An Improved Grey Wolf Optimizer Based on Attention Mechanism for Solving Engineering Design Problems
Abstract
1. Introduction
- (1)
- A GWO based on attention mechanism (AtGWO) is proposed, where the attention strategy can adaptively assign the weights of the four lead wolves based on the scoring of the individuals and then update the positions.
- (2)
- To better integrate and apply the attention mechanism strategy to GWO, an embedding coding operation based on exponential functions is proposed, and simple pre-processing data are introduced to improve the accuracy of embedding coding.
- (3)
- Each individual’s position is updated by introducing an individual related to itself, denoted as -wolf. This allows individuals to learn from themselves rather than relying solely on the three superior wolves.
- (4)
- A hyperbolic tangent function-based control convergence factor is proposed, which can better balance the exploration and exploitation of the algorithm. This convergence factor function is flexible, i.e., the appropriate hyper-parameters can be chosen for different problems.
- (5)
- AtGWO showed more promising performance in experiments with CEC-2014 and CEC-2017 benchmark test functions. Two algorithmic comparison experiments are designed; the first evaluation experiment compares AtGWO with the standard GWO and four recent GWO variants; and the test cases used are CEC-2014 (dim 50) and CEC-2017 (dim 30, 100). The second comparison experiment compares AtGWO with other popular algorithms, and the test benchmark functions are CEC-2014 (dim 30) and CEC-2017 (dim 50). In addition, experiments are evaluated on six engineering design problems in order to demonstrate the application value.
2. Related Works
3. Proposed Model
3.1. Grey Wolf Group in Nature
3.2. Mathematical Model of GWO
3.2.1. Encircling Behavior
3.2.2. Hunting Behavior
| Algorithm 1: Pseudo-code of GWO |
![]() |
3.3. Introducing Individual Memory
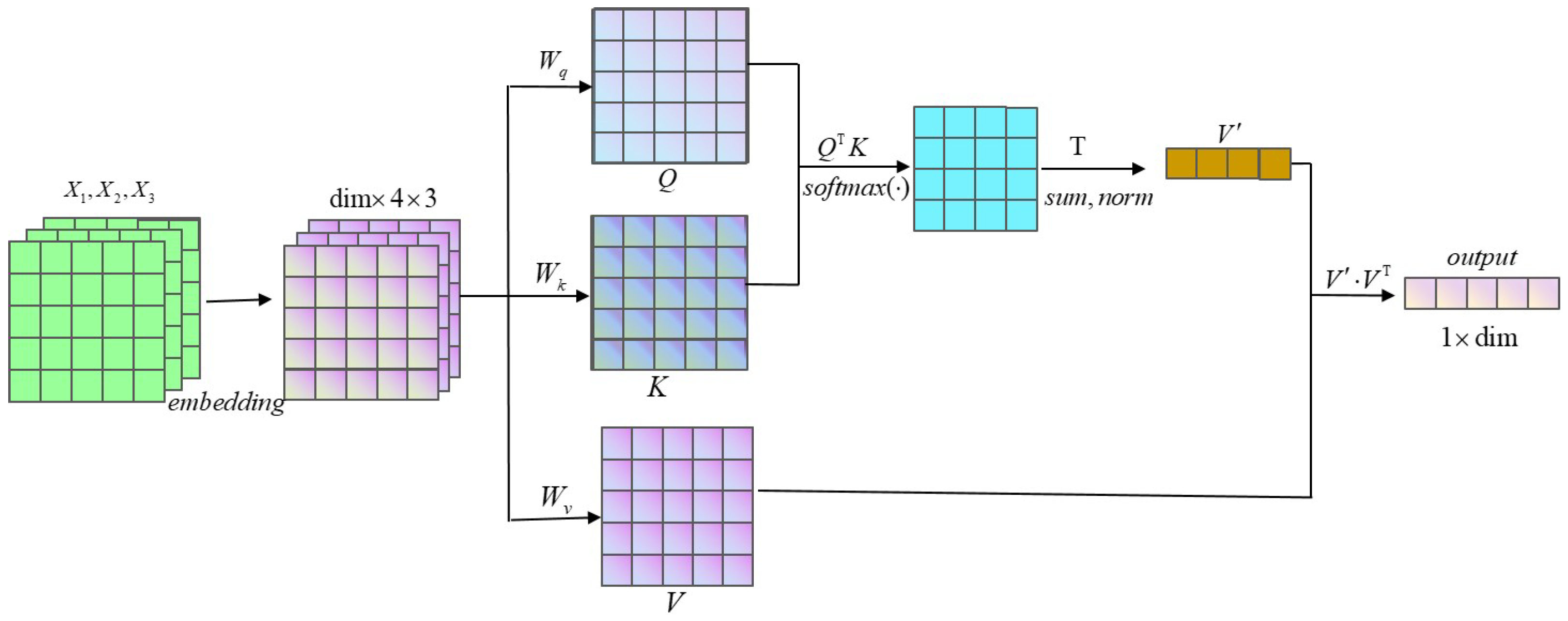
3.4. Attention Mechanism
3.4.1. Embedding Operations
3.4.2. GWO Based on Attention Mechanism
3.5. Nonlinear Control Convergence Factor
| Algorithm 2: Pseudo-code of AtGWO |
![]() |
4. Experimental Procedure
4.1. Test Benchmark Function Sets
- (1)
- The focus of AtGWO is on comparisons with GWO and the four variants of GWO. This series of comparisons allows a good assessment of the various performance results of the algorithms associated with AtGWO and GWO, and thus verifiable validity or modifications to the strategy.
- (2)
- AtGWO is compared with five other algorithms; this set of comparisons can be a good way to further verify whether it is also competitive when comparing it with the other algorithms.
4.2. Parameter Settings and Computer Configuration
5. Results
5.1. Evaluation of Nonlinear Strategies and Parameter Selection
- (1)
- Comparing different types of control convergence factor functions, the hyperbolic tangent function-based algorithm outperforms the other functions in terms of mean value, except for F5 and F23. Comparing the optimal values of 20 runs of the algorithm, the hyperbolic tangent function also outperforms the other three convergence factor control functions, except for F10. In addition to the above, the standard deviation of the algorithm based on the hyperbolic tangent function is also better than that of the algorithm based on other control convergence factor functions. The comparison shows that our proposed hyperbolic tangent nonlinear function to control the convergence factor can better balance the exploration and exploitation of the algorithm, thus approaching the global optimum.
