Sign in to use this feature.

Years

Between: -

Subjects

remove_circle_outline
remove_circle_outline
remove_circle_outline
remove_circle_outline
remove_circle_outline
remove_circle_outline
remove_circle_outline
remove_circle_outline
remove_circle_outline

Journals

Article Types

Countries / Regions

Search Results (51)

Search Parameters:
Keywords = modified sigmoid function

Order results
Result details
Results per page
Select all
Export citation of selected articles as:
20 pages, 14180 KB  
Article
LTSPICE Memristor Neuron with a Modified Transfer Function Based on Memristor Model with Parasitic Parameters
by Stoyan Kirilov and Valeri Mladenov
Electronics 2025, 14(23), 4645; https://doi.org/10.3390/electronics14234645 - 26 Nov 2025
Viewed by 576
Abstract
Memristors, as novel one-port electronic elements, have very good memory and commutating properties, insignificant power consumption, and a good compatibility to present CMOS integrated chips. They are applicable in neural networks, memory arrays, and various electronic devices. This paper proposes a simple LTSPICE [...] Read more.
Memristors, as novel one-port electronic elements, have very good memory and commutating properties, insignificant power consumption, and a good compatibility to present CMOS integrated chips. They are applicable in neural networks, memory arrays, and various electronic devices. This paper proposes a simple LTSPICE model of an adapted activation function and a neuron built on memristors. In the neuron, synaptic bonds are implemented by single memristors, allowing a decreased circuit complexity. The summing and scaling schemes are based on op-amps and memristors. The applied modified tangent-sigmoidal activation function is implemented with MOS transistors and memristors. Analyses and simulations are conducted using a simple and high-rate operating memristor model with parasitic parameters—resistance, inductance, capacitance, and small-signal DC components. Their influence on the normal operation of the memristors in the neuron is analyzed, paying attention to their usage and adjustment. The proposed memristor-based artificial neuron is analyzed in MATLAB–Simulink and LTSPICE simulators. A comparison between the derived results confirms the correct operation of the proposed memristor neuron. The generation and analyses of the suggested memristor-based neuron is a significant and promising step for the design and engineering of high-complexity neural networks and their realization in ultra-high-density integrated neural circuits and chips. Full article
(This article belongs to the Special Issue Modern Circuits and Systems Technologies (MOCAST 2024))
Show Figures

