Dissolution and Solubility of the Calcite–Otavite Solid Solutions [(Ca1−xCdx)CO3] at 25 °C
Abstract
:1. Introduction
2. Materials and Methods
2.1. Solid Synthesis
2.2. Characterization
2.3. Dissolution Experiment
2.4. Thermodynamic Calculations
3. Results and Discussion
3.1. Solid Characterization
3.1.1. Composition
3.1.2. XRD
3.1.3. SEM
3.2. Change of the Aqueous Phase
3.3. Determination of the Stoichiometric Solubility
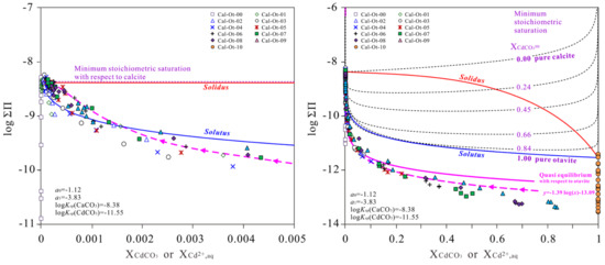
3.4. Lippmann Diagram
3.4.1. Construction of the Lippmann Diagram
3.4.2. Lippmann Diagram for the Non-Ideal (Ca1−xCdx)CO3 Solid Solutions
3.4.3. Solid Solution–Aqueous Solution Interaction
4. Conclusions
Supplementary Materials
Author Contributions
Funding
Data Availability Statement
Acknowledgments
Conflicts of Interest
References
- Pérez-Garrido, C.; Fernández-Díaz, L.; Pina, C.M.; Prieto, M. In situ AFM observations of the interaction between calcite (104) surfaces and Cd-bearing aqueous solutions. Surf. Sci. 2007, 601, 5499–5509. [Google Scholar] [CrossRef] [Green Version]
- Stipp, S.L.; Parks, G.A.; Nordstrom, D.K.; Leckie, J.O. Solubility-product constant and thermodynamic properties for synthetic otavite, CdCO3(s), and aqueous association constants for the Cd(II)-CO2-H2O system. Geochim. Cosmochim. Acta 1993, 57, 2699–2713. [Google Scholar] [CrossRef]
- Katsikopoulos, D.; Fernández-González, A.; Prieto, M. Crystallization of the (Cd,Ca)CO3 solid solution in double diffusion systems: The partitioning behaviour of Cd2+ in calcite at different supersaturation rates. Mineral. Mag. 2008, 72, 433–436. [Google Scholar] [CrossRef]
- Ma, Y.; Ran, D.; Shi, X.; Zhao, H.; Liu, Z. Cadmium toxicity: A role in bone cell function and teeth development. Sci. Total Environ. 2021, 769, 144646. [Google Scholar] [CrossRef] [PubMed]
- Sasamoto, R.; Kanda, Y.; Yamanaka, S. Difference in cadmium chemisorption on calcite and vaterite porous particles. Chemosphere 2022, 297, 134057. [Google Scholar] [CrossRef] [PubMed]
- Wen, Y.B.; Li, W.; Yang, Z.F.; Zhang, Q.Z.; Ji, J.F. Enrichment and source identification of Cd and other heavy metals in soils with high geochemical background in the karst region, Southwestern China. Chemosphere 2019, 245, 125620. [Google Scholar] [CrossRef] [PubMed]
- Xia, X.; Ji, J.; Yang, Z.; Han, H.; Huang, C.; Li, Y.; Zhang, W. Cadmium risk in the soil-plant system caused by weathering of carbonate bedrock. Chemosphere 2020, 254, 126799. [Google Scholar] [CrossRef] [PubMed]
- Yaciuk, P.A.; Colombo, F.; Lecomte, K.L.; De Micco, G.; Bohé, A.E. Cadmium sources, mobility, and natural attenuation in contrasting environments (carbonate-rich and carbonate-poor) in the Capillitas polymetallic mineral deposit, NW Argentina. Appl. Geochem. 2022, 136, 105152. [Google Scholar] [CrossRef]