- (2)
- Comparison of hyperbolic tangent functions for different . In the multimodal functions (F5–F8), the minimum values of the algorithms at AtGWO ( = 0.9) are all better than AtGWO1 ( = 0.8), AtGWO3 ( = 1), and AtGWO4 ( = 1.1), and they are generally about the same in terms of the mean and standard deviation comparisons. The performance results of the algorithms AtGWO1 and AtGWO outperform those of AtGWO3 and AtGWO4 for the remaining test functions.
| AtGWO1 | AtGWO | AtGWO3 | AtGWO4 | AtGWO5 | AtGWO6 | AtGWO7 | |
|---|---|---|---|---|---|---|---|
| F5 | |||||||
| Mean | 6.1264 × 102 | 6.2785 × 102 | 6.0876 × 102 | 6.0935 × 102 | 6.5812 × 102 | 6.0924 × 102 | 6.0134 × 102 |
| Std | 4.2243 × 101 | 4.8560 × 101 | 4.7328 × 101 | 4.0525 × 101 | 4.8892 × 101 | 4.2773 × 101 | 1.3514 × 101 |
| Best | 5.6797 × 102 | 5.6077 × 102 | 5.6447 × 102 | 5.6153 × 102 | 6.0285 × 102 | 5.7175 × 102 | 5.7058 × 102 |
| F6 | |||||||
| Mean | 6.0953 × 102 | 6.0701 × 102 | 6.0720 × 102 | 6.0870 × 102 | 6.1347 × 102 | 6.0879 × 102 | 6.1100 × 102 |
| Std | 5.4333 × 100 | 3.7851 × 100 | 3.9162 × 100 | 4.2623 × 100 | 5.1843 × 100 | 5.7528 × 100 | 4.4299 × 100 |
| Best | 6.0024 × 102 | 6.0001 × 102 | 6.0018 × 102 | 6.0026 × 102 | 6.0045 × 102 | 6.0019 × 102 | 6.0039 × 102 |
| F7 | |||||||
| Mean | 8.3040 × 102 | 8.3134 × 102 | 8.3719 × 102 | 8.2754 × 102 | 9.3260 × 102 | 8.3073 × 102 | 8.6260 × 102 |
| Std | 4.8657 × 101 | 7.0816 × 101 | 7.3743 × 101 | 5.2278 × 101 | 3.7419 × 101 | 5.0173 × 101 | 6.3607 × 101 |
| Best | 7.8146 × 102 | 7.6149 × 102 | 7.6489 × 102 | 7.6217 × 102 | 8.6612 × 102 | 7.8873 × 102 | 7.9250 × 102 |
| F8 | |||||||
| Mean | 8.7937 × 102 | 8.9997 × 102 | 8.8808 × 102 | 8.9440 × 102 | 9.3777 × 102 | 8.8487 × 102 | 8.8299 × 102 |
| Std | 1.9178 × 101 | 4.9551 × 101 | 3.4045 × 101 | 4.7932 × 101 | 5.7413 × 101 | 3.2497 × 101 | 1.5888 × 101 |
| Best | 8.5373 × 102 | 8.4553 × 102 | 8.5947 × 102 | 8.4591 × 102 | 8.6186 × 102 | 8.4740 × 102 | 8.4591 × 102 |
| F10 | |||||||
| Mean | 4.3617 × 103 | 4.2709 × 103 | 4.0713 × 103 | 4.5061 × 103 | 4.4484 × 103 | 4.1788 × 103 | 4.1043 × 103 |
| Std | 5.8908 × 102 | 4.6940 × 102 | 5.9640 × 102 | 8.8960 × 102 | 5.7042 × 102 | 5.4708 × 102 | 5.4752 × 102 |
| Best | 3.3953 × 103 | 3.3252 × 103 | 3.2616 × 103 | 3.4802 × 103 | 3.3863 × 103 | 3.1498 × 103 | 3.0697 × 103 |
| F11 | |||||||
| Mean | 1.4408 × 103 | 1.5412 × 103 | 1.4867 × 103 | 1.5004 × 103 | 1.5391 × 103 | 1.5256 × 103 | 1.6349 × 103 |
| Std | 1.1011 × 102 | 1.5989 × 102 | 1.1247 × 102 | 2.0683 × 102 | 1.4608 × 102 | 1.7121 × 102 | 3.4091 × 102 |
| Best | 1.2006 × 103 | 1.3466 × 103 | 1.3235 × 103 | 1.2836 × 103 | 1.3677 × 103 | 1.2853 × 103 | 1.3347 × 103 |
| F16 | |||||||
| Mean | 2.5500 × 103 | 2.6221 × 103 | 2.6625 × 103 | 2.6125 × 103 | 2.6021 × 103 | 2.6332 × 103 | 2.7306 × 103 |
| Std | 2.0404 × 102 | 1.7545 × 102 | 3.1215 × 102 | 2.0928 × 102 | 2.7120 × 102 | 3.0016 × 102 | 2.5756 × 102 |
| Best | 2.2853 × 103 | 2.0992 × 103 | 2.3011 × 103 | 2.1564 × 103 | 2.2439 × 103 | 2.2196 × 103 | 2.3001 × 103 |
| F18 | |||||||
| Mean | 6.3284 × 105 | 1.0865 × 106 | 1.0754 × 106 | 7.9088 × 105 | 1.4605 × 106 | 7.7037 × 105 | 9.0846 × 105 |
| Std | 6.0733 × 105 | 1.5853 × 106 | 1.3766 × 106 | 9.9945 × 105 | 1.2060 × 106 | 6.0547 × 105 | 8.3020 × 105 |
| Best | 6.7422 × 104 | 8.9278 × 104 | 4.6141 × 104 | 5.0724 × 104 | 6.2807 × 104 | 5.1043 × 104 | 5.6416 × 104 |
| F20 | |||||||
| Mean | 2.2579 × 103 | 2.3572 × 103 | 2.3378 × 103 | 2.3429 × 103 | 2.2795 × 103 | 2.3175 × 103 | 2.2800 × 103 |
| Std | 1.1173 × 102 | 1.7292 × 102 | 1.5232 × 102 | 1.5150 × 102 | 1.1819 × 102 | 1.2159 × 102 | 1.2969 × 102 |
| Best | 2.1360 × 103 | 2.1256 × 103 | 2.1444 × 103 | 2.1670 × 103 | 2.1267 × 103 | 2.1455 × 103 | 2.1308 × 103 |
| F22 | |||||||
| Mean | 3.9475 × 103 | 4.6862 × 103 | 4.2250 × 103 | 4.5080 × 103 | 4.3654 × 103 | 4.9991 × 103 | 4.9837 × 103 |
| Std | 1.8457 × 103 | 1.9269 × 103 | 1.7450 × 103 | 1.8359 × 103 | 1.9591 × 103 | 1.6619 × 103 | 1.7902 × 103 |
| Best | 2.3291 × 103 | 2.3126 × 103 | 2.3360 × 103 | 2.3870 × 103 | 2.3268 × 103 | 2.3258 × 103 | 2.3224 × 103 |
| F23 | |||||||
| Mean | 2.7115 × 103 | 2.6965 × 103 | 2.6954 × 103 | 2.6931 × 103 | 2.6919 × 103 | 2.7007 × 103 | 2.7067 × 103 |
| Std | 5.0138 × 101 | 1.2439 × 101 | 1.5476 × 101 | 1.3732 × 101 | 1.6081 × 101 | 3.0946 × 101 | 4.4451 × 101 |
| Best | 2.6831 × 103 | 2.6702 × 103 | 2.6612 × 103 | 2.6691 × 103 | 2.6669 × 103 | 2.6719 × 103 | 2.6624 × 103 |
| F26 | |||||||
| Mean | 4.1711 × 103 | 4.0822 × 103 | 4.1995 × 103 | 4.1802 × 103 | 4.1447 × 103 | 4.1766 × 103 | 4.1364 × 103 |
| Std | 1.6094 × 102 | 1.1907 × 102 | 1.8713 × 102 | 1.6118 × 102 | 1.7925 × 102 | 1.6819 × 102 | 2.0756 × 102 |
| Best | 3.8334 × 103 | 3.8607 × 103 | 3.8426 × 103 | 3.8684 × 103 | 3.8354 × 103 | 3.8755 × 103 | 3.8413 × 103 |
- (1)
- In test functions F1, F4, and F28, the difference in experimental data for AtGWO compared to AtGWO5-AtGWO7 is not significant. But among the remaining functions, the hyperbolic tangent convergence factor function enables the algorithm to have better performance compared to the other functions. Under the 100-dimensional function test, the convergence factor of the hyperbolic tangent function control algorithm can improve the GWO global search capability.
