High-Resolution Hyperspectral Mineral Mapping: Case Studies in the Edwards Limestone, Texas, USA and Sulfide-Rich Quartz Veins from the Ladakh Batholith, Northern Pakistan
Abstract
1. Introduction
2. Materials and Methods
2.1. Sample Origins and Descriptions
2.2. Mineral Mixture Preparation and Evaluation
2.3. Hyperspectral Data Acquisition, Processing, and Classification
3. Results
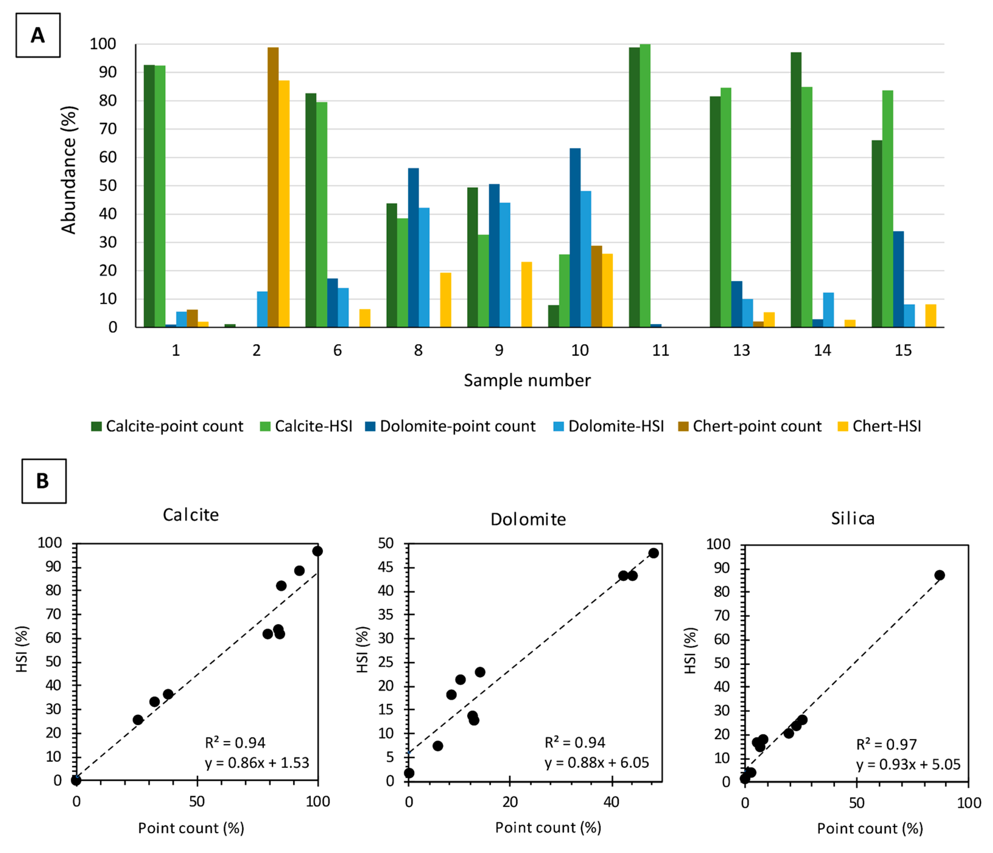
3.1. Edwards Formation, Central Texas, USA
3.2. Sulfide-Rich Quartz Veins from Ladakh Batholith, Northern Pakistan
4. Conclusions
Author Contributions
Funding
Acknowledgments
Conflicts of Interest
References
- Dale, L.M.; Thewis, A.; Boudry, C.; Rotar, I.; Dardenne, P.; Baeten, V.; Pierna, J.A.F. Hyperspectral Imaging Applications in Agriculture and Agro-Food Product Quality and Safety Control: A Review. Appl. Spectrosc. Rev. 2013, 48, 142–159. [Google Scholar] [CrossRef]
- Ishida, T.; Kurihara, J.; Viray, F.A.; Namuco, S.B.; Paringit, E.C.; Perez, G.J.; Takahashi, Y.; Marciano, J.J. A novel approach for vegetation classification using UAV-based hyperspectral imaging. Comput. Electron. Agric. 2018, 144, 80–85. [Google Scholar] [CrossRef]
- Huang, H.; Liu, L.; Ngadi, M.O. Recent developments in hyperspectral imaging for assessment of food quality and safety. Sensors 2014, 14, 7248–7276. [Google Scholar] [CrossRef] [PubMed]
- Park, B.; Yoon, S.-C.; Windham, W.R.; Lawrence, K.C.; Kim, M.S.; Chao, K. Line-scan hyperspectral imaging for real-time in-line poultry fecal detection. Sens. Instrum. Food Qual. Saf. 2011, 5, 25–32. [Google Scholar] [CrossRef]
- Calin, M.A.; Parasca, S.V.; Savastru, D.; Manea, D. Hyperspectral Imaging in the Medical Field: Present and Future. Appl. Spectrosc. Rev. 2013, 49, 435–447. [Google Scholar] [CrossRef]
- Johnson, W.R.; Wilson, D.W.; Fink, W.; Humayun, M.; Bearman, G. Snapshot hyperspectral imaging in ophthalmology. J. Biomed. Opt. 2007, 12, 014036. [Google Scholar] [CrossRef]
- Payne, G.; Wallace, C.; Reedy, B.; Lennard, C.; Schuler, R.; Exline, D.; Roux, C. Visible and near-infrared chemical imaging methods for the analysis of selected forensic samples. Talanta 2005, 67, 334–344. [Google Scholar] [CrossRef]
- Edelman, G.; van Leeuwen, T.G.; Aalders, M.C. Hyperspectral imaging for the age estimation of blood stains at the crime scene. Forensic Sci. Int. 2012, 223, 72–77. [Google Scholar] [CrossRef]
- Leask, E.K.; Ehlmann, B.L. Identifying and quantifying mineral abundance through VSWIR microimaging spectroscopy: A comparison to XRD and SEM. In Proceedings of the 8th Workshop on Hyperspectral Image and Signal Processing: Evolution in Remote Sensing (WHISPERS), Los Angeles, CA, USA, 21–24 August 2016. [Google Scholar]