Figure 1

24 pages, 2872 KB  
Article
Moisture Sorption Isotherms of Fructooligosaccharide and Inulin Powders and Their Gelling Competence in Delaying the Retrogradation of Rice Starch
by Bing Dai, Ruijun Chen, Zheng Wei, Jianzhang Wu and Xingjun Li
Gels 2025, 11(10), 817; https://doi.org/10.3390/gels11100817 - 12 Oct 2025
Cited by 2 | Viewed by 895
Abstract
The accurate determination of the equilibrium moisture content (EMC) of gel-related powdery samples requires strictly controlled conditions and a long time period. In this study, the adsorption and desorption isotherms of two fructooligosaccharide (FOS) powders and three inulin powders were determined using a [...] Read more.
The accurate determination of the equilibrium moisture content (EMC) of gel-related powdery samples requires strictly controlled conditions and a long time period. In this study, the adsorption and desorption isotherms of two fructooligosaccharide (FOS) powders and three inulin powders were determined using a dynamic moisture sorption analyzer at 0.1–0.9 water activity (aw) and 20–35 °C, respectively. The adsorption and desorption isotherms all exhibited type IIa sigmoidal curves; the desorptive isotherm was smooth, the FOS adsorption curves had three inflection points, and the inulin adsorption curves had five inflection points. Large hysteresis between the adsorption and desorption isotherms occurred at 0.1–0.7 aw for FOS and 0.1–0.6 aw for inulin. Seven equations, Boquet, Ferro–Fontan, Guggenheim–Anderson–de Boer (GAB), Generalized D’Arcy and Watt (GDW), modified GAB (MGAB), Peleg, and our developed Polynomial, were found to fit the isotherms of the FOS and inulin samples; for adsorption, the best equations were Ferro–Fontan and GDW, and for desorption, the best equations were Polynomial and MGAB. The GDW and MGAB equations could not distinguish the effect of temperature on the isotherms, while the Polynomial equation could. The mean adsorptive monolayer moisture content (M0) values in FOS and inulin samples were predicted as 7.29% and 7.94% wet basis, respectively. The heat of moisture sorption of FOS and inulin approached that of pure water at about 32.5% and 22.5% wet basis (w.b.) moisture content (MC), respectively. Fourier Transform Infrared Spectroscopy (FTIR) showed that the peaks in inulin with absorbance values above 0.52 and in FOS with absorbance values above 0.35 were at 1020, 1084, and 337 cm−1; these could represent the amorphous structure (primary alcohol C-OH), C-O group, and hydroxyl functional group, respectively. Microscopic structure analysis showed that inulin powder particles were more round-shaped and adhered together, resulting in hygroscopic and sticky characteristics, with a maximum equilibrium moisture content (EMC) of 34% w.b. In contrast, the FOS powders exhibited irregular amorphous particles and a maximum EMC of 60% w.b. As hydrogels, 3–10% FOS or inulin addition reduced the peak, trough, final, breakdown, and setback viscosities of rice starch pasting, but increased the peak time and pasting temperature. FOS addition gave stronger reduction in the setback viscosity and in amylose retrogradation of rice starch pasting than inulin addition. The differential scanning calorimeter (DSC) showed 3–10% FOS addition reduced the amylopectin aging of retrograded paste of rice starch, but 5–7% inulin addition tended to reduce. These results suggest that FOS and inulin have strong hygroscopic properties and can be used to maintain the freshness of starch-based foods. These data can be used for drying, storage, and functional food design of FOS and inulin products. Full article
(This article belongs to the Special Issue Modification of Gels in Creating New Food Products (2nd Edition))
Show Figures

Figure 1

31 pages, 3727 KB  
Article
Time-Domain Characterization of Linear Viscoelastic Behavior in Asphalt Mixtures: A Comparative Evaluation Through Discrete and Continuous Spectral Techniques
by Fei Zhang, Bingyuan Huo, Wanmei Gui, Chao Li, Heng Liu, Yongming Xing, Lan Wang and Pucun Bai
Polymers 2025, 17(10), 1299; https://doi.org/10.3390/polym17101299 - 9 May 2025
Viewed by 764
Abstract
This study systematically investigates continuous and discrete spectra methodologies for determining time-domain viscoelastic response functions (creep compliance and relaxation modulus) in asphalt mixtures. Through complex modulus testing of three asphalt mixtures (base asphalt mixture, SBS-modified asphalt mixture, and crumb rubber-modified asphalt mixture), we [...] Read more.
This study systematically investigates continuous and discrete spectra methodologies for determining time-domain viscoelastic response functions (creep compliance and relaxation modulus) in asphalt mixtures. Through complex modulus testing of three asphalt mixtures (base asphalt mixture, SBS-modified asphalt mixture, and crumb rubber-modified asphalt mixture), we established unified master curves using a Generalized Sigmoidal model with approximated Kramers–Kronig (K-K) relations. Discrete spectra can be obtained by Prony series of Maxwell/Kelvin modeling, while continuous spectra derived through integral transformation produced complementary response functions by numerical integration. Comparative analysis demonstrated that discrete and continuous spectra methods yield highly consistent predictions of the relaxation modulus and creep compliance within conventional time scales (10−7–105 s), with significant deviations emerging only at extreme temporal extremities. Compared to discrete spectra results, material parameters (relaxation modulus and creep compliance) derived from continuous spectra methods invariably asymptotically approach upper and lower plateaus. Notably, the maximum equilibrium values derived from continuous spectra methods consistently surpassed those obtained through discrete approaches, whereas the corresponding minimum values were consistently lower. This comparative analysis highlights the inherent limitations in the extrapolation reliability of computational methodologies, particularly regarding spectra method implementation. Furthermore, within the linear viscoelastic range, the crumb rubber-modified asphalt mixtures exhibited superior low-temperature cracking resistance, whereas the SBS-modified asphalt mixtures demonstrated enhanced high-temperature deformation resistance. This systematic comparative study not only establishes a critical theoretical foundation for the precise characterization of asphalt mixture viscoelasticity across practical engineering time scales through optimal spectral method selection, but also provides actionable guidance for region-specific material selection strategies. Full article
(This article belongs to the Special Issue Advances in Functional Rubber and Elastomer Composites, 3rd Edition)
Show Figures