- (2)
- AtGWO and AtGWO4 are more competitive in the 100-dimensional test function. By comparison, except for the minimum values of AtGWO on F1, F4, F13, and F21, the remaining test functions are all better than AtGWO4, and the comprehensive comparison of their means and standard deviations is not very different.
| AtGWO1 | AtGWO | AtGWO3 | AtGWO4 | AtGWO5 | AtGWO6 | AtGWO7 | |
|---|---|---|---|---|---|---|---|
| F1 | |||||||
| Mean | 3.7904 × 1010 | 3.4691 × 1010 | 3.3844 × 1010 | 3.3076 × 1010 | 3.4901 × 1010 | 3.4674 × 1010 | 3.5235 × 1010 |
| Std | 7.5128 × 109 | 5.8005 × 109 | 7.3878 × 109 | 8.5496 × 109 | 6.6839 × 109 | 9.1072 × 109 | 1.1518 × 1010 |
| Best | 2.5111 × 1010 | 2.4985 × 1010 | 2.1403 × 1010 | 2.3157 × 1010 | 2.4728 × 1010 | 1.9707 × 1010 | 1.4823 × 1010 |
| F4 | |||||||
| Mean | 4.6766 × 103 | 4.6485 × 103 | 5.1891 × 103 | 4.9605 × 103 | 4.8016 × 103 | 4.5113 × 103 | 5.0454 × 103 |
| Std | 1.3209 × 103 | 1.3300 × 103 | 1.3162 × 103 | 1.4592 × 103 | 1.3701 × 103 | 7.8646 × 102 | 1.2173 × 103 |
| Best | 2.4322 × 103 | 3.0916 × 103 | 2.8385 × 103 | 2.3317 × 103 | 2.9110 × 103 | 3.4223 × 103 | 3.2844 × 103 |
| F9 | |||||||
| Mean | 3.3115 × 104 | 3.1475 × 104 | 3.1483 × 104 | 3.2013 × 104 | 4.5961 × 104 | 4.2150 × 104 | 3.7622 × 104 |
| Std | 1.4599 × 104 | 1.3835 × 104 | 1.5197 × 104 | 1.4360 × 104 | 8.5874 × 103 | 1.0281 × 104 | 1.2331 × 104 |
| Best | 1.8235 × 104 | 1.5539 × 104 | 1.5542 × 104 | 1.6278 × 104 | 2.7115 × 104 | 1.8115 × 104 | 1.9627 × 104 |
| F12 | |||||||
| Mean | 5.8299 × 109 | 5.3402 × 109 | 7.5862 × 109 | 5.3890 × 109 | 8.3542 × 109 | 6.0057 × 109 | 5.1300 × 109 |
| Std | 4.2930 × 109 | 3.1900 × 109 | 4.4157 × 109 | 2.6136 × 109 | 5.0904 × 109 | 2.9406 × 109 | 2.6563 × 109 |
| Best | 1.3542 × 109 | 1.0149 × 109 | 1.3894 × 109 | 2.1853 × 109 | 1.2911 × 109 | 1.3188 × 109 | 1.4439 × 109 |
| F13 | |||||||
| Mean | 6.9068 × 108 | 6.0543 × 108 | 3.6090 × 108 | 6.0792 × 108 | 5.8508 × 108 | 9.1914 × 108 | 5.3461 × 108 |
| Std | 6.2301 × 108 | 5.1881 × 108 | 3.6113 × 108 | 7.1483 × 108 | 5.3022 × 108 | 9.2648 × 108 | 6.4751 × 108 |
| Best | 6.2603 × 106 | 2.2212 × 106 | 3.9291 × 106 | 9.5532 × 105 | 3.3454 × 107 | 9.4507 × 106 | 1.5230 × 107 |
| F14 | |||||||
| Mean | 6.0350 × 106 | 5.3358 × 106 | 5.4364 × 106 | 5.7801 × 106 | 6.1919 × 106 | 6.0330 × 106 | 5.7305 × 106 |
| Std | 3.1613 × 106 | 2.8503 × 106 | 2.6437 × 106 | 2.7798 × 106 | 2.5492 × 106 | 3.2928 × 106 | 2.6647 × 106 |
| Best | 1.3733 × 106 | 1.9957 × 106 | 1.5903 × 106 | 2.2849 × 106 | 2.4089 × 106 | 1.9848 × 106 | 2.0642 × 106 |
| F15 | |||||||
| Mean | 2.0004 × 108 | 5.3389 × 107 | 9.5375 × 107 | 9.6543 × 107 | 8.0192 × 107 | 1.0533 × 108 | 1.4154 × 108 |
| Std | 4.1665 × 108 | 5.6176 × 107 | 1.2023 × 108 | 1.3170 × 108 | 1.2411 × 108 | 1.6904 × 108 | 3.3924 × 108 |
| Best | 4.6696 × 104 | 2.1029 × 106 | 2.1386 × 105 | 3.3955 × 105 | 6.3183 × 106 | 3.5618 × 105 | 3.8469 × 106 |
| F16 | |||||||
| Mean | 6.0048 × 103 | 5.7959 × 103 | 5.9330 × 103 | 6.0048 × 103 | 6.2854 × 103 | 5.8057 × 103 | 5.9186 × 103 |
| Std | 6.9873 × 102 | 6.2158 × 102 | 6.1406 × 102 | 6.9923 × 102 | 4.8267 × 102 | 8.4094 × 102 | 7.4927 × 102 |
| Best | 4.5369 × 103 | 4.9684 × 103 | 5.0275 × 103 | 5.0798 × 103 | 5.1389 × 103 | 4.3066 × 103 | 4.8358 × 103 |
| F17 | |||||||
| Mean | 4.7027 × 103 | 4.6134 × 103 | 4.7634 × 103 | 4.9234 × 103 | 5.1881 × 103 | 4.6518 × 103 | 4.6944 × 103 |
| Std | 5.1162 × 102 | 4.7098 × 102 | 5.0461 × 102 | 6.3663 × 102 | 5.3531 × 102 | 4.0814 × 102 | 5.0794 × 102 |
| Best | 3.8834 × 103 | 3.7094 × 103 | 4.1389 × 103 | 3.9523 × 103 | 4.5019 × 103 | 3.9788 × 103 | 3.4845 × 103 |