- Boesche, N.; Rogass, C.; Lubitz, C.; Brell, M.; Herrmann, S.; Mielke, C.; Tonn, S.; Appelt, O.; Altenberger, U.; Kaufmann, H. Hyperspectral REE (Rare Earth Element) Mapping of Outcrops—Applications for Neodymium Detection. Remote Sens. 2015, 7, 5160–5186. [Google Scholar] [CrossRef]
- Koerting, F.; Rogass, C.; Kaempf, H.; Lubitz, C.; Harms, U.; Schudack, M.; Kokaly, R.; Mielke, C.; Boesche, N.; Altenberger, U. Drill core mineral analysis by means of the hyperspectral imaging spectrometer HySpex, XRD and ASD in proximity of the Mýtina Maar, Czech Republic. ISPRS Int. Arch. Photogramm. Remote Sens. Spat. Inf. Sci. 2015, XL-1-W5, 417–424. [Google Scholar] [CrossRef]
- Rogass, C.; Koerting, F.M.; Mielke, C.; Brell, M.; Boesche, N.K.; Bade, M.; Hohmann, C. Translational Imaging Spectroscopy for Proximal Sensing. Sensors 2017, 17, 1857. [Google Scholar] [CrossRef]
- Krupnik, D.; Khan, S.D. Close-range, ground-based hyperspectral imaging for mining applications at various scales: Review and case studies. Earth Sci. Rev. 2019, 198, 102952. [Google Scholar] [CrossRef]
- Polak, A.; Kelman, T.; Murray, P.; Marshall, S.; Stothard, D.J.M.; Eastaugh, N.; Eastaugh, F. Hyperspectral imaging combined with data classification techniques as an aid for artwork authentication. J. Cult. Herit. 2017, 26, 1–11. [Google Scholar] [CrossRef]
- Ferreira, K.B.; Oliveira, A.G.G.; Gonçalves, A.S.; Gomes, J.A. Evaluation of Hyperspectral Imaging Visible/Near Infrared Spectroscopy as a forensic tool for automotive paint distinction. Forensic Chem. 2017, 5, 46–52. [Google Scholar] [CrossRef]
- Khan, M.J.; Khan, H.S.; Yousaf, A.; Khurshid, K.; Abbas, A. Modern Trends in Hyperspectral Image Analysis: A Review. IEEE Access 2018, 6, 14118–14129. [Google Scholar] [CrossRef]
- Adep, R.N.; shetty, A.; Ramesh, H. EXhype: A tool for mineral classification using hyperspectral data. ISPRS J. Photogramm. Remote Sens. 2017, 124, 106–118. [Google Scholar] [CrossRef]
- Schneider, S.; Melkumyan, A.; Murphy, R.J.; Nettleton, E. Gaussian processes with OAD covariance function for hyperspectral data classification. In Proceedings of the 2010 22nd IEEE International Conference on Tools with Artificial Intelligence, Arras, France, 27–29 October 2010; pp. 393–400. [Google Scholar]
- Pal, M.; Rasmussen, T.; Porwal, A. Optimized Lithological Mapping from Multispectral and Hyperspectral Remote Sensing Images Using Fused Multi-Classifiers. Remote Sens. 2020, 12, 177. [Google Scholar] [CrossRef]
- Maity, A. Supervised Classification of RADARSAT-2 Polarimetric Data for Different Land Features. arXiv 2016, arXiv:1608.00501. [Google Scholar]
