Abstract
Unbalanced inertia force is inevitably generated during the operation of crank linkage. It is one of the main excitation sources of air compressor vibration and the focus of managing air compressor vibration noise. In this regard, this paper studies the variation law of inertia force in the four-star type crank linkage mechanism. Certain balancing methods are used to reduce the unbalanced inertia force. Firstly, we present a comparison of perfect and partial balanced problems of crank linkage inertia forces. Then, using the ADAMS software multibody dynamics calculation method, the balancing mass is numerically calculated to optimize the design of the balancing mass for partial balancing of inertia force. Next, the influence law of piston mass asymmetry on the force of crankshaft revolving pair is studied. Lastly, two new types of four-star type crank linkage mechanism are proposed from the viewpoint of completely balanced inertia forces and moments of inertia. The results show that the perfectly balanced inertia force is better than the partially balanced inertia force in terms of a balancing effect. The parametric design of ADAMS software is more efficient and can get the best quality quickly. The design of perfectly balanced inertia force will increase the length and complexity of the crankshaft, while reducing the structural strength. The research results of this paper are important for improving the vibration damping performance of marine air compressors.
1. Introduction
As the “heart” of the pneumatic system of underwater vehicles, the pressure and volume of compressed air generated by the air compressor are important factors determining the diving and buoyancy performance of underwater vehicles. In recent years, the research hotspots of air compressors have mainly focused on fault detection and diagnosis, structural strength verification, and thermodynamic analysis. There is relatively little research on the vibration control of large air compressors; in particular, systematic research on the vibration characteristics of four-star type air compressors is still scarce. The main moving component of the four-star type air compressor is the crank connecting rod mechanism, which inevitably generates unbalanced inertial forces and moments during operation. While the crank linkage is running, unbalanced inertia forces are inevitably generated in the moving elements. The inertia force varies periodically with the crank rotation, which accelerates the crank linkage fatigue damage and excites the forced vibration of other components. The crank linkage combines reciprocating and rotating motions [1]. The inertia forces cannot be balanced inside the element, akin to a rotor rotating around a fixed axis. Therefore, the balance of the whole mechanism needs to be studied.
Many scholars at home and abroad have studied the crank linkage balancing problem. According to the degree of balancing, the balancing problem is divided into a perfect balancing of inertia forces and partial balancing of inertia forces [2]. Perfect balancing can obtain the best balancing effect. The balancing measures taken are also more complicated. This is more difficult to achieve in the actual mechanism. The added balancing measures can also bring new problems. While partial balancing takes simple and reliable balancing measures and is relatively widely used in engineering, the balancing effect will be affected to a certain extent [3].
The linear independent vector method was proposed by Berkof et al. It systematically analyzed the balancing method of input moment, inertia force, and moment of inertia, which was able to determine the size and position of the balancing mass and achieve the full balancing of inertia force [4]. Bagci et al. achieved good balancing results for the irregular inertia problem of the planar multi-bar mechanism using the method of attaching a linkage assembly [5]. Arakelian et al. achieved perfect balancing of inertia forces and moments via a combination of adding counterweights, symmetrical linkage groups, and gears [6]. As the research on dynamic balancing continues to progress, various balancing methods and techniques are becoming increasingly mature. However, in the process of achieving balancing, it can be found that the pursuit of optimization of individual balancing indices will lead to the deterioration of other indices. This is not conducive to the improvement of the overall balancing performance of the system. Therefore, the research on dynamic balancing of the mechanism gradually develops in the direction of a comprehensive balancing of each index, in order to seek the best balancing state. Lee et al. proposed the optimization criterion of system balance by considering the input moment, inertia force, moment of inertia, and reactive force of kinematic pairs; using Newton’s and Lagrange’s equations, they optimized the balance indices of the mechanism [7]. Kochev et al. conducted an in-depth study of the system equilibrium problem from the viewpoint of energy balance with the input moment, inertia force, and moment of inertia as the optimization objectives [8]. Zhou et al. estimated the dynamic characteristics of the unsteady rotor using the least-squares method to offset the unbalance measure of the system with mass distribution. The conventional analysis method simplifies the crank linkage to a mass point and the associated force system. The forces on the crank linkage are analyzed by establishing the associated kinetic equations. The theory of multibody dynamics and related techniques has flourished, resulting in a series of analytical methods such as the Newton–Euler method, the Kane method, and the Lagrangian method. These methods were incorporated into commercial software to obtain a virtual prototype-based multibody dynamics analysis method [9].
Mechanical vibration control of reciprocating air compressors is a systematic task. Due to the large number of vibration sources and composite structures involved, as well as the irregularity of engineering machinery structures, numerical calculation methods are difficult to achieve. Currently, qualitative analysis of vibration response is generally based on commercial software, and different structural schemes are compared to obtain vibration control methods.
Getting a good dynamic balance of the four-star type crank linkage, and further improving and optimizing the structure layout are among the key issues. To address them, this paper carries out a balancing study of a four-star type crank linkage. Firstly, the partial balance method of inertia force is used to optimize the design of the balance mass. The effect of piston mass asymmetry on the force of the crankshaft revolving pair is analyzed. Then, from the viewpoint of optimizing inertia forces and moments of inertia, two improved four-star type crank linkage mechanisms are proposed.
