Analysis of Dynamic Mesh Stiffness and Dynamic Response of Helical Gear Based on Sparse Polynomial Chaos Expansion
Abstract
1. Introduction
2. Sparse polynomial Chaos Expansion (SPCE)
3. Calculation of Mesh Stiffness
3.1. Loaded Tooth Contact Analysis
3.2. Influencing Factors
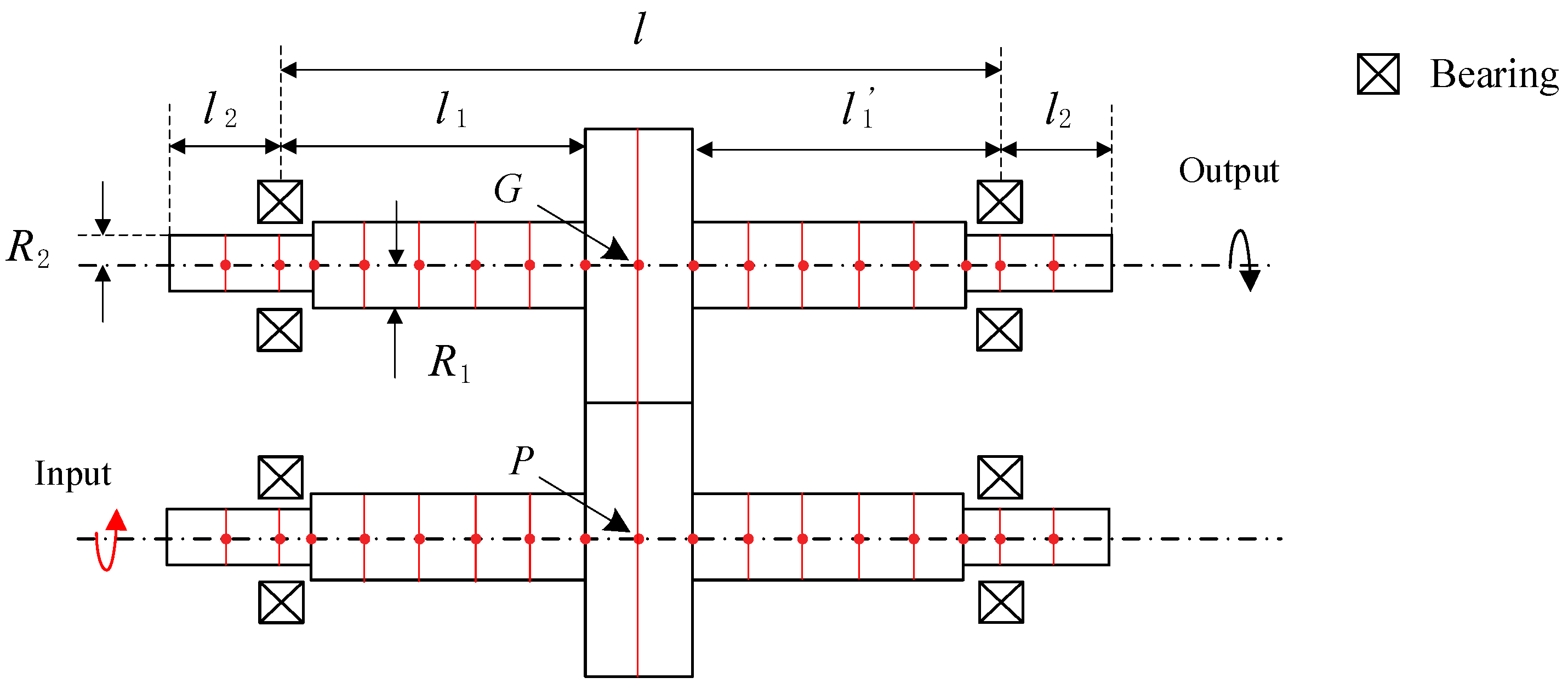
4. Dynamic Model
5. Numerical Examples
6. Conclusions
- (1)
- The SPCE model proposed in this paper has high accuracy and efficiency. It can accurately reflect the influence of mesh force, angular misalignment, and center distance on mesh stiffness. Moreover, the proposed sparsification method can effectively reduce the number of coefficients without affecting the accuracy of the model.
