Sign in to use this feature.

Years

Between: -

Subjects

remove_circle_outline
remove_circle_outline
remove_circle_outline
remove_circle_outline

Journals

Article Types

Countries / Regions

Search Results (5)

Search Parameters:
Keywords = teupolioside

Order results
Result details
Results per page
Select all
Export citation of selected articles as:
23 pages, 3366 KB  
Article
The Nrf2-Related Pathways and the Antiandrogenic Effects Are Enhanced In Vitro and In Silico by the Combination of Graminex®G96® Pollen and Teupol 25P in Cell Models of Benign Prostate Hyperplasia
by Noemi Mencarelli, Valeria Consoli, Marialucia Gallorini, Gaetano Di Fazio, Amelia Cataldi, Maria Gulisano, Luca Vanella, Amar Osmanović and Simone Carradori
Nutraceuticals 2025, 5(3), 17; https://doi.org/10.3390/nutraceuticals5030017 - 10 Jul 2025
Cited by 1 | Viewed by 1919
Abstract
Inflammation, oxidative stress, and androgen activity are key features in benign prostate hyperplasia (BPH). Risks associated with the long-term use of 5α-reductase inhibitors have led to the search for alternative therapies, including food supplements. This study investigates the effectiveness of the combination of [...] Read more.
Inflammation, oxidative stress, and androgen activity are key features in benign prostate hyperplasia (BPH). Risks associated with the long-term use of 5α-reductase inhibitors have led to the search for alternative therapies, including food supplements. This study investigates the effectiveness of the combination of pollen extracts, namely Graminex®G96® (G) and Teupol 25P (T), towards oxidative stress and inflammation on human macrophages and benign prostate hyperplasia cells (BPH-1), both of which are LPS stimulated. The Nrf2-dependent antioxidant intracellular cascade as well as the NF-ĸB-driven inflammatory cascades were analyzed. The anti-proliferative effect of G and T, alone and in association, were evaluated on prostatic adenocarcinoma cells (PC-3) and BPH-1 cells. Finally, the inhibitory activity of GT on 5α-reductase was investigated in PC-3 cells by measuring epiandrosterone amounts, with the 5α-reductase inhibitor finasteride administered for comparison. All experiments were conducted in triplicate; data are presented as mean values ± standard deviations. Statistical analysis was performed using one-way analysis of variance. Our work demonstrates that GT promotes Nrf2-dependent antioxidant responses and counteracts the NF-ĸB-driven pathway in macrophages. GT is effective in counteracting the expression of pro-inflammatory cytokines and the generation of reactive oxygen species by promoting HO-1-dependent antioxidant responses in BPH-1 cells. GT reduces PC-3 and BPH-1 proliferation when associated with finasteride through a statistically significant inhibition of 5α-reductase activity. Data obtained in vitro and in silico demonstrate the potential efficacy of a multitargeted approach in the treatment of BPH. Full article
(This article belongs to the Special Issue Nutraceuticals and Their Anti-inflammatory Effects)
Show Figures

Figure 1

14 pages, 607 KB  
Article
Quantification of the Role of Teupol® 25P and Graminex® G96 Compared to Hexanic Extract of Serenoa repens in Patients Affected by Lower Urinary Tract Symptoms During Treatment with Silodosin
by Yazan Al Salhi, Damiano Graziani, Andrea Fuschi, Fabio Maria Valenzi, Manfredi Bruno Sequi, Paolo Pietro Suraci, Alice Antonioni, Onofrio Antonio Rera, Cosimo De Nunzio, Riccardo Lombardo, Paolo Benanti, Giuseppe Candita, Eleonora Rosato, Filippo Gianfrancesco, Giorgio Martino, Giovanni Di Gregorio, Luca Erra, Giorgio Bozzini, Antonio Carbone and Antonio Luigi Pastore
Medicina 2025, 61(7), 1225; https://doi.org/10.3390/medicina61071225 - 6 Jul 2025
Viewed by 1612
Abstract
Background and Objectives: While α1-blockers like silodosin are the mainstay for treating lower urinary tract symptoms (LUTS) due to benign prostatic hyperplasia (BPH), combination therapy with phytotherapeutics may provide enhanced symptom control. Xipag® is a novel formulation containing Graminex® G96 [...] Read more.
Background and Objectives: While α1-blockers like silodosin are the mainstay for treating lower urinary tract symptoms (LUTS) due to benign prostatic hyperplasia (BPH), combination therapy with phytotherapeutics may provide enhanced symptom control. Xipag® is a novel formulation containing Graminex® G96 (pollen extract) and Teupol® 25P (teupolioside), offering anti-inflammatory and antiandrogenic effects. This study aimed to evaluate the efficacy of Xipag® versus hexanic extract of Serenoa repens (HESr), both in combination with silodosin, in patients with LUTS/BPH. Materials and Methods: We conducted a single-center, prospective, observational, comparative study involving male patients with moderate-to-severe LUTSs undergoing treatment with silodosin. Patients were allocated to receive either Xipag® or HESr in addition to silodosin, with follow-up every 3 months for 12 months. Primary outcomes included changes in symptom scores such as IPSS, QoL, and functional improvements such as peak urinary flow rate (Qmax). Multivariable regression analyses were used to assess predictors of the response. Results: Patients receiving Xipag® showed significantly greater improvements in Qmax at all follow-up points (p < 0.05), with earlier and more sustained benefits compared to the HESr group. QoL index scores and PSA levels were also significantly better in the Xipag® group starting from month six onward. IPSS scores improved in both groups but were significantly lower in the Xipag® group only at 12 months (p = 0.04). No differences in erectile function (IIEF-5) or adverse events were observed. Conclusions: Xipag® in combination with silodosin provides superior improvement in urinary flow, symptom-related QoL, and PSA reduction compared to HESr plus silodosin, with a favorable safety profile. These findings support the use of multi-target nutraceuticals like Xipag® as a valuable adjunct in the management of LUTS/BPH. Larger randomized trials are warranted to confirm these results and explore underlying mechanisms. Full article
(This article belongs to the Section Urology & Nephrology)
Show Figures