- Papadopoulos, P.; Rowell, D.L. The reactions of cadmium with calcium carbonate surfaces. Eur. J. Soil Sci. 1988, 39, 23–36. [Google Scholar] [CrossRef]
- Chiarello, R.P.; Sturchio, N.C.; Grace, J.D.; Geissbuhler, P.; Sorensen, L.B.; Cheng, L.; Xu, S. Otavite-calcite solid-solution formation at the calcite-water interface studied in situ by synchrotron X-ray scattering. Geochim. Cosmochim. Acta 1997, 61, 1467–1474. [Google Scholar] [CrossRef]
- Prieto, M.; Fernández-González, A.; Putnis, A.; Fernández-Díaz, L. Nucleation, growth, and zoning phenomena in crystallizing (Ba,Sr)CO3, Ba(SO4,CrO4), (Ba,Sr)SO4, and (Cd,Ca)CO3 solid solutions from aqueous solutions. Geochim. Cosmochim. Acta 1997, 61, 3383–3397. [Google Scholar] [CrossRef]
- Prieto, M.; Cubillas, P.; Fernández-González, A. Uptake of dissolved Cd by biogenic and abiogenic aragonite: A comparison with sorption onto calcite. Geochim. Cosmochim. Acta 2003, 67, 3859–3869. [Google Scholar] [CrossRef]
- Cubillas, P.; Köhler, S.; Prieto, M.; Causserand, C.; Oelkers, E.H. How do mineral coatings affect dissolution rates? An experimental study of coupled CaCO3 dissolution—CdCO3 precipitation. Geochim. Cosmochim. Acta 2005, 69, 5459–5476. [Google Scholar] [CrossRef]
- Li, Z.; Hofmann, A.; Wolthers, M.; Thomas, P. Reversibility of cadmium sorption to calcite revisited. J. Colloid Interf. Sci. 2012, 368, 434–442. [Google Scholar] [CrossRef]
- Tesoriero, A.J.; Pankow, J.F. Solid solution partitioning of Sr2+, Ba2+ and Cd2+ to calcite. Geochim. Cosmochim. Acta 1996, 60, 1053–1063. [Google Scholar] [CrossRef]
- Königsberger, E.; Hausner, R.; Gamsjäger, H. Solid-solute equilibria in aqueous solution: V. The system CdCO3-CaCO3-CO2-H2O. Geochim. Cosmochim. Acta 1991, 55, 3505–3514. [Google Scholar] [CrossRef]
- Stipp, S.L.; Hochella, M.F.; Parks, G.A.; Leckie, J.O. Cd2+ uptake by calcite, solid-state diffusion, and the formation of solid-solution: Interface processes observed with near-surface sensitive techniques (XPS, LEED, and AES). Geochim. Cosmochim. Acta 1992, 56, 1941–1954. [Google Scholar] [CrossRef]
- Reeder, R.J. Interaction of divalent cobalt, zinc, cadmium, and barium with the calcite surface during layer growth. Geochim. Cosmochim. Acta 1996, 60, 1543–1552. [Google Scholar] [CrossRef]
- Wang, Q.; De Leeuw, N.H. A computer-modelling study of CdCO3-CaCO3 solid solutions. Mineral. Mag. 2008, 72, 525–529. [Google Scholar] [CrossRef]
- Smith, R.M.; Martell, A.E. Critical Stability Constants, Volume 4, Inorganic Complexes; Plenum Press: New York, NY, USA, 1976; pp. 1–257. [Google Scholar]
- Sverjensky, D.A. Prediction of Gibbs free energies of calcite type carbonates and the equilibrium distribution of trace elements between carbonates and aqueous solutions. Geochim. Cosmochim. Acta 1984, 48, 1127–1134. [Google Scholar] [CrossRef]
- Prieto, M. Thermodynamics of solid solution aqueous solution systems. Rev. Mineral. Geochem. 2009, 70, 47–85. [Google Scholar] [CrossRef]
