Natural Frequency Degradation Prediction for Offshore Wind Turbine Structures
Abstract
:1. Introduction
2. OWT and Seabed Dynamic Model
2.1. Three-Dimensional Finite Element Model
2.2. Damping Ratio
2.3. Soil Degradation Model
3. Virtual Sensor Data Generation
3.1. Wind Conditions
3.2. Long-Term Structural Data
4. NF Degradation Prediction
4.1. LSTM for the Future NF
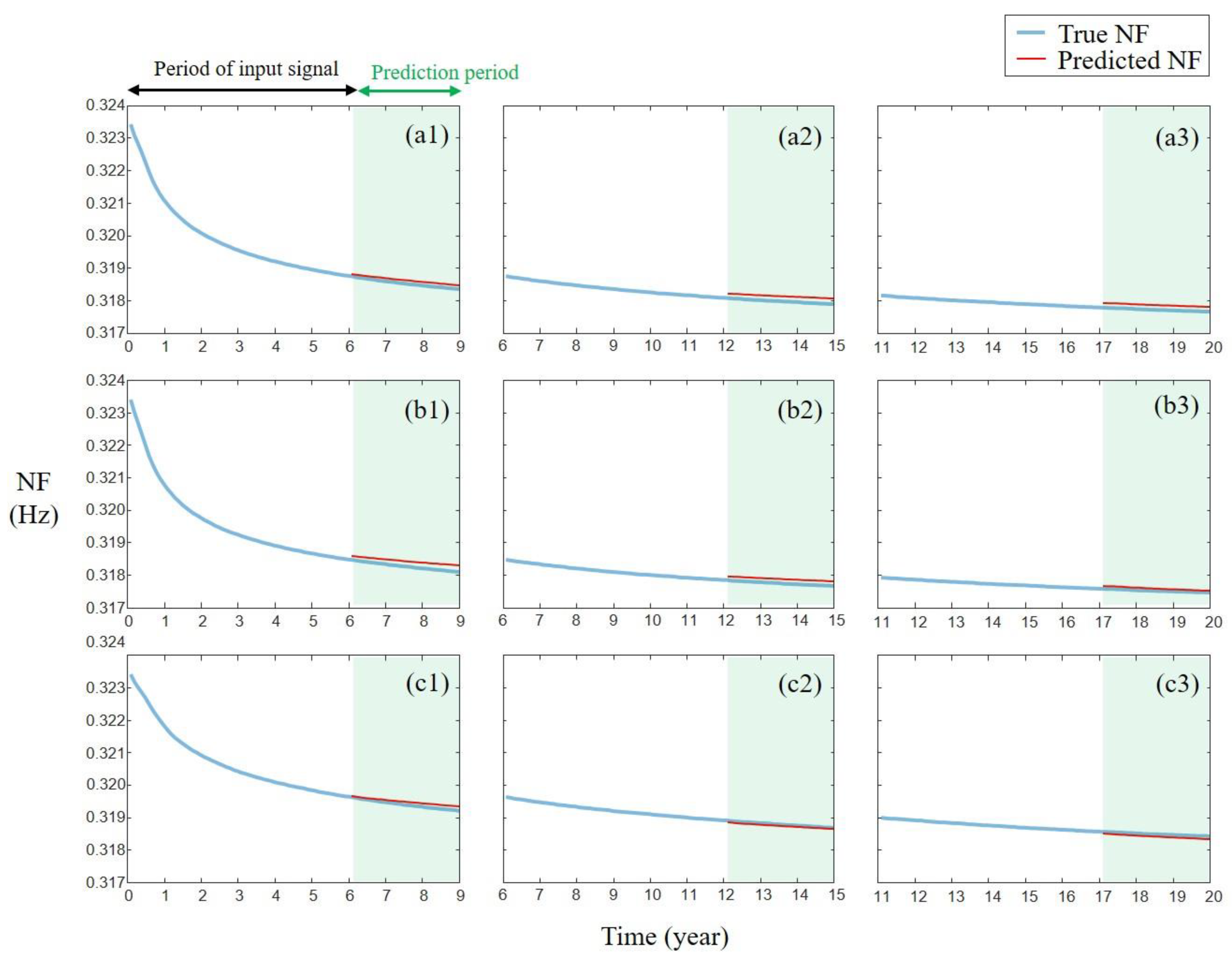
4.2. Prediction Results
5. Conclusions
- (i)
- A high-fidelity model was used for NF degradation prediction under different wind speed conditions. Important dynamic parameters (e.g., system damping) were obtained by comparing the predicted NF values with experimentally measured NF values.
