Emulating Snake Locomotion: A Bioinspired Continuum Robot with Decoupled Symmetric Control
Abstract
1. Introduction
2. Continuum Robot Design
2.1. Bioinspired Design Principles
2.2. Structural Design of Multi-Segment Cable-Driven Continuum Robots
3. Kinematic Modeling of the Continuum Robot
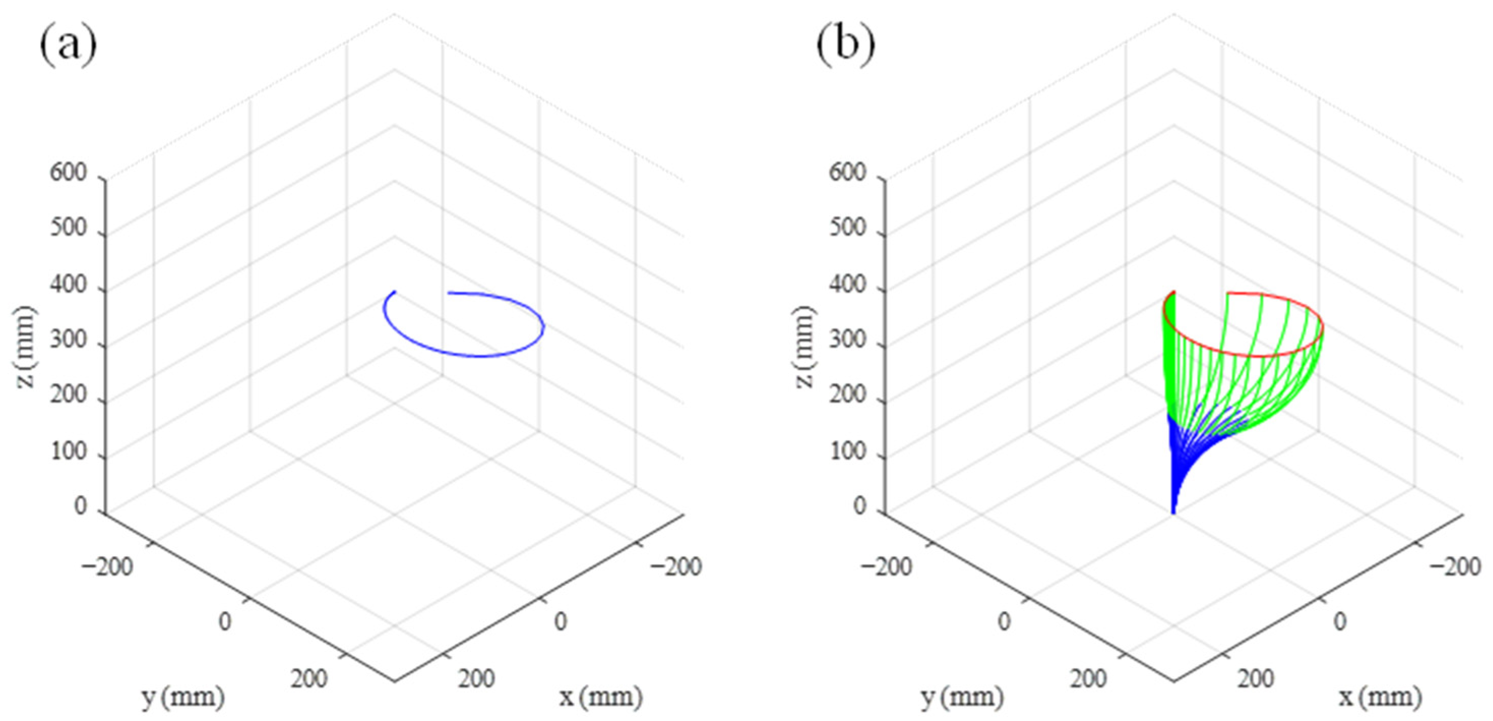
3.1. Kinematic Modeling of a Single-Segment Continuum Arm
- (a)
- The continuum arm has a uniform and symmetrical geometry;
- (b)
- External loading effects are negligible;
- (c)
- The arm’s trunk maintains a constant length during bending, and both its curvature and that of the driving cables are smooth curves with equal curvature;
- (d)
- Torsional effects along the longitudinal axis of the arm are negligible.