| F19 | |||||||
| Mean | 9.8669 × 107 | 5.1877 × 107 | 8.3638 × 107 | 4.5712 × 107 | 6.8163 × 107 | 1.2889 × 108 | 1.5056 × 108 |
| Std | 1.7348 × 108 | 6.8814 × 107 | 2.3022 × 108 | 3.3579 × 107 | 8.3611 × 107 | 2.4915 × 108 | 2.7311 × 108 |
| Best | 1.7286 × 106 | 1.0876 × 106 | 2.5473 × 106 | 5.8922 × 106 | 8.7206 × 106 | 2.9078 × 106 | 4.6139 × 106 |
| F21 | |||||||
| Mean | 2.9084 × 103 | 2.9028 × 103 | 2.9474 × 103 | 2.9039 × 103 | 3.1270 × 103 | 2.9394 × 103 | 2.9575 × 103 |
| Std | 6.2814 × 101 | 8.1354 × 101 | 9.9440 × 101 | 1.0787 × 102 | 1.1660 × 102 | 7.6963 × 101 | 8.3344 × 101 |
| Best | 2.8109 × 103 | 2.7823 × 103 | 2.7928 × 103 | 2.6261 × 103 | 2.9892 × 103 | 2.7456 × 103 | 2.7492 × 103 |
| F28 | |||||||
| Mean | 8.8040 × 103 | 8.5680 × 103 | 8.2797 × 103 | 8.1263 × 103 | 8.7582 × 103 | 8.4295 × 103 | 8.8728 × 103 |
| Std | 1.1344 × 103 | 1.3470 × 103 | 1.1929 × 103 | 1.0329 × 103 | 1.2074 × 103 | 1.1839 × 103 | 1.2241 × 103 |
| Best | 5.6580 × 103 | 5.5809 × 103 | 6.1957 × 103 | 6.5855 × 103 | 6.7842 × 103 | 5.4663 × 103 | 6.8577 × 103 |
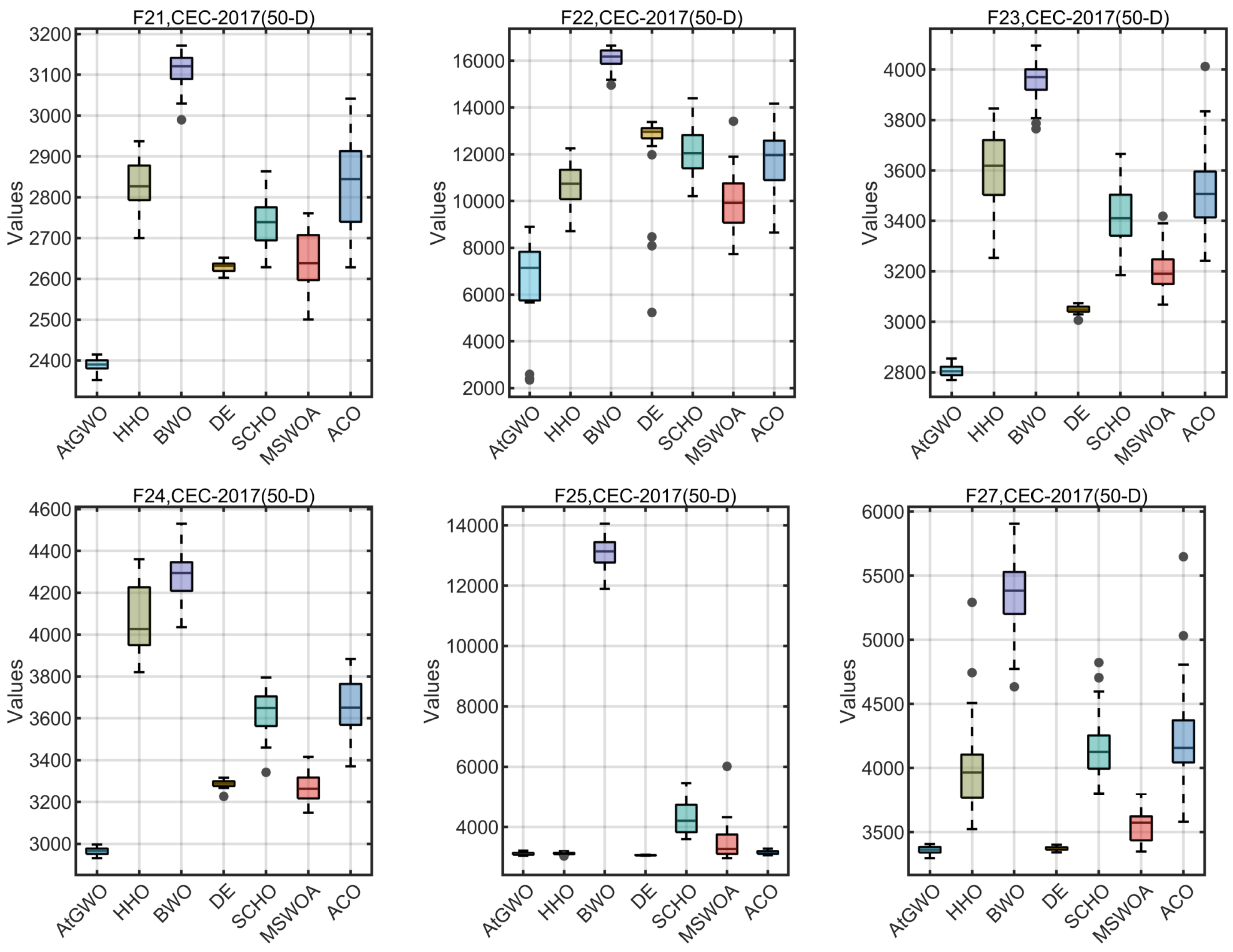
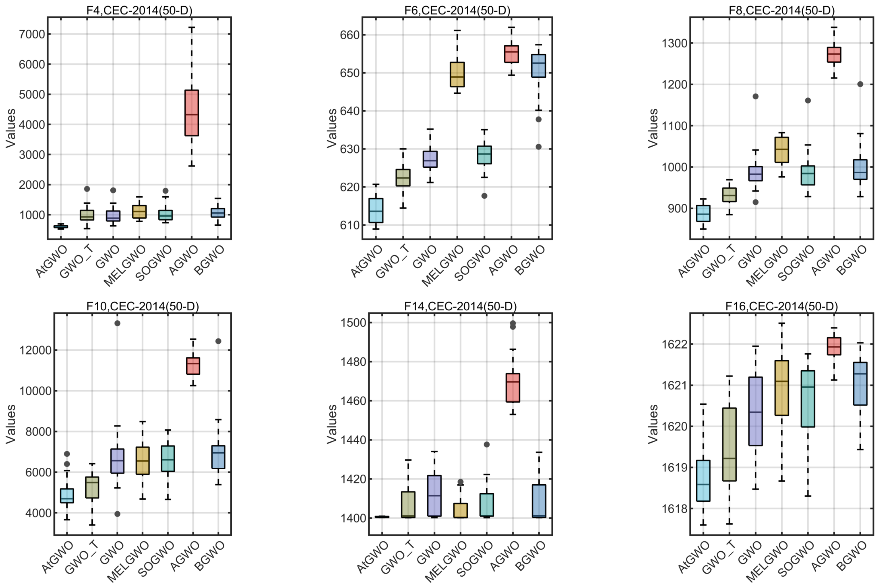
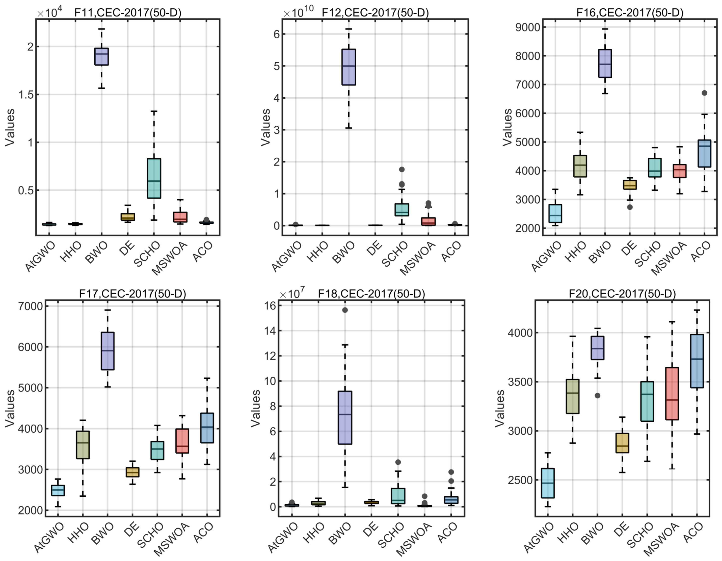
5.2. Comparative Experimental Results of Algorithms
5.2.1. Comparison with GWO Variants
5.2.2. Compare with Other Algorithms
5.3. AtGWO Application to Engineering Design Problems
5.3.1. Tension/Compression Spring Design Problem (T/CSD)
5.3.2. Pressure Vessel Design Problem (PVD)
5.3.3. Three-Bar Truss Design Problem (3-BTD)
5.3.4. Welded Beam Design Problem (WBD)
5.3.5. Speed Reducer Design Problem (SRD)
5.3.6. Gear Train Design Problem (GTD)
5.3.7. Demonstration and Analysis of Experimental Results of Engineering Applications
6. Discussion
7. Conclusions
Author Contributions
Funding
Data Availability Statement
Conflicts of Interest
References
- Fan, Q.; Huang, H.; Li, Y.; Han, Z.; Hu, Y.; Huang, D. Beetle antenna strategy based grey wolf optimization. Expert Syst. Appl. 2021, 165, 113882. [Google Scholar] [CrossRef]
- Ma, C.; Huang, H.; Fan, Q.; Wei, J.; Du, Y.; Gao, W. Grey wolf optimizer based on Aquila exploration method. Expert Syst. Appl. 2022, 205, 117629. [Google Scholar] [CrossRef]
- Sulaiman, M.H.; Mustaffa, Z.; Saari, M.M.; Daniyal, H. Barnacles mating optimizer: A new bio-inspired algorithm for solving engineering optimization problems. Eng. Appl. Artif. Intell. 2020, 87, 103330. [Google Scholar] [CrossRef]
- Abdel-Basset, M.; Manogaran, G.; El-Shahat, D.; Mirjalili, S. A hybrid whale optimization algorithm based on local search strategy for the permutation flow shop scheduling problem. Future Gener. Comput. Syst. 2018, 85, 129–145. [Google Scholar] [CrossRef]
- Yang, J.; Guo, B.; Qu, B. Economic optimization on two time scales for a hybrid energy system based on virtual storage. J. Mod. Power Syst. Clean Energy 2018, 6, 1004–1014. [Google Scholar] [CrossRef]
- Emary, E.; Zawbaa, H.M.; Hassanien, A.E. Binary grey wolf optimization approaches for feature selection. Neurocomputing 2016, 172, 371–381. [Google Scholar] [CrossRef]
- Chen, Y.P.; Li, Y.; Wang, G.; Zheng, Y.F.; Xu, Q.; Fan, J.H.; Cui, X.T. A novel bacterial foraging optimization algorithm for feature selection. Expert Syst. Appl. 2017, 83, 1–17. [Google Scholar] [CrossRef]
- Yan, X.; Jia, M. A novel optimized SVM classification algorithm with multi-domain feature and its application to fault diagnosis of rolling bearing. Neurocomputing 2018, 313, 47–64. [Google Scholar] [CrossRef]
- Komathi, C.; Umamaheswari, M. Design of gray wolf optimizer algorithm-based fractional order PI controller for power factor correction in SMPS applications. IEEE Trans. Power Electron. 2019, 35, 2100–2118. [Google Scholar] [CrossRef]