- (2)
- Compared with the dynamic model with static mesh stiffness, the proposed method resulted in lower mesh stiffness and a larger transmission error, and the system became more susceptible as it became more flexible. Additionally, the proposed method also led to a significant difference in the system response. In the cases analyzed in this paper, the 5th and 6th mesh frequency components were significantly reduced when considering the changes in the engagement force, center distance, and angular misalignment during the calculation, while the 1st, 2nd, 3rd, and 4th mesh frequency components also exhibited significant changes, albeit to a much lesser degree.
- (3)
- An increase in mesh force leads to an increase in mesh stiffness and greater system deformation, which leads to a decrease in mesh stiffness. The interaction between these factors makes the dynamic mesh stiffness not always increase or decrease with the increase in torque. For a gear system with greater rigidity, the mesh stiffness may increase slightly with the increase in torque at some moments, while for a gear system with greater flexibility, the mesh stiffness will decrease with the increase in torque.
Author Contributions
Funding
Data Availability Statement
Conflicts of Interest
Nomenclature
| As | Sectional area |
| Coefficient vector | |
| a | Polynomial coefficients |
| a0 | Initial center distance |
| Δa | Increment of center distance |
| bi | Coordinates along the tooth width |
| C | Damping matrix |
| cm | Mesh damping |
| E | Clearance distribution vector |
| ei | Mesh clearance |
| F | Load distribution vector |
| fd | Dynamic mesh force |
| Hn (x) | Hermite polynomial of order n |
| I | Cross-sectional moment of inertia |
| In | Orthogonal polynomial of order n |
| J | Torsional moment of inertia |
| K | Stiffness matrix |
| Km | Stiffness matrix of mesh model |
| km | Mesh stiffness |
| kdm | Dynamic mesh stiffness |
| Ln (x) | Legendre polynomial of order n |
| Li | Face width |
| l | Element length |
| M | Mass matrix |
| M | Number of polynomial factors |
| P | Number of polynomial coefficients |
| p | Maximum polynomial order |
| q | Qubit code |
| q | Coordinate of the helical gear pair |
| r | Base radius |
| vm | Projection vector along the mesh line |
| z | Tooth number |
| Greek symbols | |
| α | Working pressure angle |
| αa | Addendum pressure angle |
| αc | Damping coefficient |
| β | Helix angle |
| βc | Damping coefficients |
| εt | Transverse contact ratio |
| θ | Misalignment angle on the plane of action |
| θq | Rotation angle of quantum rotation gate |
| λb | Global compliance matrix |
| λc | Contact compliance matrix |
| φ | Shear influence coefficient |
| ϕ | Angle between the action panel and the x-axis |
| Ψ | Polynomials matrix |
| Ψ | Angle between the action panel and the y-axis |
| (α, β) | Probability amplitudes of spin-down and spin-up states |
| ω | Random variable |
| Specific symbols | |
| Spin-down state | |
| Spin-up state | |
| Abbreviations | |
| DTE | Dynamic transfer error |
| EHL | Elastohydrodynamic lubrication |
| FE | Finite element |
| LTCA | Loaded tooth contact analysis |
| nlste | Non-loaded static transmission error |
| PCE | Polynomial chaos expansion |
| R2 | Determination coefficient, R-squared |
| RMSE | Root-mean-square error |
| SPCE | Sparse polynomial chaos expansion |
| ste | Static transmission error |
