Multi-Environmental Reliability Evaluation for Complex Equipment: A Strict Intuitionistic Fuzzy Distance Measure-Based Multi-Attribute Group Decision-Making Framework
Abstract
1. Introduction
2. Intuitionistic Fuzzy Set (IFS) and Its Measures
2.1. Intuitionistic Fuzzy Set (IFS)
- (1) ;
- (2) ;
- (3) ;
- (4) .
2.2. Distance/Similarity Measures for IFNs
- (C1) ;
- (C2) if and only if ;
- (C3) ;
- (C4) If , then and ;
- (C5) if and only if and or and .
- (C6) .
2.3. Some Existing IFDisM and Drawbacks
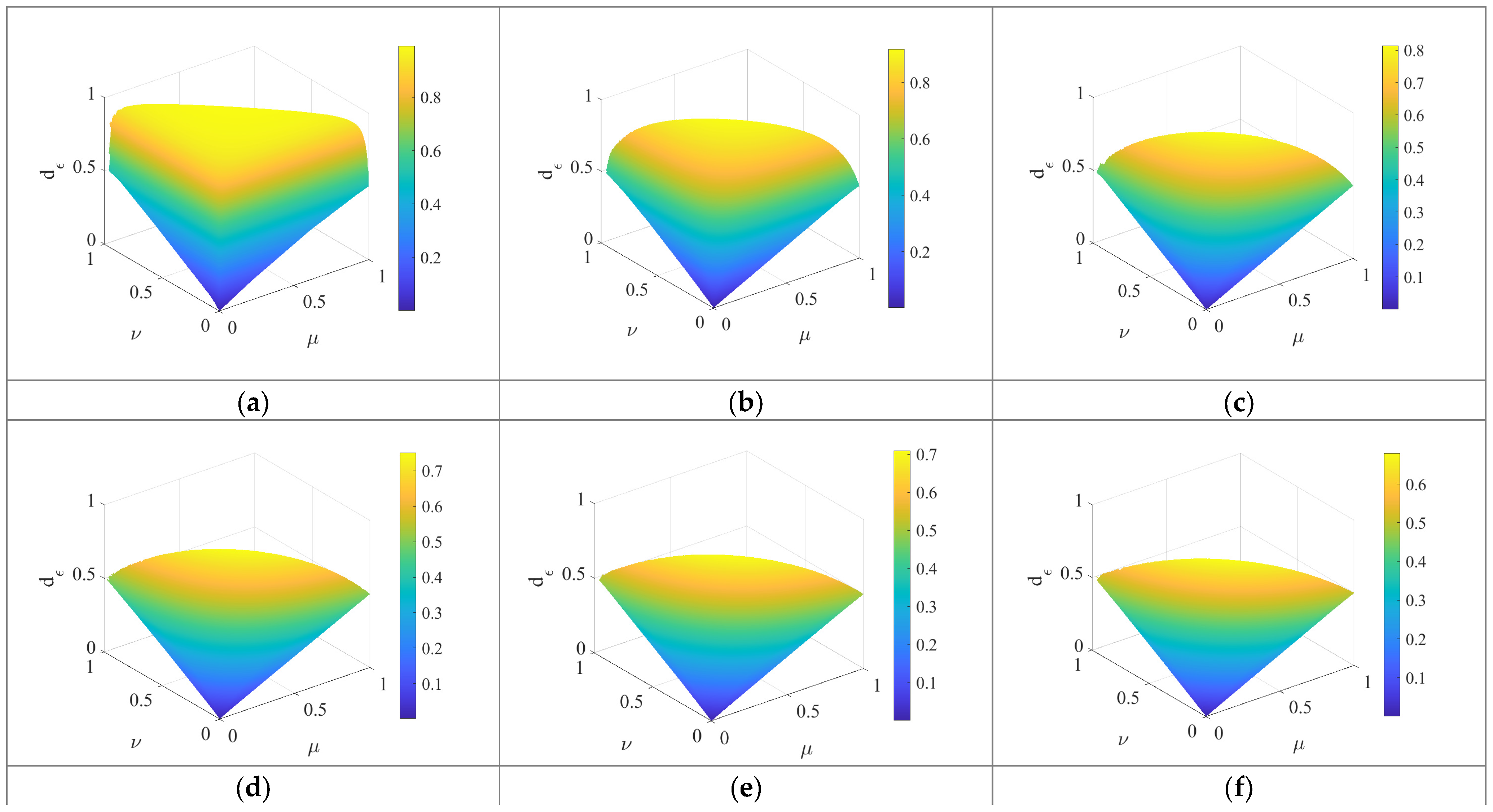
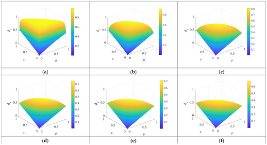
2.4. A Novel ISIFDisM/ISIFSimM with Parametric
- If , we have
2.5. Advantages of the Proposed Distance
2.6. Intuitionistic Fuzzy Entropy Measure Based on the Proposed Distance
3. A New Fuzzy MAGDM Method Based on the Proposed ISIFDisM
- Set of alternatives (complex equipment): Denoted as , where . Here, each represents the complex equipment of a different model, and set encompasses all indices that uniquely identify the complex equipment.
- Set of attributes (critical components): Represented as , where . Each corresponds to a specific core component, and set contains all indices for these components.
- Attribute weight (importance of components) vector: Designated as , where for and . The elements of vector quantify the relative significance of each core component within the evaluation framework.
- Set of decision-makers (operational environment): Denoted as , where . Each represents a decision-maker or a specific aspect of the operational environment, and contains all the relevant indices.
3.1. Accessing and Converting Decision Data from Questionnaires
- Normal operation status: The equipment functions as intended, with all parameters remaining within the normal range, and no faults or abnormalities are present.
- Abnormal operation status: The equipment exhibits minor defects or parameter deviations from the normal operating range but can still operate. Continuous monitoring and adjustments are required.
- Failure shutdown status: Severe faults render the equipment inoperable, necessitating shutdown for component repair or replacement.
3.2. Determining the Weights of Decision Attributes
3.3. Ranking Preference Order of Alternatives
3.4. The Decision-Making Procedure with the Proposed Method
4. Application
4.1. Describe the Evaluation Problem
- Ocean-going ships are purpose-built for prolonged intercontinental voyages, integrating cutting-edge technologies essential for deep-sea operations.
- Near-ocean ships serve as workhorses for maritime operations in transboundary waters, typically executing short- to medium-range missions between adjacent nations.
- Coastal ships are legally and technically confined to operating within a nation’s territorial waters, prioritizing shallow-water adaptability and regional logistics.
- Inland ships are custom designed for navigation on inland water bodies, including rivers, lakes, and canal networks.
- Transport vessels (TVs) are mainly employed for transporting goods or passengers.
- Engineering vessels (EVs) are predominantly utilized in activities such as dredging, sub-sea operations, and other technically demanding tasks.
- Specialized working vessels (SWVs) are specifically designed for the transportation of large objects and engineered to handle oversized cargo that cannot be accommodated by standard transport vessels.
4.2. Processing Evaluation Data
4.3. Providing Evaluation Results
5. Findings and Discussion
6. Conclusions
- (1)
- A new distance metric for intuitionistic fuzzy sets has been constructed. This metric eliminates the limitations of existing distance measures and exhibits enhanced robustness, monotonicity, and discriminability. By adjusting the parameters, the degree of differentiation can be enhanced, facilitating more precise discrimination between different intuitionistic fuzzy sets.
- (2)
- The assessment model developed integrates both environmental factors and the utilization of complex equipment. This comprehensive integration facilitates a more holistic understanding of the proximity of decision-making entities and offers a more precise and comprehensive evaluation framework.
- (3)
- Utilizing a questionnaire-based approach, status-level information is transformed into intuitive fuzzy numbers according to the voting results. This method effectively reduces individual biases and optimally harnesses collective intelligence, thereby enhancing the objectivity and reliability of the assessment results.
- (4)
- During the integration of evaluation information, the proposed method synchronously incorporates the condition levels of critical equipment and other evaluation data. This synchronous integration significantly improved the differentiation of the evaluation results, facilitating more precise and reliable decision-making.
Author Contributions
Funding
Data Availability Statement
Conflicts of Interest
References
- Wang, R.; Li, Y.; Xu, J.; Wang, Z.; Gao, J. F2G: A Hybrid Fault-Function Graphical Model for Reliability Analysis of Complex Equipment with Coupled Faults. Reliab. Eng. Syst. Saf. 2022, 226, 108662. [Google Scholar] [CrossRef]
- Feng, D.; Lin, S.; Yang, Q.; Lin, X.; He, Z.; Li, W. Reliability Evaluation for Traction Power Supply System of High-Speed Railway Considering Relay Protection. IEEE Trans. Transp. Electrif. 2019, 5, 285–298. [Google Scholar] [CrossRef]
- Xu, J.; Yan, Q.; Pei, Y.; Liu, Z.; Cheng, Q.; Chu, H.; Zhang, T. A Statistical Evaluation Method Based on Fuzzy Failure Data for Multi-State Equipment Reliability. Mathematics 2024, 12, 1414. [Google Scholar] [CrossRef]
- Qin, S.; Wang, B.X.; Wang, X.; Liu, J. Reliability Evaluation for the Exponential Load-Sharing System Based on System Accelerated Life Testing Data. IEEE Trans. Reliab. 2024, 1–11. [Google Scholar] [CrossRef]
- Bala, R.; Govinda, R.M.; Murthy, C.S.N. Reliability Analysis and Failure Rate Evaluation of Load Haul Dump Machines Using Weibull Distribution Analysis. Math. Model. Eng. Probl. 2018, 5, 116–122. [Google Scholar] [CrossRef]
- Zhang, Z.; Gao, D.; Guan, T.; Liang, Y.; Zhao, J.; Wang, L.; Tang, J. A Reliability Evaluation Method for Gamma Processes with Multiple Random Effects. Machines 2023, 11, 905. [Google Scholar] [CrossRef]
- BahooToroody, A.; Abaei, M.M.; Valdez Banda, O.; Montewka, J.; Kujala, P. On Reliability Assessment of Ship Machinery System in Different Autonomy Degree; a Bayesian-Based Approach. Ocean Eng. 2022, 254, 111252. [Google Scholar] [CrossRef]
- Wang, C.; Liu, Y.; Wang, D.; Wang, G.; Wang, D.; Yu, C. Reliability Evaluation Method Based on Dynamic Fault Diagnosis Results: A Case Study of a Seabed Mud Lifting System. Reliab. Eng. Syst. Saf. 2021, 214, 107763. [Google Scholar] [CrossRef]
- Duan, R.; Lin, Y.; Hu, L. Reliability Evaluation for Complex Systems Based on Interval-Valued Triangular Fuzzy Weighted Mean and Evidence Network. J. Adv. Mech. Des. Syst. Manuf. 2018, 12, JAMDSM0087. [Google Scholar] [CrossRef]
- Wang, R.; Gao, X.; Gao, Z.; Li, S.; Gao, J.; Xu, J.; Deng, W. Comprehensive Reliability Evaluation of Multistate Complex Electromechanical Systems Based on Similarity of Cloud Models. Qual. Reliab. Eng. Int. 2020, 36, 1048–1073. [Google Scholar] [CrossRef]
- Yue, C. A VIKOR-Based Group Decision-Making Approach to Software Reliability Evaluation. Soft Comput. 2022, 26, 9445–9464. [Google Scholar] [CrossRef]
- He, P.; Guo, Y.; Wang, X.; Zhang, S.; Zhong, Z. A Multi-Level Fuzzy Evaluation Method for the Reliability of Integrated Energy Systems. Appl. Sci. 2022, 13, 274. [Google Scholar] [CrossRef]
- Zhang, S.; Zhu, J.; Tong, H. A Reliability-Based Group Decision-Making Method Considering Personalized Individual Semantics and Quantum Subjective Belief with an Application for Complex Equipment Delivery Risk Assessment. SSRN Electron. J. 2023, 257847554. [Google Scholar] [CrossRef]
- Jia, X.; Jia, B. A Ship Equipment Reliability Evaluation Method Based on Symbolic Information and Interval-Valued q -Rung Picture Fuzzy Projection. Ocean Eng. 2024, 299, 117003. [Google Scholar] [CrossRef]
- Garg, H.; Dutta, D.; Dutta, P.; Gohain, B. An Extended Group Decision-Making Algorithm with Intuitionistic Fuzzy Set Information Distance Measures and Their Applications. Comput. Ind. Eng. 2024, 197, 110537. [Google Scholar] [CrossRef]
- Xu, Z. Some Similarity Measures of Intuitionistic Fuzzy Sets and Their Applications to Multiple Attribute Decision Making. Fuzzy Optim. Decis. Mak. 2007, 6, 109–121. [Google Scholar] [CrossRef]
- Eulalia, S. Distances and Similarities in Intuitionistic Fuzzy Sets; Springer: Berlin/Heidelberg, Germany, 2013; Available online: https://dl.acm.org/doi/book/10.5555/2517699 (accessed on 8 May 2025).