- Precup, R.E.; David, R.C.; Roman, R.C.; Petriu, E.M.; Szedlak-Stinean, A.I. Slime mould algorithm-based tuning of cost-effective fuzzy controllers for servo systems. Int. J. Comput. Intell. Syst. 2021, 14, 1042–1052. [Google Scholar] [CrossRef]
- Meng, D.; Zhang, X.; Yang, Y.J.; Xu, H.; Huang, H.Z. Interaction balance optimization in multidisciplinary design optimization problems. Concurr. Eng. 2016, 24, 48–57. [Google Scholar] [CrossRef]
- Bernal, E.; Castillo, O.; Soria, J.; Valdez, F. Generalized type-2 fuzzy logic in galactic swarm optimization: Design of an optimal ball and beam fuzzy controller. J. Intell. Fuzzy Syst. 2020, 39, 3545–3559. [Google Scholar] [CrossRef]
- Sánchez, D.; Melin, P.; Castillo, O. Comparison of particle swarm optimization variants with fuzzy dynamic parameter adaptation for modular granular neural networks for human recognition. J. Intell. Fuzzy Syst. 2020, 38, 3229–3252. [Google Scholar] [CrossRef]
- Qu, B.Y.; Liang, J.J.; Suganthan, P.N. Niching particle swarm optimization with local search for multi-modal optimization. Inf. Sci. 2012, 197, 131–143. [Google Scholar] [CrossRef]
- Ahmed, R.; Mahadzir, S.; Rozali, N.E.M.; Biswas, K.; Matovu, F.; Ahmed, K. Artificial intelligence techniques in refrigeration system modelling and optimization: A multi-disciplinary review. Sust. Energy Technol. Assess. 2021, 47, 101488. [Google Scholar] [CrossRef]
- Matovu, F.; Mahadzir, S.; Ahmed, R.; Rozali, N.E.M. Synthesis and optimization of multilevel refrigeration systems using generalized disjunctive programming. Comput. Chem. Eng. 2022, 163, 107856. [Google Scholar] [CrossRef]
- Xu, X.; Tang, Y.; Li, J.; Hua, C.; Guan, X. Dynamic multi-swarm particle swarm optimizer with cooperative learning strategy. Appl. Soft Comput. 2015, 29, 169–183. [Google Scholar] [CrossRef]
- Jana, B.; Mitra, S.; Acharyya, S. Repository and mutation based particle swarm optimization (RMPSO): A new PSO variant applied to reconstruction of gene regulatory network. Appl. Soft Comput. 2019, 74, 330–355. [Google Scholar] [CrossRef]
- Holland, J.H. Genetic algorithms. Sci. Am. 1992, 267, 66–73. [Google Scholar] [CrossRef]
- Storn, R.; Price, K. Minimizing the real functions of the ICEC’96 contest by differential evolution. In Proceedings of the IEEE International Conference on Evolutionary Computation, Nagoya, Japan, 20–22 May 1996; IEEE: Piscataway, NJ, USA, 1996; pp. 842–844. [Google Scholar] [CrossRef]
- Dorigo, M.; Birattari, M.; Stutzle, T. Ant colony optimization. IEEE Comput. Intell. Mag. 2006, 1, 28–39. [Google Scholar] [CrossRef]
- Kennedy, J.; Eberhart, R. Particle swarm optimization. Proc. IEEE Int. Conf. Neural Netw. 1995, 4, 1942–1948. [Google Scholar] [CrossRef]
- Kirkpatrick, S.; Gelatt, C.D., Jr.; Vecchi, M.P. Optimization by simulated annealing. Science 1983, 220, 671–680. [Google Scholar] [CrossRef] [PubMed]
- Ahmed, R.; Rangaiah, G.P.; Mahadzir, S.; Mirjalili, S.; Hassan, M.H.; Kamel, S. Memory, evolutionary operator, and local search based improved Grey Wolf Optimizer with linear population size reduction technique. Knowl.-Based Syst. 2023, 264, 110297. [Google Scholar] [CrossRef]
- Yao, X.; Liu, Y.; Lin, G. Evolutionary programming made faster. IEEE Trans. Evol. Comput. 1999, 3, 82–102. [Google Scholar] [CrossRef]
- Dhargupta, S.; Ghosh, M.; Mirjalili, S.; Sarkar, R. Selective opposition based grey wolf optimization. Expert Syst. Appl. 2020, 151, 113389. [Google Scholar] [CrossRef]
- Mirjalili, S. SCA: A sine cosine algorithm for solving optimization problems. Knowl.-Based Syst. 2016, 96, 120–133. [Google Scholar] [CrossRef]