2. Research on Dynamic Balancing Method of Crank Linkage Mechanism
A balancing of crank linkage mechanisms is needed to minimize or eliminate the adverse effects of inertia forces in order to improve the operating performance of the mechanism and optimize the field environment of the mechanical system, while extending the service life of the components. The study of dynamic balancing is particularly important in areas such as high-speed, heavy-duty, and precision machinery. Dynamic balancing includes both inertia force and moment of inertia balancing. Reducing the moment of inertia is generally achieved by lightening the moving parts and shortening the force arms. For a given structure, only lighter moving parts can be used. In order to ensure the structural strength and cost, the degree of lightening is limited. The next section focuses on the balance of inertia forces.
2.1. Balance of Inertial Forces
2.1.1. Full Balance of Inertial Forces
Balanced Mass Method
The inertia forces in a crank linkage mechanism can be fully balanced by adding several balancing masses. Common methods for determining the balancing masses are the dominant point vector method, the linear independent vector method, and the mass substitution method. This section focuses on the application of the mass substitution method to the balancing of a crank linkage mechanism [10]. The mass substitution method involves simplifying each element into several point masses. The mechanical properties of each mass point are the same as the mechanical effect of the original element. Figure 1 shows a schematic diagram of the mass substitution method. Let the total mass of the crank linkage mechanism be m and the rotational inertia to the reference point O be . The crank, linkage, and piston are replaced by n point masses , and the coordinates of each mass point are , respectively. To ensure the mechanical equivalence of the substitution process, three conditions need to be calibrated.
Figure 1.
Schematic diagram of mass substitution.
(1) The total mass of the point mass is equal to the mass of the element:
(2) The total barycenter of the point mass coincides with the barycenter of the element:
(3) The rotational inertia of the point mass to the barycenter is equal to that of the element to the barycenter:
When the mass substitution fully satisfies the above three conditions, it is a mass dynamic substitution. The total inertia forces and moments of the mechanism after substitution are equal to the inertia forces and moments before substitution. When the mass substitution satisfies only the first two conditions, it is called mass-static substitution. The total inertia force of the mechanism after substitution is the same as the inertia force before substitution, and the moments of inertia are different.
Taking the simplest crank slider as an example for mass substitution, the balance mass is added for full balance, as shown in Figure 2. The masses of the crank, linkage, and slider are , , and , respectively. For balancing and , mass is added to the extension of CB such that . To balance the inertia force and moment of inertia at the same time to achieve full balance, make . The mass should be added to the extension of BA. Then, and are balanced so that the barycenter of the mechanism moves to the kinematic pair A. The mass needs to satisfy .
Figure 2.
Full balance of crank linkage.
Symmetrical Layout Method
When there are multiple sets of crank linkages involved at the same time, the layout shown in Figure 3 can be designed so that the inertia forces and moments are perfectly balanced. To obtain the balancing effect, the position, size, and mass of each element should be completely symmetrical about the center of rotation. Thus, the total barycenter of the mechanism can be stabilized at the center of rotation to obtain an excellent balancing effect.
Figure 3.
Fully symmetrical layout of crank linkage.
2.1.2. Partial Balance of Inertial Forces
Balanced Mass Method
The method of mass static substitution is used, as shown in Figure 4. The element masses are substituted into the three points A, B, and C. The relevant parameters satisfy Equation (4).
Figure 4.
Partial balance of crank linkage.
To balance the inertial forces, masses are added to the extension of BA. balances the inertial forces generated by mass while balances the inertial force generated by the mass . For linear motion, the acceleration is expanded by a Taylor series, taking only the first-order inertia amount. The reciprocal inertia force is calculated as
If we want to fully balance , is taken. The resulting inertial forces in the transverse and longitudinal components are
While the first-order inertia force of is balanced, the additional unbalanced inertia force creates new problems for the operation of the mechanism. In order to reduce the longitudinal inertia force while balancing , it is common to take
The corresponding balancing mass is
Balance of Mechanism Method
The addition of a gear mechanism can be used to balance the inertia forces generated during the movement of the crank slider. By changing the structural form of the gear mechanism, the purpose of balancing the first- and second-order inertia forces can be achieved [11]. The relevant gear mechanism layout is shown in Figure 5. Analysis of Figure 5a shows that the design satisfies to balance the first-order inertia force generated by this crank linkage mechanism. Analysis of Figure 5b shows that four gears of equal mass can be designed to balance the second-order inertia force generated via the crank linkage mechanism by adjusting the radius and number of gears so that the angular acceleration of gears 5 and 6 is twice that of gears 3 and 4.
Figure 5.
Balanced layout of gear mechanism. (a) Balancing first-order inertia forces; (b) Balancing second-order inertia forces.
Approximate Symmetrical Layout Method
The approximately symmetrical layout of the structure is shown in Figure 6. Since the adopted structure itself is not completely symmetrical, the inertia forces are only partially balanced. While the two rows of crank pins are symmetrically arranged, the layout of the piston is not symmetrical about the center of gyration. Compared to a single crank pin under the same conditions, the balance of the inertia force is not fully balanced.
Figure 6.
Approximate symmetrical layout of crank linkage.
