Computational Insights into the Adsorption Mechanism of Zn Ion on the Surface (110) of Sphalerite from the Perspective of Hydration
Abstract
:1. Introduction
2. Computational Models and Methods
3. Results and Discussion
3.1. Effective Hydrated Components of Zn Ion
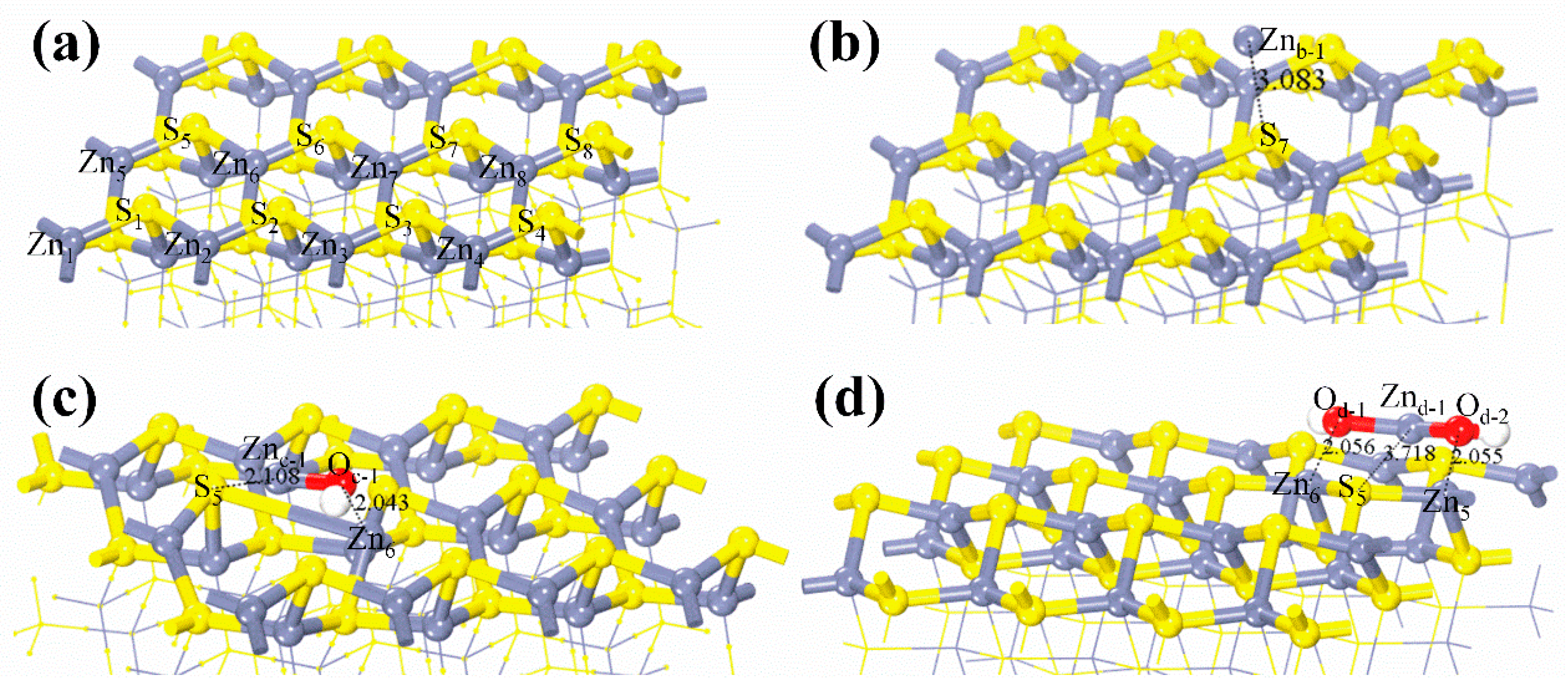
3.2. Adsorption Configurations of Zinc Ions on Sphalerite Surface
3.3. Hirshfeld Charge Population Analysis
3.4. Bond Population Analysis
3.5. PDOS Analysis
4. Conclusions
- (1)
- The effective components of hydrated Zn ions adsorbed on a sphalerite (110) surface in a neutral aqueous solution are [Zn(H2O)5]2+, [Zn(OH)(H2O)3]+, and [Zn(OH)2(H2O)2], respectively.