- Rashedi, E.; Nezamabadi-Pour, H.; Saryazdi, S. GSA: A gravitational search algorithm. Inf. Sci. 2009, 179, 2232–2248. [Google Scholar] [CrossRef]
- Kaveh, A.; Khayatazad, M. A new meta-heuristic method: Ray optimization. Comput. Struct. 2012, 112, 283–294. [Google Scholar] [CrossRef]
- Karaboga, D.; Akay, B. A comparative study of artificial bee colony algorithm. Appl. Math. Comput. 2009, 214, 108–132. [Google Scholar] [CrossRef]
- Mirjalili, S.; Mirjalili, S.M.; Lewis, A. Grey wolf optimizer. Adv. Eng. Softw. 2014, 69, 46–61. [Google Scholar] [CrossRef]
- Mirrashid, M.; Naderpour, H. Transit search: An optimization algorithm based on exoplanet exploration. Results Control Optim. 2022, 7, 100127. [Google Scholar] [CrossRef]
- Bai, J.; Li, Y.; Zheng, M.; Khatir, S.; Benaissa, B.; Abualigah, L.; Wahab, M.A. A sinh cosh optimizer. Knowl.-Based Syst. 2023, 282, 111081. [Google Scholar] [CrossRef]
- Zhong, C.; Li, G.; Meng, Z. Beluga whale optimization: A novel nature-inspired metaheuristic algorithm. Knowl.-Based Syst. 2022, 251, 109215. [Google Scholar] [CrossRef]
- Nadimi-Shahraki, M.H.; Zamani, H.; Mirjalili, S. Enhanced whale optimization algorithm for medical feature selection: A COVID-19 case study. Comput. Biol. Med. 2022, 148, 105858. [Google Scholar] [CrossRef] [PubMed]
- Zhang, J.; Sanderson, A.C. JADE: Adaptive differential evolution with optional external archive. IEEE Trans. Evol. Comput. 2009, 13, 945–958. [Google Scholar] [CrossRef]
- Song, Y.; Wang, F.; Chen, X. An improved genetic algorithm for numerical function optimization. Appl. Intell. 2019, 49, 1880–1902. [Google Scholar] [CrossRef]
- Abdel-Basset, M.; Abdel-Fatah, L.; Sangaiah, A.K. Metaheuristic algorithms: A comprehensive review. Comput. Intell. Multimed. Big Data Cloud Eng. Appl. 2018, 185–231. [Google Scholar] [CrossRef]
- Niu, P.; Niu, S.; Liu, N.; Chang, L. The defect of the Grey Wolf optimization algorithm and its verification method. Knowl.-Based Syst. 2019, 171, 37–43. [Google Scholar] [CrossRef]
- Beşkirli, A.; Dağ, İ. I-CPA: An Improved Carnivorous Plant Algorithm for Solar Photovoltaic Parameter Identification Problem. Biomimetics 2023, 8, 569. [Google Scholar] [CrossRef] [PubMed]
- Beşkirli, A.; Dağ, İ.; Kiran, M.S. A tree seed algorithm with multi-strategy for parameter estimation of solar photovoltaic models. Appl. Soft Comput. 2024, 167, 112220. [Google Scholar] [CrossRef]
- Sharma, I.; Kumar, V.; Sharma, S. A comprehensive survey on grey wolf optimization. Recent Adv. Comput. Sci. Commun. Former. Recent Patents Comput. Sci. 2022, 15, 323–333. [Google Scholar] [CrossRef]
- Negi, G.; Kumar, A.; Pant, S.; Ram, M. GWO: A review and applications. Int. J. Syst. Assur. Eng. Manag. 2021, 12, 1–8. [Google Scholar] [CrossRef]
- Mirjalili, S. How effective is the Grey Wolf optimizer in training multi-layer perceptrons. Appl. Intell. 2015, 43, 150–161. [Google Scholar] [CrossRef]
- Tu, Q.; Chen, X.; Liu, X. Hierarchy strengthened grey wolf optimizer for numerical optimization and feature selection. IEEE Access 2019, 7, 78012–78028. [Google Scholar] [CrossRef]
- Song, J.; Wang, J.; Lu, H. A novel combined model based on advanced optimization algorithm for short-term wind speed forecasting. Appl. Energy 2018, 215, 643–658. [Google Scholar] [CrossRef]
- Jayabarathi, T.; Raghunathan, T.; Adarsh, B.; Suganthan, P.N. Economic dispatch using hybrid grey wolf optimizer. Energy 2016, 111, 630–641. [Google Scholar] [CrossRef]
- Saremi, S.; Mirjalili, S.Z.; Mirjalili, S.M. Evolutionary population dynamics and grey wolf optimizer. Neural Comput. Appl. 2015, 26, 1257–1263. [Google Scholar] [CrossRef]