- Li, D.F. Decision and Game Theory in Management with Intuitionistic Fuzzy Sets; Springer: Berlin/Heidelberg, Germany, 2014; Available online: https://link.springer.com/book/10.1007/978-3-642-40712-3 (accessed on 8 May 2025).
- Luo, M.; Zhao, R. A Distance Measure between Intuitionistic Fuzzy Sets and Its Application in Medical Diagnosis. Artif. Intell. Med. 2018, 89, 34–39. [Google Scholar] [CrossRef]
- Wu, X.; Zhu, Z.; Chen, C.; Chen, G.; Liu, P. A Monotonous Intuitionistic Fuzzy TOPSIS Method under General Linear Orders via Admissible Distance Measures. IEEE Trans. Fuzzy Syst. 2023, 31, 1552–1565. [Google Scholar] [CrossRef]
- Atanassov, K.T. Intuitionistic Fuzzy Sets. Fuzzy Sets Syst. 1986, 20, 87–96. [Google Scholar] [CrossRef]
- Atanassov, K.T. Intuitionistic Fuzzy Sets, Theory and Applications; Springer: Berlin/Heidelberg, Germany, 1999. [Google Scholar]
- Xu, Z. Intuitionistic Fuzzy Aggregation Operators. IEEE Trans. Fuzzy Syst. 2008, 14, 1179–1187. [Google Scholar] [CrossRef]
- Wu, X.; Zhu, Z.; Chen, S.-M. Strict Intuitionistic Fuzzy Distance/Similarity Measures Based on Jensen-Shannon Divergence. Inf. Sci. 2024, 661, 120144. [Google Scholar] [CrossRef]
- Mahanta, J.; Panda, S. A Novel Distance Measure for Intuitionistic Fuzzy Sets with Diverse Applications. Int. J. Intell. Syst. 2021, 36, 615–627. [Google Scholar] [CrossRef]
- Vlachos, I.K.; Sergiadis, G.D. Intuitionistic Fuzzy Information—Applications to Pattern Recognition. Pattern Recognit. Lett. 2007, 28, 197–206. [Google Scholar] [CrossRef]
- Ye, J. Cosine Similarity Measures for Intuitionistic Fuzzy Sets and Their Applications. Math. Comput. Model. 2011, 53, 91–97. [Google Scholar] [CrossRef]
- Wu, X.; Tang, H.; Zhu, Z.; Liu, L.; Chen, G.; Yang, M.-S. Nonlinear Strict Distance and Similarity Measures for Intuitionistic Fuzzy Sets with Applications to Pattern Classification and Medical Diagnosis. Sci. Rep. 2023, 13, 13918. [Google Scholar] [CrossRef]
- Kumar, R.; Kumar, S. A Novel Intuitionistic Fuzzy Similarity Measure with Applications in Decision-Making, Pattern Recognition, and Clustering Problems. Granul. Comput. 2023, 8, 1027–1050. [Google Scholar] [CrossRef]
- Xie, J.; Xu, X.; Li, F. Novel Intuitionistic Fuzzy Distance Based on Tendency and Its Application in Emergency Decision-Making. Int. J. Fuzzy Syst. 2023, 25, 2295–2311. [Google Scholar] [CrossRef]
- Khan, M.J.; Ali, M.I.; Kumam, P.; Kumam, W.; Al-Kenani, A.N. Q-Rung Orthopair Fuzzy Modified Dissimilarity Measure Based Robust VIKOR Method and Its Applications in Mass Vaccination Campaigns in the Context of COVID-19. IEEE Access 2021, 9, 93497–93515. [Google Scholar] [CrossRef]
- Khan, M.J.; Kumam, P.; Alreshidi, N.A.; Kumam, W. Improved Cosine and Cotangent Function-Based Similarity Measures for q-Rung Orthopair Fuzzy Sets and TOPSIS Method. Complex Intell. Syst. 2021, 7, 2679–2696. [Google Scholar] [CrossRef]
- Patel, A.; Jana, S.; Mahanta, J. Intuitionistic Fuzzy EM-SWARA-TOPSIS Approach Based on New Distance Measure to Assess the Medical Waste Treatment Techniques. Appl. Soft Comput. 2023, 144, 110521. [Google Scholar] [CrossRef]
- Szmidt, E.; Kacprzyk, J. Entropy for Intuitionistic Fuzzy Sets. Fuzzy Sets Syst. 2001, 118, 467–477. [Google Scholar] [CrossRef]
- De, S.K.; Biswas, R.; Roy, A.R. Some Operations on Intuitionistic Fuzzy Sets. Fuzzy Sets Syst. 2000, 114, 477–484. [Google Scholar] [CrossRef]
- Thao, N.X. Some New Entropies and Divergence Measures of Intuitionistic Fuzzy Sets Based on Archimedean T-Conorm and Application in Supplier Selection. Soft Comput. 2021, 25, 5791–5805. [Google Scholar] [CrossRef]
- Ji, B.; Bang, S.; Park, H.; Cho, H.; Jung, K. Multi-Criteria Decision-Making-Based Critical Component Identification and Prioritization for Predictive Maintenance. Ind. Eng. Manag. Syst. 2019, 18, 305–314. [Google Scholar] [CrossRef]
- Liu, Z.; Wang, L. A Distributionally Robust Scheme for Critical Component Identification to Bolster Cyber-Physical Resilience of Power Systems. IEEE Trans. Smart Grid 2022, 13, 2344–2356. [Google Scholar] [CrossRef]
- Tao, F.; Zhang, M.; Liu, Y.; Nee, A.Y.C. Digital Twin Driven Prognostics and Health Management for Complex Equipment. CIRP Ann. 2018, 67, 169–172. [Google Scholar] [CrossRef]
- Sun, Y.; Gao, H.; You, Z.; Guo, L.; Song, H. Dependent Competing Failure-Based Unsupervised Health Indicators for Online Condition Monitoring. Mech. Syst. Signal Process. 2025, 230, 112591. [Google Scholar] [CrossRef]
- Zhu, S.; Liu, Z.; Ulutagay, G.; Deveci, M.; Pamučar, D. Novel α -Divergence Measures on Picture Fuzzy Sets and Interval-Valued Picture Fuzzy Sets with Diverse Applications. Eng. Appl. Artif. Intell. 2024, 136, 109041. [Google Scholar] [CrossRef]
- Gurmani, S.H.; Khan, M.J.; Ding, W.; Zulqarnain, R.M. Aczel–Alsina Operations-based Linguistic q-Rung Orthopair Fuzzy Aggregation Operators and Their Application to Site Selection of Electric Vehicle Charging Station. Eng. Appl. Artif. Intell. 2025, 154, 110989. [Google Scholar] [CrossRef]
- Paul, T.K.; Jana, C.; Pal, M. Multi-Criteria Group Decision-Making Method in Disposal of Municipal Solid Waste Based on Cubic Pythagorean Fuzzy EDAS Approach with Incomplete Weight Information. Appl. Soft Comput. 2023, 144, 110515. [Google Scholar] [CrossRef]
- Liang, W.; Rodríguez, R.M.; Wang, Y.-M.; Goh, M.; Ye, F. The Extended ELECTRE III Group Decision Making Method Based on Regret Theory under Probabilistic Interval-Valued Hesitant Fuzzy Environments. Expert Syst. Appl. 2023, 231, 120618. [Google Scholar] [CrossRef]