Figure 1

19 pages, 317 KB  
Article
Sharp Second-Order Hankel Determinants Bounds for Alpha-Convex Functions Connected with Modified Sigmoid Functions
by Muhammad Abbas, Reem K. Alhefthi, Daniele Ritelli and Muhammad Arif
Axioms 2024, 13(12), 844; https://doi.org/10.3390/axioms13120844 - 1 Dec 2024
Cited by 3 | Viewed by 1275
Abstract
The study of the Hankel determinant generated by the Maclaurin series of holomorphic functions belonging to particular classes of normalized univalent functions is one of the most significant problems in geometric function theory. Our goal in this study is first to define a [...] Read more.
The study of the Hankel determinant generated by the Maclaurin series of holomorphic functions belonging to particular classes of normalized univalent functions is one of the most significant problems in geometric function theory. Our goal in this study is first to define a family of alpha-convex functions associated with modified sigmoid functions and then to investigate sharp bounds of initial coefficients, Fekete-Szegö inequality, and second-order Hankel determinants. Moreover, we also examine the logarithmic and inverse coefficients of functions within a defined family regarding recent issues. All of the estimations that were found are sharp. Full article
(This article belongs to the Special Issue Recent Advances in Complex Analysis and Related Topics)
23 pages, 11893 KB  
Article
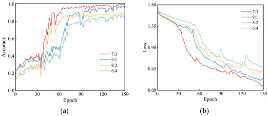
A High-Impedance Fault Detection Method for Active Distribution Networks Based on Time–Frequency–Space Domain Fusion Features and Hybrid Convolutional Neural Network
by Chen Wang, Lijun Feng, Sizu Hou, Guohui Ren and Tong Lu
Processes 2024, 12(12), 2712; https://doi.org/10.3390/pr12122712 - 1 Dec 2024
Cited by 6 | Viewed by 2691
Abstract
Traditional methods for detecting high-impedance faults (HIFs) in distribution networks primarily rely on constructing fault diagnosis models using one-dimensional zero-sequence current sequences. A single diagnostic model often limits the deep exploration of fault characteristics. To improve the accuracy of HIF detection, a new [...] Read more.
Traditional methods for detecting high-impedance faults (HIFs) in distribution networks primarily rely on constructing fault diagnosis models using one-dimensional zero-sequence current sequences. A single diagnostic model often limits the deep exploration of fault characteristics. To improve the accuracy of HIF detection, a new method for detecting HIFs in active distribution networks is proposed. First, by applying continuous wavelet transform (CWT) to the collected zero-sequence currents under various operating conditions, the time–frequency spectrum (TFS) is obtained. An optimized algorithm, modified empirical wavelet transform (MEWT), is then used to denoise the zero-sequence current signals, resulting in a series of intrinsic mode functions (IMFs). Secondly, the intrinsic mode functions (IMFs) are transformed into a two-dimensional spatial domain fused image using the symmetric dot pattern (SDP). Finally, the TFS and SDP images are synchronized as inputs to a hybrid convolutional neural network (Hybrid-CNN) to fully explore the system’s fault features. The Sigmoid function is utilized to achieve HIF detection, followed by simulation and experimental validation. The results indicate that the proposed method can effectively overcome the issues of traditional methods, achieving a detection accuracy of up to 98.85% across different scenarios, representing a 2–7% improvement over single models. Full article
(This article belongs to the Section AI-Enabled Process Engineering)
Show Figures