- (a)
- Translate the origin O0 to O1, which represents the positional transformation of the end relative to the base coordinate system;
- (b)
- Rotate counter-clockwise about the Z-axis by an angle φ;
- (c)
- Rotate counter-clockwise about the Y-axis by θ;
- (d)
- Rotate −φ around the Z-axis to ensure that the bending cross-section is not affected by torsional effects. The three rotational transformations are attitude transformations of the end concerning the base coordinate system.
3.2. Kinematic Modeling of a Multi-Segment Continuum Robot
3.3. Workspace Analysis
3.4. Continuum Inverse Kinematics Simulation Example and Analysis
3.5. Master-Slave Teleoperation Control Study
4. Continuum Arm Motion Experiment
4.1. Continuous Body Mechanical Arm Bending Performance Experiment
4.2. Experiments on the Rotational Performance of a Continuum Robot Arm
4.3. Continuum Robot Arm End Positioning Experiment
4.4. Continuum Robotic Arm Simulation Probe Experiments
5. Discussion
6. Conclusions
Author Contributions
Funding
Data Availability Statement
Conflicts of Interest
References
- Moran, M.E. Evolution of robotic arms. J. Robot. Surg. 2007, 1, 103–111. [Google Scholar] [CrossRef] [PubMed]
- Seleem, I.A.; El-Hussieny, H.; Ishii, H. Recent developments of actuation mechanisms for continuum robots: A review. Int. J. Control. Autom. Syst. 2023, 21, 1592–1609. [Google Scholar] [CrossRef]
- Chang, J.C.; Dai, H.; Wang, X.; Axinte, D.; Dong, X. Development of a continuum robot with inflatable stiffness-adjustable elements for in-situ repair of aeroengines. Robot. Comput.-Integr. Manuf. 2025, 95, 103018. [Google Scholar] [CrossRef]
- Tingle, J.L.; Garner, K.L.; Astley, H.C. Functional diversity of snake locomotor behaviors: A review of the biological literature for bioinspiration. Ann. N. Y. Acad. Sci. 2024, 1533, 16–37. [Google Scholar] [CrossRef] [PubMed]
- Liu, J.; Tong, Y.; Liu, J. Review of snake robots in constrained environments. Robot. Auton. Syst. 2021, 141, 103785. [Google Scholar] [CrossRef]
- Astley, H.C. The biomechanics of multi-articular muscle–tendon systems in snakes. Integr. Comp. Biol. 2020, 60, 140–155. [Google Scholar] [CrossRef] [PubMed]
- Fu, X.; Withers, J.; Miyamae, J.A.; Moore, T.Y. ArborSim: Articulated, branching, OpenSim routing for constructing models of multi-jointed appendages with complex muscle-tendon architecture. PLoS Comput. Biol. 2024, 20, e1012243. [Google Scholar] [CrossRef]
- Kalekeyeva, M.; Konakbay, Z.; Imanbekova, M.; Shakbutova, A.; Garmash, O.; Muratbekova, G.; Mambetalin, D. Continuum Robots: Current Trends in Design, Control, and Applications. IEEE Access 2025, 13, 106771–106792. [Google Scholar] [CrossRef]
- Bai, H.; Lee, B.G.; Yang, G.; Shen, W.; Qian, S.; Zhang, H.; Zhou, J.; Fang, Z.; Zheng, T.; Yang, S.; et al. Unlocking the potential of cable-driven continuum robots: A comprehensive review and future directions. Actuators 2024, 13, 52. [Google Scholar] [CrossRef]
- Hopkins, J.K.; Spranklin, B.W.; Gupta, S.K. A survey of snake-inspired robot designs. Bioinspir. Biomim. 2009, 4, 021001. [Google Scholar] [CrossRef]
