Analysis of Dynamic Surface Subsidence at the Underground Coal Mining Site in Velenje, Slovenia through Modified Sigmoidal Function
Abstract
:1. Introduction
2. Materials and Methods
2.1. Geological Structure of the Velenje Coal Mine Area
2.2. Mining Method
2.3. Surface Observation Points Analysis
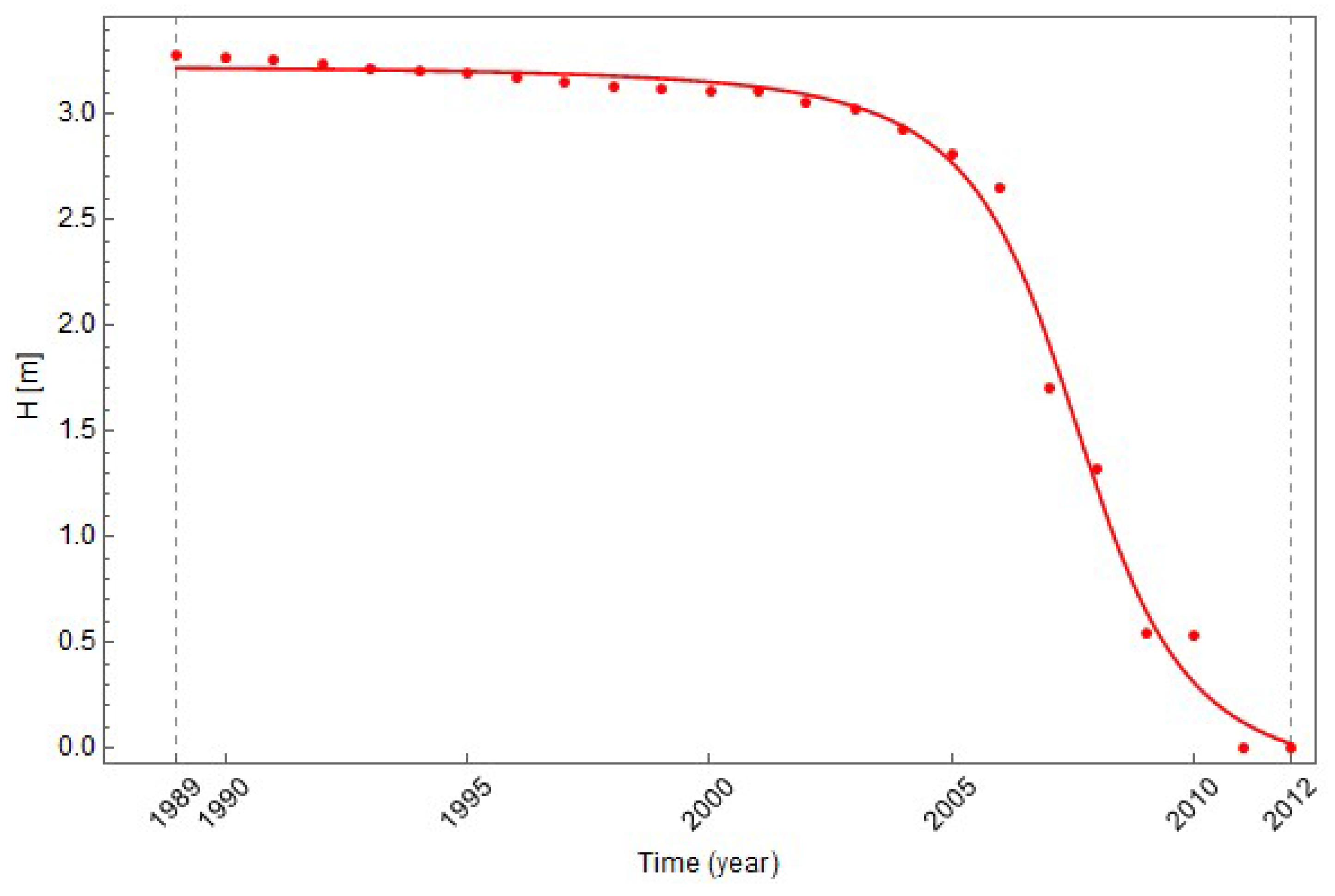
3. Results and Discussion
4. Conclusions
Acknowledgments
Author Contributions
Conflicts of Interest
References
- Markič, M.; Sachsenhofer, R.F. The Velenje Lignite—Its Petrology and Genesis; Geological Survey of Slovenia: Ljubljana, Slovenia, 2010; p. 218. [Google Scholar]
- Medved, M.; Golob, L. Sustainable development of Velenje Coal Mining Method and its global use. In Proceedings of the 4rd Balkan Mining Congress—Balkanmine, Ljubljana, Slovenia, 18–20 October 2011; pp. 349–359. [Google Scholar]
- Medved, M.; Dervarič, E.; Vižintin, G.; Likar, J.; Mayer, J. Analysis of seismic events at the Velenje Coal Mine. RMZ—Mater. Geoenviron. 2008, 55, 464–475. [Google Scholar]
- Veber, I.; Dervarič, E. Reserves presentation for Velenje coliery according to United Nations framework classification. In Proceedings of the First Session of the Ad Hoc Group of Experts on Classification of Energy Reserves and Resources, Geneva, Switzerland, 10–11 November 2004. [Google Scholar]
- Gibbs, M.N. Variational Gaussian process classifiers. IEEE Trans. Neural Netw. 2000, 11, 1458–1464. [Google Scholar] [PubMed]
- Ravindran Menon, A.; Mehtrotra, K.; Mohan, C.K.; Ranka, S. Characterization of a Class of Sigmoid Functions with Applications to Neural Networks. Electrical Engineering and Computer Science Technical Reports, Syracuse University. 1994. Available online: http://surface.syr.edu/cgi/viewcontent.cgi?article=1176&context=eecs_techreports (accessed on 2 September 2015).
- Vulić, M. Sigmoidna Funkcija (Internal Mine Surveying Lecture Series); University of Ljubljana, Faculty of Natural Sciences and Engineering: Ljubljana, Slovenia, 2013. [Google Scholar]
- Battaglio, M.; Mellomo, N.; Bonzani, I.; Lancellotta, R. Non-linear consolidation models of clay which change type. Int. J. Non-Linear Mech. 2003, 38, 493–500. [Google Scholar] [CrossRef]