Figure 1

24 pages, 786 KB  
Article
Multi-Static Radar System Deployment Within a Non-Connected Region Utilising Particle Swarm Optimization
by Yi Han, Xueting Li, Tianxian Zhang and Xiaobo Yang
Remote Sens. 2024, 16(21), 4004; https://doi.org/10.3390/rs16214004 - 28 Oct 2024
Cited by 4 | Viewed by 1668
Abstract
This paper is mainly devoted to studying the deployment problem of a multi-static radar system (MSRS) within a non-connected deployment region using multi-objective particle swarm optimization (MOPSO). By modeling and reformulating the problem, it can be represented as a multi-objective mixed integer programming [...] Read more.
This paper is mainly devoted to studying the deployment problem of a multi-static radar system (MSRS) within a non-connected deployment region using multi-objective particle swarm optimization (MOPSO). By modeling and reformulating the problem, it can be represented as a multi-objective mixed integer programming (MOMIP), which eliminates the need for additional constraints. To enhance the algorithm performance, integer variables and continuous ones are treated separately employing multiple velocity formulas. The velocity formulas for integer variables are modified using the sigmoid function and genetic operation, leading to the proposal of two MSRS deployment algorithms, namely MOPSO-Sigmoid and MOPSO-Gene. To evaluate the performance of the proposed algorithms, they are compared with two existing MOPSO-based algorithms. The first algorithm is the MSRS deployment algorithm for the non-connected deployment region that addresses the additional constraint problem model. The second algorithm is based on an existing conventional MOPSO algorithm and addresses the equivalent MOMIP problem model. A numerical study demonstrates that MOPSO-Sigmoid and MOPSO-Gene exhibit promising efficiency and effectiveness. Full article
Show Figures

Figure 1

32 pages, 8805 KB  
Article
The Application of an Improved LESS Dung Beetle Optimization in the Intelligent Topological Reconfiguration of ShipPower Systems
by Yinchao Tan, Sheng Liu, Lanyong Zhang, Jian Song and Yuanjie Ren
J. Mar. Sci. Eng. 2024, 12(10), 1843; https://doi.org/10.3390/jmse12101843 - 15 Oct 2024
Cited by 3 | Viewed by 1584
Abstract
To address the shortcomings of the Dung Beetle Optimization (DBO) algorithm in ship power-system fault reconfiguration, such as low population diversity and an imbalance between global exploration and local exploitation, the authors of this paper propose an improved Dung Beetle Optimization (LESSDBO) algorithm. [...] Read more.
To address the shortcomings of the Dung Beetle Optimization (DBO) algorithm in ship power-system fault reconfiguration, such as low population diversity and an imbalance between global exploration and local exploitation, the authors of this paper propose an improved Dung Beetle Optimization (LESSDBO) algorithm. The improvements include optimizing the initial population using Latin hypercube sampling and an elite population strategy, optimizing parameters with an improved sigmoid activation function, introducing the sine–cosine algorithm (SCA) for position update optimization, and performing multi-population mutation operations based on individual quality. The LESSDBO algorithm was applied to simulate the fault reconfiguration of a ship power system, and it was compared with the traditional DBO, Genetic Algorithm (GA), and Modified Particle Swarm Optimization (MSCPSO) methods. The simulation results showed that LESSDBO outperformed the other algorithms in terms of convergence accuracy, convergence speed, and global search capability. Specifically, in the reconfiguration under Fault 1, LESSDBO achieved optimal convergence in seven iterations, reducing convergence iterations by more than 30% compared with the other algorithms. In the reconfiguration under Fault 2, LESSDBO achieved optimal convergence in eight iterations, reducing convergence iterations by more than 23% compared with the other algorithms. Additionally, in the reconfiguration under Fault Condition 1, LESSDBO achieved a minimum of four switch actions, which is 33% fewer than the other algorithms, on average. In the reconfiguration under Fault Condition 2, LESSDBO achieved a minimum of eight switch actions, which is a 5.9% reduction compared with the other algorithms. Furthermore, LESSDBO obtained the optimal reconfiguration solution in all 50 trials for both Faults 1 and 2, demonstrating a 100% optimal convergence probability and significantly enhancing the reliability and stability of the algorithm. The proposed method effectively overcomes the limitations of the traditional DBO in fault reconfiguration, providing an efficient and stable solution for the intelligent topology reconfiguration of ship power systems. Full article
Show Figures