Figure 1

21 pages, 2928 KB  
Article
Teucrium montanum L.—Unrecognized Source of Phenylethanoid Glycosides: Green Extraction Approach and Elucidation of Phenolic Compounds via NMR and UHPLC-HR MS/MS
by Ana Mandura Jarić, Ana Čikoš, Marijana Pocrnić, Krunoslav Aladić, Stela Jokić, Danijela Šeremet, Aleksandra Vojvodić Cebin and Draženka Komes
Antioxidants 2023, 12(11), 1903; https://doi.org/10.3390/antiox12111903 - 24 Oct 2023
Cited by 11 | Viewed by 2932
Abstract
Health-oriented preferences, a demand for innovative food concepts, and technological advances have greatly influenced changes in the food industry and led to remarkable development of the functional food market. Incorporating herbal extracts as a rich source of bioactive compounds (BC) could be an [...] Read more.
Health-oriented preferences, a demand for innovative food concepts, and technological advances have greatly influenced changes in the food industry and led to remarkable development of the functional food market. Incorporating herbal extracts as a rich source of bioactive compounds (BC) could be an effective solution to meet the high demand of consumers in terms of expanding the high-quality range of functional foods. The aim of this study is the valorization of the bioactive potential of T. montanum L., an understudied Mediterranean plant species, and the in-depth elucidation of a polyphenolic profile with a UHPLC-HR MS/MS and NMR analysis. The total phenolic content (TPC) and antioxidant capacity (AC) were determined on heat-assisted (HAE), microwave-assisted (MAE) and subcritical water (SWE) extracts. In terms of antioxidant capacity, SWE extracts showed the most notable potential (ABTS: 0.402–0.547 mmol eq Trolox g−1 dw, DPPH: 0.336–0.427 mmol eq Trolox g−1 dw). 12 phenolic compounds were identified in the samples of T. montanum from six microlocations in Croatia, including nine phenylethanoid glycosides (PGs) with total yields of 30.36–68.06 mg g−1 dw and 25.88–58.88 mg g−1 dw in HAE and MAE extracts, respectively. Echinacoside, teupolioside, stachysoside A, and poliumoside were the most abundant compounds HAE and MAE extracts, making T. montanum an emerging source of PGs. Full article
Show Figures