- Tur, J.M.M.; Garthwaite, W. Robotic devices for water main in-pipe inspection: A survey. J. Field Robot. 2010, 27, 491–508. [Google Scholar]
- Casper, J.; Murphy, R. Human-robot interactions during the robot-assisted urban search and rescue response at the World Trade Center. IEEE Trans. Syst. Man Cybern. 2003, 33, 367–385. [Google Scholar] [CrossRef] [PubMed]
- Tsukagoshi, H.; Kitagawa, A.; Segawa, M. Active hose: An artificial elephant’s nose with maneuverability for rescue operation. In Proceedings of the International Conference on Robotics and Automation, Seoul, Republic of Korea, 21–26 May 2001; Volume 3, pp. 2454–2459. [Google Scholar]
- Wolf, A.; Brown, H.; Casciola, R.; Costa, A.; Schwerin, M.; Shamas, E.; Choset, H. A mobile hyper redundant mechanism for search and rescue tasks. In Proceedings of the IEEE/RSJ International Conference on Intelligent Robots and Systems, Taipei, Taiwan, 18–22 October 2010; Volume 3, pp. 2889–2895. [Google Scholar]
- Buckingham, R.; Chitrakaran, V.; Conkie, R.; Ferguson, G.; Graham, A.; Lazell, A.; Lichon, M.; Parry, N.; Pollard, F. Snake-Arm Robots: A New Approach to Aircraft Assembly; SAE Technical Paper Series, 1; SAE International: Warrendale, PA, USA, 2007; p. 724. [Google Scholar]
- Wang, M.; Palmer, D.; Dong, X.; Alatorre, D.; Axinte, D.; Norton, A. Design and development of a slender dual-structure continuum robot for in-situ aeroengine repair. In Proceedings of the IEEE/RSJ International Conference on Intelligent Robots and Systems, Madrid, Spain, 1–5 October 2018; pp. 5648–5653. [Google Scholar]
- Buckingham, R.; Graham, A. Nuclear snake-arm robots. Ind. Robot Int. J. 2012, 39, 6–11. [Google Scholar] [CrossRef]
- Axinte, D.; Dong, X.; Palmer, D.; Rushworth, A.; Guzman, S.C.; Olarra, A.; Arizaga, I.; Gomez-Acedo, E.; Txoperena, K.; Pfeiffer, K.; et al. MiRoR-Miniaturised robotic systems for holistic in-situ repair and maintenance works in restrained and hazardous environments. IEEE/ASME Trans. Mechatron. 2018, 23, 978–981. [Google Scholar] [CrossRef]
- Burgner-Kahrs, J.; Rucker, D.C.; Choset, H. Continuum robots for medical applications: A survey. IEEE Trans. Robot. 2015, 31, 1261–1280. [Google Scholar] [CrossRef]
- Burgner, J.; Swaney, P.J.; Lathrop, R.A.; Weaver, K.D.; Webster, R.J. Debulking from within: A robotic steerable cannula for intracerebral hemorrhage evacuation. IEEE Trans. Biomed. Eng. 2013, 60, 2567–2575. [Google Scholar] [CrossRef]
- Camarillo, D.B.; Milne, C.F.; Carlson, C.R.; Zinn, M.R.; Salisbury, J.K. Mechanics Modeling of Tendon-Driven Continuum Manipulators. IEEE Trans Robot. 2008, 24, 1262–1273. [Google Scholar] [CrossRef]
- Can, S.; Staub, C.; Knoll, A.; Fiolka, A.; Schneider, A.; Feussner, H. Design, development and evaluation of a highly versatile robot platform for minimally invasive single-port surgery. In Proceedings of the IEEE Ras & Embs International Conference on Biomedical Robotics & Biomechatronics, Rome, Italy, 24–27 June 2012; IEEE: Piscataway, NJ, USA, 2012. [Google Scholar]