- (2)
- The adsorption energy values of Zn2+, [Zn(OH)]+ and [Zn(OH)2] on a sphalerite(110) surface are −17.4, −158.6, and −231.0 kJ/mol, respectively. After hydration, the adsorption energy values of [Zn(H2O)5]2+, [Zn(OH)(H2O)3]+, and [Zn(OH)2(H2O)2] on a sphalerite (110) surface are −144.5, −177.1, and −237.5 kJ/mol. The hydration could obviously promote the adsorption of Zn2+, [Zn(OH)]+, and [Zn(OH)2] on the surface of a sphalerite (110) surface.
- (3)
- The adsorption mechanism of [Zn(H2O)5]2+ on a sphalerite (110) surface is mainly ascribed to the hybridization of Zn 3d orbital in structure of [Zn(H2O)5]2+ with surface S 3p orbital. Furthermore, the adsorption mechanism of [Zn(OH)(H2O)3]+ and [Zn(OH)2(H2O)2] on the sphalerite (110) surface is primarily ascribed to the hybridization of surface Zn 3d orbital with 2p orbital of the O atom of the hydroxyl ligand.
Supplementary Materials
Author Contributions
Funding
Data Availability Statement
Acknowledgments
Conflicts of Interest
References
- Porento, M.; Hirva, P. Theoretical studies on the interaction of anionic collectors with Cu+, Cu2+, Zn2+ and Pb2+ ions. Theor. Chem. Acc. Theory Comput. Model. (Theor. Chim. Acta) 2002, 107, 200–205. [Google Scholar] [CrossRef]
- Gao, Z.; Jiang, Z.; Sun, W.; Gao, Y. Typical roles of metal ions in mineral flotation: A review. Trans. Nonferrous Met. Soc. China 2021, 31, 2081–2101. [Google Scholar] [CrossRef]
- Wang, H.; Wen, S.; Han, G.; Xu, L.; Feng, Q. Activation mechanism of lead ions in the flotation of sphalerite depressed with zinc sulfate. Miner. Eng. 2020, 146, 106132. [Google Scholar] [CrossRef]
- Wang, H.; Wen, S.; Han, G.; Feng, Q. Effect of copper ions on surface properties of ZnSO4-depressed sphalerite and its response to flotation. Sep. Purif. Technol. 2019, 228, 115756. [Google Scholar] [CrossRef]
- Luo, X.; Feng, B.; Wong, C.; Miao, J.; Ma, B.; Zhou, H. The critical importance of pulp concentration on the flotation of galena from a low grade lead–zinc ore. J. Mater. Res. Technol. 2016, 5, 131–135. [Google Scholar] [CrossRef]
- Cao, Y.; Sun, L.; Gao, Z.; Sun, W.; Cao, X. Activation mechanism of zinc ions in cassiterite flotation with benzohydroxamic acid as a collector. Miner. Eng. 2020, 156, 106523. [Google Scholar] [CrossRef]
- Peng, H.; Luo, W.; Wu, D.; Bie, X.; Shao, H.; Jiao, W.; Liu, Y. Study on the Effect of Fe3+ on Zircon Flotation Separation from Cassiterite Using Sodium Oleate as Collector. Minerals 2017, 7, 108. [Google Scholar] [CrossRef]
- Yu, L.; Liu, Q.; Li, S.; Deng, J.; Luo, B.; Lai, H. Depression mechanism involving Fe3+ during arsenopyrite flotation. Sep. Purif. Technol. 2019, 222, 109–116. [Google Scholar] [CrossRef]
- Zhang, H.; Zhang, F.; Sun, W.; Chen, D.; Chen, J.; Wang, R.; Han, M.; Zhang, C. The effects of hydroxyl on selective separation of chalcopyrite from pyrite: A mechanism study. Appl. Surf. Sci. 2023, 608, 154963. [Google Scholar] [CrossRef]
- Luo, A.; Chen, J. Effect of hydration and hydroxylation on the adsorption of metal ions on quartz surfaces: DFT study. Appl. Surf. Sci. 2022, 595, 153553. [Google Scholar] [CrossRef]
- Liu, X.; Lu, X.; Jan Meijer, E.; Wang, R. Hydration mechanisms of Cu2+: Tetra-, penta- or hexa-coordinated? Phys. Chem. Chem. Phys. 2010, 12, 10801–10804. [Google Scholar] [CrossRef] [PubMed]
- Liu, J.; Wang, Y.; Luo, D.; Zeng, Y. Use of ZnSO4 and SDD mixture as sphalerite depressant in copper flotation. Miner. Eng. 2018, 121, 31–38. [Google Scholar] [CrossRef]