- Bolin, B.J.; Moon, T.S. Sulfide detection in drill core from the Stillwater Complex using visible/near-infrared imaging spectroscopy. Geophysics 2003, 68, 1561–1568. [Google Scholar] [CrossRef]
- Scafutto, R.D.P.M.; Souza Filho, C.R.d.; Rivard, B. Characterization of mineral substrates impregnated with crude oils using proximal infrared hyperspectral imaging. Remote Sens. Environ. 2016, 179, 116–130. [Google Scholar] [CrossRef]
- Lancelot, E.; Bertrand, D.; Hanafi, M.; Jaillais, B. Near-infrared hyperspectral imaging for following imbibition of single wheat kernel sections. Vib. Spectrosc. 2017, 92, 46–53. [Google Scholar] [CrossRef]
- Mäkelä, M.; Volpe, M.; Volpe, R.; Fiori, L.; Dahl, O. Spatially resolved spectral determination of polysaccharides in hydrothermally carbonized biomass. Green Chem. 2018, 20, 1114–1120. [Google Scholar] [CrossRef]
- Dalm, M.; Buxton, M.W.N.; van Ruitenbeek, F.J.A. Discriminating ore and waste in a porphyry copper deposit using short-wavelength infrared (SWIR) hyperspectral imagery. Miner. Eng. 2017, 105, 10–18. [Google Scholar] [CrossRef]
- Buddenbaum, H.; Steffens, M. The Effects of Spectral Pretreatments on Chemometric Analyses of Soil Profiles Using Laboratory Imaging Spectroscopy. Appl. Environ. Soil Sci. 2012, 2012, 1–12. [Google Scholar] [CrossRef]
- Speta, M.; Rivard, B.; Feng, J.; Lipsett, M.; Gingras, M. Hyperspectral imaging for the determination of bitumen content in Athabasca oil sands core samples. AAPG Bull. 2015, 99, 1245–1259. [Google Scholar] [CrossRef]
- Demirmen, F. Counting error in petrographic point-count analysis: A theoretical and experimental study. J. Int. Assoc. Math. Geol. 1971, 3, 15–41. [Google Scholar] [CrossRef]
- Zhang, X.; Liu, B.; Wang, J.; Zhang, Z.; Shi, K.; Wu, S. Adobe photoshop quantification (PSQ) rather than point-counting: A rapid and precise method for quantifying rock textural data and porosities. Comput. Geosci. 2014, 69, 62–71. [Google Scholar] [CrossRef]
- Contreras Acosta, I.; Khodadadzadeh, M.; Tusa, L.; Ghamisi, P.; Gloaguen, R. A Machine Learning Framework for Drill-Core Mineral Mapping Using Hyperspectral and High-Resolution Mineralogical Data Fusion. IEEE J. Sel. Top. Appl. Earth Obs. Remote Sens. 2019, 1–14. [Google Scholar] [CrossRef]
- Laakso, K.; Middleton, M.; Heinig, T.; Bärs, R.; Lintinen, P. Assessing the ability to combine hyperspectral imaging (HSI) data with Mineral Liberation Analyzer (MLA) data to characterize phosphate rocks. Int. J. Appl. Earth Obs. Geoinf. 2018, 69, 1–12. [Google Scholar] [CrossRef]
- Zaini, N.; Van Der Meer, F.D.; Van Der Werff, H. Effect of Grain Size and Mineral Mixing on Carbonate Absorption Features in the SWIR and TIR Wavelength Regions. Remote. Sens. 2012, 4, 987–1003. [Google Scholar] [CrossRef]