Figure 1

40 pages, 24981 KB  
Article
Modeling Strain Hardening of Metallic Materials with Sigmoidal Function Considering Temperature and Strain Rate Effects
by Boyu Pan, Fuhui Shen, Sanjay Raghav Sampathkumar and Sebastian Münstermann
Materials 2024, 17(16), 3950; https://doi.org/10.3390/ma17163950 - 8 Aug 2024
Cited by 3 | Viewed by 3079
Abstract
This study uses a sigmoidal function to describe the plastic strain hardening of metallic materials, considering temperature and strain rate effects. The effectiveness of this approach is evaluated and systematically compared with other hardening laws. Incorporating temperature and strain rate effects into the [...] Read more.
This study uses a sigmoidal function to describe the plastic strain hardening of metallic materials, considering temperature and strain rate effects. The effectiveness of this approach is evaluated and systematically compared with other hardening laws. Incorporating temperature and strain rate effects into the parameters of this sigmoidal-type hardening law enables a more precise description and prediction of the plastic deformation of materials under different combinations of temperature and strain rate. The temperature effect is coupled using a simplified Arrhenius model, and the strain rate effect is coupled with a modified Johnson–Cook model. The sigmoidal-type hardening law is integrated with an asymmetric yield criterion to address complex behavior, such as anisotropy and strength differential effects. The calibration and validation of the constitutive model involve examining uniaxial tensile/compressive flow curves in various directions and biaxial tensile/compressive flow curves for diverse metallic alloys, proving the proposed model’s broad applicability. Full article
Show Figures

Figure 1

15 pages, 1986 KB  
Article
Modelling pH Dynamics, SCOBY Biomass Formation, and Acetic Acid Production of Kombucha Fermentation Using Black, Green, and Oolong Teas
by Ann Qi Chong, Nyuk Ling Chin, Rosnita A. Talib and Roseliza Kadir Basha
Processes 2024, 12(7), 1301; https://doi.org/10.3390/pr12071301 - 22 Jun 2024
Cited by 13 | Viewed by 8714
Abstract
Kombucha is a traditional, fermented beverage made with an essential biomaterial known as SCOBY (symbiotic culture of bacteria and yeast). Three different tea types, namely black, green, and oolong, were compared in kombucha fermentation in terms of pH dynamics, the formation of SCOBY [...] Read more.
Kombucha is a traditional, fermented beverage made with an essential biomaterial known as SCOBY (symbiotic culture of bacteria and yeast). Three different tea types, namely black, green, and oolong, were compared in kombucha fermentation in terms of pH dynamics, the formation of SCOBY biomass, and the production of acetic acid. The rational, exponential, and polynomial models described pH dynamics with good fit, R2 > 0.98. The formation of SCOBY biomass and the production of acetic acid were modelled using sigmoidal functions, with three-parameter logistic and Gompertz models and four-parameter Boltzmann and Richards models. The F-test indicated that the three-parameter models were statistically adequate; thus, the Gompertz model was modified to present the biological meaning of the parameters. The SCOBY biomass formation rates ranged from 7.323 to 9.980 g/L-day, and the acetic acid production rates ranged from 0.047 to 0.049% acid (wt/vol)/day, with the highest values from the non-conventional substrate, oolong tea. The correlations between pH and SCOBY biomass or acetic acid using polynomial models enable the prediction of product formation in kombucha processing. Full article
(This article belongs to the Section Food Process Engineering)
Show Figures