| TVMS | Time-varying mesh stiffness |
References
- Yang, D.C.H.; Lin, J.Y. Hertzian damping, tooth friction and bending elasticity in gear impact dynamics. J. Mech. Des. 1987, 109, 189–196. [Google Scholar] [CrossRef]
- Tian, X. Dynamic Simulation for System Response of Gearbox Including Localized Gear Faults; University of Alberta: Edmonton, AB, Canada, 2004. [Google Scholar]
- Sainsot, P.; Velex, P.; Duverger, O. Contribution of gear body to tooth deflections-a new bidimensional analytical formula. J. Mech. Des. 2004, 126, 748–752. [Google Scholar] [CrossRef]
- Chen, Z.; Shao, Y. Mesh stiffness calculation of a spur gear pair with tooth profile modification and tooth root crack. Mech. Mach. Theory 2013, 62, 63–74. [Google Scholar] [CrossRef]
- Liang, X.H.; Zuo, M.J.; Patel, T.H. Evaluating time-varying mesh stiffness of a planetary gear set using potential energy method. Proc. Inst. Mech. Eng. Part C J. Mech. Eng. Sci. 2014, 228, 535–547. [Google Scholar] [CrossRef]
- Ma, H.; Pang, X.; Feng, R.; Song, R.; Wen, B. Fault features analysis of cracked gear considering the effects of the extended tooth contact. Eng. Fail. Anal. 2015, 48, 105–120. [Google Scholar] [CrossRef]
- Smith, J.D. Estimation of the static load distribution factor for helical gears. Proc. Inst. Mech. Eng. Part C J. Mech. Eng. Sci. 1995, 209, 193–199. [Google Scholar] [CrossRef]
- Zhang, J.J.; Esat, I.I.; Shi, Y.H. Load analysis with varying mesh stiffness. Comput. Struct. 1999, 70, 273–280. [Google Scholar] [CrossRef]
- Pedrero, J.I.; Pleguezuelos, M.; Munoz, M. Contact stress calculation of undercut spur and helical gear teeth. Mech. Mach. Theory 2011, 46, 1633–1646. [Google Scholar] [CrossRef]
- Tang, X.; Zou, L.; Yang, W.; Huang, Y.; Wang, H. Novel mathematical modelling methods of comprehensive mesh stiffness for spur and helical gears. Appl. Math. Model. 2018, 64, 524–540. [Google Scholar] [CrossRef]
- Yu, W.; Mechefske, C.K. A new model for the single mesh stiffness calculation of helical gears using the slicing principle. Iran. J. Sci. Technol. Trans. Mech. Eng. 2019, 43, 503–515. [Google Scholar] [CrossRef]
- Jordan, J.M.; Blockmans, B.; Desmet, W. A linear formulation for misaligned helical gear contact analysis using analytical contact stiffnesses. Mech. Mach. Theory 2023, 187, 105373. [Google Scholar] [CrossRef]
- Wang, Q.; Xu, K.; Huai, T.; Ma, H.; Wang, K. A mesh stiffness method using slice coupling for spur gear pairs with misalignment and lead crown relief. Appl. Math. Model. 2021, 90, 845–861. [Google Scholar] [CrossRef]
- Wright, S. Face Gear Contact Analysis Program Development Using The Thin Slice Method; The Ohio State University: Columbus, OH, USA, 2001. [Google Scholar]
- Wang, Q.; Zhao, B.; Fu, Y.; Kong, X.; Ma, H. An improved time-varying mesh stiffness model for helical gear pairs considering axial mesh force component. Mech. Syst. Signal Process. 2018, 106, 413–429. [Google Scholar] [CrossRef]
- Hou, S.; Wei, J.; Zhang, A.; Zhang, C.; Yan, J.; Wang, C. A novel comprehensive method for modeling and analysis of mesh stiffness of helical gear. Appl. Sci. 2020, 10, 6695. [Google Scholar] [CrossRef]
- Han, L.; Qi, H. Influences of tooth spalling or local breakage on time-varying mesh stiffness of helical gears. Eng. Fail. Anal. 2017, 79, 75–88. [Google Scholar] [CrossRef]