- Davis, J.A.; Fuller, C.C.; Cook, A.S. A model for trace metal sorption processes at the calcite surface: Adsorption of Cd2+ and subsequent solid solution formation. Geochim. Cosmochim. Acta 1987, 51, 1477–1490. [Google Scholar] [CrossRef]
- Glynn, P.D.; Reardon, E.J. Solid-solution aqueous-solution equilibria: Thermodynamic theory and representation. Amer. J. Sci. 1990, 290, 164–201. [Google Scholar] [CrossRef]
- Glynn, P. Solid-solution solubilities and thermodynamics: Sulfates, carbonates and halides. Rev. Mineral. Geochem. 2000, 40, 481–511. [Google Scholar] [CrossRef]
- Parkhurst, D.L.; Appelo, C.A.J. Description of Input and Examples for PHREEQC Version 3, A Computer Program for Speciation, Batch-Reaction, One-Dimensional Transport, and Inverse Geochemical Calculations; Techniques and Methods, Book 6, Chapter A43; U.S. Geological Survey: Denver, CO, USA, 2013; pp. 1–497. [Google Scholar]
- Astilleros, J.M.; Pina, C.M.; Fernndez-Daz, L.; Putnis, A. Molecular-scale surface processes during the growth of calcite in the presence of manganese. Geochim. Cosmochim. Acta 2002, 66, 3177–3189. [Google Scholar] [CrossRef] [Green Version]
- Katsikopoulos, D.; Fernández-González, Á.; Prieto, M. Crystallization behaviour of the (Mn,Ca)CO3 solid solution in silica gel: Nucleation, growth and zoning phenomena. Mineral. Mag. 2009, 73, 269–284. [Google Scholar] [CrossRef]
- Putnis, A.; Prieto, M.; Fernández-González, L. Fluid supersaturation and crystallization in porous media. Geol. Mag. 1995, 132, 1–13. [Google Scholar] [CrossRef]
- Fernández-Díaz, L.; Astilleros, J.M.; Pina, C.M. The morphology of calcite crystals grown in a porous medium doped with divalent cations. Chem. Geol. 2006, 225, 314–321. [Google Scholar] [CrossRef] [Green Version]
- Alkattan, M.; Oelkers, E.H.; Dandurand, J.-L.; Schott, J. An experimental study of calcite and limestone dissolution rates as a function of pH from −1 to 3 and temperature from 25 to 80 °C. Chem. Geol. 1998, 151, 199–214. [Google Scholar] [CrossRef]
- Zhang, X.; Wu, S.; Chen, F. Nano precipitates formed during the dissolution of calcite incorporated with Cu and Mn. Minerals 2018, 8, 484. [Google Scholar] [CrossRef] [Green Version]
- Mucci, A. The behavior of mixed Ca-Mn carbonates in water and seawater: Controls of manganese concentrations in marine porewaters. Aquat. Geochem. 2004, 10, 139–169. [Google Scholar] [CrossRef]
- Stumm, W.; Morgan, J.J. Aquatic Chemistry, Chemical Equilibria and Rates in Natural Waters, 3rd ed.; John Wiley & Sons, Inc.: New York, NY, USA, 1996; pp. 976–1004. [Google Scholar]
- Allison, J.D.; Brown, D.S.; Novo-Gradac, K.J. MINTEQA2/PRODEFA2, a Geochemical Assessment Model for Environmental Systems: Version 3.0 User’s Manual; Environmental Research Laboratory, Office of Research and Development, U.S. Environmental Protection Agency: Athens, GA, USA, 1991; pp. 1–106. [Google Scholar]