- Xu, K.; Zhao, J.; Fu, M. Development of the SJTU Unfoldable Robotic System (SURS) for Single Port Laparoscopy. IEEE/ASME Trans. Mechatron. 2015, 20, 2133–2145. [Google Scholar] [CrossRef]
- Rosen, J.; Sekhar, L.N.; Glozman, D.; Miyasaka, M.; Dosher, J.; Dellon, B.; Moe, K.S.; Kim, A.; Kim, L.J.; Lendvay, T.; et al. Roboscope: A flexible and bendable surgical robot for single portal Minimally Invasive Surgery. In Proceedings of the 2017 IEEE International Conference on Robotics and Automation (ICRA), Singapore, 29 May–3 June 2017; IEEE: Piscataway, NJ, USA, 2017. [Google Scholar]
- Liu, T.; Mu, Z.; Xu, W.; Yang, T.; You, K.; Fu, H.; Li, Y. Improved mechanical design and simplified motion planning of hybrid active and passive cable-driven segmented manipulator with coupled motion. In Proceedings of the 2019 IEEE/RSJ International Conference on Intelligent Robots and Systems (IROS), Macau, China, 3–8 November 2019; pp. 5978–5983. [Google Scholar]
- Qi, F.; Ju, F.; Bai, D.; Wang, Y.; Chen, B. Kinematic analysis and navigation method of a cable-driven continuum robot used for minimally invasive surgery. Int. J. Med. Robot. Comput. Assist. Surg. 2019, 15, e2007. [Google Scholar] [CrossRef]
- Nguyen, T.-D.; Burgner-Kahrs, J. A tendon-driven continuum robot with extensible sections. In Proceedings of the 2015 IEEE/RSJ International Conference on Intelligent Robots and Systems (IROS), Hamburg, Germany, 28 September–2 October 2015; pp. 2130–2135. [Google Scholar]
- Geng, S.; Wang, Y.; Wang, C.; Kang, R. A space tendon-driven continuum robot. In Advances in Swarm Intelligence; Tan, Y., Shi, Y., Tang, Q., Eds.; ICSI 2018, Lecture Notes in Computer Science; Springer: Cham, Switzerland, 2018; pp. 25–35. [Google Scholar]
- Liu, J.; Zhang, C.; Liu, Z.; Zhao, R.; An, D.; Wei, Y.; Wu, Z.; Yu, J. Design and analysis of a novel tendon-driven continuum robotic dolphin. Bioinspir. Biomim. 2021, 16, 065002. [Google Scholar] [CrossRef]
- Fang, Y.; Dong, X.; Mohammad, A.; Axinte, D. Design and control of a multiple-section continuum robot with a hybrid sensing system. IEEE/ASME Trans. Mechatron. 2023, 28, 1522–1533. [Google Scholar] [CrossRef]
- Galeta, E.V.; Ahmed, S.; Parque, V.; El-Hussieny, H. Design and characterization of an e-textile sensor for shape sensing of soft continuum robots. In Proceedings of the 2023 62nd Annual Conference of the Society of Instrument and Control Engineers (SICE), Tsu, Japan, 6–9 September 2023; IEEE: Piscataway, NJ, USA, 2023; pp. 1110–1115. [Google Scholar]
- Kargin, T.C.; Kołota, J. A reinforcement learning approach for continuum robot control. J. Intell. Robot. Syst. 2023, 109, 77. [Google Scholar] [CrossRef]
- Li, M.; Kang, R.; Geng, S.; Guglielmino, E. Design and control of a tendon-driven continuum robot. Trans. Inst. Meas. Control 2018, 40, 3263–3272. [Google Scholar] [CrossRef]
- Webster, R.J., III; Jones, B.A. Design and kinematic modeling of constant curvature continuum robots: A review. Int. J. Robot. Res. 2010, 29, 1661–1683. [Google Scholar] [CrossRef]
