa, S.; Leporini, L.; Leone, S.; et al. Graminex pollen: Phenolic pattern, colorimetric analysis and protective effects in immortalized prostate cells (PC3) and rat prostate challenged with LPS. Molecules 2018, 23, 1145. [Google Scholar] [CrossRef]
- Cai, T.; Gallelli, L.; Cione, E.; Verze, P.; Palmieri, A.; Mirone, V.; Bonkat, G.; Wagenlehner, F.M.; Johansen Bjerklund, T.E. The efficacy and tollerability of pollen extract in combination with hyaluronic acid and vitamins in the management of patients affected by chronic prostatitis/chronic pelvic pain syndrome: A 26 weeks, randomized, controlled, single-blinded, phase III study. Minerva Urol. Nephrol. 2021. [Google Scholar] [CrossRef]
- Cai, T.; Gallelli, L.; Cione, E.; Perletti, G.; Ciarleglio, F.; Malossini, G.; De Pretis, G.; Palmieri, A.; Mirone, V.; Bartoletti, R.; et al. The use of Lactobacillus casei DG® prevents symptomatic episodes and reduces the antibiotic use in patients affected by chronic bacterial prostatitis: Results from a phase IV study. World J. Urol. 2021, 39, 3433–3440. [Google Scholar] [CrossRef]
- Gallelli, G.; Di Mizio, G.; Palleria, C.; Siniscalchi, A.; Rubino, P.; Muraca, L.; Cione, E.; Salerno, M.; De Sarro, G.; Gallelli, L. Data recorded in real life support the safety of nattokinase in patients with vascular diseases. Nutrients 2021, 13, 2031. [Google Scholar] [CrossRef]
- Caroleo, B.; Colangelo, L.; Perticone, M.; De Sarro, G.; Gallelli, L. Efficacy and Safety of Elbasvir-Grazoprevir Fixed Dose in the Management of Polytreated HCV Patients: Evidence From Real-Life Clinical Practice. J. Clin. Pharmacol. 2018, 58, 1248–1253. [Google Scholar] [CrossRef]
- Korkina, L.G.; Mikhal’chik, E.; Suprun, M.V.; Pastore, S.; Dal Toso, R. Molecular mechanisms underlying wound healing and anti-inflammatory properties of naturally occurring biotechnologically produced phenylpropanoid glycosides. Cell. Mol. Biol. 2007, 53, 84–91. [Google Scholar]
- Cicero, A.F.G.; Allkanjari, O.; Vitalone, A.; Busetto, G.M.; Cai, T.; Larganà, G.; Russo, G.I.; Magri, V.; Perletti, G.; Della Cuna, F.S.R.; et al. Nutraceutical treatment and prevention of benign prostatic hyperplasia and prostate cancer. Arch. Ital. Urol. Androl. 2019, 91, 3. [Google Scholar] [CrossRef]
- Coulson, S.; Rao, A.; Beck, S.L.; Steels, E.; Gramotnev, H.; Vitetta, L. A phase II randomised double-blind placebo-controlled clinical trial investigating the efficacy and safety of ProstateEZE Max: A herbal medicine preparation for the management of symptoms of benign prostatic hypertrophy. Complement. Ther. Med. 2013, 21, 172–179. [Google Scholar] [CrossRef]
- Loschen, G.; Ebeling, L. Inhibition of arachidonic acid cascade by extract of rye pollen. Arzneimittelforschung 1991, 41, 162–167. [Google Scholar]
- Bin Sayeed, M.; Karim, S.; Sharmin, T.; Morshed, M. Critical Analysis on Characterization, Systemic Effect, and Therapeutic Potential of Beta-Sitosterol: A Plant-Derived Orphan Phytosterol. Medicines 2016, 3, 29. [Google Scholar] [CrossRef]
- Tj, W.; Ishani, A.; Macdonald, R.; Stark, G.; Mulrow, C.; Lau, J. Beta-sitosterols for benign prostatic hyperplasia. Cochrane Database Syst. Rev. 1999, CD001043. [Google Scholar] [CrossRef]








| Demographics | Values |
|---|---|
| Range (years) | 43–76 |
| Number of enrolled patients | 25 |
| Age (years) | 62 ± 9.3 |
| IPSS (T0) | 13.3 ± 6.1 |
| PSA | 1.4 ± 1 |
| IIEF-5 (T0) | 16.2 ± 6.8 |
| COPD/Asthma | 3/1 |
| Blood Hypertension | 11 |
| Diabetes | 4 |
| Parameters | 45–65 Years | 66–76 Years | p |
|---|---|---|---|
| Number of patients | 13 | 12 | - |
| Age (years) | 62 ± 9.3 | 69.8 ± 4 | * |
| IPSS (T0) | 12.5 ± 6.9 | 14.2 ± 5.3 | * |
| PSA | 1.4 ± 1 | 1.5 ± 1.2 | - |
| IIEF-5 (T0) | 19.8 ± 4.7 | 12.3 ± 6.7 | * |
| COPD/Asthma | 2 | 3 | - |
| Blood Hypertension | 3 | 8 | * |
| Diabetes | 2 | 2 | - |
Publisher’s Note: MDPI stays neutral with regard to jurisdictional claims in published maps and institutional affiliations. |
© 2022 by the authors. Licensee MDPI, Basel, Switzerland. This article is an open access article distributed under the terms and conditions of the Creative Commons Attribution (CC BY) license (https://creativecommons.org/licenses/by/4.0/).
Share and Cite
Muraca, L.; Scuteri, A.; Burdino, E.; Marcianò, G.; Rania, V.; Catarisano, L.; Casarella, A.; Cione, E.; Palleria, C.; Colosimo, M.; et al. Effectiveness and Safety of a New Nutrient Fixed Combination Containing Pollen Extract Plus Teupolioside, in the Management of LUTS in Patients with Benign Prostatic Hypertrophy: A Pilot Study. Life 2022, 12, 965. https://doi.org/10.3390/life12070965
Muraca L, Scuteri A, Burdino E, Marcianò G, Rania V, Catarisano L, Casarella A, Cione E, Palleria C, Colosimo M, et al. Effectiveness and Safety of a New Nutrient Fixed Combination Containing Pollen Extract Plus Teupolioside, in the Management of LUTS in Patients with Benign Prostatic Hypertrophy: A Pilot Study. Life. 2022; 12(7):965. https://doi.org/10.3390/life12070965
Chicago/Turabian StyleMuraca, Lucia, Antonio Scuteri, Elisabetta Burdino, Gianmarco Marcianò, Vincenzo Rania, Luca Catarisano, Alessandro Casarella, Erika Cione, Caterina Palleria, Manuela Colosimo, and et al. 2022. "Effectiveness and Safety of a New Nutrient Fixed Combination Containing Pollen Extract Plus Teupolioside, in the Management of LUTS in Patients with Benign Prostatic Hypertrophy: A Pilot Study" Life 12, no. 7: 965. https://doi.org/10.3390/life12070965
APA StyleMuraca, L., Scuteri, A., Burdino, E., Marcianò, G., Rania, V., Catarisano, L., Casarella, A., Cione, E., Palleria, C., Colosimo, M., Cutruzzolà, A., Vocca, C., Basile, E., Citraro, R., Marsala, G., Di Mizio, G., De Sarro, G., & Gallelli, L. (2022). Effectiveness and Safety of a New Nutrient Fixed Combination Containing Pollen Extract Plus Teupolioside, in the Management of LUTS in Patients with Benign Prostatic Hypertrophy: A Pilot Study. Life, 12(7), 965. https://doi.org/10.3390/life12070965