- Plummer, L.N.; Busenberg, E. The solubilities of calcite, aragonite and vaterite in CO2-H2O solutions between 0 and 90 °C, and an evaluation of the aqueous model for the system CaCO3-CO2-H2O. Geochim. Cosmochim. Acta 1982, 46, 1011–1040. [Google Scholar] [CrossRef]
- Garrels, R.M.; Thompson, M.E.; Siever, R. Stability of some carbonates at 25 °C and one atmosphere total pressure. Am. J. Sci. 1960, 258, 402–418. [Google Scholar] [CrossRef]
- Jensen, D.L.; Boddum, J.K.; Tjell, J.C.; Christensen, T.H. The solubility of rhodochrosite (MnCO3) and siderite (FeCO3) in anaerobic aquatic environments. Appl. Geochem. 2002, 17, 503–511. [Google Scholar] [CrossRef]
- Zhuk, N.P. Thermodynamic constants of sulfates, carbonates, chromates, bromates, iodates, oxalates, and other salts slightly soluble in water. Zhurnal Fizicheskoi Khimii 1954, 28, 1690–1697. [Google Scholar]
- Krestov, G.A.; Kobenin, V.A.; Sokolov, V.N. Method for calculating the solubility product at 273–373 °K. Zhurnal Neorg. Khimii 1977, 22, 2864–3867. [Google Scholar]
- Gamsjäger, H.; Magalhães, M.C.F.; Königsberger, E.; Sawada, K.; Churagulov, B.R.; Schmidt, P.; Zeng, D. IUPAC-NIST Solubility Data Series. 92. Metal Carbonates. Part 1. Solubility and related thermodynamic quantities of cadmium (II) carbonate in aqueous systems. J. Phys. Chem. Ref. Data 2011, 40, 043104. [Google Scholar]
- Egorov, A.M.; Titova, Z.P. Solubility products of salts with polyatomic ions as a function of the temperature. Zhurnal Neorg. Khimii 1962, 7, 275–278. [Google Scholar]
- Latimer, W.M. The Oxidation States of the Elements and their Potentials in Aqueous Solutions, 2nd ed.; Prentice Hall: New York, NY, USA, 1952; pp. 1–392. [Google Scholar]
- Wagman, D.D.; Evans, W.H.; Parker, V.B.; Schumm, R.H.; Halow, I.; Bailey, S.M.; Churney, K.L.; Nuttall, R.L. The NBS tables of chemical thermodynamic properties: Selected values for inorganic and C1 and C2 organic substances in SI units. J. Phys. Chem. Ref. Data 1982, 11 (Suppl. S2), 1–392. [Google Scholar]
- Robie, R.A. Thermodynamic Properties of Minerals; Open File Report TEI-816; U.S. Geological Survey: Denver, CO, USA, 1962; pp. 1–31. [Google Scholar]
- Barin, I.; Knacke, O.; Kubaschewski, O. Thermodynamic Properties of Inorganic Substances, Supplement; Springer: Berlin, Germany, 1977; pp. 1–861. [Google Scholar]
- Robie, R.A.; Hemingway, B.S.; Fisher, J.R. Thermodynamic Properties of Minerals and Related Substances at 298.15 K and 1 bar (105 Pa) Pressure and at Higher Temperatures; U.S. Geological Survey Bulletin 1452; U.S. Government Printing Office: Washington, DC, USA, 1978; pp. 1–456. [Google Scholar]
