Open-Loop Simulation of Active Vibration Control of Electrically Controlled Rotor
Abstract
:1. Introduction
2. Aeroelastic Model of the ECR
2.1. Dynamic Modeling of the Blade
2.2. Aerodynamic Modeling of the Blade
2.3. Aeroelastic Equation of ECR
2.4. Higher-Order Harmonic Flap Control Variables
3. Results and Analysis
3.1. Example ECR and Calculation Condition
3.2. Effect of Higher-Order Harmonic Flap Control on the Vibration Load of ECR
3.2.1. Amplitude Sweep of Higher-Order Harmonic Flap Control
3.2.2. Phase Sweep of Higher-Order Harmonic Flap Control
3.3. Effect of Higher-Order Harmonic Flap Control on the Main Control of ECR
3.3.1. Amplitude Sweep of Higher-Order Harmonic Flap Control
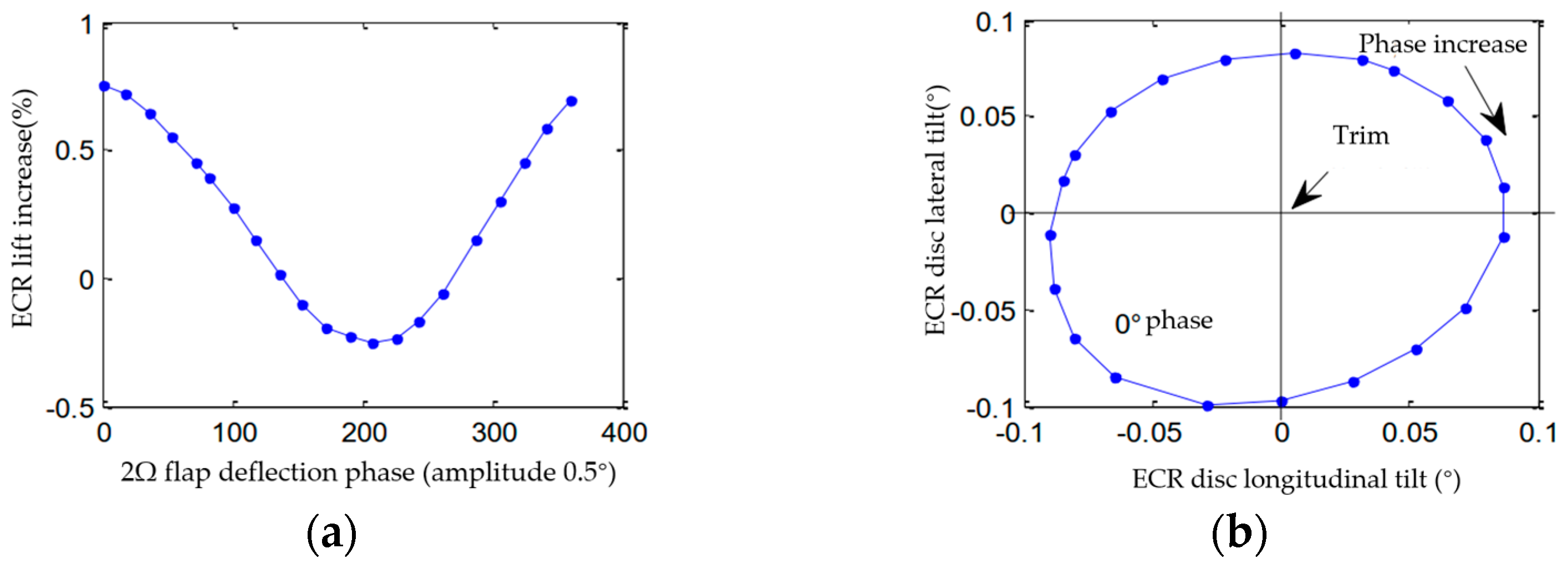
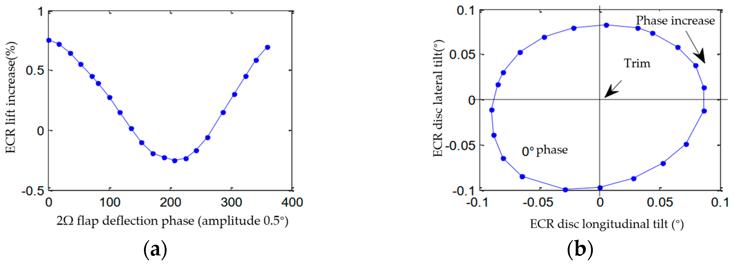
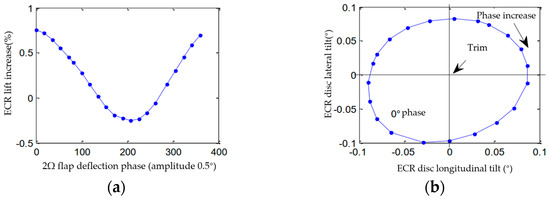
3.3.2. Phase Sweep of Higher-Order Harmonic Flap Control
4. Conclusions
- (1)
- The 2Ω higher-order flap deflection has the most significant control effect on the 2Ω vertical vibration load of the hub. The control patterns of the six vibration components of the hub are similar, except for that of the lateral moment vibration of the hub. In the wind tunnel trim state investigated in this study, the 2Ω vibration load of the hub could achieve the best control effect when the 2Ω higher-order deflection of the trailing edge flaps had a phase of −50° and an amplitude of 0.6°.