- (ii)
- A long-term virtual sensor dataset for the OWT was generated. Long-term NF, acceleration, and strain values (over 20 years) were calculated using the OWT model. This long-term dataset is valuable because it is difficult to acquire a real long-term dataset for the actual OWT. Furthermore, such datasets can be used to train neural network models and investigate the dynamic response of OWTs over their lifespan.
- (iii)
- An LSTM model capable of NF degradation prediction was developed. The trained model accurately predicted the NF degradation trend over a three-year period using the previous six-year sensor data as the input.
Author Contributions
Funding
Institutional Review Board Statement
Informed Consent Statement
Data Availability Statement
Conflicts of Interest
References
- Han, C.; Nagamune, R. Platform position control of floating wind turbines using aerodynamic force. Renew. Energy 2020, 151, 896–907. [Google Scholar] [CrossRef]
- Suja-Thauvin, L.; Krokstad, J.R.; Bachynski, E.E. Critical assessment of non-linear hydrodynamic load models for a fully flexible monopile offshore wind turbine. Ocean Eng. 2018, 164, 87–104. [Google Scholar] [CrossRef]
- Churchfield, M.J.; Lee, S.; Michalakes, J.; Moriarty, P.J. A numerical study of the effects of atmospheric and wake turbulence on wind turbine dynamics. J. Turbul. 2012, 13, N14. [Google Scholar] [CrossRef]
- Nandi, T.N.; Herrig, A.; Brasseur, J.G. Non-steady wind turbine response to daytime atmospheric turbulence. Philos. Trans. R. Soc. A Math. Phys. Eng. Sci. 2017, 375, 20160103. [Google Scholar] [CrossRef] [PubMed] [Green Version]
- Carswell, W.; Arwade, S.; DeGroot, D.; Myers, A. Natural frequency degradation and permanent accumulated rotation for offshore wind turbine monopiles in clay. Renew. Energy 2016, 97, 319–330. [Google Scholar] [CrossRef] [Green Version]
- Hu, W.-H.; Thöns, S.; Said, S.; Rücker, W. Resonance phenomenon in a wind turbine system under operational conditions. In Proceedings of the International Conference on Structural Dynamics, Porto, Portugal, 30 June–2 July 2014. [Google Scholar]
- Jonkman, J.; Butterfield, S.; Musial, W.; Scott, G. Definition of a 5-MW Reference Wind Turbine for Offshore System Development; NREL: Golden, CO, USA, 2009.
- Guo, Z.; Yu, L.; Wang, L.; Bhattacharya, S.; Nikitas, G.; Xing, Y. Model Tests on the Long-Term Dynamic Performance of Offshore Wind Turbines Founded on Monopiles in Sand. J. Offshore Mech. Arct. Eng. 2015, 137, OMAE-14-1142. [Google Scholar] [CrossRef] [Green Version]
- Bisoi, S.; Haldar, S. 3D Modeling of Long-Term Dynamic Behavior of Monopile-Supported Offshore Wind Turbine in Clay. Int. J. Geomech. 2019, 19, 04019062. [Google Scholar] [CrossRef]
- Tasiopouloua, P.; Chaloulosa, Y.; Gerolymosb, N.; Giannakoua, A.; Chackoa, J. Cyclic lateral response of OWT bucket foundations in sand: 3D coupled effective stress analysis with Ta-Ger model. Soils Found. 2021, 61, 371–385. [Google Scholar] [CrossRef]
- Jouin, M.; Gouriveau, R.; Hissel, D.; Péra, M.C.; Zerhouni, N. Degradations analysis and aging modeling for health assessment and prognostics of PEMFC. Reliab. Eng. Syst. Saf. 2016, 148, 78–95. [Google Scholar] [CrossRef]
