Clay/Fly Ash Bricks Evaluated in Terms of Kaolin and Vermiculite Precursors of Mullite and Forsterite, and Photocatalytic Decomposition of the Methanol–Water Mixture
Abstract
:1. Introduction
2. Materials and Methods
2.1. Materials
2.2. Production of Brick Cubes
2.3. Characterization Techniques
2.4. Testing Procedures of Cube Bricks
2.4.1. Physical and Mechanical Tests
2.4.2. Photocatalytic Activity Test of Bricks
3. Results and Discussion
3.1. Chemistry and Phases of Clays, FA, and FA/Clay Ceramic Bricks
3.2. Porosity of FA and FA/Clay Ceramics
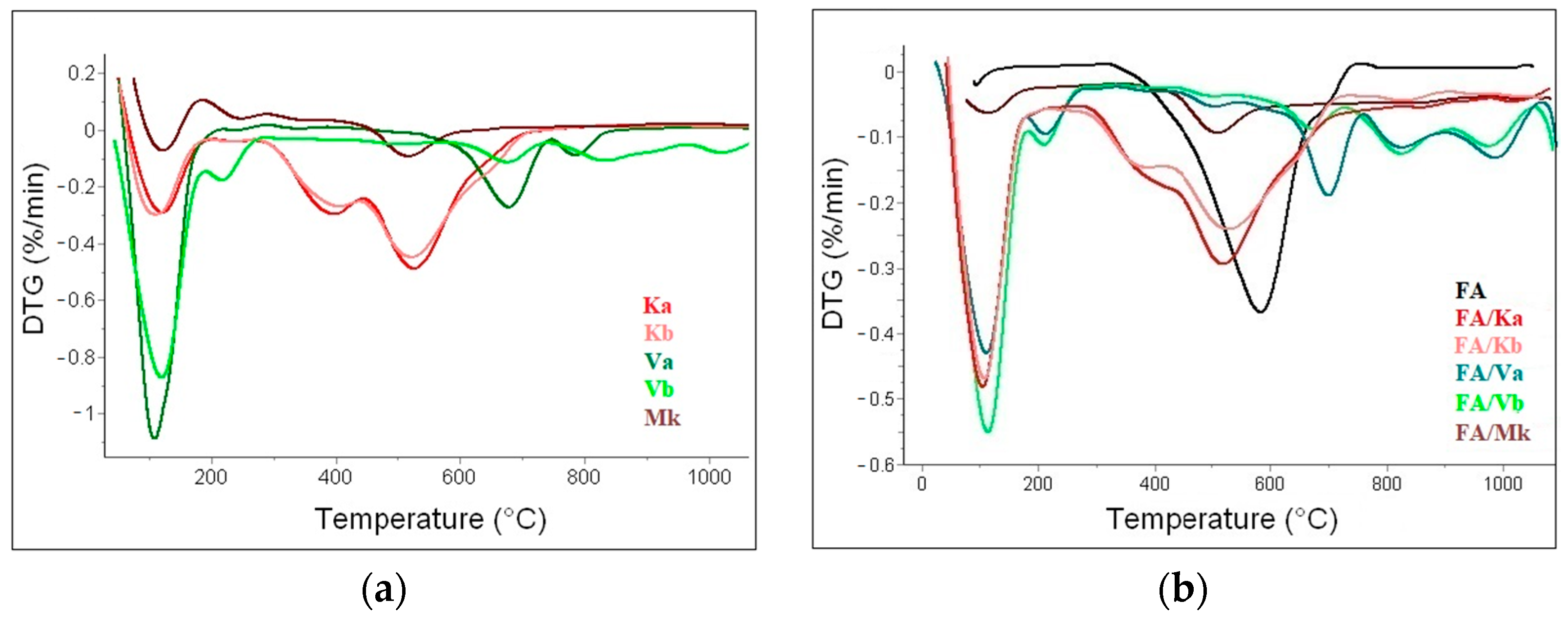
3.3. Thermal Transformation of Clays and FA/Clay Mixtures
3.4. Test Results of Ceramic Brick Cubes
3.4.1. Physical and Mechanical Properties
3.4.2. Photocatalytic Activity Test of Ceramic Bricks
4. Conclusions
Author Contributions
Funding
Data Availability Statement
Acknowledgments
Conflicts of Interest
References
- Ahmaruzzaman, M. A review on the utilization of fly ash. Prog. Energ. Combust. 2010, 36, 327–363. [Google Scholar] [CrossRef]
- Cultrone, G.; Rosua, F.J.C. Growth of metastable phases during brick firing: Mineralogical and microtextural changes induced by the composition of the raw material and the presence of additives. Appl. Clay Sci. 2020, 185, 105419. [Google Scholar] [CrossRef]
- Sun, Z.; Zhou, H.; Jiang, H.H.; Zhang, W.Y.; Mao, L.Q. Recycling municipal solid waste incineration fly ash in fired bricks: An evaluation of physical-mechanical and environmental properties. Construct. Build. Mater. 2021, 294, 1234765. [Google Scholar] [CrossRef]
- Linglin, X.; Wei, G.; Tao, W.; Nanru, Y. Study on fired bricks with replacing clay by fly ash in high volume ratio. Constr. Build. Mater. 2005, 19, 243–247. [Google Scholar] [CrossRef]
- Húlan, T.; Trník, A.; Kaljuvee, T.; Uibu, M.; Štubňa, I.; Kallavus, U.; Traksmaa, R. The study of firing of a ceramic body made from illite and fluidized bed combustion fly ash. J. Therm. Anal. Calorim. 2017, 127, 79–89. [Google Scholar] [CrossRef]
- Murmu, A.L.; Patel, A. Towards sustainable bricks production: An overview. Constr. Build. Mater. 2018, 165, 112–125. [Google Scholar] [CrossRef]