In the operation of the crank linkage mechanism, the piston, linkage, and crankshaft all generate unbalanced inertia forces. The additional dynamic stresses caused by the inertia forces on the kinematic pair increase the wear of the kinematic pair. This affects the structural strength and dynamic output of the mechanism, causes structural vibration, and consumes energy of the mechanical system.
2.2. Comparison of Balancing Methods
The previous section was based on plane motion. The common methods of balancing inertial forces were summarized. There are advantages and disadvantages of fully and partially balancing inertial forces. A comparison of the two methods is provided below.
Fully balanced inertia forces: The reciprocating inertia forces of the crank linkage mechanism are dominated by the first-order inertia forces [12]. Theoretically, it is possible to fully balance the first-order inertia forces. No matter what method is adopted, the weight and volume of the structure are inevitably increased, making the installation more difficult, and enhancing the complexity of the structure. If the balanced mass method is adopted, multiple balanced masses need to be arranged on the mechanism. This imposes higher requirements on the strength and stability of the moving parts. If the moving parts are deformed or the kinematic pair is worn out during the operation of the mechanism, it will significantly increase the inertia force, while making maintenance difficult.
Partially balanced inertia force: While the balanced mass method cannot keep the inertia force in the horizontal and vertical directions fully balanced, the relevant parameters can be adjusted so that the inertia forces in both horizontal and vertical directions are at a lower level. At the same time, it can be combined with the method of symmetric layout to improve the balance of inertia forces [13]. The partially balanced first-order inertia force balancing mass is only mounted on the crank, and the stability of the system is relatively good. Although the gear mechanism can balance the inertia force in the horizontal direction, while internally offsetting the inertia force in the vertical direction, the balancing effect is good. However, the structure is relatively complex, and manufacturing accuracy is required. Thus, it has only been applied in some mechanisms and has not been promoted.
Combining theoretical analysis and engineering practice, the balancing of the four-star type crank linkage structure of an air compressor needs to consider the balancing effect, system stability, manufacturing cost, and maintenance feasibility. For multistage air compressors, the balancing mass method is usually used and combined with the symmetrical layout method to balance the inertia force of the crank linkage mechanism.
3. Calculation Method of Multibody Dynamics
3.1. Kinetic Equations
In the process of mechanical system simulation and analysis with ADAMS software, it is necessary to use the rectangular and Eulerian coordinate systems as the reference. The motion of the rigid body barycenter is decomposed into the translational motion of this point and the rotation around this point, which is described by 15 equations combined with 15 variables. The relevant equations can be expressed as follows [14]:
The variables are
where is the generalized momentum, T is the kinetic energy of the system, is the generalized coordinates, is the constraint matrix, is the Lagrange multiplier, is the incomplete constrained Lagrange multiplier, is the differential equation of system dynamics, denotes the rectangular coordinates of the barycenter, is the velocity of the barycenter, is the Eulerian rotation angle, and is the angular velocity around the Eulerian rotation axis.
3.2. Equation Solution
There are two methods to solve the kinetic Equation (9): the reduced-order direct solution method and the reduction to ordinary differential equation solution method. The reduced-order direct solution method uses the transformation to reduce the differential algebraic equation to a first-order differential form, thus solving the equation via direct integration. The reduction to ordinary differential equation solution method uses the constraint equation to decompose the generalized coordinates into independent and non-independent coordinates to obtain the ordinary differential equation, and then solves the ordinary differential equation [15].
In the direct solution, the backward difference equation is used. The system of Equation (9) is derived with respect to to obtain the corresponding Jacobi determinant, which is then solved using Newton’s method. The system of Equation (9) is the Index 3 algebraic–differential equation, and the integration format used is I3. When the integration step is reduced, tending to 0, the Jacobi determinant becomes pathological. Thus, the reduced-order integration method is needed to calculate it, which is more stable compared to the direct integration.
ADAMS software provides two reduced-order integration methods: the Stabilized Index One (SI1) reduced-order integration and Stabilized Index Two (SI2) reduced-order integration. SI1 replaces in the system of Equation (11), to avoid the pathology of the Jacobi determinant during the solution.
SI2 replaces the Lagrange multiplier with the two variables and to obtain the following system of equations:
After the equation is reduced to the first order, the error of the introduced parameters can be effectively controlled. The solution of the equation will also be more accurate. If calculations involving contact and friction aspects are required, the SI1 integral becomes unstable due to the lack of convergence. A comparison of the three solution methods is shown in Table 1.
Table 1.
Comparison of integration methods.
4. Balance Study of Four-Star Type Crank Linkage
Apparently, the crank linkage mechanism is just a motion mechanism combining crankshaft, linkage, and piston. However, the actual crank linkage mechanism contains many parts such as piston pins, bolts, and shafts. The crank linkage mechanism of this type of air compressor contains 113 parts. If the CAE analysis is to be performed, the structure must be simplified to some extent. In order to facilitate the dynamics analysis of the crank linkage, it was divided into nine groups of four linkages, four pistons, and one crankshaft. Each group is integrated with each other using Boolean operations. The modified model was saved in *.xt format. Then, the file was imported into ADAMS software/View, and relevant constraints and drivers were added; the piston mass was defined as 4 kg, linkage mass was defined as 5 kg, and crankshaft mass was defined as 30 kg.