- Önden, İ.; Deveci, M.; Önden, A. Green Energy Source Storage Location Analysis Based on GIS and Fuzzy Einstein Based Ordinal Priority Approach. Sustain. Energy Technol. Assess. 2023, 57, 103205. [Google Scholar] [CrossRef]







| Distance | Similarity Measure | Comment | ||
|---|---|---|---|---|
| [25] | 0 | 0 | 0 | Ineffective |
| [26] | 0.3069 | 0.3069 | 0.3069 | Ineffective |
| [27] | NaN | NaN | NaN | Ineffective |
| [28] | 0.0454 | 0.0454 | 0.0454 | Ineffective |
| [28] | 0.1667 | 0.1667 | 0.1667 | Ineffective |
| [28] | 0.2368 | 0.2368 | 0.2368 | Ineffective |
| [29] | 0.5556 | 0.6250 | 0.6667 | Justified, |
| [30] | 0.2593 | 0.2262 | 0.2222 | Justified, |
| [24] | NaN | NaN | NaN | Ineffective |
| [15] | 0.4375 | 0.4375 | 0.4375 | Ineffective |
| [31] | 0.2500 | 0.2500 | 0.2500 | Ineffective |
| [32] | 0.9239 | 0.9239 | 0.9239 | Ineffective |
| Proposed | 0.1444 | 0.0886 | 0.0833 | Justified, |
| Proposed | 0.3242 | 0.2575 | 0.2500 | Justified, |
| Proposed | 0.3802 | 0.3277 | 0.3214 | Justified, |
| Distance | Similarity Measure | Classification | ||
|---|---|---|---|---|
| [25] | 0.4881 | 0.4881 | 0.4881 | Not classify |
| [26] | 0.7722 | 0.7492 | 0.7576 | Classified, |
| [27] | NaN | NaN | NaN | Not classify |
| [28] | 0.5178 | 0.5178 | 0.5178 | Not classify |
| [28] | 0.5918 | 0.5918 | 0.5918 | Not classify |
| [28] | 0.6316 | 0.6316 | 0.6316 | Not classify |
| [29] | 0.7678 | 0.7381 | 0.7633 | Classified, |
| [30] | 0.6693 | 0.6510 | 0.6483 | Classified, |
| [24] | NaN | NaN | NaN | Not classify |
| [15] | 0.7129 | 0.7129 | 0.7129 | Not classify |
| [31] | 0.8100 | 0.8100 | 0.8100 | Not classify |
| [32] | 0.9641 | 0.9656 | 0.9656 | Not classify |
| Proposed | 0.5342 | 0.5316 | 0.5286 | Classified, |
| Proposed | 0.6431 | 0.6348 | 0.6341 | Classified, |
| Proposed | 0.6813 | 0.6746 | 0.6743 | Classified, |
| Equipment | Environment | Use | Component 1 | Component 2 | Component n | |||||||
|---|---|---|---|---|---|---|---|---|---|---|---|---|
| Normal | Abnormal | Failure | Normal | Abnormal | Failure | … | Normal | Abnormal | Failure | |||
| E1 | ||||||||||||
| E2 | ||||||||||||
| … | ||||||||||||
| Use | Total Number | ||||||||||||||||||||
|---|---|---|---|---|---|---|---|---|---|---|---|---|---|---|---|---|---|---|---|---|---|
| N | A | F | N | A | F | N | A | F | N | A | F | N | A | F | N | A | F | ||||
| TV | 45 | 32 | 9 | 4 | 30 | 11 | 4 | 28 | 13 | 4 | 36 | 6 | 3 | 31 | 10 | 4 | 29 | 12 | 4 | ||
| EV | 42 | 28 | 10 | 4 | 25 | 12 | 5 | 24 | 14 | 4 | 31 | 8 | 3 | 27 | 11 | 4 | 26 | 13 | 3 | ||
| SWV | 38 | 26 | 8 | 4 | 23 | 10 | 5 | 22 | 12 | 4 | 29 | 6 | 3 | 25 | 9 | 4 | 24 | 10 | 4 | ||
| TV | 35 | 28 | 5 | 2 | 26 | 6 | 3 | 27 | 6 | 2 | 30 | 4 | 1 | 25 | 7 | 3 | 26 | 7 | 2 | ||
| EV | 32 | 24 | 6 | 2 | 22 | 7 | 3 | 20 | 9 | 3 | 25 | 5 | 2 | 22 | 8 | 2 | 21 | 9 | 2 | ||
| SWV | 28 | 20 | 5 | 3 | 18 | 7 | 3 | 17 | 8 | 3 | 22 | 4 | 2 | 19 | 6 | 3 | 18 | 7 | 3 | ||
| TV | 40 | 31 | 7 | 2 | 29 | 8 | 3 | 30 | 7 | 3 | 34 | 5 | 1 | 28 | 9 | 3 | 29 | 8 | 3 | ||
| EV | 37 | 27 | 7 | 3 | 24 | 9 | 4 | 23 | 10 | 4 | 29 | 6 | 2 | 25 | 9 | 3 | 24 | 10 | 3 | ||
| SWV | 30 | 24 | 4 | 2 | 21 | 6 | 3 | 20 | 7 | 3 | 25 | 3 | 2 | 21 | 6 | 3 | 20 | 7 | 3 | ||
| TV | 25 | 19 | 4 | 2 | 16 | 6 | 3 | 17 | 5 | 3 | 20 | 3 | 2 | 17 | 5 | 3 | 16 | 6 | 3 | ||
| EV | 22 | 17 | 3 | 2 | 14 | 5 | 3 | 13 | 6 | 3 | 17 | 3 | 2 | 14 | 5 | 3 | 13 | 6 | 3 | ||
| SWV | 18 | 14 | 2 | 2 | 12 | 4 | 2 | 11 | 5 | 2 | 14 | 2 | 2 | 12 | 4 | 2 | 11 | 5 | 2 | ||
| TV | 42 | 30 | 8 | 4 | 28 | 10 | 4 | 26 | 12 | 4 | 33 | 6 | 3 | 29 | 9 | 4 | 27 | 11 | 4 | ||
| EV | 38 | 26 | 8 | 4 | 23 | 10 | 5 | 22 | 12 | 4 | 29 | 6 | 3 | 25 | 9 | 4 | 23 | 11 | 4 | ||
| SWV | 35 | 25 | 7 | 3 | 22 | 9 | 4 | 21 | 10 | 4 | 27 | 5 | 3 | 23 | 8 | 4 | 22 | 9 | 4 | ||
| TV | 32 | 26 | 4 | 2 | 24 | 5 | 3 | 25 | 5 | 2 | 28 | 3 | 1 | 23 | 6 | 3 | 24 | 6 | 2 | ||
| EV | 28 | 22 | 4 | 2 | 19 | 6 | 3 | 18 | 7 | 3 | 23 | 3 | 2 | 20 | 5 | 3 | 19 | 6 | 3 | ||
| SWV | 25 | 20 | 3 | 2 | 17 | 5 | 3 | 16 | 6 | 3 | 20 | 3 | 2 | 17 | 5 | 3 | 16 | 6 | 3 | ||
| TV | 39 | 32 | 5 | 2 | 30 | 6 | 3 | 31 | 6 | 2 | 34 | 4 | 1 | 29 | 7 | 3 | 30 | 7 | 2 | ||
| EV | 33 | 26 | 5 | 2 | 23 | 7 | 3 | 22 | 8 | 3 | 26 | 5 | 2 | 23 | 7 | 3 | 22 | 8 | 3 | ||
| SWV | 27 | 22 | 3 | 2 | 19 | 5 | 3 | 18 | 6 | 3 | 21 | 4 | 2 | 19 | 5 | 3 | 18 | 6 | 3 | ||
| TV | 22 | 18 | 2 | 2 | 15 | 4 | 3 | 16 | 4 | 2 | 19 | 2 | 1 | 16 | 4 | 2 | 15 | 5 | 2 | ||
| EV | 18 | 14 | 2 | 2 | 12 | 4 | 2 | 11 | 5 | 2 | 14 | 2 | 2 | 12 | 4 | 2 | 11 | 5 | 2 | ||
| SWV | 15 | 12 | 1 | 2 | 10 | 3 | 2 | 9 | 4 | 2 | 12 | 1 | 2 | 10 | 3 | 2 | 9 | 4 | 2 | ||
| TV | 46 | 34 | 8 | 4 | 32 | 10 | 4 | 30 | 12 | 4 | 37 | 6 | 3 | 33 | 9 | 4 | 31 | 11 | 4 | ||
| EV | 41 | 29 | 8 | 4 | 26 | 10 | 5 | 25 | 12 | 4 | 32 | 6 | 3 | 28 | 9 | 4 | 26 | 11 | 4 | ||
| SWV | 37 | 27 | 7 | 3 | 24 | 9 | 4 | 23 | 10 | 4 | 29 | 5 | 3 | 25 | 8 | 4 | 24 | 9 | 4 | ||
| TV | 34 | 28 | 4 | 2 | 26 | 5 | 3 | 27 | 5 | 2 | 29 | 3 | 2 | 25 | 6 | 3 | 26 | 6 | 2 | ||
| EV | 29 | 23 | 4 | 2 | 20 | 6 | 3 | 19 | 7 | 3 | 24 | 3 | 2 | 21 | 5 | 3 | 20 | 6 | 3 | ||
| SWV | 25 | 20 | 3 | 2 | 17 | 5 | 3 | 16 | 6 | 3 | 20 | 3 | 2 | 17 | 5 | 3 | 16 | 6 | 3 | ||
| TV | 42 | 35 | 5 | 2 | 33 | 6 | 3 | 34 | 6 | 2 | 37 | 4 | 1 | 32 | 7 | 3 | 33 | 7 | 2 | ||
| EV | 36 | 29 | 5 | 2 | 26 | 7 | 3 | 25 | 8 | 3 | 30 | 4 | 2 | 27 | 7 | 2 | 26 | 8 | 2 | ||