Figure 1

18 pages, 4545 KB  
Article
Investigation of Dynamic Viscoelastic Characteristics of Permeable Asphalt
by Xin Yan, Zhigang Zhou, Zhiren Liu and Yang Zhou
Materials 2024, 17(12), 2984; https://doi.org/10.3390/ma17122984 - 18 Jun 2024
Cited by 4 | Viewed by 1309
Abstract
In order to provide a basis for the structural analysis, design and maintenance of permeable asphalt pavements, and to promote their engineering promotion and application, this study investigated the dynamic viscoelastic properties of permeable asphalt mixtures (PAC-13) under complex stress states. A Simple [...] Read more.
In order to provide a basis for the structural analysis, design and maintenance of permeable asphalt pavements, and to promote their engineering promotion and application, this study investigated the dynamic viscoelastic properties of permeable asphalt mixtures (PAC-13) under complex stress states. A Simple Performance Tester (SPT) system was used to measure the dynamic modulus of the mix under complex stress states. The displacement factor and principal dynamic modulus curves were formed by fitting Sigmoidal functions and using 1stOpt (first optimization) software, the phase angle principal curves were further determined, and the dynamic modulus was predicted for the ambient phase (15–25 °C) using the Hirsch model. The results showed that the dynamic modulus of the mixtures decreases with an increasing temperature, and the maximum decrease in the dynamic modulus is 93% when the confining pressure is 100 kPa and the loading frequency is 10 Hz. The dynamic modulus increases with an increasing confining pressure and loading frequency, the maximum increase with an increasing confining pressure is 26.1% when the temperature is 25 °C and the loading frequency is 10 Hz, and the maximum increase with an increasing loading frequency is 411% when the temperature is 25 °C and the confining pressure is 100 Hz. The dynamic modulus has a strong frequency dependence at low temperatures, while it is stress-dependent at high temperatures. Meanwhile, based on the Hirsch model, a new modified prediction model was developed, which can well predict the dynamic modulus of permeable asphalt mixtures at room temperature. Full article
Show Figures

Figure 1

23 pages, 7581 KB  
Article
Fault Diagnosis of Wind Turbine Gearbox Based on Modified Hierarchical Fluctuation Dispersion Entropy of Tan-Sigmoid Mapping
by Xiang Wang and Yang Du
Entropy 2024, 26(6), 507; https://doi.org/10.3390/e26060507 - 11 Jun 2024
Cited by 8 | Viewed by 1714 | Correction
Abstract
Vibration monitoring and analysis are important methods in wind turbine gearbox fault diagnosis, and determining how to extract fault characteristics from the vibration signal is of primary importance. This paper presents a fault diagnosis approach based on modified hierarchical fluctuation dispersion entropy of [...] Read more.
Vibration monitoring and analysis are important methods in wind turbine gearbox fault diagnosis, and determining how to extract fault characteristics from the vibration signal is of primary importance. This paper presents a fault diagnosis approach based on modified hierarchical fluctuation dispersion entropy of tan-sigmoid mapping (MHFDE_TANSIG) and northern goshawk optimization–support vector machine (NGO–SVM) for wind turbine gearboxes. The tan-sigmoid (TANSIG) mapping function replaces the normal cumulative distribution function (NCDF) of the hierarchical fluctuation dispersion entropy (HFDE) method. Additionally, the hierarchical decomposition of the HFDE method is improved, resulting in the proposed MHFDE_TANSIG method. The vibration signals of wind turbine gearboxes are analyzed using the MHFDE_TANSIG method to extract fault features. The constructed fault feature set is used to intelligently recognize and classify the fault type of the gearboxes with the NGO–SVM classifier. The fault diagnosis methods based on MHFDE_TANSIG and NGO–SVM are applied to the experimental data analysis of gearboxes with different operating conditions. The results show that the fault diagnosis model proposed in this paper has the best performance with an average accuracy rate of 97.25%. Full article
(This article belongs to the Special Issue Entropy Applications in Condition Monitoring and Fault Diagnosis)
Show Figures