- Krupnik, D.; Khan, S.; Okyay, U.; Hartzell, P.; Zhou, H.-W. Study of Upper Albian rudist buildups in the Edwards Formation using ground-based hyperspectral imaging and terrestrial laser scanning. Sediment. Geol. 2016, 345, 154–167. [Google Scholar] [CrossRef]
- Ahmad, L.; Khan, S.D.; Shah, M.T.; Jehan, N. Gold mineralization in Bubin area, Gilgit-Baltistan, Northern Areas, Pakistan. Arab. J. Geosci. 2018, 11, 18. [Google Scholar] [CrossRef]
- Khan, S.D.; Okyay, U.; Ahmad, L.; Shah, M.T. Characterization of Gold Mineralization in Northern Pakistan Using Imaging Spectroscopy. Photogramm. Eng. Remote. Sens. 2018, 84, 425–434. [Google Scholar] [CrossRef]
- Clark, R.N.; Swayze, G.A.; Wise, R.; Livo, E.; Hoefen, T.; Koklay, R.F.; Sutley, S.J. USGS Digital Spectral Library Splib06a; United States Geological Survey: Reston, VA, USA, 2007.
- Clark, R.N.; Gallagher, A.J.; Swayze, G.A. Material absorption band depth mapping of imaging spectrometer data using a complete band shape least-squares fit with library reference spectra. In Proceedings of the Second Airborne Visible/Infrared Imaging Spectrometer (AVIRIS); Jet Propulsion Laboratory, California Institute of Technology: Pasadena, CA, USA, 1990; pp. 176–186. [Google Scholar]
- Cloutis, E.A.; Hawthorne, F.C.; Mertzman, S.A.; Krenn, K.; Craig, M.A.; Marcino, D.; Methot, M.; Strong, J.; Mustard, J.F.; Blaney, D.L.; et al. Detection and discrimination of sulfate minerals using reflectance spectroscopy. Icarus 2006, 184, 121–157. [Google Scholar] [CrossRef]
- Mustard, J.F. Chemical analysis of actinolite from reflectance spectra. Am. Mineral. 1992, 77, 345–358. [Google Scholar]
- Cloutis, E.A.; Gaffey, M.J.; Moslow, T.F. Spectral reflectance properties of carbon-bearing materials. Icarus 1994, 107, 276–287. [Google Scholar] [CrossRef]
- Baissa, R.; Labbassi, K.; Launeau, P.; Gaudin, A.; Ouajhain, B. Using HySpex SWIR-320m hyperspectral data for the identification and mapping of minerals in hand specimens of carbonate rocks from the Ankloute Formation (Agadir Basin, Western Morocco). J. Afr. Earth Sci. 2011, 61, 1–9. [Google Scholar] [CrossRef]
- Clark, R.N. Spectroscopy of Rocks and Minerals, and Principles of Spectroscopy. In Manual of Remote Sensing; Rencz, A.N., Ed.; John Wiley and Sons Inc.: New York, NY, USA, 1999; pp. 3–58. [Google Scholar]
- Van der Meer, F. Spectral Reflectance of Carbonate Mineral Mixtures and Bidirectional Reflectance Theory: Quantitative Analysis techniques for Application in Remote Sensing. Remote Sens. Rev. 1995, 13, 67–94. [Google Scholar] [CrossRef]
- Crowley, J.K. Visible and near-infrared spectra of carbonate rocks: Reflectance variations related to petrographic texture and impurities. J. Geophys. Res. 1986, 91, 5001. [Google Scholar] [CrossRef]