- (2)
- The higher-order flap deflection is coupled with the main control of the ECR and destroys the original equilibrium state of the ECR. Therefore, it is necessary to perform coupling trim through the main control/active vibration coupling control to improve the accuracy of the primary control and active vibration control of the ECR.
Author Contributions
Funding
Institutional Review Board Statement
Informed Consent Statement
Data Availability Statement
Acknowledgments
Conflicts of Interest
References
- Su, T.; Lu, Y.; Ma, J.; Guan, S. Aerodynamic characteristics analysis of electrically controlled rotor based on viscous vortex particle method. Aerosp. Sci. Technol. 2020, 97, 105645. [Google Scholar] [CrossRef]
- Ormiston, R.A. Aeroelastic considerations for rotorcraft primary control with on-blade elevons. In Proceedings of the 57th American Helicopter Society Annual Forum, Washington, DC, USA, 9–11 May 2001. [Google Scholar]
- Su, T.; Lu, Y.; Ma, J.; Guan, S. Electrically controlled rotor blade vortex interaction airloads and noise analysis using viscous vortex particle method. Shock Vib. 2019, 2019, 9678970. [Google Scholar] [CrossRef]
- Li, K.; Su, T.; Lu, Y.; Zhao, Q. Nonharmonic control of the blade-vortex interaction noise of electrically controlled rotor. Int. J. Aerosp. Eng. 2022, 2022, 5353681. [Google Scholar] [CrossRef]
- Shen, J.; Chopra, I. A parametric design study for a swashplateless helicopter rotor with trailing edge flaps. J. Am. Helicopter Soc. 2004, 49, 43–53. [Google Scholar] [CrossRef]
- Lu, Y.; Wang, C. Active control for performance enhancement of electrically controlled rotor. Chin. J. Aeronaut. 2015, 28, 1494–1502. [Google Scholar] [CrossRef]
- Johnson, W. Rotorcraft Aeromechanics, 1st ed.; Cambridge University Press: New York, NY, USA, 2013; pp. 717–720. [Google Scholar]
- Shaw, J.; Albion, N.; Hanker, E.J.; Teal, R.S. Higher harmonic control: Wind tunnel demonstration of fully effective vibratory hub force suppression. J. Am. Helicopter Soc. 1989, 34, 14–25. [Google Scholar] [CrossRef]
- Nguyen, K.; Chopra, I. Application of higher harmonic control to rotors operating at high speed and thrust. J. Am. Helicopter Soc. 1990, 35, 78–89. [Google Scholar] [CrossRef]
- Brooks, T.F.; Booth, E.R. The effects of higher harmonic control on blade-vortex interaction noise and vibration. J. Am. Helicopter Soc. 1993, 38, 45–55. [Google Scholar]
- Morbitzer, D.; Arnold, T.P.; Mueller, M. Vibration and noise reduction through individual blade control-experimental and theoretical results. In Proceedings of the 24th European Rotorcraft Forum, Marseille, France, 15–17 September 1998. [Google Scholar]
- Roth, D. Advanced vibration reduction by IBC technology. In Proceedings of the 30th European Rotorcraft Forum, Marseille, France, 14–16 September 2004. [Google Scholar]
- Norman, T.R.; Theodore, C.; Shinoda, P.; Fuerst, D.; Arnold, T.P.; Makinen, S.; Lorber, P.; O’Neill, J. Full-scale wind tunnel test of a UH-60 individual blade control system for performance improvement and vibration, loads, and noise control. In Proceedings of the 65th American Helicopter Society Annual Forum, Grapevine, TX, USA, 27–29 May 2009. [Google Scholar]
