Sign in to use this feature.

Years

Between: -

Subjects

remove_circle_outline
remove_circle_outline
remove_circle_outline
remove_circle_outline
remove_circle_outline
remove_circle_outline
remove_circle_outline
remove_circle_outline
remove_circle_outline

Journals

remove_circle_outline
remove_circle_outline
remove_circle_outline
remove_circle_outline
remove_circle_outline
remove_circle_outline
remove_circle_outline
remove_circle_outline
remove_circle_outline
remove_circle_outline
remove_circle_outline
remove_circle_outline
remove_circle_outline
remove_circle_outline
remove_circle_outline
remove_circle_outline
remove_circle_outline
remove_circle_outline
remove_circle_outline
remove_circle_outline
remove_circle_outline
remove_circle_outline
remove_circle_outline
remove_circle_outline
remove_circle_outline
remove_circle_outline
remove_circle_outline
remove_circle_outline
remove_circle_outline
remove_circle_outline
remove_circle_outline
remove_circle_outline
remove_circle_outline
remove_circle_outline
remove_circle_outline
remove_circle_outline
remove_circle_outline
remove_circle_outline
remove_circle_outline
remove_circle_outline

Article Types

Countries / Regions

remove_circle_outline
remove_circle_outline
remove_circle_outline
remove_circle_outline
remove_circle_outline
remove_circle_outline
remove_circle_outline
remove_circle_outline
remove_circle_outline
remove_circle_outline
remove_circle_outline

Search Results (13,472)

Search Parameters:
Keywords = firing

Order results
Result details
Results per page
Select all
Export citation of selected articles as:
17 pages, 819 KB  
Article
Streamlining Wetland Vegetation Mapping with AlphaEarth Embeddings: Comparable Accuracy to Traditional Methods with Cleaner Maps and Minimal Preprocessing
by Shawn Ryan, Megan Powell, Joanne Ling and Li Wen
Remote Sens. 2026, 18(2), 293; https://doi.org/10.3390/rs18020293 - 15 Jan 2026
Abstract
Accurate mapping of wetland vegetation is essential for ecosystem monitoring and conservation planning. Traditional workflows combining Sentinel-1 SAR, Sentinel-2 optical imagery, and topographic data have advanced vegetation classification but require extensive preprocessing and often yield fragmented boundaries and “salt-and-pepper” noise. In this study, [...] Read more.
Accurate mapping of wetland vegetation is essential for ecosystem monitoring and conservation planning. Traditional workflows combining Sentinel-1 SAR, Sentinel-2 optical imagery, and topographic data have advanced vegetation classification but require extensive preprocessing and often yield fragmented boundaries and “salt-and-pepper” noise. In this study, we compare a conventional multi-sensor classification framework with a novel embedding-based approach derived from the AlphaEarth foundation model, using a cluster-guided Random Forest classifier applied to the dynamic wetland system of Narran Lake, New South Wales. Both approaches achieved high accuracy ac with test performance typically in the ranges: OA = 0.985–0.991, Cohen’s κ = 0.977–0.990, weighted F1 = 0.986–0.991, and MCC = 0.977–0.990. Embedding based maps showed markedly improved spatial coherence (lower edge density, local entropy, and patch fragmentation), producing smoother, ecologically consistent boundaries while requiring minimal preprocessing. Differences in class delineation were most evident in fire-affected and agricultural areas, where embeddings demonstrated greater resilience to spectral disturbance and post-fire variability. Although overall accuracies exceeded 0.98, these high values reflect the use of spectrally pure, homogeneous training samples rather than overfitting. The results highlight that embedding-driven methods can deliver cleaner, more interpretable vegetation maps with far less data preparation, underscoring their potential to streamline large-scale ecological monitoring and enhance the spatial realism of wetland mapping. Full article
(This article belongs to the Section Environmental Remote Sensing)
Show Figures