Graphical abstract

7 pages, 1300 KB  
Article
Impact of Artificial Polyploidization in Ajuga reptans on Content of Selected Biologically Active Glycosides and Phytoecdysone
by Božena Navrátilová, Vladan Ondřej, Naděžda Vrchotová, Jan Tříska, Štěpán Horník and Roman Pavela
Horticulturae 2022, 8(7), 581; https://doi.org/10.3390/horticulturae8070581 - 27 Jun 2022
Cited by 5 | Viewed by 2746
Abstract
Polyploidization in plants, which involves doubling or further multiplying of genome, has the potential to improve the constituents that make medicinal plants, like Ajuga reptans, attractive to the pharmaceutical, cosmetics, and food production industries; botanical pesticide effects could also be derived. The [...] Read more.
Polyploidization in plants, which involves doubling or further multiplying of genome, has the potential to improve the constituents that make medicinal plants, like Ajuga reptans, attractive to the pharmaceutical, cosmetics, and food production industries; botanical pesticide effects could also be derived. The aim of this study was to determine how artificial polyploidization in A. reptans plants affected the composition and quantity of biologically active substances from the glycoside and phytoecdysone families. Diploids and artificial tetraploids of A. reptans were analyzed. Changes in the contents of trans-teupolioside, trans-verbascoside, and 20-hydroxyecdysone were evident in the aboveground parts of the cultivated plants (e.g., leaves and flowers). The tetraploid lines of Ajuga plants displayed variability in, and increased levels of, trans-teupolioside and trans-verbascoside content. The 20-hydroxecdysone content was slightly higher in tetraploids. These findings indicated that Ajuga tetraploids could be used in breeding programs to enhance the yield of substances with potential medicinal and industrial applications. Full article
(This article belongs to the Special Issue In Vitro Technology and Micropropagated Plants)
Show Figures

Figure 1

12 pages, 3119 KB  
Article
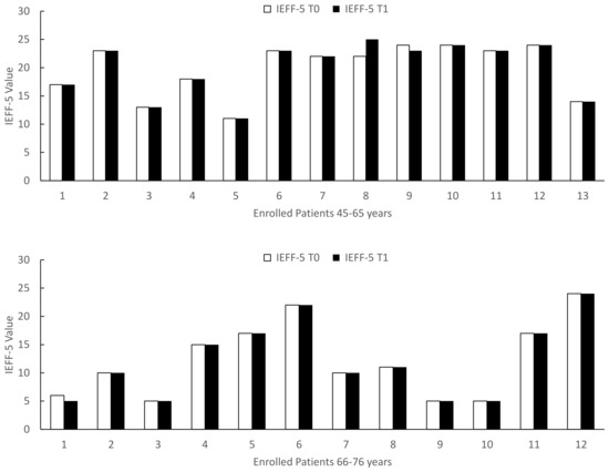
Effectiveness and Safety of a New Nutrient Fixed Combination Containing Pollen Extract Plus Teupolioside, in the Management of LUTS in Patients with Benign Prostatic Hypertrophy: A Pilot Study
by Lucia Muraca, Antonio Scuteri, Elisabetta Burdino, Gianmarco Marcianò, Vincenzo Rania, Luca Catarisano, Alessandro Casarella, Erika Cione, Caterina Palleria, Manuela Colosimo, Antonio Cutruzzolà, Cristina Vocca, Emanuele Basile, Rita Citraro, Gabriella Marsala, Giulio Di Mizio, Giovambattista De Sarro and Luca Gallelli
Life 2022, 12(7), 965; https://doi.org/10.3390/life12070965 - 27 Jun 2022
Cited by 13 | Viewed by 5459
Abstract
Benign prostatic hyperplasia (BPH) is a common cause of male lower urinary tract symptoms (LUTS) that can reduce quality of life. Even if several drugs can be used in its treatment, the development of adverse drug reactions (ADRs) represents the most common cause [...] Read more.
Benign prostatic hyperplasia (BPH) is a common cause of male lower urinary tract symptoms (LUTS) that can reduce quality of life. Even if several drugs can be used in its treatment, the development of adverse drug reactions (ADRs) represents the most common cause of low adherence. In the present study, we evaluate both the efficacy and the safety of a new nutrient fixed combination of Pollen Extract plus Teupolioside, named Xipag®, in patients with LUTS. We conduct a pilot single center open label clinical study between 1 March 2020 and 30 June 2020 in patients with BPH referred to general practitioner’s ambulatories. Male patients > 45 years, sexually active, with clinical symptoms of LUTS and with a diagnosis of HPB were enrolled and received one tablet/day of Xipag® (T0), for three months (T1: end of treatment). The IPSS and IIEF-5 questionnaires were carried out at T0 and T1 and represent the first end point, whereas the primary safety end point was considered the absence of ADR or of drug–drug interactions related to Xipag® administration. During the study period, 25 subjects aged 43 to 76 years (mean 62.7 ± 9) were enrolled and completed the study. The clinical evaluation in T1 documented that Xipag® induced a statistically significant improvement (p < 0.01) in symptoms, as documented by the IPSS questionnaire (range 22.7–88.9; mean 55.2 ± 23.6), without the development of ADRs. In conclusion, this is the first real-world study that showed the efficacy and the safety of Xipag® in the BPH patients with LUTS. Full article
(This article belongs to the Section Pharmaceutical Science)
Show Figures

Figure 1

Back to TopTop