- La Iglesia, A.; Félix, J.F. Estimation of thermodynamic properties of mineral carbonates at high and low temperatures from the sum of polyhedral contributions. Geochim. Cosmochim. Acta 1994, 58, 3983–3991. [Google Scholar] [CrossRef]
- Rock, P.A.; Casey, W.H.; McBeath, M.K.; Walling, E.M. A new method for determining Gibbs energies of formation of metal-carbonate solid solutions: 1. The CaxCd1−xCO3(s) system at 298 K and 1 bar. Geochim. Cosmochim. Acta 1994, 58, 4281–4291. [Google Scholar] [CrossRef]
- Gamsjäger, H.; Preis, W.; Königsberger, E.; Magalhaes, M.C.; Brandao, P. Solid-solute phase equilibria in aqueous solution. XI. Aqueous solubility and standard Gibbs energy of cadmium carbonate. J. Solution Chem. 1999, 28, 711–720. [Google Scholar] [CrossRef]
- Lippmann, F. Phase diagrams depicting the aqueous solubility of binary mineral systems. N. Jahrb. Mineral. Abh. 1980, 139, 1–25. [Google Scholar]
- Glynn, P.D.; Reardon, E.J.; Plummer, L.N.; Busenberg, E. Reaction paths and equilibrium end-points in solid-solution aqueous-solution systems. Geochim. Cosmochim. Acta 1990, 54, 267–282. [Google Scholar] [CrossRef]
- Gamsjäger, H.; Königsberger, E.; Preis, W. Lippmann diagrams: Theory and application to carbonate systems. Aquat. Geochem. 2000, 6, 119–132. [Google Scholar] [CrossRef]
- Fernández-González, A.; Pedreira, V.B.; Prieto, M. Crystallization of zoned (Ba,Pb)SO4 single crystals from aqueous solution in silica gel. J. Cryst. Growth 2008, 310, 4616–4622. [Google Scholar] [CrossRef]
- Fernández-González, A.; Prieto, M.; Putnis, A.; López Andrés, S. Concentric zoning patterns in crystallizing (Cd,Ca)CO3 solid-solutions from aqueous solutions. Miner. Mag. 1999, 63, 331–343. [Google Scholar] [CrossRef]
- McBeath, M.K.; Rock, P.A.; Casey, W.H.; Mandell, G.K. Gibbs energies of formation of metal-carbonate solid solutions: Part 3. The CaxMn1−xCO3 system at 298 K and 1 bar. Geochim. Cosmochim. Acta 1998, 62, 2799–2808. [Google Scholar] [CrossRef]
- Shtukenberg, A.G.; Punin, Y.O.; Azimov, P. Crystallization kinetics in binary solid solution-aqueous solutions systems. Am. J. Sci. 2006, 290, 164–201. [Google Scholar] [CrossRef]








| Sample No. | Volume of Precursor (mL) | Amount of Precipitate (g) | Cd/(Ca+Cd) Mole Ratio | |||||
|---|---|---|---|---|---|---|---|---|
| 2 mol/L Ca(NO3)2 | 2 mol/L Cd(NO3)2 | 0.5 mol/L NH4HCO3 | Precursor Solution | Synthetic Solid | Solid after Dissolution in Water | |||
| N2-Degassed | CO2-Saturated | |||||||
| Cal-Ot-00 | 5.0 | 0.0 | 100 | 0.96 | 0.00 | 0.00 | 0.00 | 0.00 |
| Cal-Ot-01 | 4.5 | 0.5 | 100 | 1.12 | 0.10 | 0.10 | 0.11 | 0.12 |
| Cal-Ot-02 | 4.0 | 1.0 | 100 | 1.15 | 0.20 | 0.21 | 0.21 | 0.24 |
| Cal-Ot-03 | 3.5 | 1.5 | 100 | 1.23 | 0.30 | 0.31 | 0.31 | 0.34 |
| Cal-Ot-04 | 3.0 | 2.0 | 100 | 1.29 | 0.40 | 0.40 | 0.41 | 0.45 |
| Cal-Ot-05 | 2.5 | 2.5 | 100 | 1.36 | 0.50 | 0.50 | 0.51 | 0.55 |
| Cal-Ot-06 | 2.0 | 3.0 | 100 | 1.44 | 0.60 | 0.60 | 0.61 | 0.66 |
