Modified Dynamic Movement Primitive-Based Closed Ankle Reduction Technique Learning and Variable Impedance Control for a Redundant Parallel Bone-Setting Robot
Abstract
1. Introduction
- (1)
- We designed a novel redundant parallel bone-setting robot for closed ankle reduction incorporating a singularity-free redundant kinematic solver. The proposed redundant parallel platform has the advantages of great dexterity and load, which can meet the needs of the closed ankle reduction process.
- (2)
- We proposed a modified DMP algorithm, termed MV-TP-DMP, which improves the accuracy of 6D reduction trajectory reproduction while enhancing generalization capabilities. Considering the correlation of multidimensional trajectories, the proposed algorithm can show better trajectory reproduction accuracy and generalization performance than the classic DMP algorithm.
- (3)
- We performed a dynamic analysis for the redundant parallel bone-setting robot and introduced a position-based variable impedance controller featuring a novel variable stiffness strategy. Compared with the constant impedance controller, the proposed variable impedance controller can better adapt to different types of disturbances and exhibit more human-like compliance characteristics.
2. Redundant Parallel Bone-Setting Robot
2.1. Design of Bone-Setting Robot
2.1.1. Physiological Analysis of Ankle Fracture
2.1.2. Mechanical Structure Design of Bone-Setting Robot
2.2. Kinematics Analysis of Redundant Parallel Platform
2.3. Singularity Free Redundant Kinematics Solver
3. Closed Reduction Techniques Learning Based on Modified Dynamic Movement Primitive
3.1. Dynamic Movement Primitive
3.2. MV-TP-DMP
4. Variable Impedance Control Based on Inverse Dynamic
4.1. Inverse Dynamics Analysis
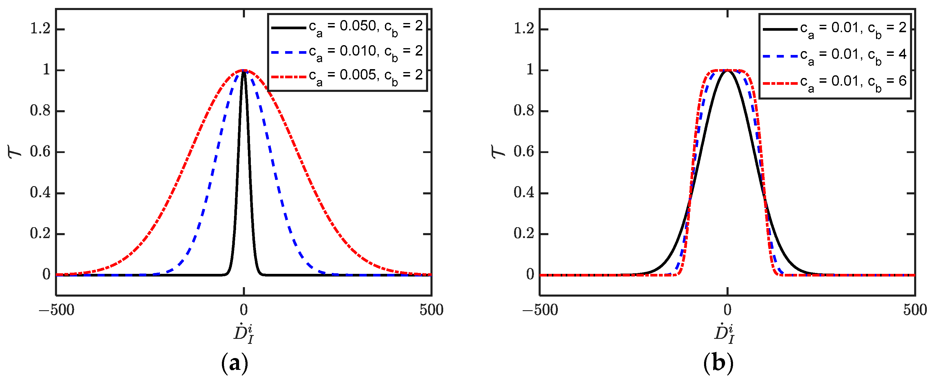
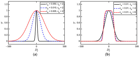
4.2. Position-Based Variable Impedance Control
4.3. PD Control Strategy Base on Inverse Dynamic
5. Virtual Prototype Simulation
5.1. Demonstration Collection
5.2. Comparison Metrics
5.2.1. Similarity with Original Trajectory
5.2.2. Similarity with Reference Trajectory
5.2.3. Adaptability to Target Pose
5.3. Reproducing and Generalizing for Reduction Trajectory
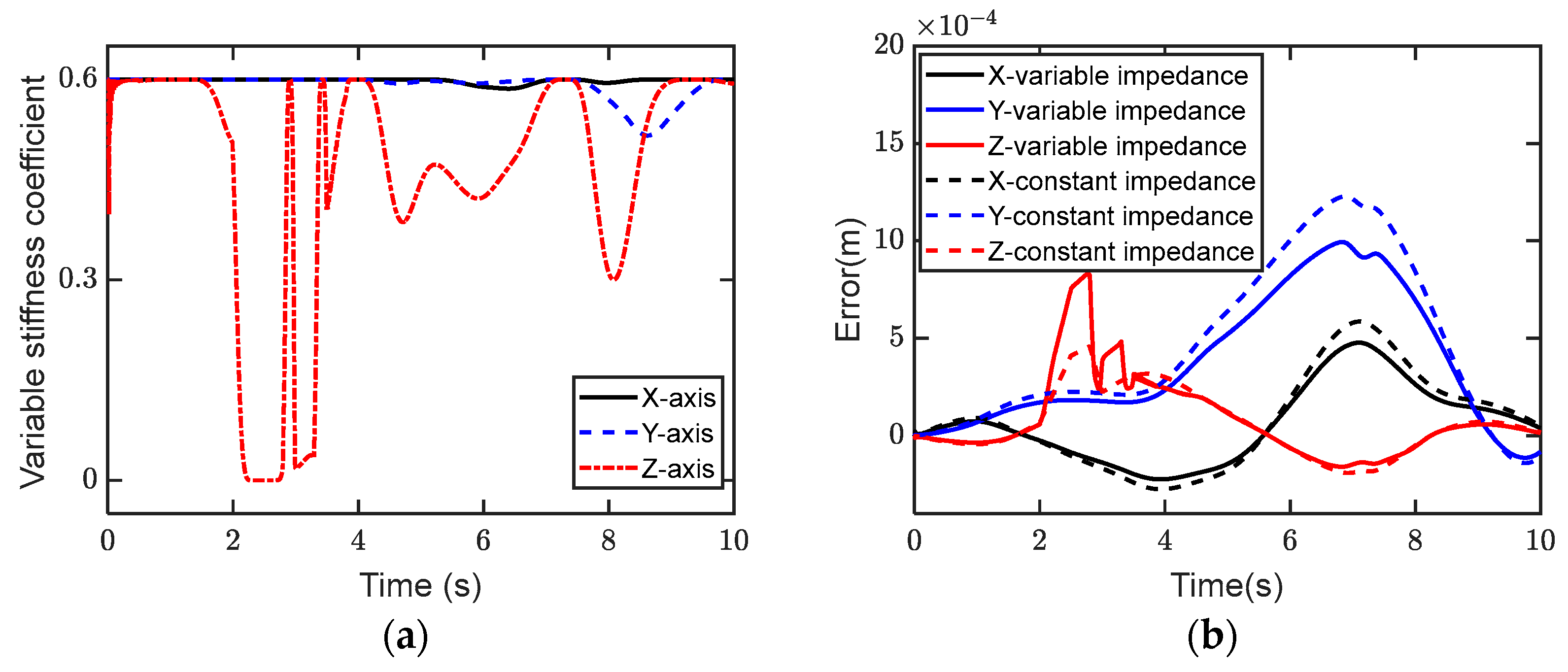
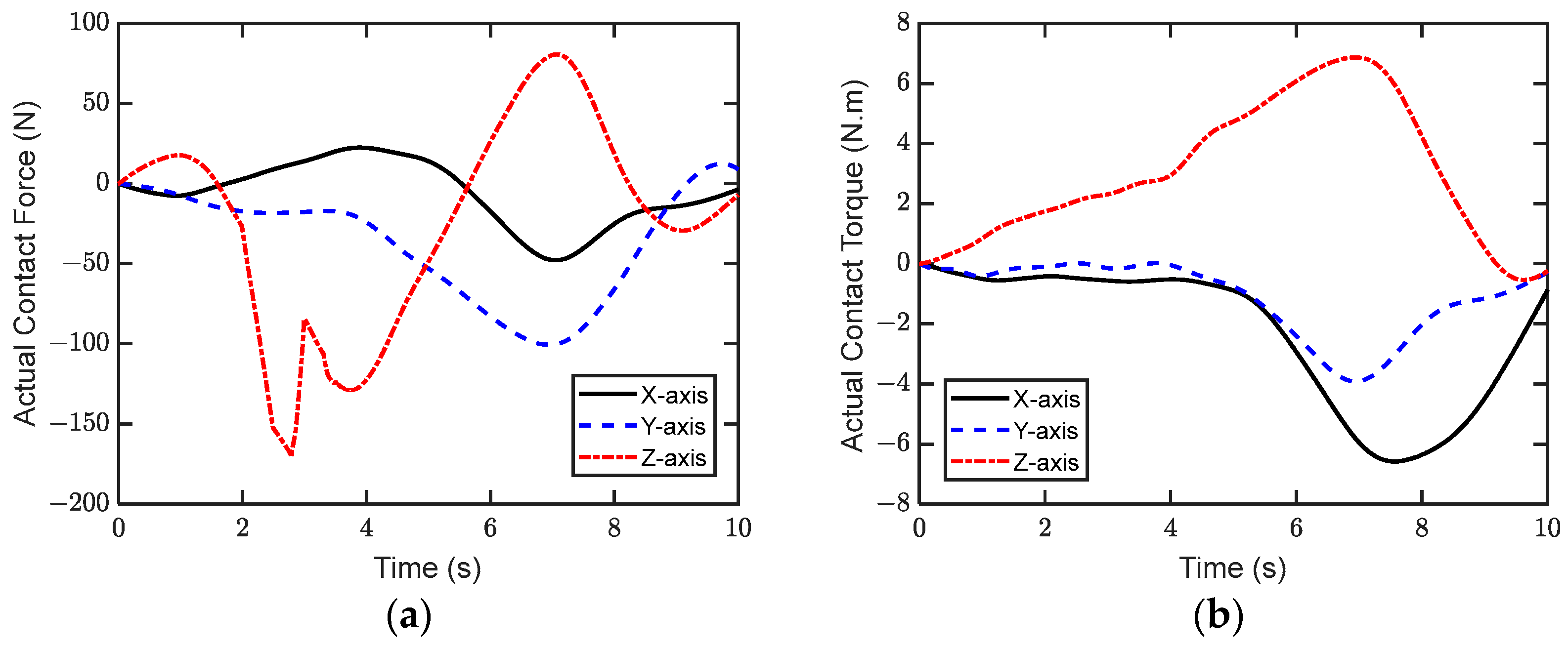
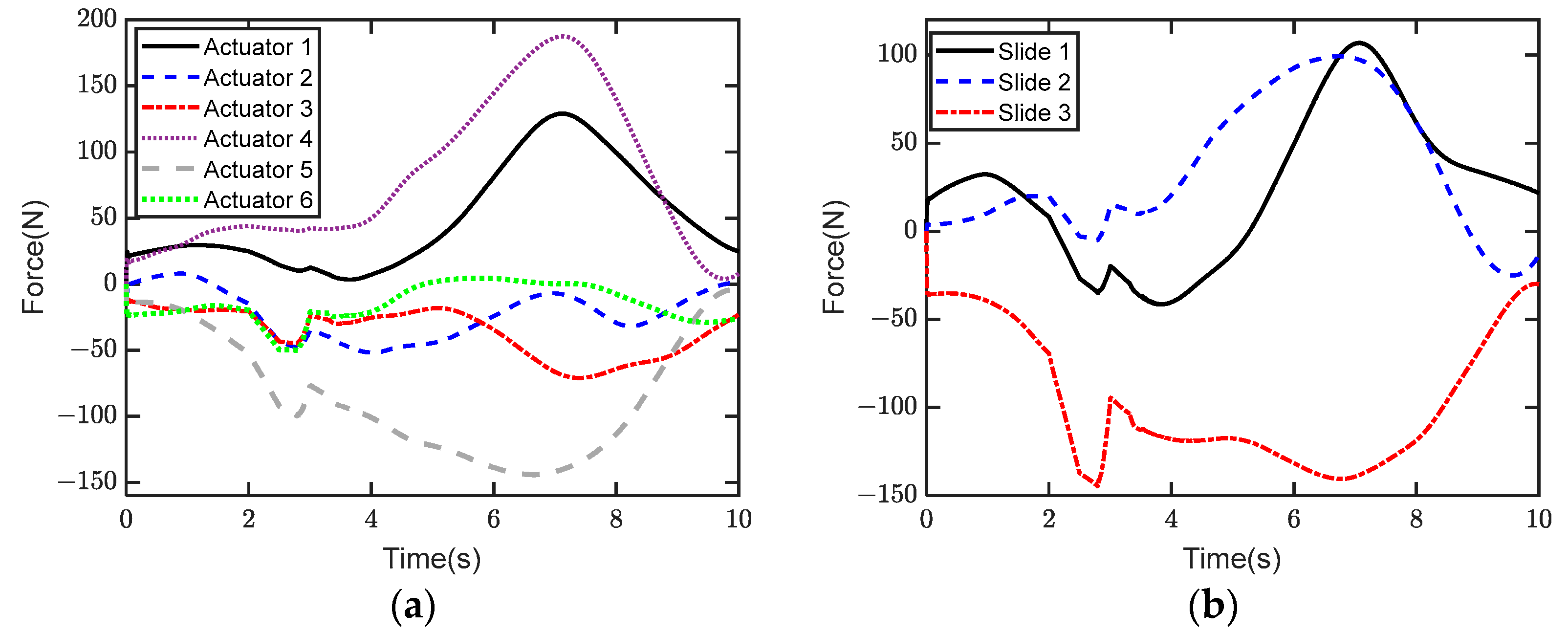
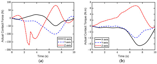
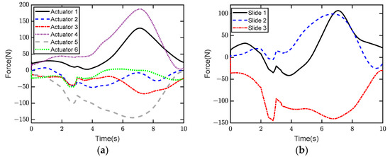
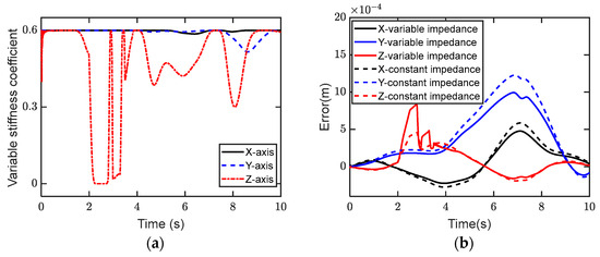
5.4. Results of Variable Impedance Control
6. Discussion
6.1. Comparison
6.2. Medical Application Prospect
6.3. Limitation
6.4. Ethical and Legal Concerns
6.5. Robot Operation and Maintenance
6.6. Clinical Test and Regulatory Approval
7. Conclusions and Future Work
Author Contributions
Funding
Data Availability Statement
Acknowledgments