The simulation process defines the crank linkage mechanism directly as a rigid body. The simulation step size is set to 0.0001. The step size influences the calculation results. If the step size is set too large, the number of sampling points will be insufficient, and the result will be distorted. If the step size is too small, the calculation time will be too long, and the computer performance will be more demanding. The crankshaft is connected to the ground by a revolution joint. The piston and the ground are connected by a moving pair. The piston and linkage, and the linkage and crankshaft are connected by revolution joints. The balance mass block is fixed to the corresponding mounting position of the crankshaft. Insufficient accuracy in adding the moving pairs can directly lead to the failure of the simulation process, especially for the direction. The view needs to be adjusted continuously to find the best position. After adding the relevant constraints, the rotational speed drive is added at the center of rotation of the crankshaft, and the ADAMS software dynamics model is obtained as shown in Figure 7. In order to prevent a speed jump during the simulation, the STEP function is applied to make the speed reach the rated speed in 0.1 s. The air compressor speed is 1480 r/min, which translates into an angular velocity of 8880°/s. The corresponding simulation condition is STEP(time, 0, 0D, 0.1, 8880D), and the simulation time is set to 0.3 s. The selection of each parameter is shown in Table 2.
Figure 7.
ADAMS software dynamics model.
Table 2.
Setting of simulation parameters.
4.1. Motion Relationship of Crank Linkage
An accurate crank linkage motion relationship is a prerequisite for dynamics simulation. After the simulation solution is completed, physical quantities such as displacement, velocity, and acceleration of the relevant objects can be viewed directly in the ADAMS software postprocessing module. It is also possible to edit the functions for calculation according to the relevant requirements. The simulation results can be viewed directly in the software in the form of curves. The data can also be exported for replotting in MATLAB software. The time domain curve of piston linkage acceleration is shown in Figure 8. According to the figure, the acceleration phases of piston one and piston three, and of piston two and piston four differ by 90°. The angular acceleration of linkages I, III, II, and IV alternates periodically with the crank rotation with 90° phase difference.
Figure 8.
Time-domain diagram of piston linkage acceleration. (a) Acceleration curve of the piston bary-center; (b) Angular acceleration curve of the linkage barycenter.
The motion law of the pistons of each stage is the same, but there are some differences in the phase. The motion of the barycenter of the piston is taken in the first stage as a reference. The time-domain and frequency-domain curves of the acceleration of the barycenter are obtained from the simulation as shown in Figure 9. In the first 0.1 s, the acceleration amplitude has a gradual increase as the rotational speed increases. After the rotational speed is stabilized, the acceleration of the barycenter is sinusoidal in the time domain. From the frequency domain, the spectrum peaks are concentrated at the first-order and second-order rotational frequencies. The first-order frequency is mainly dominated, which is consistent with the motion law of the reciprocating machine.
Figure 9.
Piston acceleration. (a) Time-domain diagram of first-stage pis-ton acceleration; (b) Frequency-domain diagram of first-stage piston acceleration.
4.2. Dynamic Balancing of Crank Linkage Mechanism
4.2.1. Design for Dynamic Balancing
When the radial dimension of the mechanism is much larger than the axial dimension, it can be approximated that the inertia forces generated by the unbalanced masses lie in one plane, e.g., shaft with gear, single turbine impeller, and wheel [16]. The balancing of such a mechanism can be performed in one plane and is called static balancing, also known as single-plane balancing. When the rotor diameter-to-width ratio D/b is <5, the unbalanced mass needs to be assigned to a different plane. The inertia forces in different planes will form moments of inertia. Examples include multicylinder diesel engine cranks, air compressor cranks, and turbine rotors. This unbalance moment is related to the rotational speed and is only visible when the mechanism is rotating. To eliminate the unbalance, the size and location of the unbalanced masses need to be specified, and the number, location, and size of the additional balanced masses need to be designed. This process is called dynamic balancing design.
As the unbalanced masses are spatially distributed, the number of added balancing masses must be more than two. In Figure 10, the eccentric masses of four planes are , , , and , and the balance masses are added in the A and B planes. From the knowledge of theoretical mechanics, the equivalent masses can be calculated:
Figure 10.
Schematic diagram of dynamic balancing.
The final stage of the dynamic balancing design is still handled by converting the unbalance to the plane where the balance mass is added, which means a return to the method of static balancing. Thus, the dynamic balancing design that meets the requirements is statically balanced. However, the static balance design does not necessarily meet the conditions of dynamic balance. The air compressor crank linkage masses are kept equal; thus, the masses of the two balanced masses are the same. If they are not equal, the two balancing masses need to be designed separately.