- Feng, M.; Ma, H.; Li, Z.; Wang, Q.; Wen, B. An improved analytical method for calculating time-varying mesh stiffness of helical gears. Meccanica 2018, 53, 1131–1145. [Google Scholar] [CrossRef]
- Huangfu, Y.; Chen, K.; Ma, H.; Che, L.; Li, Z.; Wen, B. Deformation and meshing stiffness analysis of cracked helical gear pairs. Eng. Fail. Anal. 2018, 95, 30–46. [Google Scholar] [CrossRef]
- Peng, Y.; Zhao, N.; Qiu, P.; Zhang, M.; Li, W.; Zhou, R. An efficient model of load distribution for helical gears with modification and misalignment. Mech. Mach. Theory 2018, 121, 151–168. [Google Scholar] [CrossRef]
- Jiang, H.; Liu, F. Mesh stiffness modelling and dynamic simulation of helical gears with tooth crack propagation. Meccanica 2020, 55, 1215–1236. [Google Scholar] [CrossRef]
- Chung, W.-J.; Park, J.-H.; Yoo, H.-G.; Park, Y.-J.; Kim, S.-C.; Sohn, J.; Lee, G.-H. Improved analytical model for calculating mesh stiffness and transmission error of helical gears considering trochoidal root profile. Mech. Mach. Theory 2021, 163, 104386. [Google Scholar] [CrossRef]
- He, Z.Y.; Tang, W.Y.; Sun, S.Z. A Model for analysis of time-varying mesh stiffness of helical gears with misalignment errors. Trans. FAMENA 2021, 45, 59–73. [Google Scholar] [CrossRef]
- Yang, J.; Lin, T.; He, Z.; Chen, M. Novel calculation method for dynamic excitation of modified double-helical gear transmission. Mech. Mach. Theory 2022, 167, 104467. [Google Scholar] [CrossRef]
- Liu, C.; Shi, W.; Liu, K. Calculation method of mesh stiffness for helical gear pair with manufacturing errors, assembly errors and tooth modifications. Meccanica 2022, 57, 541–565. [Google Scholar] [CrossRef]
- Zhou, C.; Xiao, Z.; Chen, S.; Han, X. Normal and tangential oil film stiffness of modified spur gear with non-Newtonian elastohydrodynamic lubrication. Tribol. Int. 2017, 109, 319–327. [Google Scholar] [CrossRef]
- Zhou, C.; Xiao, Z. Stiffness and damping models for the oil film in line contact elastohydrodynamic lubrication and applications in the gear drive. Appl. Math. Model. 2018, 61, 634–649. [Google Scholar] [CrossRef]
- Zhou, C.; Xing, M.; Hu, B. A mesh stiffness model with the asperity contact for spur gear in mixed elastohydrodynamic lubrication. J. Braz. Soc. Mech. Sci. Eng. 2022, 44, 466. [Google Scholar] [CrossRef]
- Wang, S.Y.; Zhu, R.P. An improved mesh stiffness model of helical gear pair considering axial mesh force and friction force influenced by surface roughness under EHL condition. Appl. Math. Model. 2022, 102, 453–471. [Google Scholar] [CrossRef]
- Yang, H.; Shi, W.; Chen, Z. An improved analytical method for mesh stiffness calculation of helical gear pair considering time-varying backlash. Mech. Syst. Signal Process. 2022, 170, 108882. [Google Scholar] [CrossRef]
- Mo, S.; Li, Y.; Wang, D.; Hu, X.; Bao, H.; Cen, G.; Huang, Y. An analytical method for the meshing characteristics of asymmetric helical gears with tooth modifications. Mech. Mach. Theory 2023, 185, 105321. [Google Scholar] [CrossRef]
- Wei, J.; Sun, W.; Wang, L. Effects of flank deviation on load distributions for helical gear. J. Mech. Sci. Technol. 2011, 25, 1781–1789. [Google Scholar] [CrossRef]
- Barbieri, M.; Zippo, A.; Pellicano, F. Adaptive grid-size finite element modeling of helical gear pairs. Mech. Mach. Theory 2014, 82, 17–32. [Google Scholar] [CrossRef]
- Liu, Y.; Zhao, Y.; Liu, M.; Sun, X. Parameterized high-precision finite element modelling method of 3d helical gears with contact zone refinement. Shock Vib. 2019, 2019, 5809164. [Google Scholar] [CrossRef]