Conflicts of Interest
References
- Herzog, M.M.; Kerr, Z.Y.; Marshall, S.W.; Wikstrom, E.A. Epidemiology of ankle sprains and chronic ankle instability. J. Athl. Train. 2019, 54, 603–610. [Google Scholar] [CrossRef] [PubMed]
- Qiu, H.; Jiang, J.; Porter, D. A new intraoperative syndesmosis instability classification system: Utility and medium-term results in closed displaced ankle fractures. Orthop. Surg. 2017, 9, 365–371. [Google Scholar] [CrossRef] [PubMed]
- Marcus, H.J.; Ramirez, P.T.; Khan, D.Z.; Layard Horsfall, H.; Hanrahan, J.G.; Williams, S.C.; Beard, D.J.; Bhat, R.; Catchpole, K.; Cook, A.; et al. The IDEAL framework for surgical robotics: Development, comparative evaluation, and long-term monitoring. Nat. Med. 2024, 30, 61–75. [Google Scholar] [CrossRef]
- Zhong, F.; Liu, Y.H. Integrated planning and control of robotic surgical instruments for task autonomy. Int. J. Robot. Res. 2023, 42, 504–536. [Google Scholar] [CrossRef]
- Zhao, J.X.; Li, C.; Ren, H.; Hao, M.; Zhang, L.C.; Tang, P.F. Evolution and current applications of robot-assisted fracture reduction: A comprehensive review. Ann. Biomed. Eng. 2020, 48, 203–224. [Google Scholar] [CrossRef] [PubMed]
- Dupont, P.E.; Nelson, B.J.; Goldfarb, M.; Hannaford, B.; Menciassi, A.; O’Malley, M.K.; Simaan, N.; Valdastri, P.; Yang, G.Z. A decade retrospective of medical robotics research from 2010 to 2020. Sci. Robot. 2021, 6, eabi8017. [Google Scholar] [CrossRef]
- Zhang, M.; Davies, T.C.; Xie, S. Effectiveness of robot-assisted therapy on ankle rehabilitation—A systematic review. J. Neuroeng. Rehabil. 2013, 10, 30. [Google Scholar] [CrossRef] [PubMed]
- Lee, A.; Baker, T.S.; Bederson, J.B. Levels of autonomy in FDA-cleared surgical robots: A systematic review. NPJ Digit. Med. 2024, 7, 103. [Google Scholar] [CrossRef]
- Chatterjee, S.; Das, S.; Ganguly, K.; Mandal, D. Advancements in robotic surgery: Innovations, challenges, and future prospects. J. Robot. Surg. 2024, 18, 28. [Google Scholar] [CrossRef] [PubMed]
- Qin, Y.; Geng, P.; You, Y.; Ma, M.; Wang, H.; Han, J. Collaborative preoperative planning for operation-navigation dual-robot orthopedic surgery system. IEEE Trans. Autom. Sci. Eng. 2023, 21, 2949–2960. [Google Scholar] [CrossRef]
- Li, J.; Cui, R.; Su, P.; Ma, L.; Sun, H. A computer-assisted preoperative path planning method for the parallel orthopedic robot. Machines 2022, 10, 480. [Google Scholar] [CrossRef]
- Qiu, J.; Wu, J.; Zhu, B. Optimization design of a parallel surgical robot with remote center of motion. Mech. Mach. Theory 2023, 185, 105327. [Google Scholar] [CrossRef]
- Richter, M.; Zech, S.; Klimesch, Y.; Gosling, T. Westphal R, Robotic cadaver testing of a new total ankle prosthesis model (German Ankle System). Foot Ankle. Int. 2007, 28, 1276–1286. [Google Scholar] [CrossRef] [PubMed]
