Add-On Type Data-Driven Ripple-Free Dual-Rate Control Design Based on the Null Space of Steady-State Step Responses
Abstract
:1. Introduction
2. Problem Statement
- The holding interval T is known.
- The sampling interval is known.
- has no zero at the origin.
- and are unknown.
- The closed-loop system described by Equation (4) is stable.
- The steady-state discrete-time output converges to the reference input.
- The closed-loop transfer function is unknown.
3. Ripple-Free Design Using Add-On Input
3.1. Extended Control Law Using Null Space of Step Responses
3.2. Design of Add-On Input
4. Simulation
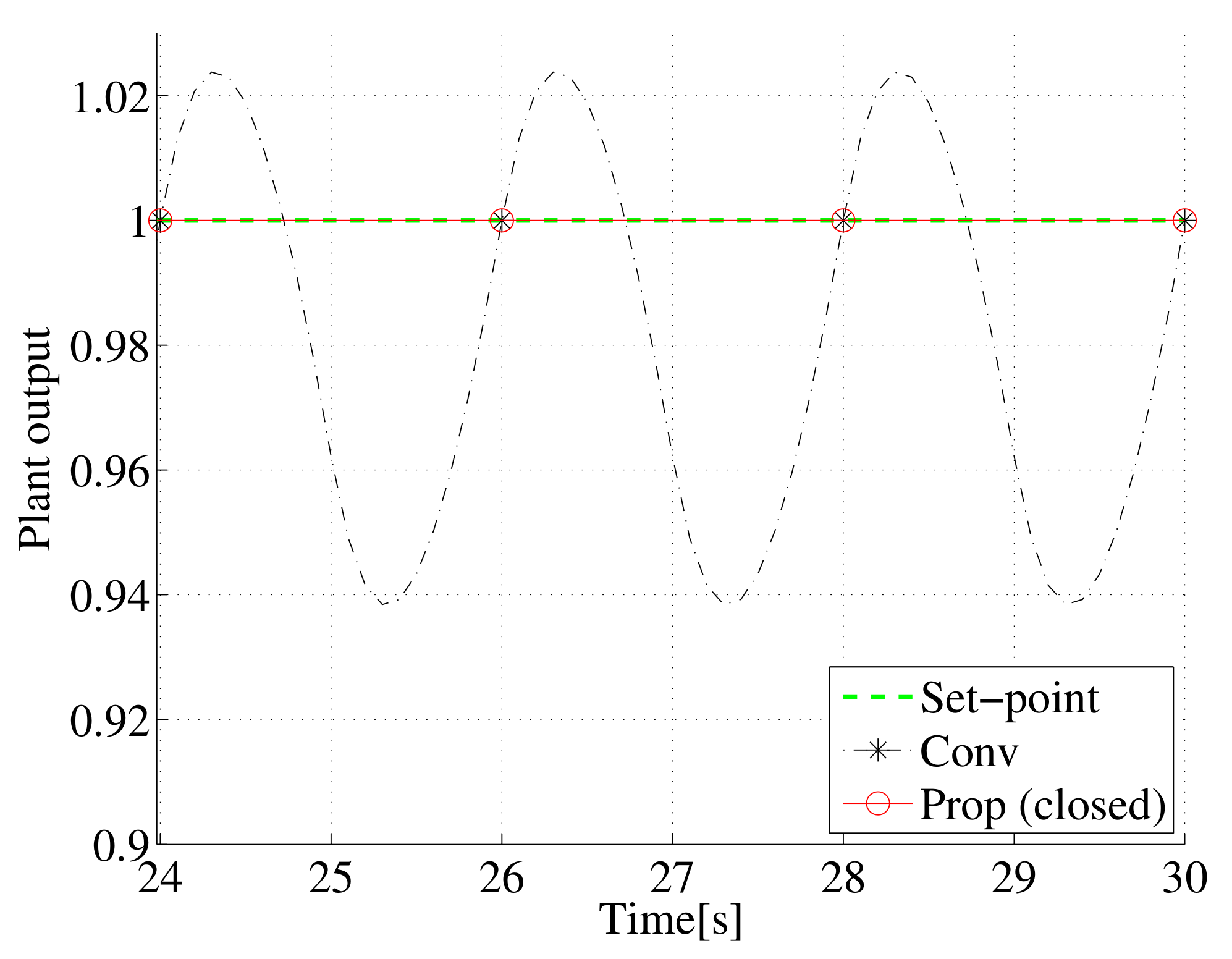
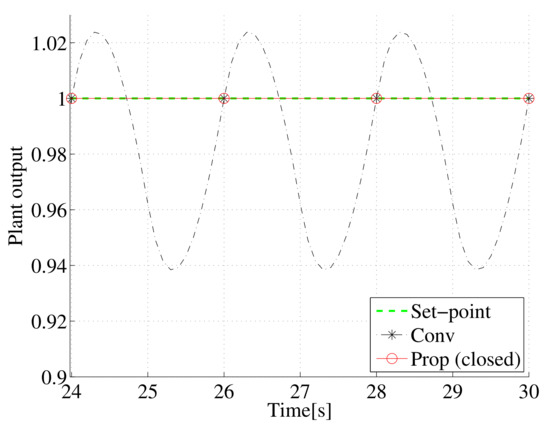
4.1. Stable Plant
4.2. Unstable Plant
5. Conclusions
Author Contributions
Funding
Institutional Review Board Statement
Informed Consent Statement
Acknowledgments
Conflicts of Interest
References
- Chen, T.; Francis, B. Optimal Sampled-Data Control Systems; Springer: London, UK, 1995. [Google Scholar]
- Åström, K.J.; Wittenmark, B. Computer-Controlled Systems: Theory & Design, 3rd ed.; Prentice Hall: Upper Saddle River, NJ, USA, 1997. [Google Scholar]
- Araki, M.; Hagiwara, T. Pole assignment by multirate sampled-data output feedback. Int. J. Control 1986, 44, 1661–1673. [Google Scholar]
- Araki, M.; Yamamoto, K. Multivariable Multirate Sampled-data Systems: State-space Description, Transfer Characteristics, and Nyquist Criterion. IEEE Trans. Autom. Control 1986, 31, 145–154. [Google Scholar]
- Salt, J.; Albertos, P. Model-Based Multirate Controllers Design. IEEE Trans. Control Syst. Technol. 2005, 13, 988–997. [Google Scholar]
- Jia, Y.; Chai, T. A data-driven dual-rate control method for a heat exchanging process. IEEE Trans. Ind. Electron. 2016, 64, 4158–4168. [Google Scholar]
- Carini, P.; Micheli, R.; Scattolini, R. Multirate self-tuning predictive control with applications to binary distillation column. Int. J. Syst. Sci. 1990, 21, 51–64. [Google Scholar]
- Zhang, B.; Zhou, K.; Wang, D. Multirate Repetitive Control for PWM DC/AC Converters. IEEE Trans. Ind. Electron. 2014, 61, 2883–2890. [Google Scholar]
- Furusaka, T.; Sato, T.; Kawaguchi, N.; Araki, N.; Konishi, Y. Consensus Control of Dual-rate Multi-agent Systems with Quantized Communication. IEEE Access 2020, 8, 97557–97563. [Google Scholar]
- Chen, B.M.; Lee, T.H.; Venkataramanan, V. Hard Disk Drive Servo Systems; Springer: Berlin/Heidelberg, Germany, 2002. [Google Scholar]