- Cui, Y.-F.; Jiao, F.; Qin, W.-Q.; Dong, L.-Y.; Wang, X. Synergistic depression mechanism of zinc sulfate and sodium dimethyl dithiocarbamate on sphalerite in Pb–Zn flotation system. Trans. Nonferrous Met. Soc. China 2020, 30, 2547–2555. [Google Scholar] [CrossRef]
- Wei, Z.; Wang, H.; Xue, C.; Zeng, M. Selective depression of sphalerite by combined depressant K3[Fe(CN)6], ZnSO4, and Na2CO3 in Pb–Zn sulfide flotation separation. Chem. Pap. 2019, 74, 421–429. [Google Scholar] [CrossRef]
- Wei, Q.; Dong, L.; Qin, W.; Jiao, F.; Qi, Z.; Feng, C.; Sun, D.; Wang, L.; Xiao, S. Efficient flotation recovery of lead and zinc from refractory lead-zinc ores under low alkaline conditions. Geochemistry 2021, 81, 125769. [Google Scholar] [CrossRef]
- Luo, Y.; Ou, L.; Chen, J.; Zhang, G.; Xia, Y.; Zhu, B.; Zhou, H. Mechanism insights into the hydrated Al ion adsorption on talc (001) basal surface: A DFT study. Surf. Interfaces 2022, 30, 101973. [Google Scholar] [CrossRef]
- Luo, Y.; Ou, L.; Chen, J.; Zhang, G.; Xia, Y.; Zhu, B.; Zhou, H. Insights into the adsorption performance and mechanism of hydrated Ca ion on talc (0 0 1) basal surface from DFT calculation. Int. J. Min. Sci. Technol. 2022, 32, 887–896. [Google Scholar] [CrossRef]
- Liu, J.; Wang, Y.; Luo, D.; Zeng, Y.; Wen, S.; Chen, L. DFT study of SDD and BX adsorption on sphalerite (1 1 0) surface in the absence and presence of water molecules. Appl. Surf. Sci. 2018, 450, 502–508. [Google Scholar] [CrossRef]
- Segall, M.; Lindan, P.J.; Probert, M.a.; Pickard, C.J.; Hasnip, P.J.; Clark, S.; Payne, M. First-principles simulation: Ideas, illustrations and the CASTEP code. J. Phys. Condens. Matter 2002, 14, 2717. [Google Scholar] [CrossRef]
- Skinner, B.J. Unit-cell edges of natural and synthetic sphalerites. Am. Mineral. J. Earth Planet. Mater. 1961, 46, 1399–1411. [Google Scholar]
- Perdew, J.P.; Burke, K.; Wang, Y. Generalized gradient approximation for the exchange-correlation hole of a many-electron system. Phys. Rev. B 1996, 54, 16533. [Google Scholar] [CrossRef] [PubMed]
- Luo, Y.J.; Ou, L.M.; Chen, J.H.; Zhang, G.F.; Xia, Y.Q.; Zhu, B.H.; Zhou, H.Y. Hydration mechanisms of smithsonite from DFT-D calculations and MD simulations. Int. J. Min. Sci. Technol. 2022, 32, 605–613. [Google Scholar] [CrossRef]
- Bucko, T.; Lebegue, S.; Hafner, J.; Angyan, J.G. Tkatchenko-Scheffler van der Waals correction method with and without self-consistent screening applied to solids. Phys. Rev. B 2013, 87, 064110. [Google Scholar] [CrossRef]
- Wright, K.; Watson, G.W.; Parker, S.C.; Vaughan, D.J. Simulation of the structure and stability of sphalerite (ZnS) surfaces. Am. Mineral. 1998, 83, 141–146. [Google Scholar] [CrossRef]
- Chen, J.H.; Chen, Y.; Li, Y.Q. Effect of vacancy defects on electronic properties and activation of sphalerite (110) surface by first-principles. Trans. Nonferrous Met. Soc. China 2010, 20, 502–506. [Google Scholar] [CrossRef]
- Steele, H.M.; Wright, K.; Hillier, I.H. A quantum-mechanical study of the (110) surface of sphalerite (ZnS) and its interaction with Pb2+ species. Phys. Chem. Miner. 2003, 30, 69–75. [Google Scholar] [CrossRef]
- Zhang, H.; Sun, W.; Zhang, C.; He, J.; Chen, D.; Zhu, Y. Adsorption performance and mechanism of the commonly used collectors with Oxygen-containing functional group on the ilmenite surface: A DFT study. J. Mol. Liq. 2022, 346, 117829. [Google Scholar] [CrossRef]