- Joung, S.; Liao, H.; Kobayashi, E.; Mitsuishi, M.; Nakajima, Y.; Sugano, N.; Bessho, M.; Ohashi, S.; Matsumoto, T.; Ohnishi, I.; et al. Hazard analysis of fracture-reduction robot and its application to safety design of fracture-reduction assisting robotic system. In Proceedings of the 2010 IEEE International Conference on Robotics and Automation, Anchorage, AK, USA, 3–7 May 2010; pp. 1554–1561. [Google Scholar]
- Liang, X.; Zeng, X.; Li, G.T.; Su, T.T.; He, G.P. Kinematic analysis of three redundant parallel mechanisms for fracture reduction surgery. Mech. Mach. Theory 2023, 188, 105400. [Google Scholar] [CrossRef]
- Jamwal, P.K.; Hussain, S.; Ghayesh, M.H. Intrinsically compliant parallel robot for fractured femur reduction: Mechanism optimization and control. Robot. Auton. Syst. 2021, 141, 103787. [Google Scholar] [CrossRef]
- Lin, D.; Chen, P.; Lin, C.; Lin, F. Precision reduction of femoral neck fractures: A novel strategy based on the femoral neck fracture morphology. Sci. Rep. 2024, 14, 16281. [Google Scholar] [CrossRef] [PubMed]
- Lu, S.; Li, S.; Zhang, L.; Qi, X.; Yang, Y.; Li, B.; Hu, Y. Computer-Assisted Automatic Preoperative Path Planning Method for Pelvic Fracture Reduction Surgery Based on Enlarged RRT* Algorithm. IEEE Trans. Autom. Sci. Eng. 2024, 1–12. [Google Scholar] [CrossRef]
- Gebremeskel, M.; Shafiq, B.; Uneri, A.; Sheth, N.; Simmerer, C.; Zbijewski, W.; Li, G. Quantification of manipulation forces needed for robot-assisted reduction of the ankle syndesmosis: An initial cadaveric study. Int. J. Comput. Assist. Radiol. Surg. 2022, 17, 2263–2267. [Google Scholar] [CrossRef]
- Zhang, L.; Li, J.; Dong, M.; Fang, B.; Cui, Y.; Zuo, S.; Zhang, K. Design and workspace analysis of a parallel ankle rehabilitation robot (PARR). J. Healthc. Eng. 2019, 2019, 4164790. [Google Scholar] [CrossRef]
- Chen, G.; Zhou, H.; Yang, P. Force/position control strategy of 3-PRS ankle rehabilitation robot. Int. J. Innov. Comput. Inf. Control 2020, 16, 481–494. [Google Scholar]
- Lin, L.; Zhang, F.; Yang, L.; Fu, Y. Design and modeling of a hybrid soft-rigid hand exoskeleton for poststroke rehabilitation. Int. J. Mech. Sci. 2021, 212, 106831. [Google Scholar] [CrossRef]
- Wang, X.; Wang, H.; Hu, X.; Tian, Y.; Lin, M.; Yan, H.; Sun, L. Adaptive direct teaching control with variable load of the lower limb rehabilitation robot (LLR-II). Machines 2021, 9, 142. [Google Scholar] [CrossRef]
- Zha, Q.; Xu, Z.; Yang, H.; Zhang, G.; Cai, X.; Zhang, W.; Liu, Y.; Shen, X.; Li, Y. Development of a robot-assisted reduction and rehabilitation system for distal radius fractures. Front. Bioeng. Biotech. 2024, 11, 1342229. [Google Scholar] [CrossRef]
- Huang, Y.L.; Xu, D.; Tan, M. On imitation learning of robot movement trajectories: A survey. Acta. Autom. Sin. 2022, 48, 315–334. [Google Scholar]