Figure 1

16 pages, 31401 KB  
Article
Estimating the Spatio-Temporal Distribution of Smoke Layer Interface Height in Tunnel Fires During Construction
by Lin Xu, Mingxuan Qiu, Yinghao Zhao, Chao Ding, Longyue Li and Shengzhong Zhao
Fire 2026, 9(1), 39; https://doi.org/10.3390/fire9010039 - 15 Jan 2026
Abstract
When a fire occurs in a tunnel during construction, the smoke cannot be discharged in time and continues to settle near the ground, which threatens the safety of personnel. It is essential to understand smoke layer distribution for safe evacuation. To fill the [...] Read more.
When a fire occurs in a tunnel during construction, the smoke cannot be discharged in time and continues to settle near the ground, which threatens the safety of personnel. It is essential to understand smoke layer distribution for safe evacuation. To fill the knowledge gap for the spatio-temporal distribution of the smoke layer, a series of fire experiments are carried out in 1/20 reduced-scale tunnel models. Multiple variables are considered, including longitudinal fire location, heat release rate, aspect ratio of the main tunnel, and the inclined shaft length. Two fire scenarios are defined according to the longitudinal fire location in the main tunnel: near the upstream closed end (scenario 1) and near the downstream closed end (scenario 2). The results show that the structural evolution of the smoke layer inside the main tunnel experiences roughly three stages: single-layer smoke flow stage, transition stage, and two-layer smoke flow stage. In different fire scenarios, the reasonable N value is 10, determined by comparing the smoke layer interface height (hs) predicted by the N-percentage method with the observed results. Moreover, we find that the FDS simulation method has significant deviation in predicting poor stratification situations. Furthermore, the spatio-temporal distributions of hs in the main tunnel are predicted based on N = 10. The coupled effects of heat release rate and the longitudinal fire location on the hs values are analyzed. The tar value (time of smoke arrival at the respiratory height) is determined, and its spatial variations are predicted. By comparing the tar values at position 2# (near the inclined shaft) in different fire scenarios, we can provide a reference for the evacuation of personnel. Full article
Show Figures

Figure 1

21 pages, 4891 KB  
Article
Carbon–Electricity–Heat Coupling Process for Full Unit Carbon Capture: A 1000 MW Case in China
by Jingchun Chu, Yang Yang, Liang Zhang, Chaowei Wang, Jinning Yang, Dong Xu, Xiaolin Wei, Heng Cheng and Tao Wang
Energies 2026, 19(2), 423; https://doi.org/10.3390/en19020423 - 15 Jan 2026
Abstract
Carbon capture is pivotal for achieving carbon neutrality; however, its high energy consumption severely limits the operational flexibility of power plants and remains a key challenge. This study, targeting a full flue gas carbon capture scenario for a 1000 MW coal-fired power plant, [...] Read more.
Carbon capture is pivotal for achieving carbon neutrality; however, its high energy consumption severely limits the operational flexibility of power plants and remains a key challenge. This study, targeting a full flue gas carbon capture scenario for a 1000 MW coal-fired power plant, identified the dual-element (“steam” and “power generation”) coupling convergence mechanism. Based on this mechanism, a comprehensive set of mathematical model equations for the “carbon–electricity–heat” coupling process is established. This model quantifies the dynamic relationship between key operational parameters (such as unit load, capture rate, and thermal consumption level) and system performance metrics (such as power output and specific power penalty). To address the challenge of flexible operation, this paper further proposes two innovative coupled modes: steam thermal storage and chemical solvent storage. Model-based quantitative analysis indicated the following: (1) The power generation impact rate under full THA conditions (25.7%) is lower than that under 30% THA conditions (27.7%), with the specific power penalty for carbon capture decreasing from 420.7 kW·h/tCO2 to 366.7 kW·h/tCO2. (2) Thermal consumption levels of the capture system are a critical influencing factor; each 0.1 GJ/tCO2 increase in thermal consumption leads to an approximate 2.83% rise in unit electricity consumption. (3) Steam thermal storage mode effectively reduces peak-period capture energy consumption, while the chemical solvent storage mode almost fully eliminates the impact on peak power generation and provides optimal deep peak-shaving capability and operational safety. Furthermore, these modeling results provide a basis for decision-making in plant operations. Full article
(This article belongs to the Special Issue CO2 Capture, Utilization and Storage)
Show Figures