- Song, X.; Howard, I. Dynamic modelling of flexibly supported gears using iterative convergence of tooth mesh stiffness. Mech. Syst. Signal Process. 2016, 80, 460–481. [Google Scholar]
- Cooley, C.G.; Liu, C.; Dai, X.; Parker, R.G. Gear tooth mesh stiffness: A comparison of calculation approaches. Mech. Mach. Theory 2016, 105, 540–553. [Google Scholar] [CrossRef]
- Zhang, C.; Dong, H.; Zhang, C.; Wang, D.; Yu, S. A node-to-surface linear complementarity problem approach for general three-dimensional contact analysis. Meccanica 2021, 56, 3079–3096. [Google Scholar] [CrossRef]
- Chang, L.; Liu, G.; Wu, L.Y. A robust model for determining the mesh stiffness of cylindrical gears. Mech. Mach. Theory 2015, 87, 93–114. [Google Scholar] [CrossRef]
- Chang, L.; Cao, X.; He, Z.; Liu, G. Load-related dynamic behaviors of a helical gear pair with tooth flank errors. J. Mech. Sci. Technol. 2018, 32, 1473–1487. [Google Scholar] [CrossRef]
- Jia, C.; Fang, Z. Design and analysis of double-crowned high-contact-ratio cylindrical gears considering the load sharing of the multi-pair contact. Mech. Mach. Theory 2019, 131, 92–114. [Google Scholar] [CrossRef]
- Zhao, Z.; Han, H.; Wang, P.; Ma, H.; Zhang, S.; Yang, Y. An improved model for meshing characteristics analysis of spur gears considering fractal surface contact and friction. Mech. Mach. Theory 2021, 158, 104219. [Google Scholar] [CrossRef]
- Wang, Q.; Li, Z.; Ma, H.; Wen, B. Effects of different coupling models of a helical gear system on vibration characteristics. J. Mech. Sci. Technol. 2017, 31, 2143–2154. [Google Scholar] [CrossRef]
- Yuan, B.; Chang, S.; Liu, G.; Wu, L.Y. Quasi-Static and Dynamic Behaviors of Helical Gear System with Manufacturing Errors. Chin. J. Mech. Eng. 2018, 31, 30. [Google Scholar] [CrossRef]
- Han, L.; Qi, H.J. Dynamic response analysis of helical gear pair considering the interaction between friction and mesh stiffness. Meccanica 2019, 54, 2325–2337. [Google Scholar] [CrossRef]
- Xiang, D.; Shen, Y.H.; Wei, Y.Z. A contact force model considering meshing and collision states for dynamic analysis in helical gear system. Chin. J. Mech. Eng. 2019, 32, 41. [Google Scholar] [CrossRef]
- Al-Tayari, A.M.Y.; Chen, S.; Sun, Z. A coupled torsional-transition nonlinear vibration and dynamic model of a two-stage helical gearbox reducer for electric vehicles. Shock Vib. 2020, 10, 8838521. [Google Scholar] [CrossRef]
- Zhang, Q.; Wang, Y.; Lin, W.; Wu, X.; Luo, Y. Dynamic performance of gear transmission system and modification optimization of electric vehicle gearbox. J. Coast. Res. 2020, 103, 366–372. [Google Scholar] [CrossRef]
- Kumar, V.; Kumar, A.; Kumar, S.; Sarangi, S. TVMS calculation and dynamic analysis of carburized spur gear pair. Mech. Syst. Signal Process. 2021, 166, 108436. [Google Scholar] [CrossRef]
- Yuan, B.; Chang, L.; Liu, G.; Chang, S.; Liu, L.; Shen, Y. An efficient three-dimensional dynamic contact model for cylindrical gear pairs with distributed tooth flank errors. Mech. Mach. Theory 2020, 152, 103930. [Google Scholar] [CrossRef]
- Wang, P.; Xu, H.; Ma, H.; Han, H.; Yang, Y. Effects of three types of bearing misalignments on dynamic characteristics of planetary gear set-rotor system. Mech. Syst. Signal Process. 2022, 169, 108736. [Google Scholar] [CrossRef]
