Experimental Research on the Matching Characteristics of the Compound VGT-STC System with a V-Type Diesel Engine
Abstract
:1. Introduction
2. Experimental Specifications
3. Results and Discussion
3.1. The Adjustment Characteristics of the VGT-2TC
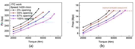
3.2. The Adjustment Characteristics of the VGT-1TC
3.3. Characteristics of the VGT, STC and the Compound VGT-STC
4. Conclusions
- (1)
- For the VGT-2TC, as the VGT vane opening decreases, the intake pressure and the maximum combustion pressure increase, the smoke opacity, the exhaust temperature, and the Δp decrease. In low speeds (1000 r/min), the limiting factor of the maximum torque is still the exhaust temperature, indicating that the VGT cannot provide enough fresh air into the cylinder. The BSFC are closely related to the pin and Δp, the pin has a greater influence on the BSFC than the Δp at low speeds, and it is the opposite at high speeds. The torque increases at low and medium speeds, due to the higher intake pressure and lower exhaust temperature;
- (2)
- For the VGT-1TC, the best vane opening is a constant of 100%, indicating that the VGT loses the ability to adjust itself. The working conditions are between 1000~1429 r/min. The performance improves at low speeds and deteriorates at medium speeds;
- (3)
- In the case of the VGT system, the maximum torque increases steadily in low and medium speeds, the torque operating range is increased by 25.0%. The smoke opacity, the BSFC, and the exhaust temperature are reduced with an average drop of 0.053, 7.2 g/kWh, and 60 °C, respectively;
- (4)
- In the case of the STC system, the maximum torque increases significantly in l000 rpm and starts to decrease at 1200 r/min. The operating range is increased by 44.2%. The smoke opacity, the BSFC, and the exhaust temperature are reduced by 0.071, 10.5 g/kWh, and 90 °C, respectively;
- (5)
- In the case of the compound VGT-STC system, the maximum torque can be stabilized at about 9000 Nm (90% rated torque at 1800 rpm) at 1000–1500 r/min. As a result, the operating range is increased by 35.4%. The smoke opacity, the BSFC, and the exhaust temperature are reduced by 0.057, 8.2 g/kWh, and 64 °C, respectively.
Author Contributions
Funding
Institutional Review Board Statement
Informed Consent Statement
Data Availability Statement
Acknowledgments
Conflicts of Interest
References
- Rakopoulos, C.D.; Dimaratos, A.M.; Giakoumis, E.G.; Rakopoulos, D.C. Study of turbocharged diesel engine operation, pollutant emissions and combustion noise radiation during starting with bio-diesel or n-butanol diesel fuel blends. Appl. Energy 2011, 88, 3905–3916. [Google Scholar] [CrossRef]
- Turner, J.; Popplewell, A.; Marshall, D.; Johnson, T.; Barker, L.; King, J.; Martin, J.; Lewis, A.; Akehurst, S.; Brace, C.; et al. SuperGen on Ultraboost: Variable-Speed Centrifugal Supercharging as an Enabling Technology for Extreme Engine Downsizing. SAE Int. J. Engines 2015, 8, 1602–1615. [Google Scholar] [CrossRef]
- Zamboni, G.; Capobianco, M. Experimental study on the effects of HP and LP EGR in an automotive turbocharged diesel engine. Appl. Energy 2012, 94, 117–128. [Google Scholar] [CrossRef]