Figure 1

31 pages, 6077 KB  
Article
A Multi-Temporal Sentinel-2 and Machine Learning Approach for Precision Burned Area Mapping: The Sardinia Case Study
by Claudia Collu, Dario Simonetti, Francesco Dessì, Marco Casu, Costantino Pala and Maria Teresa Melis
Remote Sens. 2026, 18(2), 267; https://doi.org/10.3390/rs18020267 - 14 Jan 2026
Abstract
The escalating threat of wildfires under global climate change necessitates rigorous monitoring to mitigate environmental and socio-economic risks. Burned area (BA) mapping is crucial for understanding fire dynamics, assessing ecosystem impacts, and supporting sustainable land management under increasing fire frequency. This study aims [...] Read more.
The escalating threat of wildfires under global climate change necessitates rigorous monitoring to mitigate environmental and socio-economic risks. Burned area (BA) mapping is crucial for understanding fire dynamics, assessing ecosystem impacts, and supporting sustainable land management under increasing fire frequency. This study aims to develop a high-resolution detection framework specifically calibrated for Mediterranean environmental conditions, ensuring the production of consistent and accurate annual BA maps. Using Sentinel-2 MSI time series over Sardinia (Italy), the research objectives were to: (i) integrate field surveys with high-resolution photointerpretation to build a robust, locally tuned training dataset; (ii) evaluate the discriminative power of multi-temporal spectral indices; and (iii) implement a Random Forest classifier capable of providing higher spatial precision than current operational products. Validation results show a Dice Coefficient (DC) of 91.8%, significantly outperforming the EFFIS Burnt Area product (DC = 79.9%). The approach proved particularly effective in detecting small and rapidly recovering fires, often underrepresented in existing datasets. While inaccuracies persist due to cloud cover and landscape heterogeneity, this study demonstrates the effectiveness of a machine learning approach for long-term monitoring, for generating multi-year wildfire inventories, offering a vital tool for data-driven forest policy, vegetation recovery assessment and land-use change analysis in fire-prone regions. Full article
Show Figures

Figure 1

25 pages, 5084 KB  
Review
The Impacts of Extreme Weather Events on Soil Contamination by Heavy Metals and Polycyclic Aromatic Hydrocarbons: An Integrative Review
by Traianos Minos, Alkiviadis Stamatakis, Evangelia E. Golia, Chrysovalantou Adamantidou, Pavlos Tziourrou, Marios-Efstathios Spiliotopoulos and Edoardo Barbieri
Land 2026, 15(1), 165; https://doi.org/10.3390/land15010165 - 14 Jan 2026
Abstract
Floods and wildfires are two extreme environmental events with significant yet different impacts on soil health and on two particularly important soil pollutants, heavy metals (HMs) and polycyclic aromatic hydrocarbons (PAHs), which are directly associated with ishytoxic properties and their ability to enter [...] Read more.
Floods and wildfires are two extreme environmental events with significant yet different impacts on soil health and on two particularly important soil pollutants, heavy metals (HMs) and polycyclic aromatic hydrocarbons (PAHs), which are directly associated with ishytoxic properties and their ability to enter the food chain. The present study includes a methodological approach that was based on a literature review of published studies conducted worldwide regarding these two phenomena. The main forms of both pollutants, their possible sources and inevitable deposition onto the soil surface, along with their behavior–transport–mobility, and their residence time in soil were investigated. Furthermore, the changes that both HMs and PAHs induce in the physicochemical properties of post-flood and post-fire soils (in soil pH, Cation Exchange Capacity (CEC), organic matter content, porosity, mineralogical alterations, etc.), are investigated after a literature review of various case studies. Wildfires, in contrast to floods, can more easily remove large quantities of heavy metals into the soil ecosystem, most likely due to the intense erosion they cause. At the same time, floods appear to significantly burden soils with PAHs. In wildfires, the largest mean increases were observed for Mn (386%), Zn (300%), and Cu (202%). In floods, Pb showed the highest mean increase (534%), with Cd also rising substantially (236%). Regarding total PAHs, mean post-event concentrations reached 482.3 μg/kg after wildfires, compared to 4384 μg/kg after floods. Changes in the structure and chemical composition of flooded and burned soils may also affect the mobility and bioavailability of the pollutants under study. Overall, these two phenomena significantly alter soil quality, affecting both ecological processes and potential health impacts. Full article
(This article belongs to the Section Land Use, Impact Assessment and Sustainability)
Show Figures