| SWV | 31 | 25 | 4 | 2 | 22 | 6 | 3 | 21 | 7 | 3 | 25 | 4 | 2 | 22 | 6 | 3 | 21 | 7 | 3 | ||
| TV | 24 | 20 | 2 | 2 | 17 | 4 | 3 | 18 | 4 | 2 | 21 | 2 | 1 | 18 | 4 | 2 | 17 | 5 | 2 | ||
| EV | 20 | 16 | 2 | 2 | 13 | 4 | 3 | 12 | 5 | 3 | 15 | 3 | 2 | 13 | 4 | 3 | 12 | 5 | 3 | ||
| SWV | 16 | 13 | 1 | 2 | 11 | 3 | 2 | 10 | 4 | 2 | 13 | 1 | 2 | 11 | 3 | 2 | 10 | 4 | 2 | ||
| TV | 38 | 26 | 8 | 4 | 23 | 10 | 5 | 22 | 11 | 5 | 28 | 7 | 3 | 24 | 10 | 4 | 23 | 11 | 4 | ||
| EV | 34 | 24 | 7 | 3 | 20 | 9 | 5 | 18 | 11 | 5 | 23 | 8 | 3 | 20 | 10 | 4 | 19 | 11 | 4 | ||
| SWV | 31 | 22 | 6 | 3 | 18 | 8 | 5 | 16 | 10 | 5 | 21 | 7 | 3 | 17 | 9 | 5 | 16 | 10 | 5 | ||
| TV | 24 | 18 | 4 | 2 | 15 | 6 | 3 | 14 | 7 | 3 | 18 | 4 | 2 | 15 | 6 | 3 | 14 | 7 | 3 | ||
| EV | 20 | 14 | 4 | 2 | 11 | 6 | 3 | 9 | 8 | 3 | 12 | 5 | 3 | 10 | 7 | 3 | 9 | 8 | 3 | ||
| SWV | 17 | 12 | 3 | 2 | 9 | 5 | 3 | 7 | 7 | 3 | 10 | 5 | 2 | 8 | 6 | 3 | 7 | 7 | 3 | ||
| TV | 30 | 22 | 6 | 2 | 19 | 8 | 3 | 18 | 9 | 3 | 22 | 6 | 2 | 19 | 8 | 3 | 18 | 9 | 3 | ||
| EV | 26 | 19 | 5 | 2 | 15 | 8 | 3 | 13 | 10 | 3 | 17 | 7 | 2 | 15 | 8 | 3 | 13 | 10 | 3 | ||
| SWV | 22 | 16 | 4 | 2 | 12 | 7 | 3 | 10 | 9 | 3 | 14 | 6 | 2 | 12 | 7 | 3 | 10 | 9 | 3 | ||
| TV | 16 | 12 | 2 | 2 | 9 | 5 | 2 | 8 | 6 | 2 | 11 | 3 | 2 | 9 | 5 | 2 | 8 | 6 | 2 | ||
| EV | 13 | 9 | 2 | 2 | 6 | 5 | 2 | 5 | 6 | 2 | 7 | 4 | 2 | 6 | 5 | 2 | 5 | 6 | 2 | ||
| SWV | 10 | 7 | 2 | 1 | 4 | 4 | 2 | 3 | 5 | 2 | 5 | 3 | 2 | 4 | 4 | 2 | 3 | 5 | 2 | ||
| TV | 40 | 28 | 8 | 4 | 25 | 10 | 5 | 24 | 11 | 5 | 30 | 7 | 3 | 26 | 10 | 4 | 25 | 11 | 4 | ||
| EV | 36 | 26 | 7 | 3 | 23 | 9 | 4 | 21 | 11 | 4 | 27 | 7 | 2 | 23 | 9 | 4 | 22 | 10 | 4 | ||
| SWV | 32 | 24 | 6 | 2 | 20 | 8 | 4 | 18 | 10 | 4 | 23 | 7 | 2 | 20 | 8 | 4 | 18 | 10 | 4 | ||
| TV | 27 | 20 | 5 | 2 | 16 | 8 | 3 | 15 | 9 | 3 | 19 | 6 | 2 | 16 | 8 | 3 | 15 | 9 | 3 | ||
| EV | 23 | 17 | 4 | 2 | 13 | 7 | 3 | 11 | 9 | 3 | 15 | 6 | 2 | 13 | 7 | 3 | 11 | 9 | 3 | ||
| SWV | 19 | 14 | 3 | 2 | 11 | 6 | 2 | 9 | 8 | 2 | 12 | 5 | 2 | 10 | 7 | 2 | 9 | 8 | 2 | ||
| TV | 35 | 26 | 6 | 3 | 22 | 9 | 4 | 21 | 10 | 4 | 26 | 7 | 2 | 22 | 9 | 4 | 21 | 10 | 4 | ||
| EV | 30 | 22 | 5 | 3 | 18 | 8 | 4 | 16 | 10 | 4 | 21 | 7 | 2 | 18 | 8 | 4 | 16 | 10 | 4 | ||
| SWV | 26 | 19 | 4 | 3 | 14 | 8 | 4 | 12 | 10 | 4 | 17 | 7 | 2 | 14 | 8 | 4 | 12 | 10 | 4 | ||
| TV | 21 | 16 | 3 | 2 | 12 | 6 | 3 | 11 | 7 | 3 | 14 | 5 | 2 | 12 | 6 | 3 | 11 | 7 | 3 | ||
| EV | 17 | 12 | 3 | 2 | 9 | 6 | 2 | 7 | 7 | 3 | 10 | 5 | 2 | 8 | 7 | 2 | 7 | 7 | 3 | ||
| SWV | 14 | 10 | 3 | 1 | 7 | 5 | 2 | 6 | 6 | 2 | 8 | 4 | 2 | 7 | 5 | 2 | 6 | 6 | 2 | ||
| ([0.6667,0.7111], [0.2000,0.2381], [0.0889,0.1053]) | ([0.5952,0.6667], [0.2444,0.2857], [0.0889,0.1316]) | ([0.5714,0.6222], [0.2889,0.3333], [0.0889,0.1053]) | ([0.7381,0.8000], [0.1333,0.1905], [0.0667,0.0789]) | ([0.6429,0.6889], [0.2222,0.2619], [0.0889,0.1053]) | ([0.6190,0.6444], [0.2632,0.3095], [0.0714,0.1053]) | ||
| ([0.7143,0.8000], [0.1429,0.1875], [0.0571,0.1071]) | ([0.6429,0.7429], [0.1714,0.2500], [0.0857,0.1071]) | ([0.6071,0.7714], [0.1714,0.2857], [0.0571,0.1071]) | ([0.7813,0.8571], [0.1143,0.1563], [0.0286,0.0714]) | ([0.6786,0.7143], [0.2000,0.2500], [0.0625,0.1071]) | ([0.6429,0.7429], [0.2000,0.2813], [0.0571,0.1071]) | ||
| ([0.7297,0.8000], [0.1333,0.1892], [0.0500,0.0811]) | ([0.6486,0.7250], [0.2000,0.2432], [0.0750,0.1081]) | ([0.6216,0.7500], [0.1750,0.2703], [0.0750,0.1081]) | ([0.7838,0.8500], [0.1000,0.1622], [0.0250,0.0667]) | ([0.6757,0.7000], [0.2000,0.2432], [0.0750,0.1000]) | ([0.6486,0.7250], [0.2000,0.2703], [0.0750,0.1000]) | ||
| ([0.7600,0.7778], [0.1111,0.1600], [0.0800,0.1111]) | ([0.6364,0.6667], [0.2222,0.2400], [0.1111,0.1364]) | ([0.5909,0.6800], [0.2000,0.2778], [0.1111,0.1364]) | ([0.7727,0.8000], [0.1111,0.1364], [0.0800,0.1111]) | ([0.6364,0.6800], [0.2000,0.2273], [0.1111,0.1364]) | ([0.5909,0.6400], [0.2400,0.2778], [0.1111,0.1364]) | ||
| ([0.6842,0.7143], [0.1905,0.2105], [0.0857,0.1053]) | ([0.6053,0.6667], [0.2381,0.2632], [0.0952,0.1316]) | ([0.5789,0.6190], [0.2857,0.3158], [0.0952,0.1143]) | ([0.7632,0.7857], [0.1429,0.1579], [0.0714,0.0857]) | ([0.6571,0.6905], [0.2143,0.2368], [0.0952,0.1143]) | ([0.6053,0.6429], [0.2571,0.2895], [0.0952,0.1143]) | ||
| ([0.7857,0.8125], [0.1200,0.1429], [0.0625,0.0800]) | ([0.6786,0.7500], [0.1563,0.2143], [0.0938,0.1200]) | ([0.6400,0.7813], [0.1563,0.2500], [0.0625,0.1200]) | ([0.8000,0.8750], [0.0938,0.1200], [0.0313,0.0800]) | ([0.6800,0.7188], [0.1786,0.2000], [0.0938,0.1200]) | ([0.6400,0.7500], [0.1875,0.2400], [0.0625,0.1200]) | ||
| ([0.7879,0.8205], [0.1111,0.1515], [0.0513,0.0741]) | ([0.697,0.7692], [0.1538,0.2121], [0.0769,0.1111]) | ([0.6667,0.7949], [0.1538,0.2424], [0.0513,0.1111]) | ([0.7778,0.8718], [0.1026,0.1515], [0.0256,0.0741]) | ([0.697,0.7436], [0.1795,0.2121], [0.0769,0.1111]) | ([0.6667,0.7692], [0.1795,0.2424], [0.0513,0.1111]) | ||
| ([0.7778,0.8182], [0.0667,0.1111], [0.0909,0.1333]) | ([0.6667,0.6818], [0.1818,0.2222], [0.1111,0.1364]) | ([0.6000,0.7273], [0.1818,0.2778], [0.0909,0.1333]) | ([0.7778,0.8636], [0.0667,0.1111], [0.0455,0.1333]) | ([0.6667,0.7273], [0.1818,0.2222], [0.0909,0.1333]) | ([0.6000,0.6818], [0.2273,0.2778], [0.0909,0.1333]) | ||
| ([0.7073,0.7391], [0.1739,0.1951], [0.0811,0.0976]) | ([0.6341,0.6957], [0.2174,0.2439], [0.0870,0.1220]) | ([0.6098,0.6522], [0.2609,0.2927], [0.0870,0.1081]) | ([0.7805,0.8043], [0.1304,0.1463], [0.0652,0.0811]) | ([0.6757,0.7174], [0.1957,0.2195], [0.0807,0.1081]) | ([0.6341,0.6739], [0.2391,0.2683], [0.0870,0.1081]) | ||