- Correia, A.; Alexandre, L.A. A survey of demonstration learning. Robot. Auton. Syst. 2024, 182, 104812. [Google Scholar] [CrossRef]
- Argall, B.D.; Chernova, S.; Veloso, M.; Browning, B. A survey of robot learning from demonstration. Robot. Auton. Syst. 2009, 57, 469–483. [Google Scholar] [CrossRef]
- Hosseini, S.R.; Taheri, A.; Alemi, M.; Meghdari, A. One-shot learning from demonstration approach toward a reciprocal sign language-based HRI. Int. J. Soc. Robot. 2024, 16, 645–657. [Google Scholar] [CrossRef] [PubMed]
- Ye, J.; Wang, J.; Huang, B.; Qin, Y.; Wang, X. Learning continuous grasping function with a dexterous hand from human demonstrations. IEEE Robot. Autom. Lett. 2024, 8, 2882–2889. [Google Scholar] [CrossRef]
- Ravichandar, H.; Polydoros, A.S.; Chernova, S.; Billard, A. Recent advances in robot learning from demonstration. Annu. Rev. Contr. Robot 2020, 3, 297–330. [Google Scholar]
- Ijspeert, A.J.; Nakanishi, J.; Hoffmann, H.; Schaal, S. Dynamical movement primitives: Learning attractor models for motor behaviors. Neural Comput. 2013, 25, 328–373. [Google Scholar] [CrossRef]
- Fanger, Y.; Umlauft, J.; Hirche, S. Gaussian processes for dynamic movement primitive with application in knowledge-based cooperation. In Proceedings of the 2016 IEEE/RSJ International Conference on Intelligent Robots and Systems (IROS), Daejeon, Republic of Korea, 9–14 October 2016; pp. 3913–3919. [Google Scholar]
- Khansari-Zadeh, S.M.; Billard, A. Learning stable nonlinear dynamical systems with Gaussian mixture models. IEEE. Trans. Robot. 2021, 27, 943–957. [Google Scholar] [CrossRef]
- Paraschos, A.; Daniel, C.; Peters, J.; Neumann, G. Probabilistic movement primitive. In Proceedings of the 26th International Conference on Neural Information Processing Systems (NIPS), Lake Tahoe, NV, USA, 5–8 December 2013; pp. 2616–2624. [Google Scholar]
- Calinon, S.; Bruno, D.; Caldwell, D.G. A task-parameterized probabilistic model with minimal intervention control. In Proceedings of the 2014 IEEE International Conference on Robotics and Automation (ICRA), Hong Kong, China, 31 May–7 June 2014; pp. 3339–3344. [Google Scholar]
- Huang, Y.L.; Rozo, L.; Silverio, J. Caldwell DG, Kernelized movement primitive. Int. J. Robot. Res. 2019, 38, 833–852. [Google Scholar] [CrossRef]
- Huang, Y.; Abu-Dakka, F.J.; Silvério, J.; Caldwell, D.G. Toward orientation learning and adaptation in Cartesian space. IEEE Trans. Robot. 2020, 37, 82–98. [Google Scholar] [CrossRef]
- Calinon, S.; Bruno, D.; Malekzadeh, M.S.; Nanayakkara, T.; Caldwell, D.G. Human–robot skills transfer interfaces for a flexible surgical robot. Comput. Methods Prog. Biomed. 2014, 116, 81–96. [Google Scholar] [CrossRef] [PubMed]