Figure 1

20 pages, 2667 KB  
Article
Effects of Post-Fire Silvicultural Practices on Medium and Large-Sized Mammal Communities in Mediterranean Forests
by Yasin İlemin, Serkan Özdemir and Okan Ürker
Fire 2026, 9(1), 37; https://doi.org/10.3390/fire9010037 - 14 Jan 2026
Abstract
Wildfire is a dominant ecological force in Mediterranean pine forests, and post-fire silvicultural practices can substantially alter their recovery trajectories. In this study, we examined how natural regeneration and artificial plantations influence the composition, structure, and functional roles of medium and large-sized mammal [...] Read more.
Wildfire is a dominant ecological force in Mediterranean pine forests, and post-fire silvicultural practices can substantially alter their recovery trajectories. In this study, we examined how natural regeneration and artificial plantations influence the composition, structure, and functional roles of medium and large-sized mammal communities in burned Pinus brutia forests of southwestern Türkiye. Camera trap data were combined with linear mixed-effects models, functional diversity metrics, and indicator species analysis to assess community responses. Mammalian assemblages showed marked shifts across treatments: generalist carnivores such as Vulpes vulpes and Canis aureus dominated burned areas, whereas higher-trophic specialists like Caracal caracal were restricted to unburned forests. Functional richness was consistently higher in unburned stands, while artificial plantations reduced both richness and evenness. Natural regeneration partly mitigated these declines by sustaining more balanced community structures. Indicator species analysis confirmed these patterns, with Lepus europaeus strongly associated with burned sites and C. caracal with unburned forests. Overall, findings demonstrate that post-fire silvicultural practices strongly shape mammalian community assembly and functional diversity. Natural regeneration preserves structural heterogeneity and supports functionally diverse assemblages, whereas artificial plantations promote homogenization. Effective restoration strategies should therefore integrate wildlife responses with vegetation recovery to strengthen ecosystem resilience and maintain the ecological roles of mammals. Full article
Show Figures

Figure 1

14 pages, 6139 KB  
Article
Toward Safer and Greener Insulation: Formaldehyde-Free, Flame-Retardant, and Bio-Based Phenolic Foams from Tannin and Modified-Lignin Combination
by Jevgenij Lazko, Jérôme Mariage, Célia Joyet, Abdelheq Layachi, Hamid Satha, Philippe Dubois and Fouad Laoutid
Materials 2026, 19(2), 334; https://doi.org/10.3390/ma19020334 - 14 Jan 2026
Abstract
This study reports on the use of degraded lignin in combination with tannins to develop sustainable, formaldehyde-free, and bio-based phenolic foams. Mechanical, thermal, and flame-retardant properties of the different foams were systematically evaluated using compression testing, thermogravimetric analysis (TGA), mass loss cone calorimetry [...] Read more.
This study reports on the use of degraded lignin in combination with tannins to develop sustainable, formaldehyde-free, and bio-based phenolic foams. Mechanical, thermal, and flame-retardant properties of the different foams were systematically evaluated using compression testing, thermogravimetric analysis (TGA), mass loss cone calorimetry (MLC), and UL-94 flammability tests. Lignin degradation/activation was carried out via a hydrothermal process in the presence of ethanol. Ethanol-induced lignin hydrogenolysis and thermal degradation were deemed a necessary step to obtain foams with satisfactory mechanical, morphological, and thermal insulation properties. Meanwhile, the fire resistance assessed by MLC remains comparable to that of tannin-based foams, with a similarly low peak heat release rate (pHRR). Full article
(This article belongs to the Section Polymeric Materials)
Show Figures