| ([0.7931,0.8235], [0.1176,0.1379], [0.0588,0.0800]) | ([0.6800,0.7647], [0.1471,0.2069], [0.0882,0.1200]) | ([0.6400,0.7941], [0.1471,0.2414], [0.0588,0.1200]) | ([0.800,0.8529], [0.0882,0.1200], [0.0588,0.0800]) | ([0.6800,0.7353], [0.1724,0.2000], [0.0882,0.1200]) | ([0.6400,0.7647], [0.1765,0.2400], [0.0588,0.1200]) | ||
| ([0.8056,0.8333], [0.1190,0.1389], [0.0476,0.0645]) | ([0.7097,0.7857], [0.1429,0.1944], [0.0714,0.0968]) | ([0.6774,0.8095], [0.1429,0.2258], [0.0476,0.0968]) | ([0.8065,0.8810], [0.0952,0.1290], [0.0238,0.0645]) | ([0.7097,0.7619], [0.1667,0.1944], [0.0556,0.0968]) | ([0.6774,0.7857], [0.1667,0.2258], [0.0476,0.0968]) | ||
| ([0.8000,0.8333], [0.0625,0.1000], [0.0833,0.1250]) | ([0.6500,0.7083], [0.1667,0.2000], [0.1250,0.1500]) | ([0.600,0.7500], [0.1667,0.2500], [0.0833,0.1500]) | ([0.7500,0.8750], [0.0625,0.1500], [0.0417,0.1250]) | ([0.6500,0.7500], [0.1667,0.2000], [0.0833,0.1500]) | ([0.600,0.7083], [0.2083,0.2500], [0.0833,0.1500]) | ||
| ([0.6842,0.7097], [0.1935,0.2105], [0.0882,0.1053]) | ([0.5806,0.6053], [0.2581,0.2647], [0.1316,0.1613]) | ([0.5161,0.5789], [0.2895,0.3235], [0.1316,0.1613]) | ([0.6765,0.7368], [0.1842,0.2353], [0.0789,0.0968]) | ([0.5484,0.6316], [0.2632,0.2941], [0.1053,0.1613]) | ([0.5161,0.6053], [0.2895,0.3235], [0.1053,0.1613]) | ||
| ([0.7000,0.7500], [0.1667,0.2000], [0.0833,0.1176]) | ([0.5294,0.6250], [0.2500,0.3000], [0.1250,0.1765]) | ([0.4118,0.5833], [0.2917,0.4118], [0.1250,0.1765]) | ([0.5882,0.7500], [0.1667,0.2941], [0.0833,0.1500]) | ([0.4706,0.6250], [0.2500,0.3529], [0.1250,0.1765]) | ([0.4118,0.5833], [0.2917,0.4118], [0.1250,0.1765]) | ||
| ([0.7273,0.7333], [0.1818,0.2000], [0.0667,0.0909]) | ([0.5455,0.6333], [0.2667,0.3182], [0.1000,0.1364]) | ([0.4545,0.6000], [0.3000,0.4091], [0.1000,0.1364]) | ([0.6364,0.7333], [0.2000,0.2727], [0.0667,0.0909]) | ([0.5455,0.6333], [0.2667,0.3182], [0.1000,0.1364]) | ([0.4545,0.6000], [0.3000,0.4091], [0.1000,0.1364]) | ||
| ([0.6923,0.7500], [0.1250,0.2000], [0.1000,0.1538]) | ([0.4000,0.5625], [0.3125,0.4000], [0.1250,0.2000]) | ([0.3000,0.5000], [0.3750,0.5000], [0.1250,0.2000]) | ([0.5000,0.6875], [0.1875,0.3077], [0.1250,0.2000]) | ([0.4000,0.5625], [0.3125,0.4000], [0.1250,0.2000]) | ([0.3000,0.5000], [0.3750,0.5000], [0.1250,0.2000]) | ||
| ([0.7000,0.7500], [0.1875,0.2000], [0.0625,0.1000]) | ([0.6250,0.6389], [0.2500,0.2500], [0.1111,0.1250]) | ([0.5625,0.6000], [0.2750,0.3125], [0.1111,0.1250]) | ([0.7188,0.7500], [0.1750,0.2188], [0.0556,0.0750]) | ([0.6250,0.6500], [0.2500,0.2500], [0.1000,0.1250]) | ([0.5625,0.6250], [0.2750,0.3125], [0.1000,0.1250]) | ||
| ([0.7368,0.7407], [0.1579,0.1852], [0.0741,0.1053]) | ([0.5652,0.5926], [0.2963,0.3158], [0.1053,0.1304]) | ([0.4737,0.5556], [0.3333,0.4211], [0.1053,0.1304]) | ([0.6316,0.7037], [0.2222,0.2632], [0.0741,0.1053]) | ([0.5263,0.5926], [0.2963,0.3684], [0.1053,0.1304]) | ([0.4737,0.5556], [0.3333,0.4211], [0.1053,0.1304]) | ||
| ([0.7308,0.7429], [0.1538,0.1714], [0.0857,0.1154]) | ([0.5385,0.6286], [0.2571,0.3077], [0.1143,0.1538]) | ([0.4615,0.6000], [0.2857,0.3846], [0.1143,0.1538]) | ([0.6538,0.7429], [0.2000,0.2692], [0.0571,0.0769]) | ([0.5385,0.6286], [0.2571,0.3077], [0.1143,0.1538]) | ([0.4615,0.6000], [0.2857,0.3846], [0.1143,0.1538]) | ||
| ([0.7059,0.7619], [0.1429,0.2143], [0.0714,0.1176]) | ([0.5000,0.5714], [0.2857,0.3571], [0.1176,0.1429]) | ([0.4118,0.5238], [0.3333,0.4286], [0.1429,0.1765]) | ([0.5714,0.6667], [0.2381,0.2941], [0.0952,0.1429]) | ([0.4706,0.5714], [0.2857,0.4118], [0.1176,0.1429]) | ([0.4118,0.5238], [0.3333,0.4286], [0.1429,0.1765]) |
| (⟨0.6667,0.2889⟩, ⟨0.2000,0.7619⟩, ⟨0.0889,0.8947⟩) | (⟨0.5952,0.3333⟩, ⟨0.2444,0.7143⟩, ⟨0.0889,0.8684⟩) | (⟨0.5714,0.3778⟩, ⟨0.2889,0.6667⟩, ⟨0.0889,0.8947⟩) | (⟨0.7381,0.2000⟩, ⟨0.1333,0.8095⟩, ⟨0.0667,0.9211⟩) | (⟨0.6429,0.3111⟩, ⟨0.2222,0.7381⟩, ⟨0.0889,0.8947⟩) | (⟨0.6190,0.3556⟩, ⟨0.2632,0.6905⟩, ⟨0.0714,0.8947⟩) | ||
| (⟨0.7143,0.2000⟩, ⟨0.1429,0.8125⟩, ⟨0.0571,0.8929⟩) | (⟨0.6429,0.2571⟩, ⟨0.1714,0.7500⟩, ⟨0.0857,0.8929⟩) | (⟨0.6071,0.2286⟩, ⟨0.1714,0.7143⟩, ⟨0.0571,0.8929⟩) | (⟨0.7813,0.1429⟩, ⟨0.1143,0.8438⟩, ⟨0.0286,0.9286⟩) | (⟨0.6786,0.2857⟩, ⟨0.2000,0.7500⟩, ⟨0.0625,0.8929⟩) | (⟨0.6429,0.2571⟩, ⟨0.2000,0.7188⟩, ⟨0.0571,0.8929⟩) | ||
| (⟨0.7297,0.2000⟩, ⟨0.1333,0.8108⟩, ⟨0.0500,0.9189⟩) | (⟨0.6486,0.2750⟩, ⟨0.2000,0.7568⟩, ⟨0.0750,0.8919⟩) | (⟨0.6216,0.2500⟩, ⟨0.1750,0.7297⟩, ⟨0.0750,0.8919⟩) | (⟨0.7838,0.1500⟩, ⟨0.1000,0.8378⟩, ⟨0.0250,0.9333⟩) | (⟨0.6757,0.3000⟩, ⟨0.2000,0.7568⟩, ⟨0.0750,0.9000⟩) | (⟨0.6486,0.2750⟩, ⟨0.2000,0.7297⟩, ⟨0.0750,0.9000⟩) | ||
| (⟨0.7600,0.2222⟩, ⟨0.1111,0.8400⟩, ⟨0.0800,0.8889⟩) | (⟨0.6364,0.3333⟩, ⟨0.2222,0.7600⟩, ⟨0.1111,0.8636⟩) | (⟨0.5909,0.3200⟩, ⟨0.2000,0.7222⟩, ⟨0.1111,0.8636⟩) | (⟨0.7727,0.2000⟩, ⟨0.1111,0.8636⟩, ⟨0.0800,0.8889⟩) | (⟨0.6364,0.3200⟩, ⟨0.2000,0.7727⟩, ⟨0.1111,0.8636⟩) | (⟨0.5909,0.3600⟩, ⟨0.2400,0.7222⟩, ⟨0.1111,0.8636⟩) | ||
| (⟨0.6842,0.2857⟩, ⟨0.1905,0.7895⟩, ⟨0.0857,0.8947⟩) | (⟨0.6053,0.3333⟩, ⟨0.2381,0.7368⟩, ⟨0.0952,0.8684⟩) | (⟨0.5789,0.381⟩, ⟨0.2857,0.6842⟩, ⟨0.0952,0.8857⟩) | (⟨0.7632,0.2143⟩, ⟨0.1429,0.8421⟩, ⟨0.0714,0.9143⟩) | (⟨0.6571,0.3095⟩, ⟨0.2143,0.7632⟩, ⟨0.0952,0.8857⟩) | (⟨0.6053,0.3571⟩, ⟨0.2571,0.7105⟩, ⟨0.0952,0.8857⟩) | ||