- Muñoz Velasco, P.; Morales Ortíz, M.P.; Mendívil Giró, M.A.; Muńoz Velasco, L. Fired clay bricks manufactured by adding wastes as sustainable construction material – A review. Constr. Build. Mater. 2014, 63, 97–107. [Google Scholar] [CrossRef]
- Queralt, I.; Querol, X.; Soler, A.L.; Plans, F. Use of coal fly ash for ceramics: A case study for a large Spanish power station. Fuel 1997, 76, 787–791. [Google Scholar] [CrossRef]
- Chen, S.; Cai, W.H.; Wu, J.M.; Ma, Y.X.; Li, C.H.; Shi, Y.S.; Yan, C.Z.; Wang, Y.J.; Zhang, H.X. Porous mullite ceramics with a fully closed-cell structure fabricated by direct coagulation casting using fly ash hollow spheres/kaolin suspension. Ceram. Int. 2020, 46, 17508–17513. [Google Scholar] [CrossRef]
- Aripin, H.; Mitsudo, S.; Prima, E.S.; Sudiana, I.N.; Kikuchi, H.; Sano, S.; Sabchevski, S. Crystalline mullite formation from mixtures of alumina and a novel material–Silica xerogel converted from sago waste ash. Ceram. Int. 2015, 41, 6488–6497. [Google Scholar] [CrossRef]
- Harbi, R.; Derabla, R.; Nafa, Z. Improvement of the properties of a mortar with 5% of kaolin fillers in sand combined with metakaolin, brick waste and glass powder in cement. Constr. Build. Mater. 2017, 152, 632–641. [Google Scholar] [CrossRef]
- Sutcu, M. Influence of expanded vermiculite on physical properties and thermal conductivity of clay bricks. Ceram. Int. 2015, 41, 2819–2827. [Google Scholar] [CrossRef]
- Wang, S.; Gainey, L.; Wang, X.D.; Marinelli, J.; Deer, B.; Wang, X.; Mackinnon, I.D.R.; Xi, Y. Effects of vermiculite on in-situ thermal behaviour, microstructure, physical and mechanical properties of fired clay bricks. Constr. Build. Mater. 2022, 316, 125828. [Google Scholar] [CrossRef]
- Marcos, C.; Argűelles, A.; Ruíz-Conde, A.; Sánchez-Soto, P.J.; Blanco, J.A. Study of the dehydration process of vermiculites by applying a vacuum pressure: Formation of interstratified phases. Mineral. Mag. 2003, 67, 1253–1268. [Google Scholar] [CrossRef]