Graphical abstract

16 pages, 3899 KB  
Article
The Role of Calcium-Permeable Kainate and AMPA Receptors in the Leading Reaction of GABAergic Neurons to Excitation
by Valery P. Zinchenko, Artem M. Kosenkov, Alex I. Sergeev, Fedor V. Tyurin, Egor A. Turovsky, Bakytzhan K. Kairat, Arailym E. Malibayeva, Gulmira A. Tussupbekova and Sultan T. Tuleukhanov
Curr. Issues Mol. Biol. 2026, 48(1), 82; https://doi.org/10.3390/cimb48010082 - 14 Jan 2026
Abstract
Excitable neurons are intrinsically capable of firing action potentials (AP), yet a state of hyperexcitability is prevented in the central nervous system by powerful GABAergic inhibition. For this inhibition to be effective, it must occur before excitatory signals can initiate runaway activity, implying [...] Read more.
Excitable neurons are intrinsically capable of firing action potentials (AP), yet a state of hyperexcitability is prevented in the central nervous system by powerful GABAergic inhibition. For this inhibition to be effective, it must occur before excitatory signals can initiate runaway activity, implying the existence of a proactive control system. To test for such proactive inhibition, we used Ca2+ imaging and patch-clamp recording to measure how hippocampal neurons respond to depolarization and glutamatergic agonists. In mature hippocampal cultures (14 days in vitro (DIV)) and acute brain slices from two-month-old rats, neurons exhibited non-simultaneous responses to various excitatory stimuli, including KCl, NH4Cl, forskolin, domoic acid, and glutamate. We observed that the Ca2+ rise occurred significantly earlier in GABAergic neurons than in glutamatergic neurons. This delay in glutamatergic neurons was abolished by GABA(A) receptor inhibitors, suggesting a mechanism of preliminary γ-aminobutyric acid (GABA) release. We further found that these early-responding GABAergic neurons express calcium-permeable kainate and AMPA receptors (CP-KARs and CP-AMPARs). Application of domoic acid induced an immediate Ca2+ increase in neurons expressing these receptors, but a delayed response in others. Crucially, when domoic acid was applied in the presence of the AMPA receptor inhibitors NBQX or GYKI-52466, the response delay in glutamatergic neurons was significantly prolonged. This confirms that CP-KARs on GABAergic neurons are responsible for the delayed excitation of glutamatergic neurons. In hippocampal slices from two-month-old rats, depolarization with 50 mM KCl revealed two distinct neuronal populations based on their calcium dynamics: a majority group (presumably glutamatergic) exhibited fluctuating Ca2+ signals, while a minority (presumably GABAergic) showed a steady, advancing increase in [Ca2+]i. This distinction was reinforced by the application of domoic acid. The “advancing-response” neurons reacted to domoic acid with a similar prompt increase, whereas the “fluctuating-response” neurons displayed an even more delayed and fluctuating reaction (80 s delay). Therefore, we identify a subgroup of hippocampal neurons—in both slices and cultures—that respond to depolarization and domoic acid with an early [Ca2+]i signal. Consistent with our data from cultures, we conclude these early-responding neurons are GABAergic. Their early GABA release directly explains the delayed Ca2+ response observed in glutamatergic neurons. We propose that this proactive mechanism, mediated by CP-KARs on GABAergic neurons, is a primary means of protecting the network from hyperexcitation. Furthermore, the activity of these CP-KAR-expressing neurons is itself regulated by GABAergic neurons containing CP-AMPARs. Full article
(This article belongs to the Section Biochemistry, Molecular and Cellular Biology)
Show Figures

Figure 1

22 pages, 9987 KB  
Article
Network Hypoactivity in ALG13-CDG: Disrupted Developmental Pathways and E/I Imbalance as Early Drivers of Neurological Features in CDG
by Rameen Shah, Rohit Budhhraja, Silvia Radenkovic, Graeme Preston, Alexia Tyler King, Sahar Sabry, Charlotte Bleukx, Ibrahim Shammas, Lyndsay Young, Jisha Chandran, Seul Kee Byeon, Ronald Hrstka, Doughlas Y. Smith, Nathan P. Staff, Richard Drake, Steven A. Sloan, Akhilesh Pandey, Eva Morava and Tamas Kozicz
Cells 2026, 15(2), 147; https://doi.org/10.3390/cells15020147 - 14 Jan 2026
Abstract
Background: ALG13-CDG is an X-linked N-linked glycosylation disorder caused by pathogenic variants in the glycosyltransferase ALG13, leading to severe neurological manifestations. Despite the clear CNS involvement, the impact of ALG13 dysfunction on human brain glycosylation and neurodevelopment remains unknown. We hypothesize that ALG13-CDG [...] Read more.
Background: ALG13-CDG is an X-linked N-linked glycosylation disorder caused by pathogenic variants in the glycosyltransferase ALG13, leading to severe neurological manifestations. Despite the clear CNS involvement, the impact of ALG13 dysfunction on human brain glycosylation and neurodevelopment remains unknown. We hypothesize that ALG13-CDG causes brain-specific hypoglycosylation that disrupts neurodevelopmental pathways and contributes directly to cortical network dysfunction. Methods: We generated iPSC-derived human cortical organoids (hCOs) from individuals with ALG13-CDG to define the impact of hypoglycosylation on cortical development and function. Electrophysiological activity was assessed using MEA recordings and integrated with multiomic profiling, including scRNA-seq, proteomics, glycoproteomics, N-glycan imaging, lipidomics, and metabolomics. X-inactivation status was evaluated in both iPSCs and hCOs. Results: ALG13-CDG hCOs showed reduced glycosylation of proteins involved in ECM organization, neuronal migration, lipid metabolism, calcium homeostasis, and neuronal excitability. These pathway disruptions were supported by proteomic and scRNA-seq data and included altered intercellular communication. Trajectory analyses revealed mistimed neuronal maturation with early inhibitory and delayed excitatory development, indicating an E/I imbalance. MEA recordings demonstrated early network hypoactivity with reduced firing rates, immature burst structure, and shortened axonal projections, while transcriptomic and proteomic signatures suggested emerging hyperexcitability. Altered lipid and GlcNAc metabolism, along with skewed X-inactivation, were also observed. Conclusions: Our study reveals that ALG13-CDG is a disorder of brain-specific hypoglycosylation that disrupts key neurodevelopmental pathways and destabilizes cortical network function. Through integrated multiomic and functional analyses, we identify early network hypoactivity, mistimed neuronal maturation, and evolving E/I imbalance that progresses to compensatory hyperexcitability, providing a mechanistic basis for seizure vulnerability. These findings redefine ALG13-CDG as disorders of cortical network instability, offering a new framework for targeted therapeutic intervention. Full article
Show Figures