| (⟨0.7857,0.1875⟩, ⟨0.1200,0.8571⟩, ⟨0.0625,0.9200⟩) | (⟨0.6786,0.2500⟩, ⟨0.1563,0.7857⟩, ⟨0.0938,0.8800⟩) | (⟨0.6400,0.2188⟩, ⟨0.1563,0.7500⟩, ⟨0.0625,0.8800⟩) | (⟨0.800,0.1250⟩, ⟨0.0938,0.8800⟩, ⟨0.0313,0.9200⟩) | (⟨0.6800,0.2813⟩, ⟨0.1786,0.8000⟩, ⟨0.0938,0.8800⟩) | (⟨0.6400,0.2500⟩, ⟨0.1875,0.7600⟩, ⟨0.0625,0.8800⟩) | ||
| (⟨0.7879,0.1795⟩, ⟨0.1111,0.8485⟩, ⟨0.0513,0.9259⟩) | (⟨0.697,0.2308⟩, ⟨0.1538,0.7879⟩, ⟨0.0769,0.8889⟩) | (⟨0.6667,0.2051⟩, ⟨0.1538,0.7576⟩, ⟨0.0513,0.8889⟩) | (⟨0.7778,0.1282⟩, ⟨0.1026,0.8485⟩, ⟨0.0256,0.9259⟩) | (⟨0.6970,0.2564⟩, ⟨0.1795,0.7879⟩, ⟨0.0769,0.8889⟩) | (⟨0.6667,0.2308⟩, ⟨0.1795,0.7576⟩, ⟨0.0513,0.8889⟩) | ||
| (⟨0.7778,0.1818⟩, ⟨0.0667,0.8889⟩, ⟨0.0909,0.8667⟩) | (⟨0.6667,0.3182⟩, ⟨0.1818,0.7778⟩, ⟨0.1111,0.8636⟩) | (⟨0.6000,0.2727⟩, ⟨0.1818,0.7222⟩, ⟨0.0909,0.8667⟩) | (⟨0.7778,0.1364⟩, ⟨0.0667,0.8889⟩, ⟨0.0455,0.8667⟩) | (⟨0.6667,0.2727⟩, ⟨0.1818,0.7778⟩, ⟨0.0909,0.8667⟩) | (⟨0.6000,0.3182⟩, ⟨0.2273,0.7222⟩, ⟨0.0909,0.8667⟩) | ||
| (⟨0.7073,0.2609⟩, ⟨0.1739,0.8049⟩, ⟨0.0811,0.9024⟩) | (⟨0.6341,0.3043⟩, ⟨0.2174,0.7561⟩, ⟨0.0870,0.8780⟩) | (⟨0.6098,0.3478⟩, ⟨0.2609,0.7073⟩, ⟨0.0870,0.8919⟩) | (⟨0.7805,0.1957⟩, ⟨0.1304,0.8537⟩, ⟨0.0652,0.9189⟩) | (⟨0.6757,0.2826⟩, ⟨0.1957,0.7805⟩, ⟨0.0870,0.8919⟩) | (⟨0.6341,0.3261⟩, ⟨0.2391,0.7317⟩, ⟨0.0870,0.8919⟩) | ||
| (⟨0.7931,0.1765⟩, ⟨0.1176,0.8621⟩, ⟨0.0588,0.9200⟩) | (⟨0.6800,0.2353⟩, ⟨0.1471,0.7931⟩, ⟨0.0882,0.8800⟩) | (⟨0.6400,0.2059⟩, ⟨0.1471,0.7586⟩, ⟨0.0588,0.8800⟩) | (⟨0.800,0.1471⟩, ⟨0.0882,0.8800⟩, ⟨0.0588,0.9200⟩) | (⟨0.6800,0.2647⟩, ⟨0.1724,0.8000⟩, ⟨0.0882,0.8800⟩) | (⟨0.6400,0.2353⟩, ⟨0.1765,0.7600⟩, ⟨0.0588,0.8800⟩) | ||
| (⟨0.8056,0.1667⟩, ⟨0.1190,0.8611⟩, ⟨0.0476,0.9355⟩) | (⟨0.7097,0.2143⟩, ⟨0.1429,0.8056⟩, ⟨0.0714,0.9032⟩) | (⟨0.6774,0.1905⟩, ⟨0.1429,0.7742⟩, ⟨0.0476,0.9032⟩) | (⟨0.8065,0.119⟩, ⟨0.0952,0.8710⟩, ⟨0.0238,0.9355⟩) | (⟨0.7097,0.2381⟩, ⟨0.1667,0.8056⟩, ⟨0.0556,0.9032⟩) | (⟨0.6774,0.2143⟩, ⟨0.1667,0.7742⟩, ⟨0.0476,0.9032⟩) | ||
| (⟨0.8000,0.1667⟩, ⟨0.0625,0.9000⟩, ⟨0.0833,0.8750⟩) | (⟨0.6500,0.2917⟩, ⟨0.1667,0.8000⟩, ⟨0.1250,0.8500⟩) | (⟨0.6000,0.2500⟩, ⟨0.1667,0.7500⟩, ⟨0.0833,0.8500⟩) | (⟨0.7500,0.1250⟩, ⟨0.0625,0.8500⟩, ⟨0.0417,0.8750⟩) | (⟨0.6500,0.2500⟩, ⟨0.1667,0.8000⟩, ⟨0.0833,0.8500⟩) | (⟨0.6000,0.2917⟩, ⟨0.2083,0.7500⟩, ⟨0.0833,0.8500⟩) | ||
| (⟨0.6842,0.2903⟩, ⟨0.1935,0.7895⟩, ⟨0.0882,0.8947⟩) | (⟨0.5806,0.3947⟩, ⟨0.2581,0.7353⟩, ⟨0.1316,0.8387⟩) | (⟨0.5161,0.4211⟩, ⟨0.2895,0.6765⟩, ⟨0.1316,0.8387⟩) | (⟨0.6765,0.2632⟩, ⟨0.1842,0.7647⟩, ⟨0.0789,0.9032⟩) | (⟨0.5484,0.3684⟩, ⟨0.2632,0.7059⟩, ⟨0.1053,0.8387⟩) | (⟨0.5161,0.3947⟩, ⟨0.2895,0.6765⟩, ⟨0.1053,0.8387⟩) | ||
| (⟨0.7000,0.2500⟩, ⟨0.1667,0.8000⟩, ⟨0.0833,0.8824⟩) | (⟨0.5294,0.3750⟩, ⟨0.2500,0.7000⟩, ⟨0.1250,0.8235⟩) | (⟨0.4118,0.4167⟩, ⟨0.2917,0.5882⟩, ⟨0.1250,0.8235⟩) | (⟨0.5882,0.2500⟩, ⟨0.1667,0.7059⟩, ⟨0.0833,0.8500⟩) | (⟨0.4706,0.3750⟩, ⟨0.2500,0.6471⟩, ⟨0.1250,0.8235⟩) | (⟨0.4118,0.4167⟩, ⟨0.2917,0.5882⟩, ⟨0.1250,0.8235⟩) | ||
| (⟨0.7273,0.2667⟩, ⟨0.1818,0.8000⟩, ⟨0.0667,0.9091⟩) | (⟨0.5455,0.3667⟩, ⟨0.2667,0.6818⟩, ⟨0.1000,0.8636⟩) | (⟨0.4545,0.4000⟩, ⟨0.3000,0.5909⟩, ⟨0.1000,0.8636⟩) | (⟨0.6364,0.2667⟩, ⟨0.2000,0.7273⟩, ⟨0.0667,0.9091⟩) | (⟨0.5455,0.3667⟩, ⟨0.2667,0.6818⟩, ⟨0.1000,0.8636⟩) | (⟨0.4545,0.4000⟩, ⟨0.3000,0.5909⟩, ⟨0.1000,0.8636⟩) | ||
| (⟨0.6923,0.2500⟩, ⟨0.1250,0.8000⟩, ⟨0.1000,0.8462⟩) | (⟨0.4000,0.4375⟩, ⟨0.3125,0.6000⟩, ⟨0.1250,0.8000⟩) | (⟨0.3000,0.5000⟩, ⟨0.3750,0.5000⟩, ⟨0.1250,0.8000⟩) | (⟨0.5000,0.3125⟩, ⟨0.1875,0.6923⟩, ⟨0.1250,0.8000⟩) | (⟨0.4000,0.4375⟩, ⟨0.3125,0.6000⟩, ⟨0.1250,0.8000⟩) | (⟨0.3000,0.5000⟩, ⟨0.3750,0.5000⟩, ⟨0.1250,0.8000⟩) | ||
| (⟨0.7000,0.2500⟩, ⟨0.1875,0.8000⟩, ⟨0.0625,0.9000⟩) | (⟨0.6250,0.3611⟩, ⟨0.2500,0.7500⟩, ⟨0.1111,0.8750⟩) | (⟨0.5625,0.4000⟩, ⟨0.2750,0.6875⟩, ⟨0.1111,0.875⟩) | (⟨0.7188,0.2500⟩, ⟨0.1750,0.7813⟩, ⟨0.0556,0.9250⟩) | (⟨0.6250,0.3500⟩, ⟨0.2500,0.7500⟩, ⟨0.1000,0.8750⟩) | (⟨0.5625,0.3750⟩, ⟨0.2750,0.6875⟩, ⟨0.1000,0.8750⟩) | ||
| (⟨0.7368,0.2593⟩, ⟨0.1579,0.8148⟩, ⟨0.0741,0.8947⟩) | (⟨0.5652,0.4074⟩, ⟨0.2963,0.6842⟩, ⟨0.1053,0.8696⟩) | (⟨0.4737,0.4444⟩, ⟨0.3333,0.5789⟩, ⟨0.1053,0.8696⟩) | (⟨0.6316,0.2963⟩, ⟨0.2222,0.7368⟩, ⟨0.0741,0.8947⟩) | (⟨0.5263,0.4074⟩, ⟨0.2963,0.6316⟩, ⟨0.1053,0.8696⟩) | (⟨0.4737,0.4444⟩, ⟨0.3333,0.5789⟩, ⟨0.1053,0.8696⟩) | ||
| (⟨0.7308,0.2571⟩, ⟨0.1538,0.8286⟩, ⟨0.0857,0.8846⟩) | (⟨0.5385,0.3714⟩, ⟨0.2571,0.6923⟩, ⟨0.1143,0.8462⟩) | (⟨0.4615,0.4000⟩, ⟨0.2857,0.6154⟩, ⟨0.1143,0.8462⟩) | (⟨0.6538,0.2571⟩, ⟨0.2000,0.7308⟩, ⟨0.0571,0.9231⟩) | (⟨0.5385,0.3714⟩, ⟨0.2571,0.6923⟩, ⟨0.1143,0.8462⟩) | (⟨0.4615,0.4000⟩, ⟨0.2857,0.6154⟩, ⟨0.1143,0.8462⟩) | ||
| (⟨0.7059,0.2381⟩, ⟨0.1429,0.7857⟩, ⟨0.0714,0.8824⟩) | (⟨0.5000,0.4286⟩, ⟨0.2857,0.6429⟩, ⟨0.1176,0.8571⟩) | (⟨0.4118,0.4762⟩, ⟨0.3333,0.5714⟩, ⟨0.1429,0.8235⟩) | (⟨0.5714,0.3333⟩, ⟨0.2381,0.7059⟩, ⟨0.0952,0.8571⟩) | (⟨0.4706,0.4286⟩, ⟨0.2857,0.5882⟩, ⟨0.1176,0.8571⟩) | (⟨0.4118,0.4762⟩, ⟨0.3333,0.5714⟩, ⟨0.1429,0.8235⟩) |
| (⟨0.1246,0.8607⟩, ⟨0.0169,0.9795⟩, ⟨0.0028,0.9966⟩) | (⟨0.1150,0.8626⟩, ⟨0.0235,0.9720⟩, ⟨0.0032,0.9952⟩) | (⟨0.1102,0.8747⟩, ⟨0.0289,0.9658⟩, ⟨0.0032,0.9961⟩) | (⟨0.1480,0.8256⟩, ⟨0.0108,0.9841⟩, ⟨0.0021,0.9975⟩) | (⟨0.1293,0.8550⟩, ⟨0.0211,0.9747⟩, ⟨0.0032,0.9962⟩) | (⟨0.1247,0.8672⟩, ⟨0.0261,0.9685⟩, ⟨0.0026,0.9961⟩) | ||
| (⟨0.1404,0.8243⟩, ⟨0.0117,0.9843⟩, ⟨0.0018,0.9965⟩) | (⟨0.1295,0.8338⟩, ⟨0.0159,0.9759⟩, ⟨0.0031,0.9962⟩) | (⟨0.1206,0.8180⟩, ⟨0.0162,0.9714⟩, ⟨0.0020,0.9961⟩) | (⟨0.1657,0.7943⟩, ⟨0.0092,0.9872⟩, ⟨0.0009,0.9977⟩) | (⟨0.1413,0.8456⟩, ⟨0.0187,0.9760⟩, ⟨0.0022,0.9962⟩) | (⟨0.1323,0.8303⟩, ⟨0.0192,0.9718⟩, ⟨0.0021,0.9961⟩) | ||
