The Stability of a Predator–Prey Model with Cross-Dispersal in a Multi-Patch Environment
Abstract
1. Introduction
- A sufficient stability criterion for PMCM is derived, which is closely linked to the topological structure of cross-dispersal between patches.
- A global Lyapunov function for PMCM is constructed using Kirchhoff’s matrix tree theorem from graph theory, providing a novel approach to stability analysis.
2. Preface and Model Description
2.1. Preface to Mathematics
2.2. Model Description
- :
- the intrinsic rate of the natural increase in the prey population which means the prey population is in a environment where predators are absent.
- :
- the mortality rate of the predator population.
- :
- the intraspecific competition rates of the prey population.
- :
- the intraspecific competition rates of the predator population.
- :
- the attack rate of the predator on a particular prey.
- :
- the proportion of prey that become predator after the predator eats the prey.
- :
- boundary conditions in the case of different continuous cross-dispersions.
3. Stability Analysis for a Predator–Prey Model with Cross-Dispersal in a Multi-Patch Environment
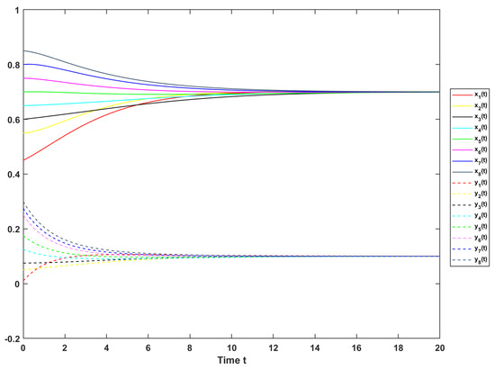
4. Numerical Simulation
5. Conclusions
Author Contributions
Funding
Data Availability Statement
Conflicts of Interest
References
- Hanski, I. Metapopulation dynamics. Nature 1998, 396, 41–49. [Google Scholar] [CrossRef]
- Strogatz, S.H. Exploring complex networks. Nature 2001, 410, 268–276. [Google Scholar] [CrossRef] [PubMed]
- Kareiva, P. Habitat fragmentation and the stability of predator-prey interactions. Nature 1987, 326, 388–390. [Google Scholar] [CrossRef]
- Fang, M.; Wang, Y.; Chen, M.; DeAngelis, D.L. Asymptotic population abundance of a two-patch system with asymmetric diffusion. Discret. Contin. Dyn. Syst.-A 2020, 40, 3411–3425. [Google Scholar] [CrossRef]
- Li, L.; Wang, G. The ideal free distribution of clonal plant’s ramets among patches in a heterogeneous environment. Bull. Math. Biol. 2006, 68, 1837–1850. [Google Scholar] [CrossRef] [PubMed]
- Barman, B.; Ghosh, B. Dynamics of a spatially coupled model with delayed prey dispersal. Int. J. Model. Simul. 2022, 42, 400–414. [Google Scholar] [CrossRef]
- Kurowski, L.; Krause, A.L.; Mizuguchi, H.; Grindrod, P.; Van Gorder, R.A. Two-species migration and clustering in two-dimensional domains. Bull. Math. Biol. 2017, 79, 2302–2333. [Google Scholar] [CrossRef] [PubMed]
- Li, R.; Lou, Y. A diffusive predator-prey model with spatially heterogeneous carrying capacity. Calc. Var. Partial Differ. Equ. 2023, 56, 132–165. [Google Scholar]
- Rodrigues, L.A.D.; Mistro, D.C.; Cara, E.R.; Petrovskaya, N.; Petrovskii, S. Patchy invasion of stage-structured alien species with short-distance and long-distance dispersal. Bull. Math. Biol. 2015, 77, 1583–1619. [Google Scholar] [CrossRef] [PubMed]
- Li, M.Y.; Shuai, Z. Global-stability problem for coupled systems of differential equations on networks. J. Differ. Equ. 2010, 248, 1–20. [Google Scholar] [CrossRef]
- Zhang, C.; Li, W.; Wang, K. Graph-theoretic approach to stability of multi-group models with dispersal. Discret. Contin. Dyn. Syst. Ser. B 2015, 20, 259–280. [Google Scholar] [CrossRef]
- Allesina, S.; Tang, S. Stability criteria for complex ecosystems. Nature 2012, 483, 205–208. [Google Scholar] [CrossRef] [PubMed]
- Wang, L.; Luo, P.; Yang, H.L.; Cao, J. Stability of genetic regulatory networks based on switched systems and mixed time-delays. Math. Biosci. 2016, 278, 94–99. [Google Scholar] [CrossRef] [PubMed]
- Wang, L.; Ge, M.; Hu, J. Global robust synchronization of fractional order complex valued neural networks with mixed time varying delays and impulses. Int. J. Control Autom. Syst. 2021, 19, 431–455. [Google Scholar]
- Wang, L.; Zhang, J.; Sun, W. Global stability for a new predator-prey model with cross-dispersal among patches based on graph theory. Adv. Contin. Discret. Model. 2023, 36, 215–235. [Google Scholar]
- Xiao, Q.; Zeng, Z.; Huang, T. Global exponential stability and synchronization for Clifford-valued memristive neural networks with time-varying delays. Cogn. Comput. 2022, 14, 805–825. [Google Scholar]
- Tang, S.; Liu, F.; Chen, Y. Stability and dynamics of a predator-prey model in spatially heterogeneous environments. Appl. Math. Comput. 2022, 420, 126790–126805. [Google Scholar]
- Chen, Y.; Liu, X.; Zhao, H. Coexistence in a predator-prey model with cross-diffusion: Existence and stability of non-constant positive solutions. J. Math. Biol. 2022, 85, 45–68. [Google Scholar]
- West, D.B. Introduction to Graph Theory; Prentice Hall: Upper Saddle River, NJ, USA, 1996. [Google Scholar]







Disclaimer/Publisher’s Note: The statements, opinions and data contained in all publications are solely those of the individual author(s) and contributor(s) and not of MDPI and/or the editor(s). MDPI and/or the editor(s) disclaim responsibility for any injury to people or property resulting from any ideas, methods, instructions or products referred to in the content. |
© 2024 by the authors. Licensee MDPI, Basel, Switzerland. This article is an open access article distributed under the terms and conditions of the Creative Commons Attribution (CC BY) license (https://creativecommons.org/licenses/by/4.0/).
Share and Cite
Xu, K.; Peng, K.; Gao, S. The Stability of a Predator–Prey Model with Cross-Dispersal in a Multi-Patch Environment. Axioms 2024, 13, 783. https://doi.org/10.3390/axioms13110783
Xu K, Peng K, Gao S. The Stability of a Predator–Prey Model with Cross-Dispersal in a Multi-Patch Environment. Axioms. 2024; 13(11):783. https://doi.org/10.3390/axioms13110783
Chicago/Turabian StyleXu, Keyao, Keyu Peng, and Shang Gao. 2024. "The Stability of a Predator–Prey Model with Cross-Dispersal in a Multi-Patch Environment" Axioms 13, no. 11: 783. https://doi.org/10.3390/axioms13110783
APA StyleXu, K., Peng, K., & Gao, S. (2024). The Stability of a Predator–Prey Model with Cross-Dispersal in a Multi-Patch Environment. Axioms, 13(11), 783. https://doi.org/10.3390/axioms13110783