- Zaini, N.; van der Meer, F.; van der Werff, H. Determination of Carbonate Rock Chemistry Using Laboratory-Based Hyperspectral Imagery. Remote Sens. 2014, 6, 4149–4172. [Google Scholar] [CrossRef]
- Hunt, G.R. Spectroscopic properties of rocks and minerals. In Handbook of Physical Properties of Rocks; CRC Press: Boca Raton, FL, USA, 1982; pp. 295–386. [Google Scholar]
- Gallie, E.A.; McArdle, S.; Rivard, B.; Francis, H. Estimating sulphide ore grade in broken rock using visible/infrared hyperspectral reflectance spectra. Int. J. Remote Sens. 2002, 23, 2229–2246. [Google Scholar] [CrossRef]
- Hunt, G.R. Visible and near-infrared spectra of minerals and rocks: IV. Sulphides and sulphates. Mod. Geol. 1971, 3, 1–14. [Google Scholar]
- Van der Werff, H. IDL DISPEC 3.6; ITC: Enschede, The Netherlands, 2007. [Google Scholar]
- Smith, G.M.; Milton, E.J. The use of the empirical line method to calibrate remotely sensed data to reflectance. Int. J. Remote Sens. 1999, 20, 2653–2662. [Google Scholar] [CrossRef]
- Harris Geospatial. Bad Data Mitigation Tools. Available online: https://www.harrisgeospatial.com/docs/THORBadDataTools.html (accessed on 9 May 2020).
- Bromba, M.U.A.; Ziegler, H. Application hints for Savitzky-Golay digital smoothing filters. Anal. Chem. 1981, 53, 1583–1586. [Google Scholar] [CrossRef]
- Savitzky, A.; Golay, M.J.E. Smoothing and Differentiation of Data by Simplified Least Squares Procedures. Anal. Chem. 1964, 36, 1627–1639. [Google Scholar] [CrossRef]
- Crowley, J.K.; Brickey, D.W.; Rowan, L.C. Airborne imaging spectrometer data of the Ruby Mountains, Montana: Mineral discrimination using relative absorption band-depth images. Remote Sens. Environ. 1989, 29, 121–134. [Google Scholar] [CrossRef]
- Sun, L.; Khan, S.; Godet, A. Integrated ground-based hyperspectral imaging and geochemical study of the Eagle Ford Group in West Texas. Sediment. Geol. 2018, 363, 34–47. [Google Scholar] [CrossRef]
- Van der Meer, F. Sequential indicator conditional simulation and indicator kriging applied to discrimination of dolomitization in GER 63-channel imaging spectrometer data. Nonrenewable Resour. 1994, 3, 146–164. [Google Scholar]
- Bakker, W.H. HypPy User Manual: Graphical User-Interface (GUI); ITC: Enschede, The Netherlands, 2012. [Google Scholar]
- Kruse, F.A.; Lefkoff, A.B.; Boardman, J.W.; Heidebrecht, K.B.; Shapiro, A.T.; Barloon, P.J.; Goetz, A.F.H. The spectral image processing system (SIPS)—Interactive visualization and analysis of imaging spectrometer data. Remote Sens. Environ. 1993, 44, 145–163. [Google Scholar] [CrossRef]
- Richards, J.A.; Jia, X. Remote Sensing Digital Image Analysis; Springer: Berlin/Heidelberg, Germany, 1999; Volume 3. [Google Scholar]