- Ding, J.; Lam, T.L.; Ge, L.; Pang, J.; Huang, Y. Safe and adaptive 3-D locomotion via constrained task-space imitation learning. IEEE-ASME Trans. Mech. 2023, 28, 3029–3040. [Google Scholar] [CrossRef]
- Yang, C.; Zeng, C.; Liang, P.; Li, Z.; Li, R.; Su, C.Y. Interface design of a physical human–robot interaction system for human impedance adaptive skill transfer. IEEE Trans. Autom. Sci. Eng. 2017, 15, 329–340. [Google Scholar] [CrossRef]
- Osa, T.; Sugita, N.; Mitsuishi, M. Online trajectory planning and force control for automation of surgical tasks. IEEE Trans. Autom. Sci. Eng. 2017, 15, 675–691. [Google Scholar] [CrossRef]
- Su, H.; Mariani, A.; Ovur, S.E.; Menciassi, A.; Ferrigno, G.; De Momi, E. Toward teaching by demonstration for robot-assisted minimally invasive surgery. IEEE Trans. Autom. Sci. Eng. 2021, 18, 484–494. [Google Scholar] [CrossRef]
- Pan, M.Z.; Deng, Y.W.; Li, Z.; Chen, Y.; Liao, X.L.; Bian, G.B. Dynamic multi-action recognition and expert movement mapping for closed pelvic reduction. IEEE Trans. Ind. Inform. 2022, 19, 8667–8678. [Google Scholar] [CrossRef]
- Zhang, R.; Chen, J.; Wang, Z.; Li, C.; Huang, T.; Wang, A. A step towards conditional autonomy—Robotic appendectomy. IEEE Robot. Autom. Lett. 2023, 8, 2429–2436. [Google Scholar] [CrossRef]
- Liu, Z.; Ai, Q.; Liu, H.; Li, Z.; Wang, Y.; Zhang, L. Human-like trajectory planning based on postural synergistic kernelized movement primitives for robot-assisted rehabilitation. IEEE Trans. Hum. Mach. Syst. 2024, 54, 152–161. [Google Scholar] [CrossRef]
- Buchli, J.; Stulp, F.; Theodorou, E.; Schaal, S.J. Learning variable impedance control. Int. J. Robot. Res. 2021, 30, 820–833. [Google Scholar] [CrossRef]
- Haddadin, S.; Shahriari, E. Unified force-impedance control. Int. J. Robot. Res. 2024, 43, 2112–2141. [Google Scholar] [CrossRef]
- Hu, J.; Zhuang, Y.; Meng, Q.; Yu, H. Active training control method for rehabilitation robot based on fuzzy adaptive impedance adjustment. Machines 2023, 11, 565. [Google Scholar] [CrossRef]
- Luo, J.; Zhang, C.Y.; Si, W.Y.; Jiang, Y.M.; Yang, C.G.; Zeng, C. A physical human–robot interaction framework for trajectory adaptation based on human motion prediction and adaptive impedance control. IEEE Trans. Autom. Sci. Eng. 2024, 1–12. [Google Scholar] [CrossRef]
- Li, X.F.; Zhao, H.; Zhou, H.Y.; Cai, Y.H.; Yin, Y.C.; Ding, H. Robotic grinding and polishing of complex aeroengine blades based on new device design and variable impedance control. Robot. Comput.-Integr. Manuf. 2025, 92, 102875. [Google Scholar] [CrossRef]
- Sun, Y.H.; Peng, Z.A.; Hu, J.P.; Ghosh, B.K. Event-triggered critic learning impedance control of lower limb exoskeleton robots in interactive environments. Neurocomputing 2024, 564, 126963. [Google Scholar] [CrossRef]