4.2.2. Determination of Balanced Mass
Because the first-order reciprocating moment of inertia and second-order inertia force of the air compressor selected in this paper are zero, the four-star type crank linkage balancing masses are determined mainly considering the first-order reciprocating inertia force and rotational inertia force. The balancing mass comprises the two balancing mass blocks installed near the main bearing. Let the single balance block mass be ; then, the crankshaft radial force balance can be determined as
where is the rotating imbalanced mass, is the mass of reciprocating motion, and mm is the distance from the center of gravity of the balance block to the center of rotation. Therefore, the balanced mass is
For this type of air compressor, the difference in mass of each piston and linkage is small. To facilitate the calculation, the masses of each of the four pistons and linkages are set to be the same. According to the mass conditions set by the dynamic simulation, the mass of the balance block and the combined inertia force are obtained as
The time-domain force at the crankshaft rotating pair before adding the balance mass is shown in Figure 11a. The amplitude of the combined inertia force is consistent with the theoretical calculation value of 29.2 kN in order of magnitude. The force in the X-direction and the force in the Y-direction are basically the same, differing only by 90° in phase. The force in the Z-direction is related to gravity and to the unbalance generated during the movement of the crank linkage. The combined force is the vector sum of the forces in the three directions.
Figure 11.
Force on main shaft before adding balance mass. (a) Time-domain diagram of crankshaft rotating pair force; (b) Frequency-domain diagram of the force in X direction.
The inertia force is mainly reflected in the horizontal direction, which is the combined force of the forces in the X- and Y-directions. Due to the symmetry of the four-star type crank linkage mechanism, the inertia forces are applied in the X-direction for reference in order to facilitate the subsequent optimization. The X-direction frequency-domain force before the balance block is added is shown in Figure 11b. The inertia force is mainly concentrated at the first-order frequency, and the second- and third-order inertia forces are negligible compared with the first-order inertia forces.
After adding the numerical calculation of the balanced mass, the main shaft is subjected to the force as shown in Figure 12. The force in the X-direction is not much different from that in the Y-direction. The force in the Z-direction is basically a straight line. The main reason is that the inertia force is controlled to a large extent after adding the balance mass of 5.531 kg. The moment of inertia is greatly reduced, which makes the force in the Z-direction of the crank linkage tends to be stable. From the frequency domain, the first-order inertia force in the X-direction is still the main inertia force, and the contribution of the third-order inertia force begins to manifest.
Figure 12.
Force on main shaft after adding balance mass. (a) Time-domain diagram of crankshaft rotating pair force; (b) Frequency-domain diagram of the force in X-direction.
In order to get the optimal balanced mass, with the force amplitude in the X-direction as the objective function and the mass of the balanced block as the independent variable, the relationship between the force amplitude in the X-direction and the balanced mass is obtained using the parametric design module of ADAMS software as shown in Figure 13. This method of calculating and graphing is time-consuming, but the trend of interrelationship is obvious. The OPTDES-GRG algorithm can also be used to carry out automatic optimization search to directly obtain the optimum mass of 5.826 kg, and the calculation time is greatly reduced.
Figure 13.
Relationship between force amplitude in X-direction and balanced mass.
The theoretical calculated mass is 5.531 kg, which is 5.1% different from the simulated value. Although the empirical formula is applied, the calculated value is still more accurate and has some reference value. As can be seen from Figure 14, there is also a certain moment of inertia that cannot be balanced. The force in the X-direction after adding the balanced mass is shown in Figure 15. The first-order inertia force in the X-direction is reduced from 15,320 N to 26 N before balancing. The second-order inertia force is basically negligible. Currently, the third-order inertia force is larger than the first-order inertia force, which becomes the dominant factor influencing the dynamic balance.
Figure 14.
Moment of inertia in horizontal direction.
Figure 15.
Main shaft bearing force after ADAMS software optimization of balanced mass. (a) Time-domain diagram of crankshaft rotating pair force; (b) Frequency-domain diagram of the force in X direction.
4.3. The Effect of Mass Asymmetry on the Force of Crankshaft Rotating Pair
The actual crank linkage mechanism contains many components. For example, the piston group includes components such as the piston body, piston pin, needle bearing, and piston ring. The linkage set includes components such as the linkage body, plain bearings, and linkage bolts. The entire air compressor contains several thousand parts. In the process of crank linkage processing and production, for each piston and linkage group, it is difficult to ensure that the quality of each related component is exactly equal due to the differences in shape, volume, and material, while trying to control the quality of the related components. The piston head diameter of the first stage piston is larger, and the corresponding piston volume is relatively larger. Therefore, the piston material is cast aluminum ZL108 to lighten the piston. The other pistons are made of cast iron. The mass of the first-stage piston is changed. The inertia is modified in proportion to the mass corresponding to the moment of inertia, and the mass and moment of inertia parts are shown in Table 3.
Table 3.
Parameters of the first stage piston.
Since the piston only moves along the X-axis, the force change in the Y-direction of the crankshaft rotation pair is not significant, and only the force change in the X-direction is compared here. The other parameters are kept constant during the simulation. The mass of the first-stage piston is taken from 3.8 kg to 4.2 kg, and a point is taken every 0.1 kg to obtain the relationship between the force amplitude in the X-direction and the mass of the first-stage piston as shown in Figure 16. When the mass of the first stage piston is 4 kg, the mass of each piston remains equal, and the force on the crankshaft rotating pair is relatively small. A small or large piston mass will disrupt the original balance and increase the force on the crankshaft rotating pair. From the approximate slope of the graph, the effect on the force on the rotating pair will be greater if the mass is higher than that of the lower mass. The time-domain and frequency-domain curves of the X-directional force on the crankshaft rotating pair are shown in Figure 17. According to the time-domain curve, the change in mass has no effect on the shape of the curve. However, it will cause a small shift in the moment when the force amplitude appears. From the frequency-domain curve, the mass change mainly affects the first-order inertia force, while it will excite the second-order inertia force and has almost no effect on the third-order inertia force. The actual four-star type crank linkage mass will always have some deviation. Thus, the second-order inertia force exists objectively, but can be neglected.
