Research on the Rapid Strengthening Mechanism of Microwave Field-Controlled Gypsum-Cemented Analog Materials
Abstract
:1. Introduction
2. Materials and Methods
2.1. Proportioning Materials
2.2. Experiment Scheme
3. Discussion and Results
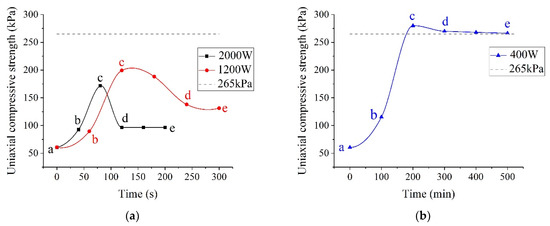
3.1. Strength Variation of Microwave-Cured Analog Materials
3.2. Strength Variation Mechanism of Microwave-Cured Analog Materials
3.2.1. Main Factors Affecting Material Strength
3.2.2. The Mechanism That Affects the Variation of Material Strength
3.3. Irradiation Condition Control Method of Microwave-Cured Analog Materials
3.4. Intelligent Devices for Microwave Irradiation
4. Conclusions
Author Contributions
Funding
Data Availability Statement
Conflicts of Interest
References
- Li, Y.; Chiu, Y.H.; Lin, T.Y. Coal production efficiency and land destruction in China’s coal mining industry. Resour. Policy 2019, 63, 101449. [Google Scholar] [CrossRef]
- Qi, R.; Liu, T.; Jia, Q. Simulating the sustainable effect of green mining construction policies on coal mining industry of China. J. Clean. Prod. 2019, 226, 392–406. [Google Scholar] [CrossRef]
- Wang, Y.; Lei, Y.X.; Wang, S.Y. Green mining efficiency and improvement countermeasures for China’s coal mining industry. Front. Energy Res. 2020, 8, 18. [Google Scholar] [CrossRef]
- Zhang, D.S.; Fan, G.W.; Wang, X.F. Characteristics and stability of slope movement response to underground mining of shallow coal seams away from gullies. Int. J. Min. Sci. 2012, 22, 47–50. [Google Scholar] [CrossRef]
- Xia, Y.C.; Zhi, J.F.; Sun, X.Y. Study on relation between tectonic stress and coalmining subsidence with analog material simulation. J. Coal Sci. Eng. 2005, 11, 37–40. [Google Scholar]
- Tao, M.; Chen, X.; Ding, Q.Q. A method for subsidence monitoring of similar material simulation test in coal mining. Adv. Mater. Res. 2013, 765, 2172–2175. [Google Scholar] [CrossRef]
- Wang, X.F.; Zhang, D.S.; Fan, G.W. Underground Pressure Characteristics Analysis in Back-gully Mining of Shallow Coal Seam Under a Bedrock Gully Slope. Min. Sci. Technol. 2011, 21, 23–27. [Google Scholar] [CrossRef]
- Wang, F.T.; Zhang, C.; Zhang, X.G.; Song, Q. Overlying strata movement rules and safety mining technology for the shallow depth seam proximity beneath a room mining goaf. Int. J. Min. Sci. Technol. 2015, 25, 139–143. [Google Scholar] [CrossRef]
- Wen, B.A.; Yan, Y.; Dong, Y.X. The application of analog material in the simulation of overlying strata movement in high inclined seam in Dong Baowei mine. Adv. Mater. Res. 2012, 600, 194–198. [Google Scholar] [CrossRef]
- Yan, S.Y.; Yang, K.; Liao, B.C. Experimental study of high mining-induced stress evolution characteristics of downward relieving mining in Paner coal mine. Rock Soil Mech. 2013, 34, 2551–2556. [Google Scholar]
- Zhang, H.W.; Han, J.; Hai, L.X. Study on closed multiple-seam in the ascending mining technology. J. Min. Saf. Eng. 2013, 30, 63–67. [Google Scholar]
- Hu, Q.; Zhang, S.; Wen, G. Coal-like material for coal and gas outburst simulation tests. Int. J. Rock Mech. Min. Sci. 2015, 74, 151–156. [Google Scholar] [CrossRef]
- Li, J.G.; Wu, Y.; Wang, Y.Y. Experimental study on self-made similar material of soft rock. Key Eng. Mater. 2017, 717, 140–146. [Google Scholar] [CrossRef]
- Yang, R.S.; Zhang, Y.F.; Yang, L.W. Study on the mixing proportion test of similar material gypsum. China Min. Mag. 2013, 22, 125–130. [Google Scholar]
- Jiang, Y.Z.; Wang, R.H.; Tang, T.C. Research on plane strain model test of rockburst of underground cavern in hard brittle rockmass. Appl. Mech. Mater. 2018, 102, 1539–1556. [Google Scholar] [CrossRef]
- Zhao, P.X.; Li, S.G.; Zhuo, R.S. Experimental research on the properties of “solid-gas” coupling physical simulation analog materials and testing by computer of gas in coal rock. Wirel. Pers. Commun. 2018, 102, 1539–1556. [Google Scholar] [CrossRef]
- Liu, Y.S.; Li, J.; Wu, Q.L. Sensitivity analysis and proportioning design of rock burst similar materials. Funct. Mater. 2017, 24, 496–500. [Google Scholar] [CrossRef]
- Cheng, W.M.; Sun, L.; Wang, G. Experimental research on coal seam analog material proportion and its application. Int. J. Min. Sci. Technol. 2016, 26, 913–918. [Google Scholar] [CrossRef]
- Guan, W.M.; Qi, Q.; Zhang, Z.Y. Effect of Sand Particle Size on Microstructure and Mechanical Properties of Gypsum-Cemented Similar Materials. Materials 2020, 13, 765. [Google Scholar] [CrossRef] [Green Version]