- Wu, T.-F.; Lin, C.-J.; Weng, R.C. Probability Estimates for Multi-class Classification by Pairwise Coupling. J. Mach. Learn. Res. 2004, 5, 975–1005. [Google Scholar]
- Vapnik, V. The Nature of Statistical Learning Theory; Springer Science & Business Media: New York, NY, USA, 2013. [Google Scholar]
- Monteiro, S.T.; Murphy, R.J. Calibrating probabilities for hyperspectral classification of rock types. In Proceedings of the 2010 IEEE International Geoscience and Remote Sensing Symposium (IGARSS), Honolulu, HI, USA, 25–30 July 2010; pp. 2800–2803. [Google Scholar]
- Murphy, R.J.; Monteiro, S.T.; Schneider, S. Evaluating Classification Techniques for Mapping Vertical Geology Using Field-Based Hyperspectral Sensors. IEEE Trans. Geosci. Remote Sens. 2012, 50, 3066–3080. [Google Scholar] [CrossRef]
- Chopard, A.; Marion, P.; Royer, J.-J.; Taza, R.; Bouzahzah, H.; Benzaazoua, M. Automated sulfides quantification by multispectral optical microscopy. Miner. Eng. 2019, 131, 38–50. [Google Scholar] [CrossRef]
- Harris Geospatial Solutions. Neural Net. Available online: https://www.harrisgeospatial.com/docs/NeuralNet.html (accessed on 25 October 2019).
- Lewis, H.G.; Brown, M. A generalized confusion matrix for assessing area estimates from remotely sensed data. Int. J. Remote Sens. 2010, 22, 3223–3235. [Google Scholar] [CrossRef]
- Melgani, F.; Bruzzone, L. Classification of hyperspectral remote sensing images with support vector machines. IEEE Trans. Geosci. Remote Sens. 2004, 42, 1778–1790. [Google Scholar] [CrossRef]
- Gasmi, A.; Zouari, H.; Masse, A.; Ducrot, D. Potential of the Support Vector Machine (SVMs) for clay and calcium carbonate content classification from hyperspectral remote sensing. Int. J. Innov. Appl. Stud. 2015, 13, 497–506. [Google Scholar]
- Sebtosheikh, M.A.; Motafakkerfard, R.; Riahi, M.A.; Moradi, S. Separating Well Log Data to Train Support Vector Machines for Lithology Prediction in a Heterogeneous Carbonate Reservoir. Iran. J. Oil Gas. Sci. Technol. 2015, 4, 1–14. [Google Scholar]
- Van Ruitenbeek, F.J.A.; van der Werff, H.M.A.; Bakker, W.H.; van der Meer, F.D.; Hein, K.A.A. Measuring rock microstructure in hyperspectral mineral maps. Remote Sens. Environ. 2019, 220, 94–109. [Google Scholar] [CrossRef]
- Tusa, L.; Andreani, L.; Khodadadzadeh, M.; Contreras, C.; Ivascanu, P.; Gloaguen, R.; Gutzmer, J. Mineral Mapping and Vein Detection in Hyperspectral Drill-Core Scans: Application to Porphyry-Type Mineralization. Minerals 2019, 9, 122. [Google Scholar] [CrossRef]
- Neilson, M.J.; Brockman, G.F. The error associated with point-counting. Am. Mineral. 1977, 62, 1238–1244. [Google Scholar]