- Zhang, H.; Sun, W.; Zhu, Y.; He, J.; Chen, D.; Zhang, C. Effects of the Goethite Surface Hydration Microstructure on the Adsorption of the Collectors Dodecylamine and Sodium Oleate. Langmuir 2021, 37, 10052–10060. [Google Scholar] [CrossRef]
- Wang, X.; Liu, R.; Ma, L.; Qin, W.; Jiao, F. Depression mechanism of the zinc sulfate and sodium carbonate combined inhibitor on talc. Colloids Surf. A Physicochem. Eng. Asp. 2016, 501, 92–97. [Google Scholar] [CrossRef]
- Hartmann, M.; Clark, T.; van Eldik, R. Hydration and Water Exchange of Zinc(II) Ions. Application of Density Functional Theory. J. Am. Chem. Soc. 1997, 119, 7843–7850. [Google Scholar] [CrossRef]
- Mhin, B.J.; Lee, S.; Cho, S.J.; Lee, K.; Kim, K.S. Zn(H2O)2+6 is very stable among aqua-Zn(II) ions. Chem. Phys. Lett. 1992, 197, 77–80. [Google Scholar] [CrossRef]
- Frisch, M.; Trucks, G.; Schlegel, H.; Scuseria, G.; Robb, M.; Cheeseman, J.; Scalmani, G.; Barone, V.; Mennucci, B.; Petersson, G. Gaussian 09; Gaussian, Inc.: Wallingford, CT, USA, 2009. [Google Scholar]
- Remya, K.; Suresh, C.H. Which density functional is close to CCSD accuracy to describe geometry and interaction energy of small noncovalent dimers? A benchmark study using Gaussian09. J. Comput. Chem. 2013, 34, 1341–1353. [Google Scholar] [CrossRef]
- Chen, Y.; Liu, X.; Chen, J. Steric hindrance effect on adsorption of xanthate on sphalerite surface: A DFT study. Miner. Eng. 2021, 165, 106834. [Google Scholar] [CrossRef]
- Guo, X.; Li, L.; Liu, Z.; Yu, D.; He, J.; Liu, R.; Xu, B.; Tian, Y.; Wang, H.-T. Hardness of covalent compounds: Roles of metallic component and d valence electrons. J. Appl. Phys. 2008, 104, 023503. [Google Scholar] [CrossRef]










Disclaimer/Publisher’s Note: The statements, opinions and data contained in all publications are solely those of the individual author(s) and contributor(s) and not of MDPI and/or the editor(s). MDPI and/or the editor(s) disclaim responsibility for any injury to people or property resulting from any ideas, methods, instructions or products referred to in the content. |
© 2023 by the authors. Licensee MDPI, Basel, Switzerland. This article is an open access article distributed under the terms and conditions of the Creative Commons Attribution (CC BY) license (https://creativecommons.org/licenses/by/4.0/).
Share and Cite
Zhang, C.; Zhang, F.; Liu, S.; Fan, D.; Rao, X.; Chen, J.; Wen, J.; Zhu, Y.; Sun, W. Computational Insights into the Adsorption Mechanism of Zn Ion on the Surface (110) of Sphalerite from the Perspective of Hydration. Minerals 2023, 13, 1113. https://doi.org/10.3390/min13091113
Zhang C, Zhang F, Liu S, Fan D, Rao X, Chen J, Wen J, Zhu Y, Sun W. Computational Insights into the Adsorption Mechanism of Zn Ion on the Surface (110) of Sphalerite from the Perspective of Hydration. Minerals. 2023; 13(9):1113. https://doi.org/10.3390/min13091113
Chicago/Turabian StyleZhang, Chenyang, Feng Zhang, Siyuan Liu, Dong Fan, Xin Rao, Jianhua Chen, Jing Wen, Yangge Zhu, and Wei Sun. 2023. "Computational Insights into the Adsorption Mechanism of Zn Ion on the Surface (110) of Sphalerite from the Perspective of Hydration" Minerals 13, no. 9: 1113. https://doi.org/10.3390/min13091113
APA StyleZhang, C., Zhang, F., Liu, S., Fan, D., Rao, X., Chen, J., Wen, J., Zhu, Y., & Sun, W. (2023). Computational Insights into the Adsorption Mechanism of Zn Ion on the Surface (110) of Sphalerite from the Perspective of Hydration. Minerals, 13(9), 1113. https://doi.org/10.3390/min13091113