- Guan, W.; Pedrozo, V.B.; Zhao, H.; Ban, Z.; Lin, T. Miller cycle combined with exhaust gas recirculation and post–fuel injection for emis-sions and exhaust gas temperature control of a heavy-duty diesel engine. Int. J. Engine Res. 2019, 21, 1381–1397. [Google Scholar] [CrossRef]
- Schoedel, M.; Menze, M.; Seume, J.R. Experimentally Validated Extension of the Operating Range of an Electrically Driven Tur-bocharger for Fuel Cell Applications. Machines 2021, 9, 331. [Google Scholar] [CrossRef]
- Frigo, S.; Lutzemberger, G.; Martini, F.; Pasini, G. Performance evaluation of a medium size diesel vehicle equipped with different electric-turbo compound layouts. Iet Electr. Syst. Transp. 2018, 8, 71–79. [Google Scholar] [CrossRef]
- Bontempo, R.; Cardone, M.; Manna, M.; Vorraro, G. Steady and unsteady experimental analysis of a turbocharger for automotive applications. Energy Convers. Manag. 2015, 99, 72–80. [Google Scholar] [CrossRef]
- Unver, B.; Koyuncuoglu, Y.; Gokasan, M.; Bogosyan, S. Modeling and validation of turbocharged diesel engine airpath and combus-tion systems. Int. J. Automot. Technol. 2016, 17, 13–34. [Google Scholar] [CrossRef]
- Lou, D.; Lou, G.; Wang, B.; Fang, L.; Zhang, Y. Effect of LP-EGR on the Emission Characteristics of GDI Engine. Machines 2022, 10, 7. [Google Scholar] [CrossRef]
- Perceau, M.; Guibert, P.; Clenci, A.; Iorga-Simăn, V.; Niculae, M.; Guilain, S. Investigation of the Aerodynamic Performance of the Miller Cycle from Transparent Engine Experiments and CFD Simulations. Machines 2022, 10, 467. [Google Scholar] [CrossRef]
- Iqbal, M.Y.; Wang, T.; Li, G.; Li, S.; Hu, G.; Yang, T.; Gu, F.; Al-Nehari, M. Development and Validation of a Vibration-Based Virtual Sensor for Real-Time Monitoring NOx Emissions of a Diesel Engine. Machines 2022, 10, 594. [Google Scholar] [CrossRef]
- Chen, X.; Liu, L.; Du, J.; Liu, D.; Huang, L.; Li, X. Intelligent Optimization Based on a Virtual Marine Diesel Engine Using GA-ICSO Hybrid Algorithm. Machines 2022, 10, 227. [Google Scholar] [CrossRef]
- Laurén, M.; Goswami, G.; Tupitsina, A.; Jaiswal, S.; Lindh, T.; Sopanen, J. General-Purpose and Scalable Internal-Combustion Engine Model for Ener-gy-Efficiency Studies. Machines 2022, 10, 26. [Google Scholar] [CrossRef]
- Ghazikhani, M.; Davarpanah, M.; Shaegh, S.M. An experimental study on the effects of different opening ranges of waste-gate on the exhaust soot emission of a turbo-charged DI diesel engine. Energy Convers. Manag. 2008, 49, 2563–2569. [Google Scholar] [CrossRef]
- Li, H.; Shi, L.; Deng, K. Development of turbocharging system for diesel engines of power generation application at different altitudes. J.-Energy Inst. 2016, 89, 755–765. [Google Scholar] [CrossRef]
- Jin, J.; Pan, J.; Lu, Z.; Wu, Q.; Xu, L.; Fan, B.; Quaye, E.K. An Investigation On Performance of an Asymmetric Twin-Scroll Turbine with Small Scroll By-pass Wastegate for Heavy-Duty Diesel Engine. J. Eng. Gas Turbines Power 2020, 142, 061006. [Google Scholar] [CrossRef]
- Alaviyoun, S.; Ziabasharhagh, M.; Farajpoor, M. Experimental Investigation and Numerical Simulation of Gas Flow Through Wastegated Turbine of Gasoline Turbocharger. J. Appl. Fluid Mech. 2020, 13, 1835–1845. [Google Scholar]
- Feneley, A.J.; Pesiridis, A.; Andwari, A.M. Variable Geometry Turbocharger Technologies for Exhaust Energy Recovery and Boosting—A Review. Renew. Sustain. Energy Rev. 2017, 71, 959–975. [Google Scholar] [CrossRef]