Figure 16.
Variation of force amplitude in X-direction with mass of first-stage piston.
Figure 17.
X-directional forces on the crankshaft rotating pair. (a) Time-domain diagram of crankshaft rotating pair force; (b) Frequency-domain diagram of the force in X-direction.
5. Two New Types of Crank Linkage Structure Forms
5.1. Optimization of Inertia Forces
The original four-star type air compressor adopts a single-turn crankshaft structure. This can make the structure more compact, while the crankshaft strength can be guaranteed. The shortcoming is that the structure is not completely symmetrical, and there is still a large inertia force during the movement of the crank linkage, which needs to be balanced by adding balance weights. For a multistage air compressor, the arrangement of crank linkage can be adjusted to achieve the effect of full balance. The 6M50 type reciprocating air compressor structure form is shown in Figure 18. Inspired by this structure, the inertia force balancing structure of the four-star type air compressor is shown in Figure 19. By arranging four crank pins and arranging the pistons opposite to each other, the inertia force can be balanced without adding balance blocks in theory.
Figure 18.
The 6M50 type reciprocating air compressor structure form.
Figure 19.
Balanced structure of inertial forces. (a) Original program, (b) Improvement program.
The scheme in Figure 19a does not change the compactness of the original four-star type structure while balancing the inertia forces well and is theoretically feasible. However, the structure puts high demands on the crankshaft strength. The part between two adjacent crank rows during the operation of the air compressor is subjected to large stresses, which can easily deform or even destroy the crankshaft. If the crankshaft strength can be ensured, this solution is better than the original four-star type crank linkage structure. The scheme in Figure 19b is feasible to add a bearing in the middle part of the crankshaft, which can alleviate the harsh working environment of the crankshaft. The disadvantage is that this structure will significantly increase the length of the crankshaft, resulting in an increase in the size of the air compressor. If the space requirement is not strict, this structure form can be used.
The ideal type crankshaft is built according to the scheme in Figure 20a. After assembling the linkage and piston for dynamics simulation, the dynamics model is obtained as shown in Figure 20b. The piston acceleration curves are shown in Figure 20c. The accelerations of the opposed pistons are equal in magnitude and opposite in direction; thus, the inertia forces can be fully balanced. The forces on the crankshaft rotating pair are shown in Figure 20d. In terms of order of magnitude, the force in the horizontal direction is negligible. The small fluctuations appear mainly due to the small errors in the definition constraints.
Figure 20.
Structural dynamics simulation of inertial force balance. (a) Ideal crankshaft, (b) Dynamics model, (c) Time-domain acceleration of the piston barycenter, (d) The force on the crankshaft rotating pair.
5.2. Comparison of Dynamic Characteristics in Different Working Conditions
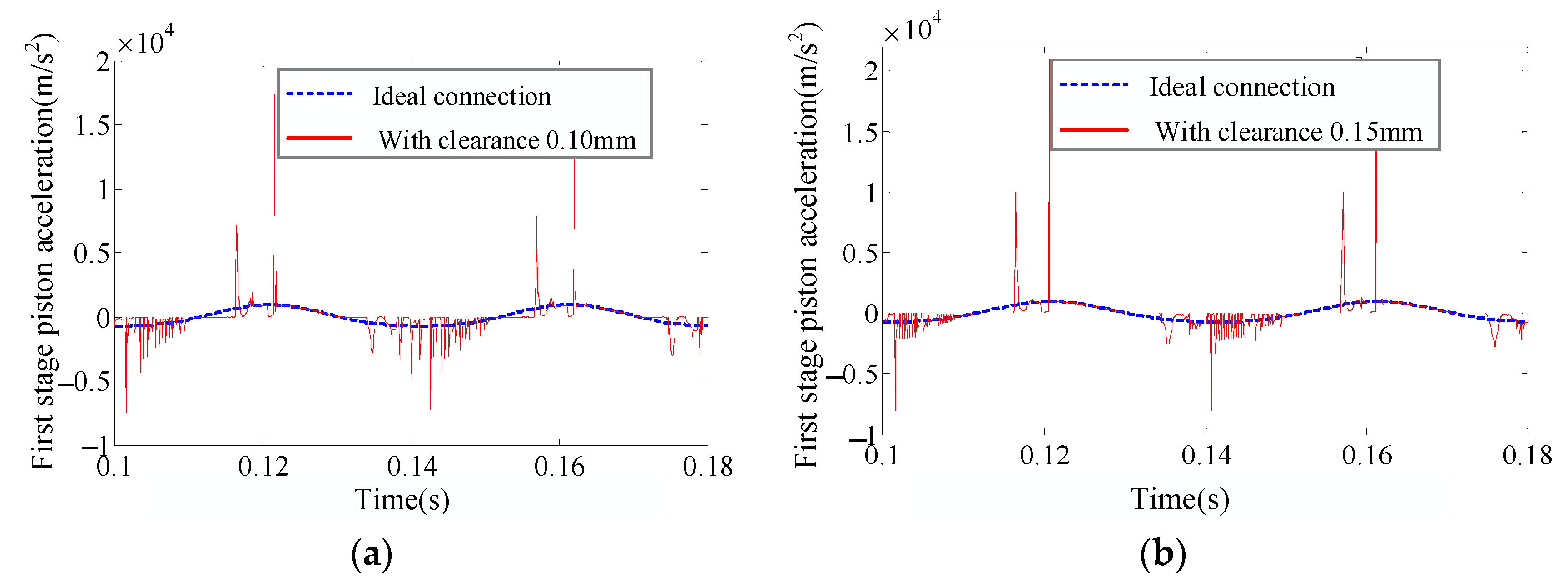
The rated speed of this type of air compressor is 1480 r/min. According to the relevant technical requirements of the submarine air compressor, the wear clearance of the kinematic pair generally does not exceed 0.1 mm, and the installation clearance of the crankshaft and linkage is 0.1 mm. Therefore, the values of 0.10 mm and 0.15 mm are taken as the crankshaft, linkage, and kinematic pair clearances for simulation calculation. The modified contact collision force model is embedded into the contact definition of the crankshaft and linkage revolving pair. To control other variables, only the clearance between the first-stage linkage and the crankshaft is considered, and the other kinematic pairs are defined as ideal connections. Below, 0.1 mm clearance is taken as an example. The corresponding dynamics model can be established by expanding the radius of the big end of the first-stage linkage by 0.1 mm and reassembling the four-star type crank linkage structure. The time-domain diagrams of acceleration of the first stage piston with different clearances are shown in Figure 21. The sudden change in acceleration peak is triggered at the upper and lower stops of the piston motion. A larger clearance results in a higher acceleration amplitude and a lower number of contact collisions.