- Sheorey, P.R.; Loui, J.P.; Singh, K.B.; Singh, S.K. Ground subsidence observations and a modified influence function method for complete subsidence prediction. Int. J. Rock Mech. Min. Sci. 2000, 37, 801–818. [Google Scholar] [CrossRef]
- Zangerl, C.; Eberhardt, E.; Evans, K.F.; Loew, S. Consolidation settlements above deep tunnels in fractured crystalline rock: Part 2—Numerical analysis of the Gotthard highway tunnel case study. Int. J. Rock Mech. Min. Sci. 2008, 45, 1211–1225. [Google Scholar] [CrossRef]
- Mine Subsidence Engineering Consultants Pty Ltd. Introduction to Longwall Mining and Subsidence; Mine Subsidence Engineering Consultants Pty Ltd.: New South Wales, Australia, 2007. [Google Scholar]













| Year | GB/6—H (m) | A5—H (m) | 367a/4—H (m) | Ša7—H (m) | X1-A1—H (m) |
|---|---|---|---|---|---|
| 1989 | 383.383 | 360.735 | 407.087 | 390.891 | - |
| 1990 | 383.371 | 360.729 | 407.090 | 390.788 | - |
| 1991 | 383.354 | 360.719 | 407.078 | 390.616 | - |
| 1992 | 383.340 | 360.709 | 407.051 | 390.473 | - |
| 1993 | 383.318 | 360.686 | 407.039 | 390.382 | - |
| 1994 | 383.306 | 360.673 | 407.033 | 390.300 | - |
| 1995 | 383.292 | 360.658 | 407.023 | 390.297 | - |
| 1996 | 383.276 | 360.653 | 407.023 | 390.277 | - |
| 1997 | 383.256 | 360.653 | 407.020 | 390.221 | - |
| 1998 | 383.235 | 360.647 | 406.975 | 390.090 | - |
| 1999 | 383.221 | 360.637 | 406.946 | 390.026 | - |
| 2000 | 383.206 | 360.633 | 406.927 | 389.957 | 368.245 |
| 2001 | 383.207 | 360.629 | 406.934 | 389.733 | 368.241 |
| 2002 | 383.155 | 360.624 | 406.922 | 389.647 | 368.241 |
| 2003 | 383.126 | 360.619 | 406.906 | 389.603 | 368.221 |
| 2004 | 383.025 | - | 406.890 | - | 368.198 |
| 2005 | 382.911 | - | 406.887 | 389.508 | 368.160 |
| 2006 | 382.750 | - | 406.883 | 389.496 | 368.136 |
| 2007 | 381.800 | - | 406.880 | 389.457 | 368.127 |
| 2008 | 381.423 | - | 406.876 | 389.450 | 368.110 |
| 2009 | 380.640 | - | 406.869 | 389.427 | 368.072 |
| 2010 | 380.638 | - | 406.865 | 389.412 | 368.039 |
| 2011 | 380.100 | - | 406.863 | 389.406 | 368.026 |
| 2012 | 380.100 | - | 406.864 | 389.397 | 368.003 |
| 2013 | - | - | 406.850 | 389.379 | 367.999 |
| 2014 | - | - | 406.842 | 389.365 | 367.998 |
| 2015 | - | - | 406.840 | 389.357 | 367.997 |
| Parameter | Value | σ | – τσ (τ = 3) | + τσ (τ = 3) |
|---|---|---|---|---|
| R | −0.1860 | 0.1028 | −0.4943 | 0.1224 |
| L | 3.2327 | 0.0300 | 3.1426 | 3.3228 |