| Cal-Ot-07 | 1.5 | 3.5 | 100 | 1.49 | 0.70 | 0.70 | 0.71 | 0.75 |
| Cal-Ot-08 | 1.0 | 4.0 | 100 | 1.56 | 0.80 | 0.79 | 0.81 | 0.84 |
| Cal-Ot-09 | 0.5 | 4.5 | 100 | 1.63 | 0.90 | 0.89 | 0.90 | 0.92 |
| Cal-Ot-10 | 0.0 | 5.0 | 100 | 1.68 | 1.00 | 1.00 | 1.00 | 1.00 |
| Sample | Dissolution Time (h) | pH | Concentration | # log IAP | Mean log IAP | ΔGfθ (kJ/mol) | Mean ΔGfθ (kJ/mol) | ||
|---|---|---|---|---|---|---|---|---|---|
| Ca (mmol/L) | Cd (μmol/L) | HCO3+CO3 (mmol/L) | |||||||
| a (Ca1.00Cd0.00)CO3 | 5040 | 8.25 | 0.527 | 1.043 | −8.48 | −8.45 | −1129.84 | −1129.65 | |
| 5760 | 8.23 | 0.536 | 1.153 | −8.45 | ±0.04 | −1129.68 | ±0.22 | ||
| 6480 | 8.24 | 0.562 | 1.195 | −8.41 | −1129.43 | ||||
| b (Ca1.00Cd0.00)CO3 | 5040 | 8.29 | 0.511 | 1.035 | −8.45 | −8.42 | −1129.70 | −1129.48 | |
| 5760 | 8.27 | 0.512 | 1.145 | −8.43 | ±0.06 | −1129.57 | ±0.30 | ||
| 6480 | 8.32 | 0.534 | 1.154 | −8.36 | −1129.18 | ||||
| * (Ca0.90Cd0.10)CO3 | 5040 | 8.37 | 0.445 | 0.017 | 0.987 | −8.95 | −8.91 | −1080.14 | −1079.93 |
| ** (Ca0.89Cd0.11)CO3 | 5760 | 8.38 | 0.454 | 0.023 | 1.080 | −8.88 | ±0.04 | −1079.76 | ±0.21 |
| 6480 | 8.35 | 0.472 | 0.018 | 1.095 | −8.90 | −1079.88 | |||
| * (Ca0.79Cd0.21)CO3 | 5040 | 8.50 | 0.378 | 0.025 | 0.836 | −9.35 | −9.29 | −1034.88 | −1034.50 |
| ** (Ca0.79Cd0.21)CO3 | 5760 | 8.51 | 0.422 | 0.035 | 0.942 | −9.23 | ±0.06 | −1034.19 | ±0.38 |
| 6480 | 8.44 | 0.438 | 0.031 | 0.996 | −9.27 | −1034.43 | |||
| * (Ca0.69Cd0.31)CO3 | 5040 | 8.34 | 0.426 | 0.052 | 0.955 | −9.75 | −9.68 | −989.52 | −989.13 |
| ** (Ca0.69Cd0.31)CO3 | 5760 | 8.44 | 0.423 | 0.049 | 1.046 | −9.63 | ±0.07 | −988.85 | ±0.39 |
| 6480 | 8.45 | 0.419 | 0.036 | 1.049 | −9.66 | −989.04 | |||
| * (Ca0.60Cd0.40)CO3 | 5040 | 8.45 | 0.372 | 0.056 | 0.844 | −10.11 | −10.05 | −943.99 | −943.65 |
| ** (Ca0.59Cd0.41)CO3 | 5760 | 8.55 | 0.365 | 0.058 | 0.899 | −9.99 | ±0.06 | −943.34 | ±0.34 |
| 6480 | 8.51 | 0.372 | 0.050 | 0.916 | −10.04 | −943.62 | |||
| * (Ca0.50Cd0.50)CO3 | 5040 | 8.48 | 0.337 | 0.057 | 0.741 | −10.54 | −10.46 | −898.84 | −898.39 |
| ** (Ca0.49Cd0.51)CO3 | 5760 | 8.60 | 0.338 | 0.062 | 0.821 | −10.37 | ±0.09 | −897.91 | ±0.48 |
| 6480 | 8.54 | 0.339 | 0.051 | 0.833 | −10.46 | −898.42 | |||
| * (Ca0.40Cd0.60)CO3 | 5040 | 8.57 | 0.261 | 0.050 | 0.629 | −10.98 | −10.86 | −853.75 | −853.09 |
| ** (Ca0.39Cd0.61)CO3 | 5760 | 8.72 | 0.289 | 0.054 | 0.696 | −10.78 | ±0.12 | −852.62 | ±0.66 |
| 6480 | 8.51 | 0.308 | 0.071 | 0.791 | −10.82 | −852.89 | |||
| * (Ca0.30Cd0.70)CO3 | 5040 | 8.43 | 0.323 | 0.094 | 0.733 | −11.20 | −11.17 | −807.45 | −807.26 |
| ** (Ca0.29Cd0.71)CO3 | 5760 | 8.56 | 0.330 | 0.081 | 0.800 | −11.10 | ±0.07 | −806.88 | ±0.38 |
| 6480 | 8.53 | 0.322 | 0.064 | 0.804 | −11.20 | −807.45 | |||
| * (Ca0.21Cd0.79)CO3 | 5040 | 8.46 | 0.221 | 0.090 | 0.537 | −11.69 | −11.59 | −762.65 | −762.05 |