- Rammlmair, D.; Meima, J. Quantitative mineralogy of chromite ore based on imaging Laser Induced Breakdown Spectroscopy and Spectral Angle Mapper Classification Algorithm. In Proceedings of the EGU General Assembly, Vienna, Austria, 4–8 May 2020. [Google Scholar]
- Dumke, I.; Nornes, S.M.; Purser, A.; Marcon, Y.; Ludvigsen, M.; Ellefmo, S.L.; Johnsen, G.; Søreide, F. First hyperspectral imaging survey of the deep seafloor: High-resolution mapping of manganese nodules. Remote Sens. Environ. 2018, 209, 19–30. [Google Scholar] [CrossRef]
- Sture, Ø.; Ludvigsen, M.; Aas, L.M.S. Autonomous underwater vehicles as a platform for underwater hyperspectral imaging. In Proceedings of the OCEANS 2017, Aberdeen, UK, 19–22 June 2017; pp. 1–8. [Google Scholar]
- Ayling, B.; Rose, P.; Petty, S.; Zemach, E.; Drakos, P. QEMSCAN (Quantitative evaluation of minerals by scanning electron microscopy): Capability and application to fracture characterization in geothermal systems. In Proceedings of the 37th Workshop on Geothermal Reservoir Engineering 2012, Stanford, CA, USA, 30 January–1 February 2012. [Google Scholar]











| Sample Number | % Calcite | % Dolomite | % Chert | Mean Min Wavelength (nm) | Mean Depth (%) |
|---|---|---|---|---|---|
| 1 | 100 | 0 | 0 | 2337 | 21.14 |
| 2 | 0 | 100 | 0 | 2309 | 10.24 |
| 3 | 0 | 0 | 100 | 2284 | 4.95 |
| 4 | 0 | 25 | 75 | 2286 | 5.95 |
| 5 | 0 | 50 | 50 | 2289 | 6.33 |
| 6 | 0 | 75 | 25 | 2299 | 7.63 |
| 7 | 25 | 75 | 0 | 2313 | 11.25 |
| 8 | 50 | 50 | 0 | 2321 | 12.99 |
| 9 | 75 | 25 | 0 | 2332 | 15.09 |
| 10 | 25 | 0 | 75 | 2286 | 5.69 |
| 11 | 50 | 0 | 50 | 2335 | 3.07 |
| 12 | 25 | 0 | 75 | 2286 | 1.91 |
| 13 | 15 | 15 | 70 | 2287 | 2.13 |
| 14 | 15 | 35 | 50 | 2311 | 3.43 |
| 15 | 25 | 25 | 50 | 2317 | 2.98 |
| 16 | 35 | 15 | 50 | 2327 | 3 |
| 17 | 33 | 33 | 33 | 2323 | 4.26 |
| 18 | 25 | 50 | 25 | 2319 | 5.22 |
| 19 | 50 | 25 | 25 | 2328 | 5.14 |
| 20 | 15 | 70 | 15 | 2316 | 5.98 |
| 21 | 70 | 15 | 15 | 2334 | 8.71 |
| Mineral/Group | QEMSCAN | SAM | SVM | Neural Net | Mineral/Group | QEMSCAN | SAM | SVM | Neural Net | ||
| % | % | % | % | % | % | % | % | ||||
| AR-1F | Chalcopyrite | 49.69 | 43.29 (−6.4) | 32.5 (−17.2) | 45.6 (−4.1) | AR-13 | Galena | 41.68 | 40 (−1.7) | 36.3 (−5.4) | 45.3 (3.6) |
| Cu-Limonite | 34.58 | 41.4 (6.8) | 35.3 (0.8) | 26.4 (−8.2) | Partially Oxidized Galena | 31.5 | 17.65 (−13.8) | 20.4 (−11.2) | 21.5 (−10) | ||
| Malachite/Azurite | 3.19 | 7.14 (3.95) | 5.86 (2.7) | 5.2 (2.03) | Limonite | 17.9 | 17.24 (−0.6) | 6.7 (−11.1) | 25.4 (7.52) | ||
| Quartz | 4.4 | 2.11 (−2.3) | 4.4 (0) | 3.2 (−1.3) | Iron Oxide/Hydroxide | 8.2 | 11.23 (3.06) | 34.6 (26.4) | 6.3 (−1.9) | ||
| Iron Oxide/Hydroxide | 3.5 | 3.7 (0.19) | 16.9 (13.4) | 11.4 (8) | Malachite/Azurite | 0.8 | 4.63 (3.84) | 0.70 (−0.09) | 0.5 (−0.3) | ||