- Malik, M.R.S.; Mohideen, E.R.; Ali, L. Weighted distance grey wolf optimizer for global optimization problems. In Proceedings of the 2015 IEEE ICCIC, Madurai, India, 10–12 December 2015; IEEE: Piscataway, NJ, USA, 2015; pp. 1–6. [Google Scholar] [CrossRef]
- Guha, D.; Roy, P.K.; Banerjee, S. Load frequency control of large scale power system using quasi-oppositional grey wolf optimization algorithm. Eng. Sci. Technol. Int. J. 2016, 19, 1693–1713. [Google Scholar] [CrossRef]
- Padhy, S.; Panda, S.; Mahapatra, S. A modified GWO technique based cascade PI-PD controller for AGC of power systems in presence of Plug in Electric Vehicles. Eng. Sci. Technol. Int. J. 2017, 20, 427–442. [Google Scholar] [CrossRef]
- Long, W.; Jiao, J.; Liang, X.; Tang, M. An exploration-enhanced grey wolf optimizer to solve high-dimensional numerical optimization. Eng. Appl. Artif. Intell. 2018, 68, 63–80. [Google Scholar] [CrossRef]
- Long, W.; Jiao, J.; Liang, X.; Cai, S.; Xu, M. A random opposition-based learning grey wolf optimizer. IEEE Access 2019, 7, 113810–113825. [Google Scholar] [CrossRef]
- Wang, J.S.; Li, S.X. An improved grey wolf optimizer based on differential evolution and elimination mechanism. Sci. Rep. 2019, 9, 7181. [Google Scholar] [CrossRef] [PubMed]
- Saxena, A.; Kumar, R.; Mirjalili, S. A harmonic estimator design with evolutionary operators equipped grey wolf optimizer. Expert Syst. Appl. 2020, 145, 113125. [Google Scholar] [CrossRef]
- Ahmed, R.; Nazir, A.; Mahadzir, S.; Shorfuzzaman, M.; Islam, J. Niching grey wolf optimizer for multimodal optimization problems. Appl. Sci. 2021, 11, 4795. [Google Scholar] [CrossRef]
- Yu, X.; Wu, X. Ensemble grey wolf Optimizer and its application for image segmentation. Expert Syst. Appl. 2022, 209, 118267. [Google Scholar] [CrossRef]
- Nadimi-Shahraki, M.H.; Taghian, S.; Mirjalili, S. An improved grey wolf optimizer for solving engineering problems. Expert Syst. Appl. 2021, 166, 113917. [Google Scholar] [CrossRef]
- Li, H.; Lv, T.; Shui, Y.; Zhang, J.; Zhang, H.; Zhao, H.; Ma, S. An Improved grey wolf optimizer with weighting functions and its application to Unmanned Aerial Vehicles path planning. Comput. Electr. Eng. 2023, 111, 108893. [Google Scholar] [CrossRef]
- Yu, X.; Duan, Y.; Cai, Z.; Luo, W. An adaptive learning grey wolf optimizer for coverage optimization in WSNs. Expert Syst. Appl. 2024, 238, 121917. [Google Scholar] [CrossRef]
- Mech, L.D. Alpha status, dominance, and division of labor in wolf packs. Can. J. Zool. 1999, 77, 1196–1203. [Google Scholar] [CrossRef]
- Gupta, S.; Deep, K. A memory-based grey wolf optimizer for global optimization tasks. Appl. Soft Comput. 2020, 93, 106367. [Google Scholar] [CrossRef]
- Rodríguez, L.; Castillo, O.; Soria, J.; Melin, P.; Valdez, F.; Gonzalez, C.I.; Martinez, G.E.; Soto, J. A fuzzy hierarchical operator in the grey wolf optimizer algorithm. Appl. Soft Comput. 2017, 57, 315–328. [Google Scholar] [CrossRef]
- Vaswani, A.; Shazeer, N.; Parmar, N.; Uszkoreit, J.; Jones, L.; Gomez, A.N.; Kaiser, Ł.; Polosukhin, I. Attention is all you need. NeurIPS 2017, 30, 1–11. [Google Scholar]
- Guo, M.H.; Xu, T.X.; Liu, J.J.; Liu, Z.N.; Jiang, P.T.; Mu, T.J.; Zhang, S.H.; Martin, R.R.; Cheng, M.M.; Hu, S.M. Attention mechanisms in computer vision: A survey. Comput. Vis. Media 2022, 8, 331–368. [Google Scholar] [CrossRef]
- Chorowski, J.K.; Bahdanau, D.; Serdyuk, D.; Cho, K.; Bengio, Y. Attention-based models for speech recognition. NeurIPS 2015, 28. Available online: https://proceedings.neurips.cc/paper/2015/hash/1068c6e4c8051cfd4e9ea8072e3189e2-Abstract.html (accessed on 18 December 2024).