- Mamun, A.A.; Guo, X.; Bi, B. Hard Disk Drive; Automation and Control Engineering; CRC Press: Boca Raton, FL, USA, 2007. [Google Scholar]
- Salt, J.; Tomizuka, M. Hard disk drive control by model based dual-rate controller. Computation saving by interlacing. Mechatronics 2014, 24, 691–700. [Google Scholar]
- Li, D.; Shah, S.; Chen, T. Analysis of Dual-Rate Inferential Control Systems. Automatica 2002, 38, 1053–1059. [Google Scholar]
- Sato, T.; Kusakabe, T.; Himi, K.; Araki, N.; Konish, Y. Ripple-free Data-driven Dual-rate Controller Using Lifting Technique: Application to a Physical Rotation System. IEEE Trans. Control Syst. Technol. 2021, 29, 1332–1339. [Google Scholar]
- Moore, K.; Bhattacharyya, S.; Dahleh, M. Capabilitied and Limitations of Multirate Control Schemes. Automatica 1993, 29, 941–951. [Google Scholar]
- Sheng, J.; Chen, T.; Shah, S.L. Multirate Generalized Predictive Control for Sampled-Data Systems. Dyn. Contin. Discret. Impuls. Syst. Ser. Appl. Algorithms 2001, 8, 485–499. [Google Scholar]
- Ishitobi, M.; Kawanaka, M.; Nishi, H. Ripple-Suppressed Multirate Adaptive Control. In Proceedings of the 15th IFAC World Congress, Barcelona, Spain, 21–26 July 2002; pp. 327–332. [Google Scholar]
- Salt, J.; Sandoval, J.; Albertos, P. Dual-Rate Control Ripple Detection by an Approximate Frequency Respoinse Methodology. In Proceedings of the Fourth IEEE Congress of Electronics, Robotics, and Automotive Mechanics, Cuernavaca, Mexico, 25–28 September 2007; pp. 89–94. [Google Scholar]
- Oomen, T.; van de Wijdeven, J.; Bosgra, O. Suppressing intersample behavior in iterative learning control. Automatica 2009, 45, 981–988. [Google Scholar]
- Tangirala, A.; Li, D.; Patwardhan, R.; Shah, S.; Chen, T. Ripple-Free Conditions for lifted Multirate Control Systems. Automatica 2001, 37, 1637–1645. [Google Scholar]
- Jia, Q.; Oooi, K.; Wu, D. Multirate Control of an HDD Servo System with Intersample Ripple Free. IEEE Tran. Megnetics 2002, 38, 2192–2194. [Google Scholar]
- Atsumi, T.; Messner, W.C. Mixed Sensitivity Problem in Sampled-Data Positioning Control Systems. J. Syst. Des. Dyn. 2011, 5, 1294–1309. [Google Scholar]
- Inoue, A.; Sato, T.; Deng, M.; Yanou, A. A Multi-rate Optimal Controller to Suppress Ripples at Transient State. In Proceedings of the 2018 IEEE International Conference on Systems, Man, and Cybernetics, Miyazaki, Japan, 7–10 October 2018; pp. 2641–2646. [Google Scholar]