| (⟨0.1460,0.8243⟩, ⟨0.0109,0.9841⟩, ⟨0.0016,0.9974⟩) | (⟨0.1314,0.8411⟩, ⟨0.0188,0.9767⟩, ⟨0.0027,0.9961⟩) | (⟨0.1251,0.8277⟩, ⟨0.0165,0.9732⟩, ⟨0.0027,0.9960⟩) | (⟨0.1669,0.7987⟩, ⟨0.0080,0.9867⟩, ⟨0.0008,0.9979⟩) | (⟨0.1403,0.8510⟩, ⟨0.0187,0.9767⟩, ⟨0.0027,0.9964⟩) | (⟨0.1342,0.8378⟩, ⟨0.0192,0.9731⟩, ⟨0.0027,0.9963⟩) | ||
| (⟨0.1579,0.8345⟩, ⟨0.0090,0.9867⟩, ⟨0.0026,0.9964⟩) | (⟨0.1274,0.8626⟩, ⟨0.0211,0.9770⟩, ⟨0.0040,0.9950⟩) | (⟨0.1158,0.8554⟩, ⟨0.0191,0.9723⟩, ⟨0.0041,0.9949⟩) | (⟨0.1620,0.8256⟩, ⟨0.0089,0.9889⟩, ⟨0.0025,0.9964⟩) | (⟨0.1272,0.8582⟩, ⟨0.0187,0.9784⟩, ⟨0.0040,0.9950⟩) | (⟨0.1162,0.8687⟩, ⟨0.0235,0.9722⟩, ⟨0.0041,0.9949⟩) | ||
| (⟨0.1302,0.8596⟩, ⟨0.0160,0.9821⟩, ⟨0.0027,0.9966⟩) | (⟨0.1179,0.8626⟩, ⟨0.0228,0.9745⟩, ⟨0.0034,0.9952⟩) | (⟨0.1123,0.8757⟩, ⟨0.0286,0.9679⟩, ⟨0.0035,0.9958⟩) | (⟨0.1580,0.8323⟩, ⟨0.0116,0.9870⟩, ⟨0.0023,0.9973⟩) | (⟨0.1340,0.8545⟩, ⟨0.0202,0.9774⟩, ⟨0.0034,0.9959⟩) | (⟨0.1204,0.8677⟩, ⟨0.0254,0.9709⟩, ⟨0.0035,0.9958⟩) | ||
| (⟨0.1690,0.8181⟩, ⟨0.0098,0.9883⟩, ⟨0.0020,0.9974⟩) | (⟨0.1415,0.8307⟩, ⟨0.0144,0.9797⟩, ⟨0.0033,0.9957⟩) | (⟨0.1309,0.8132⟩, ⟨0.0146,0.9755⟩, ⟨0.0022,0.9956⟩) | (⟨0.1744,0.7823⟩, ⟨0.0075,0.9903⟩, ⟨0.0010,0.9975⟩) | (⟨0.1418,0.8438⟩, ⟨0.0166,0.9813⟩, ⟨0.0033,0.9957⟩) | (⟨0.1313,0.8272⟩, ⟨0.0179,0.9765⟩, ⟨0.0023,0.9956⟩) | ||
| (⟨0.1700,0.8140⟩, ⟨0.0090,0.9875⟩, ⟨0.0016,0.9976⟩) | (⟨0.1481,0.8221⟩, ⟨0.0141,0.9800⟩, ⟨0.0027,0.9960⟩) | (⟨0.1399,0.8064⟩, ⟨0.0144,0.9763⟩, ⟨0.0018,0.9959⟩) | (⟨0.1642,0.7846⟩, ⟨0.0082,0.9876⟩, ⟨0.0008,0.9977⟩) | (⟨0.1479,0.8337⟩, ⟨0.0167,0.9800⟩, ⟨0.0027,0.9960⟩) | (⟨0.1403,0.8185⟩, ⟨0.0171,0.9762⟩, ⟨0.0018,0.9959⟩) | ||
| (⟨0.1655,0.8152⟩, ⟨0.0053,0.9910⟩, ⟨0.0029,0.9956⟩) | (⟨0.1374,0.8573⟩, ⟨0.0169,0.9789⟩, ⟨0.0040,0.9950⟩) | (⟨0.1185,0.8373⟩, ⟨0.0172,0.9723⟩, ⟨0.0033,0.9951⟩) | (⟨0.1642,0.7901⟩, ⟨0.0052,0.9911⟩, ⟨0.0014,0.9957⟩) | (⟨0.1372,0.8404⟩, ⟨0.0169,0.9789⟩, ⟨0.0032,0.9952⟩) | (⟨0.1188,0.8543⟩, ⟨0.0221,0.9722⟩, ⟨0.0033,0.9950⟩) | ||
| (⟨0.1380,0.8504⟩, ⟨0.0145,0.9836⟩, ⟨0.0026,0.9969⟩) | (⟨0.1267,0.8524⟩, ⟨0.0206,0.9766⟩, ⟨0.0031,0.9956⟩) | (⟨0.1214,0.865⟩, ⟨0.0258,0.9706⟩, ⟨0.0032,0.9960⟩) | (⟨0.1654,0.8235⟩, ⟨0.0106,0.9881⟩, ⟨0.0020,0.9974⟩) | (⟨0.1403,0.8444⟩, ⟨0.0183,0.9792⟩, ⟨0.0031,0.9961⟩) | (⟨0.1294,0.8572⟩, ⟨0.0234,0.9733⟩, ⟨0.0032,0.9960⟩) | ||
| (⟨0.1724,0.8124⟩, ⟨0.0095,0.9887⟩, ⟨0.0019,0.9974⟩) | (⟨0.1420,0.8242⟩, ⟨0.0135,0.9805⟩, ⟨0.0031,0.9957⟩) | (⟨0.1309,0.8068⟩, ⟨0.0137,0.9764⟩, ⟨0.0021,0.9956⟩) | (⟨0.1744,0.7969⟩, ⟨0.0070,0.9903⟩, ⟨0.0018,0.9975⟩) | (⟨0.1418,0.8372⟩, ⟨0.0159,0.9813⟩, ⟨0.0031,0.9957⟩) | (⟨0.1313,0.8206⟩, ⟨0.0168,0.9765⟩, ⟨0.0021,0.9956⟩) | ||
| (⟨0.1784,0.8070⟩, ⟨0.0097,0.9886⟩, ⟨0.0015,0.9980⟩) | (⟨0.1529,0.8143⟩, ⟨0.0130,0.9818⟩, ⟨0.0025,0.9965⟩) | (⟨0.1437,0.7986⟩, ⟨0.0133,0.9781⟩, ⟨0.0017,0.9965⟩) | (⟨0.1775,0.7780⟩, ⟨0.0076,0.9896⟩, ⟨0.0007,0.9980⟩) | (⟨0.1527,0.8257⟩, ⟨0.0154,0.9818⟩, ⟨0.0019,0.9965⟩) | (⟨0.1441,0.8105⟩, ⟨0.0157,0.9780⟩, ⟨0.0017,0.9965⟩) | ||
| (⟨0.1757,0.8070⟩, ⟨0.0049,0.9919⟩, ⟨0.0027,0.9959⟩) | (⟨0.1318,0.8476⟩, ⟨0.0154,0.9812⟩, ⟨0.0045,0.9945⟩) | (⟨0.1185,0.8277⟩, ⟨0.0157,0.9755⟩, ⟨0.0030,0.9944⟩) | (⟨0.1527,0.7823⟩, ⟨0.0049,0.9877⟩, ⟨0.0013,0.9960⟩) | (⟨0.1316,0.8310⟩, ⟨0.0154,0.9813⟩, ⟨0.0030,0.9945⟩) | (⟨0.1188,0.8444⟩, ⟨0.0201,0.9754⟩, ⟨0.0030,0.9944⟩) | ||
| (⟨0.1302,0.8612⟩, ⟨0.0163,0.9821⟩, ⟨0.0028,0.9966⟩) | (⟨0.1108,0.8821⟩, ⟨0.0250,0.9743⟩, ⟨0.0048,0.9941⟩) | (⟨0.0954,0.8877⟩, ⟨0.0290,0.9670⟩, ⟨0.0049,0.9939⟩) | (⟨0.1267,0.8524⟩, ⟨0.0153,0.9799⟩, ⟨0.0025,0.9969⟩) | (⟨0.1018,0.8743⟩, ⟨0.0255,0.9711⟩, ⟨0.0038,0.9941⟩) | (⟨0.0957,0.8796⟩, ⟨0.0291,0.9668⟩, ⟨0.0039,0.9939⟩) | ||
| (⟨0.1354,0.8462⟩, ⟨0.0138,0.9831⟩, ⟨0.0027,0.9962⟩) | (⟨0.0970,0.8761⟩, ⟨0.0241,0.9703⟩, ⟨0.0045,0.9934⟩) | (⟨0.0709,0.8864⟩, ⟨0.0293,0.9557⟩, ⟨0.0046,0.9933⟩) | (⟨0.1014,0.8473⟩, ⟨0.0137,0.9741⟩, ⟨0.0026,0.9951⟩) | (⟨0.0825,0.8763⟩, ⟨0.0240,0.9641⟩, ⟨0.0045,0.9935⟩) | (⟨0.0711,0.886⟩, ⟨0.0294,0.9555⟩, ⟨0.0046,0.9933⟩) | ||
| (⟨0.1451,0.8526⟩, ⟨0.0152,0.9831⟩, ⟨0.0021,0.9971⟩) | (⟨0.1012,0.8735⟩, ⟨0.0259,0.9682⟩, ⟨0.0036,0.9950⟩) | (⟨0.0805,0.8815⟩, ⟨0.0302,0.9560⟩, ⟨0.0037,0.9949⟩) | (⟨0.1145,0.8537⟩, ⟨0.0168,0.9763⟩, ⟨0.0021,0.9971⟩) | (⟨0.1010,0.8737⟩, ⟨0.0259,0.9683⟩, ⟨0.0036,0.9950⟩) | (⟨0.0807,0.8812⟩, ⟨0.0303,0.9559⟩, ⟨0.0037,0.9949⟩) | ||
| (⟨0.1328,0.8462⟩, ⟨0.0102,0.9831⟩, ⟨0.0032,0.9949⟩) | (⟨0.0671,0.8942⟩, ⟨0.0311,0.9581⟩, ⟨0.0045,0.9925⟩) | (⟨0.0484,0.9086⟩, ⟨0.0395,0.9429⟩, ⟨0.0046,0.9923⟩) | (⟨0.0804,0.8698⟩, ⟨0.0156,0.9727⟩, ⟨0.0040,0.9933⟩) | (⟨0.067,0.8944⟩, ⟨0.0311,0.9581⟩, ⟨0.0045,0.9925⟩) | (⟨0.0485,0.9084⟩, ⟨0.0396,0.9427⟩, ⟨0.0046,0.9923⟩) | ||
| (⟨0.1354,0.8462⟩, ⟨0.0157,0.9831⟩, ⟨0.0020,0.9968⟩) | (⟨0.1239,0.8718⟩, ⟨0.0241,0.9759⟩, ⟨0.0040,0.9955⟩) | (⟨0.1077,0.8815⟩, ⟨0.0274,0.9683⟩, ⟨0.0041,0.9954⟩) | (⟨0.1409,0.8473⟩, ⟨0.0145,0.9815⟩, ⟨0.0017,0.9976⟩) | (⟨0.1237,0.8684⟩, ⟨0.0240,0.9760⟩, ⟨0.0036,0.9955⟩) | (⟨0.1081,0.8735⟩, ⟨0.0274,0.9682⟩, ⟨0.0037,0.9954⟩) | ||
| (⟨0.1487,0.8498⟩, ⟨0.0131,0.9845⟩, ⟨0.0024,0.9966⟩) | (⟨0.1065,0.8858⟩, ⟨0.0292,0.9685⟩, ⟨0.0038,0.9953⟩) | (⟨0.085,0.8942⟩, ⟨0.0342,0.9544⟩, ⟨0.0039,0.9952⟩) | (⟨0.1132,0.8644⟩, ⟨0.0188,0.9772⟩, ⟨0.0023,0.9966⟩) | (⟨0.0961,0.8860⟩, ⟨0.0292,0.9622⟩, ⟨0.0038,0.9953⟩) | (⟨0.0852,0.8939⟩, ⟨0.0343,0.9543⟩, ⟨0.0039,0.9952⟩) | ||
| (⟨0.1464,0.849⟩, ⟨0.0127,0.9857⟩, ⟨0.0027,0.9963⟩) | (⟨0.0994,0.8750⟩, ⟨0.0249,0.9694⟩, ⟨0.0041,0.9944⟩) | (⟨0.0821,0.8815⟩, ⟨0.0286,0.9593⟩, ⟨0.0042,0.9942⟩) | (⟨0.1197,0.8501⟩, ⟨0.0168,0.9766⟩, ⟨0.0018,0.9976⟩) | (⟨0.0992,0.8752⟩, ⟨0.0248,0.9695⟩, ⟨0.0041,0.9944⟩) | (⟨0.0824,0.8812⟩, ⟨0.0287,0.9592⟩, ⟨0.0042,0.9942⟩) | ||