Figure 1

15 pages, 3252 KB  
Article
Precision Agriculture: Computer Vision-Enabled Sugarcane Plant Counting in the Tillering Phase
by Muhammad Talha Ubaid and Sameena Javaid
J. Imaging 2024, 10(5), 102; https://doi.org/10.3390/jimaging10050102 - 26 Apr 2024
Cited by 7 | Viewed by 4747
Abstract
The world’s most significant yield by production quantity is sugarcane. It is the primary source for sugar, ethanol, chipboards, paper, barrages, and confectionery. Many people are affiliated with sugarcane production and their products around the globe. The sugarcane industries make an agreement with [...] Read more.
The world’s most significant yield by production quantity is sugarcane. It is the primary source for sugar, ethanol, chipboards, paper, barrages, and confectionery. Many people are affiliated with sugarcane production and their products around the globe. The sugarcane industries make an agreement with farmers before the tillering phase of plants. Industries are keen on knowing the sugarcane field’s pre-harvest estimation for planning their production and purchases. The proposed research contribution is twofold: by publishing our newly developed dataset, we also present a methodology to estimate the number of sugarcane plants in the tillering phase. The dataset has been obtained from sugarcane fields in the fall season. In this work, a modified architecture of Faster R-CNN with feature extraction using VGG-16 with Inception-v3 modules and sigmoid threshold function has been proposed for the detection and classification of sugarcane plants. Significantly promising results with 82.10% accuracy have been obtained with the proposed architecture, showing the viability of the developed methodology. Full article
(This article belongs to the Special Issue Imaging Applications in Agriculture)
Show Figures

Figure 1

26 pages, 13105 KB  
Article
A Memristor Neural Network Based on Simple Logarithmic-Sigmoidal Transfer Function with MOS Transistors
by Valeri Mladenov and Stoyan Kirilov
Electronics 2024, 13(5), 893; https://doi.org/10.3390/electronics13050893 - 26 Feb 2024
Cited by 11 | Viewed by 3775
Abstract
Memristors are state-of-the-art, nano-sized, two-terminal, passive electronic elements with very good switching and memory characteristics. Owing to their very low power usage and a good compatibility to the existing CMOS ultra-high-density integrated circuits and chips, they are potentially applicable in artificial and spiking [...] Read more.
Memristors are state-of-the-art, nano-sized, two-terminal, passive electronic elements with very good switching and memory characteristics. Owing to their very low power usage and a good compatibility to the existing CMOS ultra-high-density integrated circuits and chips, they are potentially applicable in artificial and spiking neural networks, memory arrays, and many other devices and circuits for artificial intelligence. In this paper, a complete electronic realization of an analog circuit model of the modified neural net with memristor-based synapses and transfer function with memristors and MOS transistors in LTSPICE is offered. Each synaptic weight is realized by only one memristor, providing enormously reduced circuit complexity. The summing and scaling implementation is founded on op-amps and memristors. The logarithmic-sigmoidal activation function is based on a simple scheme with MOS transistors and memristors. The functioning of the suggested memristor-based neural network for pulse input signals is evaluated both analytically in MATLAB-SIMULINK and in the LTSPICE environment. The obtained results are compared one to another and are successfully verified. The realized memristor-based neural network is an important step towards the forthcoming design of complex memristor-based neural networks for artificial intelligence, for implementation in very high-density integrated circuits and chips. Full article
(This article belongs to the Section Artificial Intelligence Circuits and Systems (AICAS))
Show Figures