Figure 21.
Comparison of dynamic characteristics of different clearance sizes. (a) Time-domain diagram of 0.10 mm clearance, (b) Time-domain diagram of 0.15 mm clearance.
The clearance value is 0.1 mm and the speed conditions are set to 740 r/min and 1480 r/min. The time-domain accelerations at different rotational speeds are shown in Figure 22. A higher rotational speed results in a higher frequency of contact collision. It shows high-frequency oscillation and the corresponding acceleration amplitude is larger. Since the time-domain acceleration is not symmetrical about the horizontal line with vertical coordinate 0, the positive acceleration is slightly higher than the negative acceleration. Thus, the peak positive acceleration is higher than the negative one, but the number of collisions is smaller than the negative one.
Figure 22.
Comparison of dynamic characteristics at different rotational speeds.
5.3. Optimization of the Moment of Inertia
Currently, common multistage compression each column of linkage is arranged side by side in space. If the crank linkage structure form remains unchanged, the shorter the axial distance between the rows of linkages, the smaller the force arm formed, and the smaller the corresponding moment. There exists a situation where the axial distance of each column of linkage is 0, which means that each column of linkage is in the same plane, when the crank linkage moment of inertia is theoretically 0. The corresponding three-star type structure is shown in Figure 23. This type of air compressor is a three-stage compression, with one main linkage driving two sub-linkages, and the barycenter of pistons at all levels is in one plane.
Figure 23.
Model of three-star type crank linkage structure.
The four-star type structure follows the design idea of the three-star type, using one main linkage, driving three secondary linkages, such that the linkage piston moves in the same plane. The linkage pistons are assembled to get the four-star type crank linkage structure as shown in Figure 24. The dynamics model is built according to the previous modeling method. The model passed the calibration, indicating that the structure meets the requirements in terms of geometric kinematics. The crank radius and the associated piston linkage assembly were kept constant during the simulation. Only the first-stage main linkage was modified, and the simulation results of the moment balance structure were obtained as shown in Figure 25. The acceleration shapes of the pistons of each stage appear different. The acceleration amplitude of piston two is significantly higher than the other three pistons. Comparing Figure 11a and Figure 25b, the force amplitude of the crankshaft rotation pair is about 1.5 times of the original model, which puts higher requirements on the strength of the crankshaft and bearings.

Figure 24.
Structure model of four-star type crank linkage.
Figure 25.
Simulation results of moment balance structure dynamics.
6. Conclusions
Unbalanced inertia force is one of the main excitation sources of air compressor vibration, which is the key point to manage air compressor vibration. In this paper, using the partial balance of inertia force, the balanced mass of four-star type crank linkage is optimally designed using the ADAMS software multibody dynamics calculation method, which analyzes the effect of piston mass asymmetry on the crankshaft force. Two new crank linkage structures are proposed. The main conclusions are summarized as follows:
- (1)
- Fully balanced inertia force is better than partially balanced inertia force in terms of a balancing effect. However, it will greatly increase the complexity of the crank linkage. In engineering practice, the stable and reliable partial balancing method of inertia force, with a simple structure and low cost, is more widely used.
- (2)
- The parametric design of ADAMS software is more efficient and can get the best quality quickly. After the balance quality optimization, the first-order inertia force is effectively balanced, and the third-order inertia force becomes the main influencing factor of the dynamic balance of the four-star type crank linkage. However, the actual air compressor crank linkage mechanism will also be influenced by friction, misalignment, clearance, and other factors.