- Fulton, M.V.; Ormiston, R.A. Small-scale rotor experiments with on-blade elevons to reduce blade vibratory loads in forward flight. In Proceedings of the 54th American Helicopter Society Annual Forum, Washington, DC, USA, 20–22 May 1998. [Google Scholar]
- Roget, B.; Chopra, I. Closed-loop test of a rotor with individually controlled trailing-edge flaps for vibration reduction. J. Am. Helicopter Soc. 2010, 55, 12009. [Google Scholar] [CrossRef]
- Straub, F.K.; Anand, V.R.; Lau, B.H. Wind tunnel test of the SMART active flap rotor. J. Am. Helicopter Soc. 2018, 63, 1–16. [Google Scholar] [CrossRef]
- Shen, J.W.; Chopra, I. Swashplateless helicopter rotor with trailing edge flaps. J. Aircr. 2005, 41, 208–214. [Google Scholar] [CrossRef]
- Leishman, J.G.; Beddoes, T.S. A generalized method for unsteady airfoil behavior and dynamic stall using the indicial method. In Proceedings of the 42th American Helicopter Society Annual Forum, Washington, DC, USA, 2–4 June 1986. [Google Scholar]
- Hariharan, N.; Leishman, J.G. Unsteady aerodynamics of a flapped airfoil in subsonic flow by indicial concepts. In Proceedings of the 36th AIAA/ASME/ASCE/AHS/ASC Structures, Structural Dynamics, and Materials Conference, New Orleans, LA, USA, 10–12 April 1995. [Google Scholar]










| Parameter (Unit) | Value | 
|---|---|
| Blade pre-index angle (°) | 7.63 | 
| Longitudinal cyclic pitch of flaps (°) | −7.9 | 
| Lateral cyclic pitch of flaps (°) | 1.8 | 
| Number of blades | 2 | 
| Flap diameter (m) | 2.8 | 
| Blade chord length (m) | 0.178 | 
| Rotor speed (rpm) | 700 | 
| Flap midpoint spanwise position (m) | 1.05 | 
| Flap chord length (m) | 0.05 | 
| Flap span (m) | 0.15 | 
| Disclaimer/Publisher’s Note: The statements, opinions and data contained in all publications are solely those of the individual author(s) and contributor(s) and not of MDPI and/or the editor(s). MDPI and/or the editor(s) disclaim responsibility for any injury to people or property resulting from any ideas, methods, instructions or products referred to in the content. | 
© 2023 by the authors. Licensee MDPI, Basel, Switzerland. This article is an open access article distributed under the terms and conditions of the Creative Commons Attribution (CC BY) license (https://creativecommons.org/licenses/by/4.0/).
Share and Cite
Li, K.; Su, T.; Ma, J.; Zhang, Z. Open-Loop Simulation of Active Vibration Control of Electrically Controlled Rotor. Machines 2023, 11, 237. https://doi.org/10.3390/machines11020237
Li K, Su T, Ma J, Zhang Z. Open-Loop Simulation of Active Vibration Control of Electrically Controlled Rotor. Machines. 2023; 11(2):237. https://doi.org/10.3390/machines11020237
Chicago/Turabian StyleLi, Kewei, Taoyong Su, Jinchao Ma, and Zhaozhong Zhang. 2023. "Open-Loop Simulation of Active Vibration Control of Electrically Controlled Rotor" Machines 11, no. 2: 237. https://doi.org/10.3390/machines11020237
APA StyleLi, K., Su, T., Ma, J., & Zhang, Z. (2023). Open-Loop Simulation of Active Vibration Control of Electrically Controlled Rotor. Machines, 11(2), 237. https://doi.org/10.3390/machines11020237
 
        


 
       