- Samoilenko, D.; Marchenko, A.; Cho, H.M. Improvement of torque and power characteristics of V-type diesel engine applying new design of Variable geometry turbocharger (VGT). J. Mech. Sci. Technol. 2017, 31, 5021–5027. [Google Scholar] [CrossRef]
- Yang, M.; Gu, Y.; Deng, K.; Yang, Z.; Zhang, Y. Analysis on altitude adaptability of turbocharging systems for a heavy-duty diesel engine. Appl. Therm. Eng. 2017, 128, 1196–1207. [Google Scholar] [CrossRef]
- Serrano, J.R.; Piqueras, P.; De la Morena, J.; Gómez-Vilanova, A.; Guilain, S. Methodological analysis of variable geometry turbine technology impact on the performance of highly downsized spark-ignition engines—ScienceDirect. Energy 2020, 215, 119122. [Google Scholar] [CrossRef]
- Liu, Z.; Dizqah, A.M.; Herreros, J.M.; Schaub, J.; Haas, O. Simultaneous Control of NOx, Soot and Fuel Economy of a Diesel Engine with Dual-loop EGR and VNT using Economic MPC (Accepted, Control Engineering Practice). Control Eng. Pract. 2020, 108, 104701. [Google Scholar] [CrossRef]
- Xu, Y.; Zhang, S.; Gong, J.; Li, X. The effects of variable geometry turbine opening on reactivity controlled compression igni-tion combustion. Environ. Prog. Sustain. Energy 2019, 38, 13059.1–13059.9. [Google Scholar] [CrossRef]
- Giakoumis, E.G.; Tziolas, V. Modeling a Variable-Geometry Turbocharged Diesel Engine under Steady-State and Transient Conditions. J. Energy Eng. 2018, 144, 04018017. [Google Scholar] [CrossRef]
- Borila, Y.G. A Sequential Turbocharging Method for Highly-Rated Truck Diesel Engine; SAE paper: 860074; SAE: Detroit, MI, USA, 1986. [Google Scholar]
- Borila, Y.G. Some aspects of performance optimization of the sequentially turbocharged highly-rated truck diesel engine with turbochargers of unequal size and a pulse converter. IMECHE 1986, 105, 251–260. [Google Scholar]
- Tashima, S.; Taqdokoro, T.; Okimoto, H.; Niwa, Y. Development of Sequential Twin Turbo System for Rotary Engine. SAE Trans. 1991, 900–909. [Google Scholar] [CrossRef]
- Liu, R.; Yang, C.; Zhang, Z.; Jiao, Y.; Zhou, G. Experimental Study on Thermal Balance of Regulated Two-Stage Turbocharged Diesel Engine at Variable Altitudes. J. Therm. Sci. 2019, 28, 682–694. [Google Scholar] [CrossRef]
- Zhang, Z.; Liu, R.; Zhou, G.; Yang, C.; Dong, S.; Jiao, Y.; Ma, J. Influence of varying altitudes on matching characteristics of the Twin-VGT system with a diesel engine and performance based on analysis of available exhaust energy. Proc. Inst. Mech. Eng. Part D J. Automob. Eng. 2019, 234, 1972–1985. [Google Scholar] [CrossRef]
- Singh, D.V.; Pedersen, E. A review of waste heat recovery technologies for maritime applications. Energy Convers. Manag. 2016, 111, 315–328. [Google Scholar] [CrossRef]
- Di Battista, D.; Mauriello, M.; Cipollone, R. Waste heat recovery of an ORC-based power unit in a turbocharged diesel engine propelling a light duty vehicle. Appl. Energy 2015, 152, 109–120. [Google Scholar] [CrossRef]
- Zhao, R.; Wen, D.; Li, W.; Zhuge, W.; Zhang, Y.; Yin, Y. Characteristic and regulation method of parallel turbocompound engine with steam injection for waste heat recovery. Energy 2020, 208, 118422. [Google Scholar] [CrossRef]