- Kikuchi, R.; Kogure, T. Structural and compositional variances in ‘hidrobiotite’ sample from Palabora, South Africa. Clay Sci. 2018, 22, 39–52. [Google Scholar]
- Ramírez-Valle, V.; De Haro, M.C.J.; Avilés, M.A.; Pérez-Maqueda, L.A.; Durán, A.; Pascual, J.; Pérez-Rodríguez, J.L. Effect of interlayer cations on high-temperature phases of vermiculite. J. Therm. Anal. Calorim. 2006, 84, 147–155. [Google Scholar] [CrossRef]
- Suquet, H.; Mallard, C.; Quarton, M.; Dubernat, J.; Pezerat, H. Etude du biopyribole formé par chauffage des vermiculites magnésiennes. Clay Miner. 1984, 19, 217–227. [Google Scholar] [CrossRef]
- Luneng, R.; Bertel, S.N.; Mikkelsen, J.; Ratvik, A.P.; Grande, T. Chemical durability of thermal insulating materials in hall-héroult electrolysis cells. Ceramics 2019, 2, 441–459. [Google Scholar] [CrossRef]
- Petersen, R.R.; Christensen, F.S.; Jørgensen, N.T.; Gustafson, S.; Lindbjerg, L.A.; Yue, Y. Preparation and thermal properties of commercial vermiculite bonded with potassium silicate. Termochim. Acta 2021, 699, 178926. [Google Scholar] [CrossRef]
- Son, B.T.; Long, N.V.; Hang, N.T.N. Fly-ash, foundry sand-, clay- and pumice-based metal oxide nanocomposites as green photocatalysts. RSC Adv. 2021, 11, 30805. [Google Scholar] [CrossRef]
- Venkatraman, K.S.; Saraswat, M.; Choudhary, R.; Senatov, F.; Kaloshkin, S.; Swamiappan, S. Photocatalytic degradation of methylene blue dye by calcium-and magnesium-based silicate ceramics. ChemistrySelect 2020, 5, 12198–12205. [Google Scholar] [CrossRef]
- Venkatraman, K.S.; Vijayakumar, N.; Bal, D.K.; Mishra, A.; Gupta, B.; Mishra, V.; Wysokowski, M.; Koppala, S.; Swamiappan, S. Degradation of environmentally harmful textile dye rhodamine B using silicate ceramic photocatalysts. Inorg. Chem. Commun. 2022, 142, 109674. [Google Scholar] [CrossRef]
- ASTM C326-09; Standard Test Method for Drying and Firing Shrinkage of Ceramic Whiteware Clays. ASTM International: West Conshohocken, PA 19428-2959, USA, 2018.
- Standard Specification for Coal Fly Ash and Raw or Calcined Natural Pozzolan for Use as a Mineral in Concrete. ASTM International: West Conshohocken, PA, USA, 2019.