Figure 1

19 pages, 7458 KB  
Article
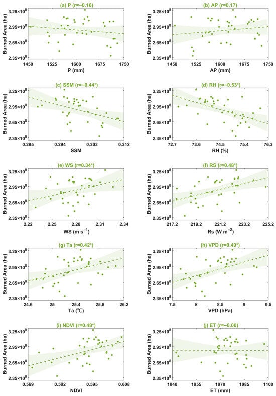
Spatiotemporal Characteristics and Attribution of Global Wildfire Burned
by Anqi Sun, Yan Xia, Fei Xie, Guocan Wu and Yuna Mao
Remote Sens. 2026, 18(2), 262; https://doi.org/10.3390/rs18020262 - 14 Jan 2026
Abstract
Wildfires profoundly impact carbon cycles, climate, and human societies. However, a comprehensive understanding of the long-term spatiotemporal characteristics and influencing factors of global wildfires remains limited. This study analyzes the spatiotemporal patterns and influencing factors of wildfires from 1982 to 2018 using a [...] Read more.
Wildfires profoundly impact carbon cycles, climate, and human societies. However, a comprehensive understanding of the long-term spatiotemporal characteristics and influencing factors of global wildfires remains limited. This study analyzes the spatiotemporal patterns and influencing factors of wildfires from 1982 to 2018 using a global satellite-derived burned area (BA) product. We classified fire-prone regions into four types based on climate: Tropical dry season (Tr-ds), Arid fuel-limited (Ar-fl), Boreal hot season (Bo-hs), and Temperate dry and hot season (Te-dhs). Major fire hotspots include Africa, northern Australia, South America’s Brazilian highlands, the Indochina Peninsula, and Central Asia. The global multi-year average BA is 4.59 × 108 ha yr−1, with Africa (3.04 × 108 ha yr−1) and northern Australia (2.83 × 107 ha yr−1) being the most affected. Fire activity peaks annually in July–September and December–January. From 1982 to 2018, both the global and sub-regional BA show significant increasing trends, except northern and temperate areas, though reduced burn-down areas from shorter periods have been reported during the MODIS era. At both the global scale and in the Tr-ds region, wildfire activity is strongly associated with hot and dry conditions in combination with abundant fuel availability. Fire activity in the Ar-fl region is mainly constrained by fuel availability. Surface dryness plays a dominant role in fire activity in the Bo-hs. In contrast, fire activity in the Te-dhs region shows no clear pattern. The influence of different factors on the BA is subject to threshold effects. These findings contribute to a deeper understanding of long-term wildfire dynamics across different regions globally. Full article
(This article belongs to the Section Atmospheric Remote Sensing)
Show Figures