| ** (Ca0.19Cd0.81)CO3 | 5760 | 8.49 | 0.231 | 0.117 | 0.612 | −11.52 | ±0.10 | −761.68 | ±0.60 |
| 6480 | 8.54 | 0.241 | 0.090 | 0.645 | −11.55 | −761.84 | |||
| * (Ca0.11Cd0.89)CO3 | 5040 | 8.36 | 0.140 | 0.231 | 0.424 | −11.82 | −11.81 | −720.57 | −720.48 |
| ** (Ca0.10Cd0.90)CO3 | 5760 | 8.38 | 0.140 | 0.228 | 0.455 | −11.78 | ±0.03 | −720.34 | ±0.14 |
| 6480 | 8.48 | 0.142 | 0.170 | 0.448 | −11.82 | −720.52 | |||
| (Ca0.00Cd1.00)CO3 | 5040 | 7.83 | 5.320 | 0.149 | −11.66 | −11.62 | −672.06 | −671.81 | |
| 5760 | 7.84 | 5.435 | 0.155 | −11.63 | ±0.05 | −671.86 | ±0.29 | ||
| 6480 | 7.83 | 6.476 | 0.152 | −11.57 | −671.52 | ||||
| (Ca0.00Cd1.00)CO3 | 5040 | 7.79 | 3.461 | 0.151 | −11.89 | −11.79 | −673.33 | −672.78 | |
| 5760 | 7.89 | 3.621 | 0.147 | −11.78 | ±0.10 | −672.70 | ±0.55 | ||
| 6480 | 7.86 | 4.395 | 0.152 | −11.71 | −672.32 | ||||
| Sample | Dissolution Time (h) | pH | Concentration | # log IAP | Mean log IAP | ΔGfθ (kJ/mol) | Mean ΔGfθ (kJ/mol) | ||
|---|---|---|---|---|---|---|---|---|---|
| Ca (mmol/L) | Cd (μmol/L) | HCO3+CO3 (mmol/L) | |||||||
| a (Ca1.00Cd0.00)CO3 | 5040 | 7.91 | 0.803 | 1.645 | −8.47 | −8.39 | −1129.76 | −1129.32 | |
| 5760 | 7.97 | 0.817 | 1.716 | −8.38 | ±0.08 | −1129.28 | ±0.44 | ||
| 6480 | 8.05 | 0.801 | 1.668 | −8.32 | −1128.93 | ||||
| b (Ca1.00Cd0.00)CO3 | 5040 | 7.90 | 0.825 | 1.741 | −8.44 | −8.37 | −1129.62 | −1129.22 | |
| 5760 | 7.93 | 0.853 | 1.776 | −8.39 | ±0.09 | −1129.33 | ±0.52 | ||
| 6480 | 8.06 | 0.837 | 1.721 | −8.28 | −1128.70 | ||||
| * (Ca0.90Cd0.10)CO3 | 5040 | 7.90 | 0.774 | 0.074 | 1.896 | −8.92 | −8.88 | −1075.24 | −1075.02 |
| ** (Ca0.88Cd0.12)CO3 | 5760 | 7.89 | 0.822 | 0.046 | 2.023 | −8.91 | ±0.06 | −1075.17 | ±0.37 |
| 6480 | 8.01 | 0.794 | 0.047 | 1.931 | −8.82 | −1074.65 | |||
| * (Ca0.79Cd0.21)CO3 | 5040 | 7.87 | 0.877 | 0.051 | 2.097 | −9.40 | −9.38 | −1020.85 | −1020.74 |
| ** (Ca0.76Cd0.24)CO3 | 5760 | 7.87 | 0.870 | 0.068 | 2.092 | −9.37 | ±0.02 | −1020.70 | ±0.11 |
| 6480 | 7.99 | 0.816 | 0.041 | 1.899 | −9.36 | −1020.65 | |||
| * (Ca0.69Cd0.31)CO3 | 5040 | 7.82 | 0.889 | 0.111 | 2.202 | −9.74 | −9.70 | −975.19 | −975.01 |
| ** (Ca0.64Cd0.34)CO3 | 5760 | 7.85 | 0.922 | 0.101 | 2.196 | −9.71 | ±0.04 | −975.06 | ±0.23 |
| 6480 | 8.02 | 0.885 | 0.063 | 2.005 | −9.66 | −974.78 | |||
| * (Ca0.60Cd0.40)CO3 | 5040 | 7.83 | 0.938 | 0.132 | 2.001 | −10.15 | −10.13 | −925.21 | −925.07 |
| ** (Ca0.55Cd0.45)CO3 | 5760 | 7.83 | 0.916 | 0.123 | 2.053 | −10.16 | ±0.06 | −925.26 | ±0.32 |
| 6480 | 7.98 | 0.902 | 0.103 | 1.964 | −10.07 | −924.75 | |||
| * (Ca0.50Cd0.50)CO3 | 5040 | 7.83 | 0.932 | 0.192 | 1.884 | −10.48 | −10.53 | −879.46 | −879.74 |
| ** (Ca0.45Cd0.55)CO3 | 5760 | 7.82 | 0.880 | 0.148 | 1.933 | −10.55 | ±0.05 | −879.86 | ±0.28 |
| 6480 | 7.92 | 0.853 | 0.103 | 1.878 | −10.55 | −879.90 | |||