- Wang, S.; Gainey, L.; Wang, X.D.; Mackinnon, I.D.R.; Xi, Y.F. Influence of palygorskite on in-situ thermal behaviours of clay mixtures and properties of fired bricks. Appl Clay Sci. 2022, 216, 106384. [Google Scholar] [CrossRef]
- Valášková, M.; Klika, Z.; Novosad, B.; Smetana, B. Crystallization and quantification of crystalline and non-crystalline phases in kaolin-based cordierites. Materials 2019, 12, 3104. [Google Scholar] [CrossRef]
- Valášková, M.; Madejová, J.; Inayat, A.; Matějová, L.; Ritz, M.; Martaus, A.; Leštinský, P. Vermiculites from Brazil and Palabora: Structural changes upon heat treatment and influence on the depolymerization of polystyrene. Appl. Clay Sci. 2020, 192, 105639. [Google Scholar] [CrossRef]
- Wang, S.; Gainey, L.; Mackinnon, I.D.R.; Allen, C.; Gu, Y.; Xi, Y. Thermal behaviors of clay minerals as key components and additives for fired brick properties: A review. J. Build. Eng. 2023, 66, 105802. [Google Scholar] [CrossRef]
- Warr, L.N. IMA–CNMNC approved mineral symbols. Mineral. Mag. 2021, 85, 291–320. [Google Scholar] [CrossRef]
- Schneider, H.; Komarneni, S. (Eds.) Mullite; Wiley VCH: Weinheim, Germany, 2005. [Google Scholar]
- Tsai, M.T. Effects of hydrolysis processing on the characterization of forsterite gel fibers: II, crystallites and microstructural evolutions. J. Eur. Ceram. Soc. 2002, 22, 1085–1094. [Google Scholar] [CrossRef]
- Pérez-Maqueda, L.A.; Balek, V.; Poyato, J.; Pérez-Rodríquez, J.L.; Šubrt, J.; Bountsewa, I.M.; Beckman, I.N.; Málek, Z. Study of natural and ion exchanged vermiculite by emanation thermal analysis, TG, DTA and XRD. J. Therm. Anal. Calor. 2003, 71, 715–726. [Google Scholar] [CrossRef]
- Ma, L.Y.; Su, X.L.; Xi, Y.F.; Wei, J.M.; Liang, X.L.; Zhu, J.X.; He, H.P. The structural change of vermiculite during dehydration processes: A real-time in-situ XRD method. Appl. Clay Sci. 2019, 183, 10533. [Google Scholar] [CrossRef]
- Velasco, P.M.; Ortiz, M.P.M.; Giró, M.A.M.; Melia, D.M.; Rehbein, J.H. Development of sustainable fired clay bricks by adding kindling from vine shoot: Study of thermal and mechanical properties. Appl. Clay Sci. 2015, 107, 156–164. [Google Scholar] [CrossRef]
- Hulan, T.; Stubna, I.; Ondruska, J. The influence of fly ash on mechanical properties of clay-based ceramics. Minerals 2020, 10, 930. [Google Scholar] [CrossRef]
- Moreno-Tovar, R.; Pérez-Moreno, F.; Arenas-Flores, A.; Romero-Guerrero, L.M. Thermal behavior, chemical, mineralogical and optical characterization of clays (kaolin) for industrial use as refractory material. Adv. Mater. Res. 2014, 976, 174–178. [Google Scholar] [CrossRef]
- Schneider, H.; Rager, H. Iron incorporation in mullite. Ceram. Int. 1986, 12, 117–125. [Google Scholar] [CrossRef]
- Lecomte, G.L.; Bonnet, J.P.; Blanchart, P. A study of the influence of muscovite on the thermal transformations of kaolinite from room temperature up to 1100 °C. J. Mater. Sci. 2007, 42, 8745–8752. [Google Scholar] [CrossRef]