- Liu, L.; Leonhardt, S.; Bergmann, L.; Misgeld, B.J.E. Composite performance of variable stiffness actuator for exoskeleton administrated via impedance control and disturbance observer. Mech. Mach. Theory 2023, 179, 105096. [Google Scholar] [CrossRef]
- Liu, L.; Leonhard, S.; Ngo, C.; Misgeld, B.J.E. Impedance-controlled variable stiffness actuator for lower limb robot applications. IEEE Trans. Autom. Sci. Eng. 2019, 17, 991–1004. [Google Scholar] [CrossRef]
- Brahmi, B.; Driscoll, M.; El Bojairami, I.K.; Saad, M.; Brahmi, A. Novel adaptive impedance control for exoskeleton robot for rehabilitation using a nonlinear time-delay disturbance observer. ISA Trans. 2021, 108, 381–392. [Google Scholar] [CrossRef] [PubMed]
- Fereydooni, R.H.; Siahkali, H.; Shayanfar, H.A.; Mazinan, A.H. sEMG-based variable impedance control of lower-limb rehabilitation robot using wavelet neural network and model reference adaptive control. Ind. Robot 2020, 47, 349–358. [Google Scholar] [CrossRef]
- Jamwal, P.K.; Hussain, S.; Ghayesh, M.H.; Rogozina, S.V. Impedance control of an intrinsically compliant parallel ankle rehabilitation robot. IEEE Trans. Ind. Electron. 2016, 63, 3638–3647. [Google Scholar] [CrossRef]
- Wang, X.; Zhang, R.; Miao, Y.; An, M.; Wang, S.; Zhang, Y. PI2-based adaptive impedance control for gait adaptation of lower limb exoskeleton. IEEE-ASME Trans. Mech. 2024, 29, 4251–4261. [Google Scholar] [CrossRef]
- Zheng, G.L.; Lei, J.T.; Hu, L.; Zhang, L.H. Fuzzy adaptive sliding mode impedance control of fracture reduction robot. IEEE Access 2021, 9, 113653–113665. [Google Scholar] [CrossRef]
- Xiao, S.J.; Wang, C.J.; Shi, Y.Z.; Yu, J.W.; Xiong, L.F.; Peng, C.Z.; Yang, L.J. Visual optimization of ultrasound-guided robot-assisted procedures using variable impedance control. In Proceedings of the 2021 WRC Symposium on Advanced Robotics and Automation, Beijing, China, 11 September 2021; pp. 128–133. [Google Scholar]
- Su, H.; Yang, C.; Li, J.; Wang, X.; Zhang, L. Hierarchical task impedance control of a serial manipulator for minimally invasive surgery. In Proceedings of the 2020 IEEE International Conference on Human-Machine Systems, Rome, Italy, 7–9 September 2020; pp. 1–6. [Google Scholar]
- Bian, G.B.; Chen, Z.; Li, Z.; Wei, B.T.; Liu, W.P.; da Silva, D.S.; Wu, W.Q.; de Albuquerque, V.H.C. Learning surgical skills under the RCM constraint from demonstrations in robot-assisted minimally invasive surgery. Expert Syst. Appl. 2023, 225, 120134. [Google Scholar] [CrossRef]
- Brockett, C.L.; Chapman, G.J. Chapman, Biomechanics of the ankle. Orthop. Trauma 2016, 30, 232–238. [Google Scholar]
- Michelson, J.; Solocoff, D.; Waldman, B.; Kendell, K.; Ahn, U. Ankle fractures. Ankle fractures: The Lauge-Hansen classification revisited. Clin. Orthop. Relat. Res. 1997, 345, 198–205. [Google Scholar]