| * (Ca0.40Cd0.60)CO3 | 5040 | 7.83 | 0.837 | 0.137 | 1.856 | −11.00 | −10.98 | −830.09 | −830.00 |
| ** (Ca0.34Cd0.66)CO3 | 5760 | 7.87 | 0.842 | 0.129 | 1.870 | −10.97 | ±0.02 | −829.95 | ±0.09 |
| 6480 | 8.03 | 0.803 | 0.082 | 1.780 | −10.98 | −829.97 | |||
| * (Ca0.30Cd0.70)CO3 | 5040 | 7.84 | 0.875 | 0.161 | 1.936 | −11.26 | −11.26 | −788.75 | −788.72 |
| ** (Ca0.25Cd0.75)CO3 | 5760 | 7.88 | 0.902 | 0.131 | 1.950 | −11.29 | ±0.04 | −788.89 | ±0.19 |
| 6480 | 7.99 | 0.865 | 0.129 | 1.796 | −11.22 | −788.53 | |||
| * (Ca0.21Cd0.79)CO3 | 5040 | 7.86 | 0.763 | 0.374 | 1.691 | −11.33 | −11.47 | −746.30 | −747.10 |
| ** (Ca0.16Cd0.84)CO3 | 5760 | 7.85 | 0.789 | 0.210 | 1.702 | −11.55 | ±0.14 | −747.54 | ±0.80 |
| 6480 | 7.96 | 0.771 | 0.174 | 1.606 | −11.53 | −747.47 | |||
| * (Ca0.11Cd0.89)CO3 | 5040 | 7.94 | 0.481 | 0.463 | 1.051 | −11.62 | −11.64 | −709.89 | −710.00 |
| ** (Ca0.08Cd0.92)CO3 | 5760 | 7.94 | 0.462 | 0.416 | 1.054 | −11.66 | ±0.02 | −710.13 | ±0.13 |
| 6480 | 8.04 | 0.458 | 0.363 | 1.014 | −11.64 | −709.99 | |||
| (Ca0.00Cd1.00)CO3 | 5040 | 7.66 | 9.643 | 0.219 | −11.42 | −11.49 | −670.66 | −671.09 | |
| 5760 | 7.65 | 8.513 | 0.196 | −11.53 | ±0.07 | −671.29 | ±0.43 | ||
| 6480 | 7.73 | 6.957 | 0.197 | −11.53 | −671.31 | ||||
| (Ca0.00Cd1.00)CO3 | 5040 | 7.65 | 6.894 | 0.214 | −11.58 | −11.60 | −671.60 | −671.71 | |
| 5760 | 7.65 | 6.023 | 0.201 | −11.67 | ±0.07 | −672.09 | ±0.38 | ||
| 6480 | 7.75 | 6.636 | 0.186 | −11.56 | −671.45 | ||||
Publisher’s Note: MDPI stays neutral with regard to jurisdictional claims in published maps and institutional affiliations. |
© 2022 by the authors. Licensee MDPI, Basel, Switzerland. This article is an open access article distributed under the terms and conditions of the Creative Commons Attribution (CC BY) license (https://creativecommons.org/licenses/by/4.0/).
Share and Cite
Ma, C.; Xu, F.; Zhu, Z.; Yang, H.; Nong, P.; Kang, Z.; Tang, S.; Zhang, L.; Zhu, Y. Dissolution and Solubility of the Calcite–Otavite Solid Solutions [(Ca1−xCdx)CO3] at 25 °C. Minerals 2022, 12, 756. https://doi.org/10.3390/min12060756
Ma C, Xu F, Zhu Z, Yang H, Nong P, Kang Z, Tang S, Zhang L, Zhu Y. Dissolution and Solubility of the Calcite–Otavite Solid Solutions [(Ca1−xCdx)CO3] at 25 °C. Minerals. 2022; 12(6):756. https://doi.org/10.3390/min12060756
Chicago/Turabian StyleMa, Chengyou, Fan Xu, Zongqiang Zhu, Hongqu Yang, Peijie Nong, Zhiqiang Kang, Shen Tang, Lihao Zhang, and Yinian Zhu. 2022. "Dissolution and Solubility of the Calcite–Otavite Solid Solutions [(Ca1−xCdx)CO3] at 25 °C" Minerals 12, no. 6: 756. https://doi.org/10.3390/min12060756
APA StyleMa, C., Xu, F., Zhu, Z., Yang, H., Nong, P., Kang, Z., Tang, S., Zhang, L., & Zhu, Y. (2022). Dissolution and Solubility of the Calcite–Otavite Solid Solutions [(Ca1−xCdx)CO3] at 25 °C. Minerals, 12(6), 756. https://doi.org/10.3390/min12060756