- Dong, Y.; Feng, X.; Feng, X.; Ding, Y.; Liu, X.; Meng, G. Preparation of low-cost mullite ceramics from natural bauxite and industrial waste fly ash. J. Alloys Compd. 2008, 460, 599–606. [Google Scholar] [CrossRef]
- Valášková, M.; Blahůšková, V.; Vlček, J. Effects of kaolin additives in fly ash on sintering and properties of mullite ceramics. Minerals 2021, 11, 887. [Google Scholar] [CrossRef]
- Okada, K.; Otsuka, N.; Somiya, S. Review of mullite synthesis routes in Japan. Am. Ceram. Soc. Bull. 1991, 70, 1633–1640. [Google Scholar]








| Sample | SiO2 (mass%) | TiO2 (mass%) | Al2O3 (mass%) | Fe2O3 FeO (mass%) | CaO (mass%) | MgO (mass%) | K2O (mass%) | Na2O (mass%) | L.O.I 1 (mass%) |
|---|---|---|---|---|---|---|---|---|---|
| FA | 53.57 | 1.21 | 24.20 | 7.40 | 3.36 | 1.28 | 2.87 | 0.81 | 5.2 |
| Ka | 51.35 | 0.75 | 31.60 | 0.71 | 0.26 | 0.28 | 1.40 | <0.01 | 13.30 |
| Kb | 49.40 | 0.87 | 34.37 | 0.85 | 0.19 | 0.31 | 2.55 | <0.01 | 10.62 |
| Mk | 57.58 | 0.59 | 37.08 | 0.94 | 0.04 | 0.28 | 0.97 | <0.01 | 3.22 |
| Va | 43.39 | 1.11 | 8.88 | 5.06 | 1.43 | 23.48 | 4.81 | 0.15 | 8.38 |
| Vb | 44.02 | 0.75 | 11.02 | 6.65 | 1.30 | 23.23 | 1.82 | 0.35 | 9.73 |
| FA | 54.90 | 1.12 | 28.43 | 6.65 | 3.25 | 2.30 | 2.95 | 0.40 | n.d. 2 |
| FA/Ka | 56.47 | 1.02 | 33.17 | 3.21 | 1.27 | 0.70 | 2.11 | 2.05 | n.d. 2 |
| FA/Kb | 56.63 | 0.95 | 32.18 | 3.35 | 1.43 | 0.77 | 2.77 | 1.92 | n.d. 2 |
| FA/Mk | 56.54 | 0.79 | 36.11 | 3.08 | 1.20 | 0.58 | 1.70 | <0.01 | n.d. 2 |
| FA/Va | 46.66 | 1.14 | 16.50 | 8.53 | 5.22 | 17.83 | 4.12 | <0.01 | n.d. 2 |
| FA/Vb | 47.82 | 1.09 | 17.05 | 7.92 | 5.58 | 16.94 | 3.60 | <0.01 | n.d. 2 |
| Sample | Hg Porosimetry and He Pycnometry | Physisorption | ||||
|---|---|---|---|---|---|---|
| Vintr (cm3/g) | ρHg (g/cm3) | ρHe (g/cm3) | ε (%) | SBET (m2/g) | Vnet (cm3(STP)/g) | |
| FA | 0.23 | 1.49 | 2.67 | 44 | 0.79 | 1.20 |
| FA/Ka | 0.28 | 1.43 | 2.27 | 37 | 1.26 | 2.63 |
| FA/Kb | 0.20 | 1.67 | 2.33 | 28 | 1.07 | 2.36 |
| FA/Mk | 0.31 | 1.40 | 2.40 | 42 | 5.16 | 17.77 |
| FA/Va | 0.24 | 1.64 | 2.59 | 37 | 2.09 | 6.73 |
| FA/Vb | 0.35 | 1.41 | 2.60 | 46 | 2.30 | 10.05 |
| Sample | ∆m (%) | Tm 1 (°C) | Tm 2 (°C) | Tm 3 (°C) | Tm 4 (°C) | Tm 5 (°C) | Tm 6 (°C) | Tm 7 (°C) | T1exo (°C) | T2exo (°C) |
|---|---|---|---|---|---|---|---|---|---|---|
| FA | −5.5 | 119 | – | – | 589 | 679 | – | – | 813 | 1025 |
| Ka | −11.7 | 110 | – | 395 | 528 | – | – | – | 980 | |
| Kb | −11.2 | 108 | – | 326 | 519 | – | – | – | 975 | |
| Mk | −0.7 | 120 | – | 349 | 520 | – | – | – | 981 | |
| Va | −7.8 | 115 | 230 | – | 505 | 682 | 789 | 998 | 924 | |
| Vb | −10.9 | 112 | 217 | – | 501 | 658 | 827 | 989 | 857 | |
| FA/Ka | −12.1 | 104 | – | 361 | 532 | – | 866 | – | 966 | |
| FA/Kb | −10.8 | 102 | – | 344 | 510 | – | 840 | – | 954 | |