| Bornite | 2 | − | − | − | Muscovite | − | 9.19 | 1.26 | 1.1 | ||
| Chalcocite/Diginite | 1.1 | − | − | − | Chlorite | − | 0.1 | 0.1 | 0 | ||
| Muscovite | 0.6 | 0.7 (0.2) | 2.8 (2.3) | 2.1 (1.6) | |||||||
| Chlorite | 1 | 1.72 (0.8) | 2.3 (1.3) | 6.1 (5.1) | |||||||
| Mineral/Group | QEMSCAN | SAM | SVM | Neural Net | Mineral/Group | QEMSCAN | SAM | SVM | Neural Net | ||
| % | % | % | % | % | % | % | % | ||||
| AR-8 | Quartz | 84.1 | 60.6 (−23.5) | 66.7 (−17.4) | 66.5 (−17.6) | AR-10 | Quartz | 93.5 | 80.7 (−12.8) | 71.6 (−21.9) | 76.3 (−17.2) |
| Oxidized Galena | 6.5 | 8.7 (2.2) | 6.6 (0.1) | 5.4 (−1.1) | Partially Oxidized Galena | 4.4 | 5.2 (0.8) | 13.2 (8.8) | 10.2 (5.8) | ||
| Galena | 8 | 13.2 (5.2) | 21 (13) | 24.8 (16.8) | Galena | 1.6 | 14.1 (12.5) | 15.3 (13.7) | 13.6 (12) | ||
| Iron Oxide/Hydroxide | 0.6 | 5.6 (4.97) | 5.7 (5.1) | 3.3 (2.7) | Chalcopyrite | 0.3 | − | − | − | ||
| Limonite | 0.2 | 11.9 (11.7) | − | − | Chlorite | 0.2 | − | − | − | ||
| Chlorite | 0.5 | 0 (0) | − | − | |||||||
| Sample Number | SAM | SVM | NN |
|---|---|---|---|
| AR-1F | 0.46 | 1.50 | 1.65 |
| AR-13 | 1.15 | 0.89 | 0.30 |
| AR-8 | 2.35 | 2.55 | 1.71 |
| AR-10 | 2.69 | 3.58 | 2.97 |
Publisher’s Note: MDPI stays neutral with regard to jurisdictional claims in published maps and institutional affiliations. |
© 2020 by the authors. Licensee MDPI, Basel, Switzerland. This article is an open access article distributed under the terms and conditions of the Creative Commons Attribution (CC BY) license (http://creativecommons.org/licenses/by/4.0/).
Share and Cite
Krupnik, D.; Khan, S.D. High-Resolution Hyperspectral Mineral Mapping: Case Studies in the Edwards Limestone, Texas, USA and Sulfide-Rich Quartz Veins from the Ladakh Batholith, Northern Pakistan. Minerals 2020, 10, 967. https://doi.org/10.3390/min10110967
Krupnik D, Khan SD. High-Resolution Hyperspectral Mineral Mapping: Case Studies in the Edwards Limestone, Texas, USA and Sulfide-Rich Quartz Veins from the Ladakh Batholith, Northern Pakistan. Minerals. 2020; 10(11):967. https://doi.org/10.3390/min10110967
Chicago/Turabian StyleKrupnik, Diana, and Shuhab D. Khan. 2020. "High-Resolution Hyperspectral Mineral Mapping: Case Studies in the Edwards Limestone, Texas, USA and Sulfide-Rich Quartz Veins from the Ladakh Batholith, Northern Pakistan" Minerals 10, no. 11: 967. https://doi.org/10.3390/min10110967
APA StyleKrupnik, D., & Khan, S. D. (2020). High-Resolution Hyperspectral Mineral Mapping: Case Studies in the Edwards Limestone, Texas, USA and Sulfide-Rich Quartz Veins from the Ladakh Batholith, Northern Pakistan. Minerals, 10(11), 967. https://doi.org/10.3390/min10110967