- Lawson, K.A.; Ayala, A.E.; Morin, M.L.; Latt, L.D.; Wild, J.R. Republication of “Ankle fracture-dislocations: A review”. Foot Ankle Orthop. 2023, 8, 24730114231195058. [Google Scholar] [CrossRef]
- Payne, R.; Kinmont, J.C.; Moalypour, S.M. Initial management of closed fracture-dislocations of the ankle. Ann. R. Coll. Surg. Engl. 2004, 86, 177. [Google Scholar] [CrossRef] [PubMed]
- Graham, A.; Xie, S.; Aw, K.; Xu, P.; Mukherjee, S. Robotic long bone fracture reduction. In Medical Robotics; Bozovic, V., Ed.; IntechOpen: London, UK, 2008; pp. 2820–2838. [Google Scholar]
- Li, C.; Wang, T.; Hu, L.; Zhang, L.; Du, H.; Wang, L.; Luan, S.; Tang, P. Accuracy Analysis of a Robot System for Closed Diaphyseal Fracture Reduction. Int. J. Adv. Robot. Syst. 2014, 229, 629–637. [Google Scholar] [CrossRef]
- Li, C.; Wang, T.; Hu, L.; Zhang, L.; Zhao, Y.; Du, H.; Wang, L.; Tang, P. Robot-musculoskeletal dynamic biomechanical model in robot-assisted diaphyseal fracture reduction. Biomed. Mater. Eng. 2015, 26, S365–S374. [Google Scholar] [CrossRef]
- Abadi, B.N.R.; Farid, M.; Mahzoon, M. Redundancy resolution and control of a novel spatial parallel mechanism with kinematic redundancy. Mech. Mach. Theory 2019, 133, 112–126. [Google Scholar] [CrossRef]
- Ebrahimi, I.; Carretero, J.A.; Boudreau, R. 3-PRRR redundant planar parallel manipulator: Inverse displacement, workspace and singularity analyses. Mech. Mach. Theory 2007, 42, 1007–1016. [Google Scholar] [CrossRef]
- Vijayakumar, S.; Schaal, S. Locally weighted projection regression: An O(n) algorithm for incremental real-time learning in high dimensional space. In Proceedings of the 17th International Conference on Machine Learning, Standord, CA, USA, 29 June–2 July 2000; Morgan Kaufmann: Burlington, MA, USA, 2000; pp. 288–293. [Google Scholar]
- Chen, Z.X.; Wang, B.; Gorban, A.N. Multivariate Gaussian and Student-t process regression for multi-output prediction. Neural Comput. Appl. 2020, 32, 3005–3028. [Google Scholar] [CrossRef]
- Chen, Y.; Pan, M.Z.; Li, Z.; Deng, Y.W.; Liao, X.L.; Bian, G.B. Autonomous path planning with muscle force optimization for robot-assisted pelvic fracture closed reduction. IEEE Trans. Med. Robot. Bio. 2023, 5, 253–264. [Google Scholar] [CrossRef]
- DeAngelis, J.P.; Anderson, R.; DeAngelis, N.A. Understanding the superior clear space in the adult ankle. Foot Ankle Int. 2007, 28, 490–493. [Google Scholar] [CrossRef] [PubMed]
- Zhou, F.; De la Torre, F. Generalized canonical time warping. IEEE Trans. Pattern Anal. 2016, 38, 279–294. [Google Scholar] [CrossRef] [PubMed]
- Ruan, S.P.; Liu, W.X.; Wang, X.L.; Meng, X.; Chirikjian, G.S. PRIMP: Probabilistically-informed motion primitives for efficient affordance learning from demonstration. IEEE Trans. Robot. 2024, 40, 2868–2887. [Google Scholar] [CrossRef]

