| FA/Mk | −4.3 | 112 | – | – | 538 | 699 | 845 | – | 978 | |
| FA/Va | −9.3 | 110 | 219 | – | 512 | 689 | 822 | 991 | 743 | 833 |
| FA/Vb | −8.8 | 107 | 216 | – | 491 | 637 | 815 | 963 | 730 | 821 |
| Sample | WL (%) | DS (%) | FS (%) | CS (MPa) |
|---|---|---|---|---|
| FA | 4.71 ± 0.07 | 0.60 ± 0.16 | 8.81 ± 0.16 | 9.98 ± 0.48 |
| FA/Ka | 11.86 ± 0.12 | 1.80 ± 0.19 | 6.10 ± 0.19 | 14.97 ± 1.23 |
| FA/Kb | 11.59 ± 0.15 | 2.24 ± 0.15 | 9.46 ± 0.14 | 25.57 ± 5.53 |
| FA/Mk | 9.90 ± 0.10 | 3.04 ± 0.14 | 2.86 ± 0.18 | 9.11 ± 0.93 |
| FA/Va | 10.13 ± 0.08 | 6.27 ± 0.17 | 6.75 ± 0.16 | 14.05 ± 3.61 |
| FA/Vb | 9.25 ± 0.07 | 3.73 ± 0.29 | 2.50 ± 0.30 | 12.25 ± 5.88 |
| Sample | a (Å) | b (Å) | c (Å) | Fe2O3 (mass%) |
|---|---|---|---|---|
| FA | 7.560 | 7.707 | 2.887 | 5.78 |
| FA/Ka | 7.594 | 7.722 | 2.889 | 10.35 |
| FA/Kb | 7.589 | 7.714 | 2.889 | 7.91 |
| FA/Mk | 7.564 | 7.712 | 2.892 | 7.30 |
Disclaimer/Publisher’s Note: The statements, opinions and data contained in all publications are solely those of the individual author(s) and contributor(s) and not of MDPI and/or the editor(s). MDPI and/or the editor(s) disclaim responsibility for any injury to people or property resulting from any ideas, methods, instructions or products referred to in the content. |
© 2023 by the authors. Licensee MDPI, Basel, Switzerland. This article is an open access article distributed under the terms and conditions of the Creative Commons Attribution (CC BY) license (https://creativecommons.org/licenses/by/4.0/).
Share and Cite
Valášková, M.; Blahůšková, V.; Edelmannová, M.F.; Matějová, L.; Soukup, K.; Plevová, E. Clay/Fly Ash Bricks Evaluated in Terms of Kaolin and Vermiculite Precursors of Mullite and Forsterite, and Photocatalytic Decomposition of the Methanol–Water Mixture. Minerals 2023, 13, 1114. https://doi.org/10.3390/min13091114
Valášková M, Blahůšková V, Edelmannová MF, Matějová L, Soukup K, Plevová E. Clay/Fly Ash Bricks Evaluated in Terms of Kaolin and Vermiculite Precursors of Mullite and Forsterite, and Photocatalytic Decomposition of the Methanol–Water Mixture. Minerals. 2023; 13(9):1114. https://doi.org/10.3390/min13091114
Chicago/Turabian StyleValášková, Marta, Veronika Blahůšková, Miroslava Filip Edelmannová, Lenka Matějová, Karel Soukup, and Eva Plevová. 2023. "Clay/Fly Ash Bricks Evaluated in Terms of Kaolin and Vermiculite Precursors of Mullite and Forsterite, and Photocatalytic Decomposition of the Methanol–Water Mixture" Minerals 13, no. 9: 1114. https://doi.org/10.3390/min13091114
APA StyleValášková, M., Blahůšková, V., Edelmannová, M. F., Matějová, L., Soukup, K., & Plevová, E. (2023). Clay/Fly Ash Bricks Evaluated in Terms of Kaolin and Vermiculite Precursors of Mullite and Forsterite, and Photocatalytic Decomposition of the Methanol–Water Mixture. Minerals, 13(9), 1114. https://doi.org/10.3390/min13091114