- Guan, W.M.; Zhang, D.S.; Wen, Y.Y. Influence of curing humidity on the compressive strength of gypsum-cemented similar materials. Adv. Mater. Sci. Eng. 2016, 2016, 7062624. [Google Scholar] [CrossRef] [Green Version]
- Metaxas, A.C. Microwave heating. Power Eng. J. 1991, 5, 237–247. [Google Scholar] [CrossRef]
- Meredith, R.J. Engineers’ Handbook of Industrial Microwave Heating; The Institution of Engineering and Technology: London, UK, 1998. [Google Scholar]
- Oliveira, M.E.; Franca, A.S. Microwave heating of foodstuffs. J. Food Eng. 2002, 53, 347–359. [Google Scholar] [CrossRef]
- Kappe, C.O. Controlled microwave heating in modern organic synthesis. Angewandte Chemie 2004, 43, 6250–6284. [Google Scholar] [CrossRef]
- Jones, D.A.; Lelyveld, T.P.; Mavrofidis, S.D. Microwave heating applications in environmental engineering—A review. Resour. Conserv. Recycl. 2002, 34, 75–90. [Google Scholar] [CrossRef]
- Pickles, C.A.; Gao, F.; Kelebek, S. Microwave drying of a low-rank sub-bituminous coal. Min. Eng. 2014, 62, 31–42. [Google Scholar] [CrossRef]
- Song, Z.; Jing, C.; Yao, L. Microwave drying performance of single-particle coal slime and energy consumption analyses. Fuel Process. Technol. 2016, 143, 69–78. [Google Scholar] [CrossRef]
- Qi, Q.; Guan, W.M.; Li, X. Mechanism of Increasing the Permeability of Water-Bearing Coal Rock by Microwave Steam Explosion. Geofluids 2021, 2021, 6661867. [Google Scholar] [CrossRef]
- Li, G.; Ma, F.S.; Guo, J. Experimental Study on Similar Materials Ratio Used in Large Scale Engineering Model Test. Nat. Sci. 2020, 41, 1653–1660. [Google Scholar]
- Zhang, X.Y.; Luo, L.; Xu, L.F. Research on Quantitative Determination Method of Similar Materials Ratio. Saf. Coal Mines 2019, 50, 45–53. [Google Scholar] [CrossRef]
- Fletcher, D.F. Steam explosion triggering: A review of theoretical and experimental investigations. Nucl. Eng. Des. 1995, 155, 27–36. [Google Scholar] [CrossRef]
- Comel, C.; Karmazsin, E.; Murat, M. Theoretical interpretation of the existence at 35 °C of an absolute maximum of the hydration rate of calcium sulfate hemihydrate. Thermochim. Acta 1979, 31, 71–77. [Google Scholar] [CrossRef]












| Lithology | Density g/cm3 | Compressive Strength/MPa | Model Density g/cm3 | Model Compressive Strength/kPa | Hemihydrate Gypsum/% | Heavy Stone Powder/% | Sand/% | Water/% |
|---|---|---|---|---|---|---|---|---|
| Mudstone | 1.68 | 39.7 | 1.12 | 265 | 9.5 | 8.1 | 72.4 | 10 |
| Group 1 (2000 W) | Group 2 (1200 W) | Group 3 (400 W) | Control Group | ||||
|---|---|---|---|---|---|---|---|
| Time/s | Number of Samples | Time/s | Number of Samples | Time/min | Number of Samples | Time/s | Number of Samples |
| 0 | 5 | 0 | 5 | 0 | 5 | 20d | 5 |
| 40 | 5 | 60 | 5 | 80 | 5 | ||
| 80 | 5 | 120 | 5 | 160 | 5 | ||
| 120 | 5 | 180 | 5 | 240 | 5 | ||
| 160 | 5 | 240 | 5 | 320 | 5 | ||
| 200 | 5 | 300 | 5 | 400 | 5 | ||
Publisher’s Note: MDPI stays neutral with regard to jurisdictional claims in published maps and institutional affiliations. |
© 2021 by the authors. Licensee MDPI, Basel, Switzerland. This article is an open access article distributed under the terms and conditions of the Creative Commons Attribution (CC BY) license (https://creativecommons.org/licenses/by/4.0/).
Share and Cite
Nan, S.; Li, W.; Guan, W.; Liu, H.; Zhao, H.; Wen, Y.; Yao, J. Research on the Rapid Strengthening Mechanism of Microwave Field-Controlled Gypsum-Cemented Analog Materials. Minerals 2021, 11, 1348. https://doi.org/10.3390/min11121348
Nan S, Li W, Guan W, Liu H, Zhao H, Wen Y, Yao J. Research on the Rapid Strengthening Mechanism of Microwave Field-Controlled Gypsum-Cemented Analog Materials. Minerals. 2021; 11(12):1348. https://doi.org/10.3390/min11121348
Chicago/Turabian StyleNan, Senlin, Wentao Li, Weiming Guan, Huabin Liu, Hongchao Zhao, Yingyuan Wen, and Junhui Yao. 2021. "Research on the Rapid Strengthening Mechanism of Microwave Field-Controlled Gypsum-Cemented Analog Materials" Minerals 11, no. 12: 1348. https://doi.org/10.3390/min11121348
APA StyleNan, S., Li, W., Guan, W., Liu, H., Zhao, H., Wen, Y., & Yao, J. (2021). Research on the Rapid Strengthening Mechanism of Microwave Field-Controlled Gypsum-Cemented Analog Materials. Minerals, 11(12), 1348. https://doi.org/10.3390/min11121348