| Parameters | Values or Bounds | Unit |
|---|---|---|
| 42.54 | deg | |
| 0.1 | m | |
| 0.26 | m | |
| (0.42, 0.57) | m | |
| (−0.05, 0.05) | m | |
| 0.09 | m | |
| 0.05 | m |
| Position | Orientation | |||||
|---|---|---|---|---|---|---|
| DMP | 0.1756 | 72.609 | ||||
| MV-GP-DMP | 0.1186 | 53.486 | ||||
| MV-TP-DMP | 0.0490 | 26.248 | ||||
| Position | Orientation | |||
|---|---|---|---|---|
| DMP | 0.4811 | 242.85 | ||
| MV-GP-DMP | 0.3709 | 231.43 | ||
| MV-TP-DMP | 0.3691 | 221.46 | ||
| Parameters | Values or Bounds |
|---|---|
| 30 | |
| 30 | |
| 200 | |
| 50 | |
| 500,000 | |
| 100 | |
| 0.4 | |
| 0.01 | |
| 4 | |
| 20 |
| Constant Impedance Control | Variable Impedance Control | |||||
|---|---|---|---|---|---|---|
| MSE ( m) | 8.550 | 67.784 | 200.08 | 8.249 | 65.731 | 523.81 |
| MAV (N) | 6.222 | 36.973 | 25.147 | 6.010 | 35.758 | 22.833 |
| PV (N) | 47.824 | 100.59 | 187.15 | 47.601 | 100.26 | 168.52 |
Disclaimer/Publisher’s Note: The statements, opinions and data contained in all publications are solely those of the individual author(s) and contributor(s) and not of MDPI and/or the editor(s). MDPI and/or the editor(s) disclaim responsibility for any injury to people or property resulting from any ideas, methods, instructions or products referred to in the content. |
© 2025 by the authors. Licensee MDPI, Basel, Switzerland. This article is an open access article distributed under the terms and conditions of the Creative Commons Attribution (CC BY) license (https://creativecommons.org/licenses/by/4.0/).
Share and Cite
Tan, Z.; Zhang, Y.; Yuan, J.; Song, X.; Zhang, J.; Wen, G.; Hu, X.; Yin, H. Modified Dynamic Movement Primitive-Based Closed Ankle Reduction Technique Learning and Variable Impedance Control for a Redundant Parallel Bone-Setting Robot. Machines 2025, 13, 145. https://doi.org/10.3390/machines13020145
Tan Z, Zhang Y, Yuan J, Song X, Zhang J, Wen G, Hu X, Yin H. Modified Dynamic Movement Primitive-Based Closed Ankle Reduction Technique Learning and Variable Impedance Control for a Redundant Parallel Bone-Setting Robot. Machines. 2025; 13(2):145. https://doi.org/10.3390/machines13020145
Chicago/Turabian StyleTan, Zhao, Yahui Zhang, Jiahui Yuan, Xu Song, Jialong Zhang, Guilin Wen, Xiaoyan Hu, and Hanfeng Yin. 2025. "Modified Dynamic Movement Primitive-Based Closed Ankle Reduction Technique Learning and Variable Impedance Control for a Redundant Parallel Bone-Setting Robot" Machines 13, no. 2: 145. https://doi.org/10.3390/machines13020145
APA StyleTan, Z., Zhang, Y., Yuan, J., Song, X., Zhang, J., Wen, G., Hu, X., & Yin, H. (2025). Modified Dynamic Movement Primitive-Based Closed Ankle Reduction Technique Learning and Variable Impedance Control for a Redundant Parallel Bone-Setting Robot. Machines, 13(2), 145. https://doi.org/10.3390/machines13020145