- Mamat, A.M.; Romagnoli, A.; Martinez-Botas, R.F. Characterisation of a low pressure turbine for turbocompounding applications in a heavily downsized mild-hybrid gasoline engine. Energy 2014, 64, 3–16. [Google Scholar] [CrossRef]
- Rose, A.T.J.M.; Akehurst, S.; Brace, C.J. Modelling the performance of a continuously variable supercharger drive system. Proc. Inst. Mech. Eng. Part D: J. Automob. Eng. 2011, 225, 1399–1414. [Google Scholar] [CrossRef]
- Hu, B.; Tang, H.; Akehurst, S.; De Freitas, A.; Burtt, D.; Shawe, J. Modelling the Performance of the Torotrak V-Charge Variable Drive Supercharger System on a 1.0L GTDI—Preliminary Simulation Results; SAE International: Warrendale, PA, USA, 2015; Volume 1. [Google Scholar] [CrossRef]
- Zi, D.; Zhang, L.; Chen, B.; Zhang, Q. Study of the electric-booster and turbo-generator system and its influence on a 1.5 L gasoline engine. Appl. Therm. Eng. 2019, 162, 114236. [Google Scholar] [CrossRef]
- Wu, B.; Han, Z.; Yu, X.; Zhang, S.; Nie, X.; Su, W. A method for matching two-stage turbocharger system and its influence on engine performance. J. Eng. Gas Turbines Power 2019, 141, 054502. [Google Scholar] [CrossRef]

















| Parameter | Value | 
|---|---|
| Rated Power | 2032 kW | 
| Engine speed at rated power | 1800 r/min | 
| Number of cylinders/engine type | 16/V-type | 
| Bore | 170 mm | 
| Stroke | 195 mm | 
| Displacement | 72 L | 
| Boost system | Turbocharger with intercooler | 
| Fuel delivery | Direct injection | 
| Turbocharging System Type | Air and Exhaust Valve Mode | VGT Condition | 
|---|---|---|
| VGT | Opened (2TC) | Regulated | 
| STC | Opened (2TC)/Closed (1TC) | Fixed | 
| VGT-STC | Opened (2TC)/Closed (1TC) | Regulated | 
| Instrument | Measured Quantity | Uncertainty | 
|---|---|---|
| Inductive pick-up | Engine speed | ±5 r/min | 
| Eddy current dynamometer | Engine torque | 1% | 
| Fuel mass flow meter | Fuel consumption | 0.5% | 
| K-type thermocouple | Temperature | 1% | 
| Kistler | Pressure | 0.5% | 
| AVL | Smoke opacity | 0.1% | 
| Publisher’s Note: MDPI stays neutral with regard to jurisdictional claims in published maps and institutional affiliations. | 
© 2022 by the authors. Licensee MDPI, Basel, Switzerland. This article is an open access article distributed under the terms and conditions of the Creative Commons Attribution (CC BY) license (https://creativecommons.org/licenses/by/4.0/).
Share and Cite
Shi, M.; Wang, H.; Yang, C.; Wang, Y.; Niu, X. Experimental Research on the Matching Characteristics of the Compound VGT-STC System with a V-Type Diesel Engine. Machines 2022, 10, 788. https://doi.org/10.3390/machines10090788
Shi M, Wang H, Yang C, Wang Y, Niu X. Experimental Research on the Matching Characteristics of the Compound VGT-STC System with a V-Type Diesel Engine. Machines. 2022; 10(9):788. https://doi.org/10.3390/machines10090788
Chicago/Turabian StyleShi, Mingwei, Hechun Wang, Chuanlei Yang, Yinyan Wang, and Xiaoxiao Niu. 2022. "Experimental Research on the Matching Characteristics of the Compound VGT-STC System with a V-Type Diesel Engine" Machines 10, no. 9: 788. https://doi.org/10.3390/machines10090788
APA StyleShi, M., Wang, H., Yang, C., Wang, Y., & Niu, X. (2022). Experimental Research on the Matching Characteristics of the Compound VGT-STC System with a V-Type Diesel Engine. Machines, 10(9), 788. https://doi.org/10.3390/machines10090788
 
        

 
       