Figure 1

24 pages, 4708 KB  
Article
Investigating and Modeling of the Scour Downstream of a Tree Trunk Deflector in a Straight Channel
by Hadi Rashidi, Mohsen Najarchi and Seyed Mohammad Mirhosseini Hezaveh
Water 2023, 15(19), 3483; https://doi.org/10.3390/w15193483 - 4 Oct 2023
Cited by 1 | Viewed by 1573
Abstract
Scouring depends on several factors, including the water flow of artificial obstacles, sections, piers, and foundations, the disturbance of bed materials, and soil permeability. The other factors are the non-parallelism between piers and the water flow, the type of river activity (static or [...] Read more.
Scouring depends on several factors, including the water flow of artificial obstacles, sections, piers, and foundations, the disturbance of bed materials, and soil permeability. The other factors are the non-parallelism between piers and the water flow, the type of river activity (static or dynamic), and the existence of a waterfall or an obstacle that forms a waterfall in natural bed materials, causing the underlying bed materials to be washed away. This study fully investigated how the movement of a tree trunk affects a river’s flow by considering different flow conditions using the artificial neural network (ANN) model. A feedforward optimal network with the error back-propagation training algorithm and sigmoid transfer functions was used for four models. To determine the number of neurons in the hidden layer, one and ten neurons were selected in the hidden layer according to verification indicators. In addition, a physical model was utilized to measure data. To verify and test the models, our data were gathered in a laboratory using the physical model. Considering the network structure of one neuron in the hidden layer, a comparison was made between dimensional and dimensionless parameter models that are effective in terms of the dimensions of the scour hole. The comparison between the results of the ANN and the measured data using nonlinear regression models demonstrated that the ANN was more accurate and capable of simulating phenomena. Additionally, R and RMSE values were between 0.93 and 0.98, as well as 0.18 and 0.013, respectively. Finally, the results related to the width, height, length, and depth of the scour revealed that the modified DOT model had the best agreement with Mahdavizadeh’s measured data. Full article
(This article belongs to the Special Issue Renewable Energy System Flexibility for Water Desalination: Volume II)
Show Figures

Figure 1

17 pages, 9041 KB  
Article
Modified Super-Twisting Algorithm-Based Model Reference Adaptive Observer for Sensorless Control of the Interior Permanent-Magnet Synchronous Motor in Electric Vehicles
by Aykut Bıçak and Ayetül Gelen
Machines 2023, 11(9), 871; https://doi.org/10.3390/machines11090871 - 29 Aug 2023
Cited by 5 | Viewed by 3081
Abstract
In this paper, the model reference adaptive system (MRAS) method has been employed to observe speed in sensorless field-oriented control (FOC) with flux weakening (FW) and maximum torque per ampere (MTPA) operations for the interior permanent-magnet synchronous motor (IPMSM). This paper focuses on [...] Read more.
In this paper, the model reference adaptive system (MRAS) method has been employed to observe speed in sensorless field-oriented control (FOC) with flux weakening (FW) and maximum torque per ampere (MTPA) operations for the interior permanent-magnet synchronous motor (IPMSM). This paper focuses on the modified MRAS observer, which is based on the sigmoid function as a switching function and also the adaptive sliding mode coefficient. The sliding mode strategies are employed for the adaptation mechanism instead of the PI controller. The conventional PI-MRAS causes oscillations in rotor speed. To solve this problem, the modified adaptive super-twisting algorithm (STA)-based MRAS method is proposed by utilizing the sigmoid function. The proposed modified MRAS is compared to conventional methods. Additionally, it is examined for performance against the fast terminal sliding mode (FTSM), which is applied to the MRAS as an adaptation mechanism in terms of sliding mode strategies. The modified STA-MRAS is explored under the ECE and EUDC (Extra Urban Driving Cycle) drive cycles for electric vehicle applications. Finally, the obtained results show the validity and capability of the proposed adaptive STA-MRAS in terms of speed tracking. Full article
Show Figures

Figure 1

Back to TopTop