- (3)
- Piston masses larger or smaller than symmetrical masses will increase the crankshaft forces, and the effect of larger than symmetrical masses is more pronounced. The asymmetric piston mass mainly affects the first-order inertia force, while it will excite the second-order inertia force. It has almost no effect on the third-order inertia force.
Author Contributions
Software, K.C.; validation, K.C. and J.H.; writing—original draft preparation, K.C.; writing—review and editing, J.L.; visualization, J.L.; funding acquisition, K.C. All authors have read and agreed to the published version of the manuscript.
Funding
This research was funded by National Natural Science Foundation of China grant number [52201389] and the Natural Science Foundation of Hubei Province was funded by [2020CFB148].
Data Availability Statement
Not applicable.
Conflicts of Interest
The authors declare no conflict of interest.
References
- Pradhan, D.; Ganguly, K.; Swain, B.; Roy, H. Optimal kinematic synthesis of 6 bar rack and pinion Ackerman steering linkage. J. Automob. Eng. 2021, 235, 1660–1669. [Google Scholar] [CrossRef]
- Hyeong, J.; Jongryun, R.; Choi, C. Design of an efficient swing mechanism for electric swing beds. Trans. Korean Soc. Mech. Eng. A 2022, 46, 923–930. [Google Scholar] [CrossRef]
- Kim, S.H.; Cho, C. Transformation of static balancer from truss to linkage. J. Mech. Sci. Technol. 2016, 30, 2093–2104. [Google Scholar] [CrossRef]
- Berkof, R.S.; Lowen, G.G. A new method for completely force balancing simple linkages. J. Eng. Ind. 1969, 91, 21–26. [Google Scholar] [CrossRef]
- Bagci, C. Complete shaking force shaking moment balancing of link mechanisms using balancing idler loops. J. Adv. Mech. Des. Syst. 1982, 104, 482–493. [Google Scholar] [CrossRef]
- Arakelian, V.; Briot, S. Simultaneous inertia force/moment balancing and torque compensation of slider-crank mechanisms. Mech. Res. Commun. 2010, 37, 265–269. [Google Scholar] [CrossRef]
- Lee, T.W.; Cheng, C. Optimum balancing of combined shaking force, shaking moment, and torque fluctuation in high-speed linkages. J. Mech. Transm. Autom. Des. 1984, 106, 242–251. [Google Scholar] [CrossRef]
- Kochev, I.S. General method for active balancing of combined shanking moment and torque fluctuation in planar linkages. Mech. Mach. Theory 1998, 25, 679–687. [Google Scholar] [CrossRef]
- Zhou, S.; Shi, J. Optimal one-plane active balancing of rigid tutor during acceleration. J. Sound Vib. 2002, 249, 196–205. [Google Scholar] [CrossRef]
- Zheng, E.; Zhu, R.; Zhu, S.; Lu, X. A study on dynamics of flexible multi-link mechanism including joints with clearance and lubrication for ultra-precision presses. Nonlinear Dyn. 2016, 83, 137–159. [Google Scholar] [CrossRef]
- Zhao, J.S.; Wei, S.T.; Ji, J.J. Kinematics of a planar slider-crank linkage in screw form. J. Mech. Eng. Sci. 2021, 236, 1588–1597. [Google Scholar] [CrossRef]
- Yoon, D.; Choi, Y.J. Underactuated Finger Mechanism Using Contractible Slider-Cranks and Stackable Four-Bar Linkages. IEEE-ASME Trans. Mechatron. 2017, 22, 2046–2057. [Google Scholar] [CrossRef]
- Reza, A.; Moslehi, M. Optimal synthesis of an adjustable six-bar path generator mechanism using a cuckoo optimization algorithm. J. Mech. Mater. Struct. 2022, 17, 149–167. [Google Scholar] [CrossRef]
- Chen, L.P.; Zhang, Y.Q. Mechanical System Dynamics Analysis and ADAMS Application Course; Tsinghua University Press: Beijing, China, 2005; Volume I, pp. 21–74. [Google Scholar]
- Albaghdadi, A.M.; Baharom, M.B.; Sulaiman, S.A. Tri-planar balancing optimization of a double crank-rocker mechanism for shaking forces and shaking moments reduction. Proc. Est. Acad. Sci. 2021, 70, 286–296. [Google Scholar] [CrossRef]
- Zheng, E.; Wang, T.; Guo, J.; Zhu, Y.; Lin, X.; Wang, Y.; Kang, M. Dynamic modeling and error analysis of planar flexible multilink mechanism with clearance and spindle-bearing structure. Mech. Mach. Theory 2019, 131, 234–260. [Google Scholar] [CrossRef]
Disclaimer/Publisher’s Note: The statements, opinions and data contained in all publications are solely those of the individual author(s) and contributor(s) and not of MDPI and/or the editor(s). MDPI and/or the editor(s) disclaim responsibility for any injury to people or property resulting from any ideas, methods, instructions or products referred to in the content. |
© 2023 by the authors. Licensee MDPI, Basel, Switzerland. This article is an open access article distributed under the terms and conditions of the Creative Commons Attribution (CC BY) license (https://creativecommons.org/licenses/by/4.0/).

