| P | 2.4084 | 0.2370 | 1.6974 | 3.1194 |
| p | 19.5678 | 0.1340 | 19.1659 | 19.9696 |
| Parameter | Value | σ | – τσ (τ = 3) | + τσ (τ = 3) |
|---|---|---|---|---|
| R | 0.0224 | 0.0076 | −0.0005 | 0.0452 |
| L | 0.1962 | 0.0264 | 0.1171 | 0.2753 |
| P | 6.4075 | 1.4452 | 2.0718 | 10.7431 |
| p | 4.3343 | 0.8975 | 1.6419 | 7.0267 |
| Parameter | Value | σ | – τσ (τ = 3) | + τσ (τ = 3) |
|---|---|---|---|---|
| R | −0.1224 | 0.1202 | −0.4829 | 0.2382 |
| L | 0.9316 | 1.4880 | −3.5324 | 5.3955 |
| P | 26.9418 | 14.0258 | −15.1355 | 69.0192 |
| p | −6.3402 | 30.3409 | −97.3630 | 84.6825 |
| Parameter | Value | σ | − τσ (τ = 3) | + τσ (τ = 3) |
|---|---|---|---|---|
| R | −0.1917 | 0.0890 | −0.4587 | 0.0753 |
| L | 2.0493 | 0.3194 | 1.0911 | 3.0075 |
| P | 11.8904 | 2.4533 | 4.5306 | 19.2503 |
| p | 7.1505 | 1.5450 | 2.5154 | 11.7856 |
| Parameter | Value | σ | − τσ (τ = 3) | + τσ (τ = 3) |
|---|---|---|---|---|
| R | −0.0416 | 0.0165 | −0.0911 | 0.0079 |
| L | 0.2963 | 0.0201 | 0.2361 | 0.3566 |
| P | 6.0070 | 1.0572 | 2.8354 | 9.1786 |
| p | 7.8546 | 0.3494 | 6.8063 | 8.9030 |
© 2018 by the authors. Licensee MDPI, Basel, Switzerland. This article is an open access article distributed under the terms and conditions of the Creative Commons Attribution (CC BY) license (http://creativecommons.org/licenses/by/4.0/).
Share and Cite
Rošer, J.; Potočnik, D.; Vulić, M. Analysis of Dynamic Surface Subsidence at the Underground Coal Mining Site in Velenje, Slovenia through Modified Sigmoidal Function. Minerals 2018, 8, 74. https://doi.org/10.3390/min8020074
Rošer J, Potočnik D, Vulić M. Analysis of Dynamic Surface Subsidence at the Underground Coal Mining Site in Velenje, Slovenia through Modified Sigmoidal Function. Minerals. 2018; 8(2):74. https://doi.org/10.3390/min8020074
Chicago/Turabian StyleRošer, Janez, Drago Potočnik, and Milivoj Vulić. 2018. "Analysis of Dynamic Surface Subsidence at the Underground Coal Mining Site in Velenje, Slovenia through Modified Sigmoidal Function" Minerals 8, no. 2: 74. https://doi.org/10.3390/min8020074
APA StyleRošer, J., Potočnik, D., & Vulić, M. (2018). Analysis of Dynamic Surface Subsidence at the Underground Coal Mining Site in Velenje, Slovenia through Modified Sigmoidal Function. Minerals, 8(2), 74. https://doi.org/10.3390/min8020074