- Lundvall, O.; Strömberg, N.; Klarbring, A. A flexible multi-body approach for frictional contact in spur gears. J. Sound Vib. 2004, 278, 479–499. [Google Scholar] [CrossRef]
- Ooi, J.B.; Wang, X.; Tan, C.; Ho, J.-H.; Lim, Y.P. Modal and stress analysis of gear train design in portal axle using finite element modeling and simulation. J. Mech. Sci. Technol. 2012, 26, 575–589. [Google Scholar] [CrossRef]
- Wu, Y.J.; Wang, J.J.; Han, Q.K. Contact finite element method for dynamic meshing characteristics analysis of continuous engaged gear drives. J. Mech. Sci. Technol. 2012, 26, 1671–1685. [Google Scholar] [CrossRef]
- Tamarozzi, T.; Ziegler, P.; Eberhard, P.; Desmet, W. Static modes switching in gear contact simulation. Mech. Mach. Theory 2013, 63, 89–106. [Google Scholar] [CrossRef]
- Liu, J.-W.; Shu, X.-B.; Mikkola, A.; Ren, G.-X. An efficient multibody dynamic model of three-dimensional meshing contacts in helical gear-shaft system and its solution. Mech. Mach. Theory 2019, 142, 103607. [Google Scholar] [CrossRef]
- Tian, H.; Han, H.; Zhao, Z.; Han, C.; Ma, H. Wear prediction and meshing characteristics for the planetary gear set considering angular misalignment and rotating carrier. Eng. Fail. Anal. 2022, 140, 106583. [Google Scholar] [CrossRef]














| Parameter | Pinion | Gear |
|---|---|---|
| Module (mm) | 4 | 4 |
| Pressure angle (°) | 20 | 20 |
| Helical angle (°) | 10 | 10 |
| Tooth number | 40 | 40 |
| Root circle radius (mm) | 76.2 | 76.2 |
| Addendum circle radius (mm) | 85.2 | 85.2 |
| Face width (mm) | 30 | 30 |
| l (mm) | l2 (mm) | R1 (mm) | R2 (mm) | |
|---|---|---|---|---|
| Case 1 | 250 | 70 | 22 | 18 |
| Case 2 | 300 | |||
| Case 3 | 350 | |||
| Case 4 | 400 |
| Parameter | Parameter | ||
|---|---|---|---|
| Mesh force (kN) | [2, 15] | Misalignment angle (rad) | [0, 2 × 10−5] |
| Center distance (mm) | [−0.1, 0.1] |
Disclaimer/Publisher’s Note: The statements, opinions and data contained in all publications are solely those of the individual author(s) and contributor(s) and not of MDPI and/or the editor(s). MDPI and/or the editor(s) disclaim responsibility for any injury to people or property resulting from any ideas, methods, instructions or products referred to in the content. |
© 2023 by the authors. Licensee MDPI, Basel, Switzerland. This article is an open access article distributed under the terms and conditions of the Creative Commons Attribution (CC BY) license (https://creativecommons.org/licenses/by/4.0/).
Share and Cite
Tian, H.; Huang, W.; Liu, Z.; Ma, H. Analysis of Dynamic Mesh Stiffness and Dynamic Response of Helical Gear Based on Sparse Polynomial Chaos Expansion. Machines 2023, 11, 736. https://doi.org/10.3390/machines11070736
Tian H, Huang W, Liu Z, Ma H. Analysis of Dynamic Mesh Stiffness and Dynamic Response of Helical Gear Based on Sparse Polynomial Chaos Expansion. Machines. 2023; 11(7):736. https://doi.org/10.3390/machines11070736
Chicago/Turabian StyleTian, Hongxu, Wenkang Huang, Zimeng Liu, and Hui Ma. 2023. "Analysis of Dynamic Mesh Stiffness and Dynamic Response of Helical Gear Based on Sparse Polynomial Chaos Expansion" Machines 11, no. 7: 736. https://doi.org/10.3390/machines11070736
APA StyleTian, H., Huang, W., Liu, Z., & Ma, H. (2023). Analysis of Dynamic Mesh Stiffness and Dynamic Response of Helical Gear Based on Sparse Polynomial Chaos Expansion. Machines, 11(7), 736. https://doi.org/10.3390/machines11070736