Figure 1

13 pages, 6390 KB  
Article
A Multi-Beam Phased Array Receiver Front-End with High Performance Ceramic SiP
by Haifu Zhang, Li-Xin Guo, Shubo Dun, Xiaoming Li and Xiaolong Xu
Micromachines 2026, 17(1), 110; https://doi.org/10.3390/mi17010110 - 14 Jan 2026
Abstract
This paper presents a compact four-beam dual-polarized phased array with the high performance front-end module based on system-in-package (SiP) technology. By employing high-temperature co-fired ceramic (HTCC) substrates, the proposed design achieves efficient thermal management and high level of integration within a tile-type architecture. [...] Read more.
This paper presents a compact four-beam dual-polarized phased array with the high performance front-end module based on system-in-package (SiP) technology. By employing high-temperature co-fired ceramic (HTCC) substrates, the proposed design achieves efficient thermal management and high level of integration within a tile-type architecture. The front-end module based on SiP can simultaneously generate four independent beams with switchable left- and right-hand circular polarizations, providing flexible beam control. To verify the proposed method, a Ku-band 256-element phased array receiver with four beams has been designed and experimentally verified using HTCC and SiP process. Operating in 14–14.5 GHz, the proposed low-profile array demonstrates stable radiation characteristics, beam pointing accuracy and excellent beam consistency across the entire frequency range. The measurement results confirm that the SiP-based phased array maintains efficient thermal management, high polarization purity and robust beam-scanning capability, validating its suitability for mobile satellite communication. Full article
Show Figures

Figure 1

24 pages, 6383 KB  
Article
FF-Mamba-YOLO: An SSM-Based Benchmark for Forest Fire Detection in UAV Remote Sensing Images
by Binhua Guo, Dinghui Liu, Zhou Shen and Tiebin Wang
J. Imaging 2026, 12(1), 43; https://doi.org/10.3390/jimaging12010043 - 13 Jan 2026
Abstract
Timely and accurate detection of forest fires through unmanned aerial vehicle (UAV) remote sensing target detection technology is of paramount importance. However, multiscale targets and complex environmental interference in UAV remote sensing images pose significant challenges during detection tasks. To address these obstacles, [...] Read more.
Timely and accurate detection of forest fires through unmanned aerial vehicle (UAV) remote sensing target detection technology is of paramount importance. However, multiscale targets and complex environmental interference in UAV remote sensing images pose significant challenges during detection tasks. To address these obstacles, this paper presents FF-Mamba-YOLO, a novel framework based on the principles of Mamba and YOLO (You Only Look Once) that leverages innovative modules and architectures to overcome these limitations. Specifically, we introduce MFEBlock and MFFBlock based on state space models (SSMs) in the backbone and neck parts of the network, respectively, enabling the model to effectively capture global dependencies. Second, we construct CFEBlock, a module that performs feature enhancement before SSM processing, improving local feature processing capabilities. Furthermore, we propose MGBlock, which adopts a dynamic gating mechanism, enhancing the model’s adaptive processing capabilities and robustness. Finally, we enhance the structure of Path Aggregation Feature Pyramid Network (PAFPN) to improve feature fusion quality and introduce DySample to enhance image resolution without significantly increasing computational costs. Experimental results on our self-constructed forest fire image dataset demonstrate that the model achieves 67.4% mAP@50, 36.3% mAP@50:95, and 64.8% precision, outperforming previous state-of-the-art methods. These results highlight the potential of FF-Mamba-YOLO in forest fire monitoring. Full article
(This article belongs to the Section Computer Vision and Pattern Recognition)
Show Figures

Figure 1

29 pages, 5978 KB  
Article
Physically Interpretable Soft Sensor for Deformation Diagnostics in Extrusion-Based Shaping: A Case Study on Ceramic Roof Tiles
by Milica Vidak Vasić, Zoran Bačkalić and Pedro Muñoz
Processes 2026, 14(2), 279; https://doi.org/10.3390/pr14020279 - 13 Jan 2026
Abstract
This study examines the longitudinal shortening of clay blanks during extrusion and introduces a hybrid soft sensor framework for early prediction of ceramic roof tile performance. Targeted properties include shrinkage, water absorption, and saturation. The models integrate real-time process data collected after vacuum [...] Read more.
This study examines the longitudinal shortening of clay blanks during extrusion and introduces a hybrid soft sensor framework for early prediction of ceramic roof tile performance. Targeted properties include shrinkage, water absorption, and saturation. The models integrate real-time process data collected after vacuum extrusion and pressing with clay-specific descriptors such as carbonate content and granulometry, alongside additional variables including moisture, firing temperature, and length reduction. Partial Least Squares (PLS) regression was adopted as the core method due to robustness against multicollinearity and ease of industrial integration. In contrast to complex machine learning pipelines, PLS-based soft sensors enable lightweight edge deployment without reliance on IoT infrastructure. Complementary regression and machine learning models were used to benchmark predictive accuracy and explore nonlinear effects. The results confirm reliable prediction of key performance indicators and reveal mechanistic links between extrusion-induced deformation and downstream behavior. Although developed for clay systems, the framework is generalizable and can be adapted to other traditional ceramic processes or industries seeking interpretable, locally deployable solutions for process control. Full article
Show Figures