- Sato, T. Parametric Design of a Dual-rate Controller for Improvement in Steady-state Intersample Response. SICE J. Control Meas. Syst. Integr. 2008, 1, 329–334. [Google Scholar]
- Zaccarian, L. Dynamic Allocation for Input Redundant Control Systems. Automatica 2009, 45, 1431–1438. [Google Scholar]
- Sato, T.; Kawaguchi, N.; Araki, N.; Konishi, Y. Ripple-free Design for an SISO Dual-rate Control System. In Proceedings of the 22th IEEE International Conference on Emerging Technologies and Factory Automation, Limassol, Cyprus, 12–15 September 2017. [Google Scholar]
- Yasui, R.; Kawaguchi, N.; Sato, T.; Araki, N.; Konishi, Y. Dual-rate Control System Extension Using the Null-space of Closed-loop System. IEEJ Trans. Electr. Electron. Eng. 2020, 15, 135–139. [Google Scholar]
- Yasui, R.; Kawaguchi, N.; Sato, T.; Araki, N.; Konishi, Y. Steady-state Dual-rate Open-loop Transfer Function Model-based Ripple-free Design. IEEJ Trans. Electr. Electron. Eng. 2021, 16, 1435–1437. [Google Scholar]
- Sato, T.; Sakai, Y.; Kawaguchi, N.; Arrieta, O. Dual-Rate Data-Driven Virtual Reference Feedback Tuning: Improvement in Fast-Tracking Performance and Ripple-Free Design. IEEE Access 2021, 9, 144426–144437. [Google Scholar]












Publisher’s Note: MDPI stays neutral with regard to jurisdictional claims in published maps and institutional affiliations. |
© 2022 by the authors. Licensee MDPI, Basel, Switzerland. This article is an open access article distributed under the terms and conditions of the Creative Commons Attribution (CC BY) license (https://creativecommons.org/licenses/by/4.0/).
Share and Cite
Sato, T.; Yasui, R.; Kawaguchi, N. Add-On Type Data-Driven Ripple-Free Dual-Rate Control Design Based on the Null Space of Steady-State Step Responses. Machines 2022, 10, 296. https://doi.org/10.3390/machines10050296
Sato T, Yasui R, Kawaguchi N. Add-On Type Data-Driven Ripple-Free Dual-Rate Control Design Based on the Null Space of Steady-State Step Responses. Machines. 2022; 10(5):296. https://doi.org/10.3390/machines10050296
Chicago/Turabian StyleSato, Takao, Ryota Yasui, and Natsuki Kawaguchi. 2022. "Add-On Type Data-Driven Ripple-Free Dual-Rate Control Design Based on the Null Space of Steady-State Step Responses" Machines 10, no. 5: 296. https://doi.org/10.3390/machines10050296
APA StyleSato, T., Yasui, R., & Kawaguchi, N. (2022). Add-On Type Data-Driven Ripple-Free Dual-Rate Control Design Based on the Null Space of Steady-State Step Responses. Machines, 10(5), 296. https://doi.org/10.3390/machines10050296