| (⟨0.1375,0.8413⟩, ⟨0.0117,0.9818⟩, ⟨0.0023,0.9962⟩) | (⟨0.0897,0.8918⟩, ⟨0.0280,0.9635⟩, ⟨0.0042,0.9948⟩) | (⟨0.0709,0.9026⟩, ⟨0.0342,0.9534⟩, ⟨0.0053,0.9933⟩) | (⟨0.0971,0.8764⟩, ⟨0.0203,0.9741⟩, ⟨0.0030,0.9953⟩) | (⟨0.0825,0.8920⟩, ⟨0.0280,0.9566⟩, ⟨0.0042,0.9948⟩) | (⟨0.0711,0.9023⟩, ⟨0.0343,0.9532⟩, ⟨0.0053,0.9933⟩) |
| (⟨0.1423,0.8358⟩, ⟨0.0121,0.9836⟩, ⟨0.0022,0.9967⟩) | (⟨0.1258,0.8499⟩, ⟨0.0198,0.9754⟩, ⟨0.0032,0.9956⟩) | (⟨0.1180,0.8437⟩, ⟨0.0202,0.9707⟩, ⟨0.0030,0.9958⟩) | (⟨0.1607,0.8110⟩, ⟨0.0092,0.9867⟩, ⟨0.0016,0.9974⟩) | (⟨0.1345,0.8524⟩, ⟨0.0193,0.9764⟩, ⟨0.0030,0.9960⟩) | (⟨0.1268,0.8508⟩, ⟨0.0220,0.9714⟩, ⟨0.0029,0.9959⟩) | |
| (⟨0.1588,0.8265⟩, ⟨0.0100,0.9872⟩, ⟨0.0023,0.9968⟩) | (⟨0.1363,0.843⟩, ⟨0.0171,0.9783⟩, ⟨0.0034,0.9955⟩) | (⟨0.1255,0.8327⟩, ⟨0.0187,0.9730⟩, ⟨0.0027,0.9956⟩) | (⟨0.1652,0.7971⟩, ⟨0.0081,0.9890⟩, ⟨0.0014,0.9970⟩) | (⟨0.1402,0.8431⟩, ⟨0.0176,0.9794⟩, ⟨0.0032,0.9957⟩) | (⟨0.1278,0.8417⟩, ⟨0.0206,0.9740⟩, ⟨0.0027,0.9956⟩) | |
| (⟨0.1663,0.8190⟩, ⟨0.0097,0.9882⟩, ⟨0.0022,0.9970⟩) | (⟨0.1384,0.8344⟩, ⟨0.0156,0.9800⟩, ⟨0.0033,0.9956⟩) | (⟨0.1287,0.8241⟩, ⟨0.0171,0.9751⟩, ⟨0.0025,0.9956⟩) | (⟨0.1675,0.7950⟩, ⟨0.0075,0.9889⟩, ⟨0.0015,0.9972⟩) | (⟨0.1416,0.8345⟩, ⟨0.0162,0.9809⟩, ⟨0.0028,0.9957⟩) | (⟨0.1310,0.8329⟩, ⟨0.0190,0.9758⟩, ⟨0.0025,0.9956⟩) | |
| (⟨0.1359,0.8515⟩, ⟨0.0139,0.9829⟩, ⟨0.0027,0.9962⟩) | (⟨0.0942,0.8815⟩, ⟨0.0265,0.9677⟩, ⟨0.0044,0.9938⟩) | (⟨0.0740,0.8910⟩, ⟨0.0320,0.9554⟩, ⟨0.0044,0.9936⟩) | (⟨0.1059,0.8558⟩, ⟨0.0154,0.9757⟩, ⟨0.0028,0.9956⟩) | (⟨0.0882,0.8797⟩, ⟨0.0266,0.9654⟩, ⟨0.0041,0.9938⟩) | (⟨0.0742,0.8887⟩, ⟨0.0321,0.9552⟩, ⟨0.0042,0.9936⟩) | |
| (⟨0.1420,0.8465⟩, ⟨0.0133,0.9838⟩, ⟨0.0023,0.9965⟩) | (⟨0.1049,0.8811⟩, ⟨0.0266,0.9693⟩, ⟨0.0040,0.9950⟩) | (⟨0.0865,0.8899⟩, ⟨0.0311,0.9588⟩, ⟨0.0044,0.9945⟩) | (⟨0.1179,0.8595⟩, ⟨0.0176,0.9774⟩, ⟨0.0022,0.9968⟩) | (⟨0.1005,0.8803⟩, ⟨0.0265,0.9660⟩, ⟨0.0039,0.9950⟩) | (⟨0.0868,0.8876⟩, ⟨0.0312,0.9587⟩, ⟨0.0043,0.9945⟩) | |
| PID | (⟨0.1663,0.8190⟩, ⟨0.0139,0.9829⟩, ⟨0.0027,0.9962⟩) | (⟨0.1384,0.8344⟩, ⟨0.0266,0.9677⟩, ⟨0.0044,0.9938⟩) | (⟨0.1287,0.8241⟩, ⟨0.0320,0.9554⟩, ⟨0.0044,0.9936⟩) | (⟨0.1675,0.7950⟩, ⟨0.0176,0.9757⟩, ⟨0.0028,0.9956⟩) | (⟨0.1416,0.8345⟩, ⟨0.0266,0.9654⟩, ⟨0.0041,0.9938⟩) | (⟨0.1310,0.8329⟩, ⟨0.0321,0.9552⟩, ⟨0.0043,0.9936⟩) |
| NID | (⟨0.1359,0.8515⟩, ⟨0.0097,0.9882⟩, ⟨0.0022,0.9970⟩) | (⟨0.0942,0.8815⟩, ⟨0.0156,0.9800⟩, ⟨0.0032,0.9956⟩) | (⟨0.0740,0.8910⟩, ⟨0.0171,0.9751⟩, ⟨0.0025,0.9958⟩) | (⟨0.1059,0.8595⟩, ⟨0.0075,0.9890⟩, ⟨0.0014,0.9974⟩) | (⟨0.0882,0.8803⟩, ⟨0.0162,0.9809⟩, ⟨0.0028,0.9960⟩) | (⟨0.0742,0.8887⟩, ⟨0.0190,0.9758⟩, ⟨0.0025,0.9959⟩) |
| Value | Ranking | Value | Ranking | Value | Ranking | |
|---|---|---|---|---|---|---|
| 0.0108 | 3 | 0.0194 | 3 | 0.6431 | 3 | |
| 0.0083 | 2 | 0.0219 | 2 | 0.7250 | 2 | |
| 0.0072 | 1 | 0.0230 | 1 | 0.7619 | 1 | |
| 0.0231 | 5 | 0.0071 | 5 | 0.2359 | 5 | |
| 0.0195 | 4 | 0.0108 | 4 | 0.3556 | 4 | |
| Method | Ranking | Best Reliability | Worst Reliability | Difference |
|---|---|---|---|---|
| Weighted without state information | 0.2650 | |||
| Weighted after integration | 0.1947 | |||
| Weighted with state information | 0.5259 |
| Measure | Ranking | Best Reliability |
|---|---|---|
| Methods | Ranking | Best Reliability |
|---|---|---|
| VIKOR in [11] | ||
| TOPSIS in [20] | ||
| TOPSIS in [14] | ||
| I q-RPFS+TOPSIS in [14] | ||
| Proposed + TOPSIS |
| Operational Environment | Ranking | Best Reliability |
|---|---|---|
| Ocean-going ships () | ||
| Near-ocean ships | ||
| Coastal ships () | ||
| Inland ships () |
Disclaimer/Publisher’s Note: The statements, opinions and data contained in all publications are solely those of the individual author(s) and contributor(s) and not of MDPI and/or the editor(s). MDPI and/or the editor(s) disclaim responsibility for any injury to people or property resulting from any ideas, methods, instructions or products referred to in the content. |
© 2025 by the authors. Licensee MDPI, Basel, Switzerland. This article is an open access article distributed under the terms and conditions of the Creative Commons Attribution (CC BY) license (https://creativecommons.org/licenses/by/4.0/).
Share and Cite
Peng, Z.; Chen, W.; Gao, L. Multi-Environmental Reliability Evaluation for Complex Equipment: A Strict Intuitionistic Fuzzy Distance Measure-Based Multi-Attribute Group Decision-Making Framework. Machines 2025, 13, 744. https://doi.org/10.3390/machines13080744
Peng Z, Chen W, Gao L. Multi-Environmental Reliability Evaluation for Complex Equipment: A Strict Intuitionistic Fuzzy Distance Measure-Based Multi-Attribute Group Decision-Making Framework. Machines. 2025; 13(8):744. https://doi.org/10.3390/machines13080744
Chicago/Turabian StylePeng, Zhaiming, Wenhe Chen, and Longlong Gao. 2025. "Multi-Environmental Reliability Evaluation for Complex Equipment: A Strict Intuitionistic Fuzzy Distance Measure-Based Multi-Attribute Group Decision-Making Framework" Machines 13, no. 8: 744. https://doi.org/10.3390/machines13080744
APA StylePeng, Z., Chen, W., & Gao, L. (2025). Multi-Environmental Reliability Evaluation for Complex Equipment: A Strict Intuitionistic Fuzzy Distance Measure-Based Multi-Attribute Group Decision-Making Framework. Machines, 13(8), 744. https://doi.org/10.3390/machines13080744