Graphical abstract

21 pages, 1741 KB  
Review
Caffeine as an Ergogenic Aid for Neuromuscular Performance: Mechanisms of Action from Brain to Motor Units
by Paolo Amoruso, Edoardo Lecce, Alessandro Scotto di Palumbo, Massimo Sacchetti and Ilenia Bazzucchi
Nutrients 2026, 18(2), 252; https://doi.org/10.3390/nu18020252 - 13 Jan 2026
Viewed by 3
Abstract
Ergogenic aids have long attracted scientific interest for their potential to enhance neuromuscular performance, with caffeine being among the most extensively studied. While traditionally attributed to peripheral actions on skeletal muscle, accumulating evidence indicates that, at physiological doses, caffeine’s ergogenic effects are predominantly [...] Read more.
Ergogenic aids have long attracted scientific interest for their potential to enhance neuromuscular performance, with caffeine being among the most extensively studied. While traditionally attributed to peripheral actions on skeletal muscle, accumulating evidence indicates that, at physiological doses, caffeine’s ergogenic effects are predominantly mediated by antagonism of central adenosine receptors. This antagonism leads to increased arousal, reduced inhibitory neuromodulation, enhanced corticospinal excitability, and altered motor unit recruitment and firing behavior. Importantly, the concentrations required to elicit direct effects on excitation–contraction coupling via ryanodine receptors exceed those compatible with human safety, rendering such mechanisms unlikely in vivo. This narrative review synthesizes contemporary neurophysiological evidence to propose that caffeine acts primarily by “tuning” motor system gain through central neurotransmitter modulation, rather than by directly augmenting muscle contractile properties. Additionally, we highlight unresolved questions regarding persistent inward currents, sex-dependent neuromodulatory influences—including the potential role of estrogen in regulating adenosine receptor expression—and the implications of repeated caffeine use during training for neural adaptation and motor control. Finally, we outline key methodological and conceptual directions for future research aimed at refining our understanding of caffeine’s neuromuscular effects in both acute and chronic contexts. Full article
Show Figures

Figure 1

13 pages, 2152 KB  
Article
Cone Calorimeter Reveals Flammability Dynamics of Tree Litter and Mixed Fuels in Central Yunnan
by Xilong Zhu, Shiying Xu, Weike Li, Sazal Ahmed, Junwen Liu, Mingxing Liu, Xiangxiang Yan, Weili Kou, Qiuyang Du, Shaobin Yang and Qiuhua Wang
Fire 2026, 9(1), 36; https://doi.org/10.3390/fire9010036 - 13 Jan 2026
Viewed by 5
Abstract
The characteristics of litter combustion have a significant impact on the spread of surface fires in the central Yunnan Province, a high-risk forest fire zone. The burning behavior of individual and mixed-species litter samples from five dominant tree species (Pinus yunnanensis Franch., [...] Read more.
The characteristics of litter combustion have a significant impact on the spread of surface fires in the central Yunnan Province, a high-risk forest fire zone. The burning behavior of individual and mixed-species litter samples from five dominant tree species (Pinus yunnanensis Franch., Keteleeria evelyniana Mast., Quercus variabilis Blume., Quercus aliena var. acutiserrata, and Alnus nepalensis D. Don.) was assessed in this study using cone calorimeter tests. Fern fronds and fine branches were included in additional tests to evaluate their effects on specific combustion parameters, such as Fire Performance Index (FPI), Flame Duration (FD), Time to Ignition (TTI), Mass Loss Rate (MLR), Residual Mass Fraction (RMF), Peak Heat Release Rate (PHRR), and Total Heat Release (THR). There were remarkable differences in the burning properties of the three types of litter (broadleaf, pine needles, and short pine needles). The THR and PHRR values of P. yunnanensis were the highest, whereas the PHRR of the other species varied very little. Short pine needle litter showed incomplete combustion and a long flame duration. When measured against pure pine needle litter, mixtures of P. yunnanensis and broadleaf litter showed lower PHRR. When set side by side to pure pine needle litter, P. yunnanensis and broadleaf litter showed lower PHRR. THR rose when fine branches were included, underlining the significance of fine woody fuels in fire behavior. The insertion of ferns increases the percentage of unburned biomass, prolongs TTI, and dramatically reduces PHRR. Full article
Show Figures

Figure 1

Back to TopTop