- Jouin, M.; Gouriveau, R.; Hissel, D.; Péra, M.C.; Zerhouni, N. Particle filter-based prognostics: Review, discussion and perspectives. Mech. Syst. Signal Process. 2016, 72, 2–31. [Google Scholar] [CrossRef]
- Ali, J.B.; Chebel-Morello, B.; Saidi, L.; Malinowski, S.; Fnaiech, F. Accurate bearing remaining useful life prediction based on Weibull distribution and artificial neural network. Mech. Syst. Signal Process. 2015, 56, 150–172. [Google Scholar]
- Lei, Y.; Li, N.; Guo, L.; Li, N.; Yan, T.; Lin, J. Machinery health prognostics: A systematic review from data acquisition to RUL prediction. Mech. Syst. Signal Process. 2018, 104, 799–834. [Google Scholar] [CrossRef]
- Ren, L.; Cui, J.; Sun, Y.; Cheng, X. Multi-bearing remaining useful life collaborative prediction: A deep learning approach. Journal of Manufacturing Systems. J. Manuf. Syst. 2017, 43, 248–256. [Google Scholar] [CrossRef]
- Li, X.; Ding, Q.; Sun, J.-Q. Remaining useful life estimation in prognostics using deep convolution neural networks. Reliab. Eng. Syst. Saf. 2018, 172, 1–11. [Google Scholar] [CrossRef] [Green Version]
- Zhou, Y.; Huang, Y.; Pang, J.; Wang, K. Remaining useful life prediction for supercapacitor based on long short-term memory neural network. J. Power Sources 2019, 440, 227149. [Google Scholar] [CrossRef]
- Cai, B.; Shao, X.; Liu, Y.; Kong, X.; Wang, H.; Xu, H.; Ge, W. Remaining useful life estimation of structure systems under the influence of multiple causes: Subsea pipelines as a case study. IEEE Trans. Ind. Electron. 2019, 67, 5737–5747. [Google Scholar] [CrossRef]
- Feng, K.; Borghesani, P.; Smith, W.A.; Randall, R.B.; Chin, Z.Y.; Ren, J.; Peng, Z. Vibration-based updating of wear prediction for spur gears. Wear 2019, 426, 1410–1415. [Google Scholar] [CrossRef]
- Feng, K.; Smith, W.A.; Randall, R.B.; Wu, H.; Peng, Z. Vibration-based monitoring and prediction of surface profile change and pitting density in a spur gear wear process. Mech. Syst. Signal Process. 2022, 165, 108319. [Google Scholar] [CrossRef]
- Seo, Y.-H.; Ryu, M.S.; Oh, K.-Y. Dynamic Characteristics of an Offshore Wind turbine with Tripod Suction Buckets via Full-Scale-Testing. Complexity 2020, 2020, 3079308. [Google Scholar] [CrossRef]
- Achmus, M.; Akdag, C.T.; Thieken, K. Load-bearing behavior of suction bucket founda- tions in sand. Appl. Ocean Res. 2013, 43, 157–165. [Google Scholar] [CrossRef]
- Thieken, K.; Achmus, M.; Schröder, C. On the behavior of suction buckets in sand under tensile loads. Comput. Geotech. 2014, 60, 88–100. [Google Scholar] [CrossRef]
- GL. Guideline for the Certification of Offshore Wind Turbines; GL: Hamburg, Germany, 2005. [Google Scholar]
- Multimedia, C.D. Natural frequency and damping estimation of an offshore wind turbine structure. In Proceedings of the Twenty-Second (2012) International Offshore and Polar Engineering Conference, Rhodes, Greece, 17–22 June 2012. [Google Scholar]
- Damgaarda, M.; Ibsenb, L.B.; Andersenb, L.V.; Andersena, J.K.F. Cross-wind modal properties of offshore wind turbines identified by full scale testing. J. Wind. Eng. Ind. Aerodyn. 2013, 116, 94–108. [Google Scholar] [CrossRef]
- Versteijlen, W.G.; Metrikine, A.V.; Hoving, J.S.; Smidt, E.H.; De Vries, W.E. Estimation of the vibration decrement of an offshore wind turbine support structure caused by its interaction with soil. In Proceedings of the EWEA Offshore 2011 Conference, Amsterdam, The Netherlands, 29 November–1 December 2011. [Google Scholar]