- McMahan, W.; Jones, B.A.; Walker, I.D. Design and implementation of a multi-section continuum robot: Air-octor. In Proceedings of the 2005 IEEE/RSJ International Conference on Intelligent Robots and Systems, Edmonton, AB, Canada, 2–6 August 2005; pp. 2578–2585. [Google Scholar]
- Jones, B.; Walker, I. Kinematics for multisection continuum robots. IEEE Trans. Robot. 2006, 22, 43–55. [Google Scholar] [CrossRef]
- Falkenhahn, V.; Mahl, T.; Hildebrandt, A.; Neumann, R.; Sawodny, O. Dynamic modeling of constant curvature continuum robots using the Euler-Lagrange formalism. In Proceedings of the 2014 IEEE/RSJ International Conference on Intelligent Robots and Systems, Chicago, IL, USA, 14–18 September 2014; pp. 2428–2433. [Google Scholar]
- Thuruthel, T.G.; Ansari, Y.; Falotico, E.; Laschi, C. Control Strategies for Soft Robotic Manipulators: A Survey. Soft Robot. 2018, 5, 149–163. [Google Scholar] [CrossRef]
- Wu, Z.; Li, Q.; Zhao, J.; Gao, J.; Xu, K. Design of a Modular Continuum-Articulated Laparoscopic Robotic Tool with Decoupled Kinematics. IEEE Robot. Autom. Lett. 2019, 4, 3545–3552. [Google Scholar] [CrossRef]
- Amouri, A.; Zaatri, A.; Mahfoudi, C. Dynamic Modeling of a Class of Continuum Manipulators in Fixed Orientation. J. Intell. Robot. Syst. Theory Appl. 2018, 91, 413–424. [Google Scholar] [CrossRef]



















| Direction | Touch Stylus End Movement Range/m | Range of Motion at the End of the Continuum Arm/m |
| X | −0.2666 to 0.1670 | −0.27778 to 0.27778 |
| Y | −0.2055 to 0.2536 | −0.27778 to 0.27778 |
| Z | −0.4351 to 0 | 0.20182 to 0.7 |
| 2 (rad/m) | 1.3 (rad/m) | 1.3 |
Disclaimer/Publisher’s Note: The statements, opinions and data contained in all publications are solely those of the individual author(s) and contributor(s) and not of MDPI and/or the editor(s). MDPI and/or the editor(s) disclaim responsibility for any injury to people or property resulting from any ideas, methods, instructions or products referred to in the content. |
© 2025 by the authors. Licensee MDPI, Basel, Switzerland. This article is an open access article distributed under the terms and conditions of the Creative Commons Attribution (CC BY) license (https://creativecommons.org/licenses/by/4.0/).
Share and Cite
Li, L.; Lyu, J.; Xu, Y.; Sun, K.; Tu, S.; Ji, A.; Shen, H.; Bai, X. Emulating Snake Locomotion: A Bioinspired Continuum Robot with Decoupled Symmetric Control. Symmetry 2025, 17, 1450. https://doi.org/10.3390/sym17091450
Li L, Lyu J, Xu Y, Sun K, Tu S, Ji A, Shen H, Bai X. Emulating Snake Locomotion: A Bioinspired Continuum Robot with Decoupled Symmetric Control. Symmetry. 2025; 17(9):1450. https://doi.org/10.3390/sym17091450
Chicago/Turabian StyleLi, Lin, Junqi Lyu, Youzhi Xu, Ke Sun, Shipeng Tu, Aihong Ji, Huan Shen, and Xiaosong Bai. 2025. "Emulating Snake Locomotion: A Bioinspired Continuum Robot with Decoupled Symmetric Control" Symmetry 17, no. 9: 1450. https://doi.org/10.3390/sym17091450
APA StyleLi, L., Lyu, J., Xu, Y., Sun, K., Tu, S., Ji, A., Shen, H., & Bai, X. (2025). Emulating Snake Locomotion: A Bioinspired Continuum Robot with Decoupled Symmetric Control. Symmetry, 17(9), 1450. https://doi.org/10.3390/sym17091450