- Nam, W.; Oh, K.-Y.; Epureanu, B.I. Evolution of the dynamic response and its effects on the serviceability of offshore wind turbines with stochastic loads and soil degradation. Reliab. Eng. Syst. Saf. 2019, 184, 151–163. [Google Scholar] [CrossRef]
- Andersen, K.H.; Kleven, A.; Heien, D. Cyclic soil data for design of gravity structures. J. Geotech. Eng. 1988, 114, 517–539. [Google Scholar] [CrossRef]
- IEC. IEC61400-1. In Wind Turbines–Part 1: Design Requirements, 3rd ed.; IEC: London, UK, 2005; Volume 61400-1. [Google Scholar]
- Oh, K.-Y.; Kim, J.-Y.; Lee, J.-K.; Ryu, M.-S.; Lee, J.-S. An assessment of wind energy potential at the demonstration offshore wind farm in Korea. Energy 2012, 46, 555–563. [Google Scholar] [CrossRef]







| Suction caisson diameter | 6 m |
| Suction bucket length | 12 m |
| Suction bucket thickness | 19 mm |
| Diameter of a circle made by connecting the center of suction | 23.1 m |
| Tower length | 58.5 m |
| Substructure length | 24.9 m |
| Maximum tower diameter | 4.5 m |
| Minimum tower diameter | 3.07 m |
| Steel density | 7850 kg/m3 |
| Steel Young’s modulus | 210 GPa |
| Steel shear modulus | 80.8 GPa |
| Steel Poisson’s ratio | 0.29 |
| Soil | Depth (m) | (t/m3) | (kPa) | (kPa) | |
|---|---|---|---|---|---|
| Sand 1 | 0–2.5 | 19.0 | 8 | 0.35 | 8700 |
| Clay | 2.5–8.3 | 18.5 | 45 | 0.40 | 9300 |
| Sand 2 | 8.3–10.7 | 19.0 | 15 | 0.35 | 26,100 |
| Wind Condition | Test Case A k = 12.8, c = 8.0 | Test Case B k = 6.3, c = 4.7 | Test Case C k = 17.02, c = 6.0 | |
|---|---|---|---|---|
| Prediction Period (Years) | ||||
| 6–9 | 0.030 | 0.053 | 0.030 | |
| 7–10 | 0.054 | 0.062 | 0.007 | |
| 8–11 | 0.053 | 0.058 | 0.004 | |
| 9–12 | 0.045 | 0.054 | 0.010 | |
| 10–13 | 0.038 | 0.046 | 0.015 | |
| 11–14 | 0.039 | 0.042 | 0.012 | |
| 12–15 | 0.044 | 0.038 | 0.014 | |
| 13–16 | 0.045 | 0.035 | 0.014 | |
| 14–17 | 0.043 | 0.033 | 0.016 | |
| 15–18 | 0.041 | 0.031 | 0.024 | |
| 16–19 | 0.040 | 0.029 | 0.027 | |
| 17–20 | 0.038 | 0.028 | 0.026 | |
| Average error | 0.044 | 0.043 | 0.015 | |
Publisher’s Note: MDPI stays neutral with regard to jurisdictional claims in published maps and institutional affiliations. |
© 2022 by the authors. Licensee MDPI, Basel, Switzerland. This article is an open access article distributed under the terms and conditions of the Creative Commons Attribution (CC BY) license (https://creativecommons.org/licenses/by/4.0/).
Share and Cite
Park, G.; You, D.; Oh, K.-Y.; Nam, W. Natural Frequency Degradation Prediction for Offshore Wind Turbine Structures. Machines 2022, 10, 356. https://doi.org/10.3390/machines10050356
Park G, You D, Oh K-Y, Nam W. Natural Frequency Degradation Prediction for Offshore Wind Turbine Structures. Machines. 2022; 10(5):356. https://doi.org/10.3390/machines10050356
Chicago/Turabian StylePark, Gwanghee, Dayoung You, Ki-Yong Oh, and Woochul Nam. 2022. "Natural Frequency Degradation Prediction for Offshore Wind Turbine Structures" Machines 10, no. 5: 356. https://doi.org/10.3390/machines10050356
APA StylePark, G., You, D., Oh, K.-Y., & Nam, W. (2022). Natural Frequency Degradation Prediction for Offshore Wind Turbine Structures. Machines, 10(5), 356. https://doi.org/10.3390/machines10050356