- Yan, C.; Tu, Y.; Wang, X.; Zhang, Y.; Hao, X.; Zhang, Y.; Dai, Q. STAT: Spatial-temporal attention mechanism for video captioning. IEEE Trans. Multimed. 2019, 22, 229–241. [Google Scholar] [CrossRef]
- Choi, H.; Cho, K.; Bengio, Y. Fine-grained attention mechanism for neural machine translation. Neurocomputing 2018, 284, 171–176. [Google Scholar] [CrossRef]
- Press, O.; Wolf, L. Using the output embedding to improve language models. arXiv 2016, arXiv:1608.05859. [Google Scholar] [CrossRef]
- Niu, Z.; Zhong, G.; Yu, H. A review on the attention mechanism of deep learning. Neurocomputing 2021, 452, 48–62. [Google Scholar] [CrossRef]
- Yang, Z.B.; Zhang, J.P.; Zhao, Z.B.; Zhai, Z.; Chen, X.F. Interpreting network knowledge with attention mechanism for bearing fault diagnosis. Appl. Soft Comput. 2020, 97, 106829. [Google Scholar] [CrossRef]
- Ozsoydan, F.B.; Baykasoglu, A. Analysing the effects of various switching probability characteristics in flower pollination algorithm for solving unconstrained function minimization problems. Neural Comput. Appl. 2019, 31, 7805–7819. [Google Scholar] [CrossRef]
- Ozsoydan, F.B. Effects of dominant wolves in grey wolf optimization algorithm. Appl. Soft Comput. 2019, 83, 105658. [Google Scholar] [CrossRef]
- Faramarzi, A.; Heidarinejad, M.; Stephens, B.; Mirjalili, S. Equilibrium optimizer: A novel optimization algorithm. Knowl.-Based Syst. 2020, 191, 105190. [Google Scholar] [CrossRef]
- Gölcük, İ.; Ozsoydan, F.B. Evolutionary and adaptive inheritance enhanced Grey Wolf Optimization algorithm for binary domains. Knowl.-Based Syst. 2020, 194, 105586. [Google Scholar] [CrossRef]
- Awad, N.; Ali, M.; Liang, J.; Qu, B.; Suganthan, P. Problem Definitions and Evaluation Criteria for the CEC 2017 Special Session and Competition on Single Objective Bound Constrained Real-Parameter Numerical Optimization; Technical Report; Nanyang Technological University: Singapore, 2016; pp. 1–34. [Google Scholar]
- Heidari, A.A.; Mirjalili, S.; Faris, H.; Aljarah, I.; Mafarja, M.; Chen, H. Harris hawks optimization: Algorithm and applications. Future Gener. Comput. Syst. 2019, 97, 849–872. [Google Scholar] [CrossRef]
- Tasoulis, D.K.; Pavlidis, N.G.; Plagianakos, V.P.; Vrahatis, M.N. Parallel differential evolution. In Proceedings of the 2004 Congress on Evolutionary Computation (IEEE Cat. No.04TH8753), Portland, OR, USA, 19–23 June 2004; IEEE: Piscataway, NJ, USA, 2004; Volume 2, pp. 2023–2029. [Google Scholar] [CrossRef]
- Belegundu, A.D.; Arora, J.S. A study of mathematical programming methods for structural optimization. Part I: Theory. Int. J. Numer. Methods Eng. 1985, 21, 1583–1599. [Google Scholar] [CrossRef]
- Kannan, B.K.; Kramer, S.N. An Augmented Lagrange Multiplier Based Method for Mixed Integer Discrete Continuous Optimization and Its Applications to Mechanical Design. Trans. ASME J. Mech. Des. 1994, 116, 405–411. [Google Scholar] [CrossRef]
- Ray, T.; Saini, P. Engineering design optimization using a swarm with an intelligent information sharing among individuals. Eng. Optim. 2001, 33, 735–748. [Google Scholar] [CrossRef]
- Deb, K. Optimal design of a welded beam via genetic algorithms. AIAA J. 1991, 29, 2013–2015. [Google Scholar] [CrossRef]
- Mezura-Montes, E.; Coello, C.A.C. Useful infeasible solutions in engineering optimization with evolutionary algorithms. In Mexican International Conference on Artificial Intelligence; Springer: Berlin/Heidelberg, Germany, 2005; pp. 652–662. [Google Scholar] [CrossRef]
- Sandgren, E. Nonlinear Integer and Discrete Programming in Mechanical Design Optimization. J. Mech. Des. 1990, 112, 223–229. [Google Scholar] [CrossRef]



































| Variant/Strategy | Highlights |
|---|---|
| Yu and Wu et al. [57] developed an ensemble GWO (EnGWO) | The EnGWO updated the position of the top three wolves again based on their knowledge, thus making fuller use of the knowledge of the top three wolves to guide the position update of the population, and used the method in image segmentation to prove the effectiveness of the algorithm. |
| Nadimi-Shahrak et al. [58] proposed a dimensional learning-based hunting GWO (DLH-GWO). | In DLH-GWO, each wolf establishes its own neighborhood and shares information with each other, which helps to find the global optimal solution. Experimental comparisons in terms of unimodal, multimodal functions, and engineering optimization have shown the promising performance of DLH-GWO. |
| Ma et al. [2] proposed GWO based on the Aquila exploration approach (AGWO). | This study gives a portion of the wolves the ability to fly, thus expanding the search range and improving the global search capability. In addition, a new nonlinear convergence factor function was proposed to balance the two phases of exploration and exploitation. |
| Li et al. [59] proposed an improved GWO with a weighting function (IGWO-WFs). | The IGWO-WFs algorithm introduces three weight updating functions (multimodal adaptive function, sigmoid function, and auto-regressive function) to transform the positions and update the rules, followed by a DLH search strategy. The convergence speed and search effect of GWO are enhanced by these strategies. |
| Ahmed et al. [24] proposed an improved GWO based on memory, evolutionary operators, and local search (MELGWO). | This study combines memory, evolutionary operators, and stochastic local search techniques for improving GWO and linear population size reduction techniques and performing comprehensive test experiments. The method remains difficult to explore more accurate solutions in high-dimensional multimodal problems. |
| Yu et al. [60] proposed adaptive learning GWO (ALGWO) for coverage optimization in wireless sensor networks (WSNs). | In ALGWO, an asymmetric dynamic opposite learning strategy is adopted to prevent premature convergence and improve exploration ability. The addition of adaptive dimension learning provides individuals with information about neighborhood dimensions, overcoming the dependence of updating individuals on the first three wolves, thereby improving the diversity of the group. |
| Name | Method |
|---|---|
| Centroid | |
| Weighted average | , , |
| Weighted based on the fitness | |
| Fuzzy weights | |
| Random generation strategy | |
| Name | Mathematical Expression (T: Maximum Number of Iterations) |
|---|---|
| Linear function | |
| Quadratic function | |
| Sine function | |
| Cosine function |
| Name | Leading the Wolves | Convergence Factor | Update Weights |
|---|---|---|---|
| GWO | , , and . | . | Centroid (). |
| AtGWO | , , , and . | . | Attention mechanism assign weights |
| Algorithm | Name | Mathematical Expression |
|---|---|---|
| AtGWO1 | ||
| AtGWO | ||
| AtGWO3 | ||
| AtGWO4 | ||
| AtGWO5 | cosine function | |
| AtGWO6 | sine function | |
| AtGWO7 | linear function |
| Algorithm | Year | Parameters |
|---|---|---|
| HHO | 2019 | (energy). |
| BWO | 2022 | (probability of whale fall). |
| DE | 2004 | ; ; ; . |
| SCHO | 2023 | ; ; ; ; ; . |
| ACO | 2006 | = 0.1; = 0.1; = 1; = 2; |
| GWO | 2014 | . |
| MSWOA | 2022 | . |
| MELGWO | 2023 | ; ; . |
| SOGWO | 2020 | ; . |
| AGWO | 2022 | ; . |
| BGWO | 2021 | |
| GWO_T | - | . |
| AtGWO | - | ; . |
| Name | Dimensions | Population | Runs | Iterations | Best |
|---|---|---|---|---|---|
| CEC-2014 | 30 | 100 | 30 | 1000 | Bold |
| 50 | 100 | 30 | 2000 | Bold | |
| CEC-2017 | 30 | 100 | 30 | 1000 | Bold |
| 50 | 100 | 30 | 2000 | Bold | |
| 100 | 100 | 30 | 3000 | Bold |
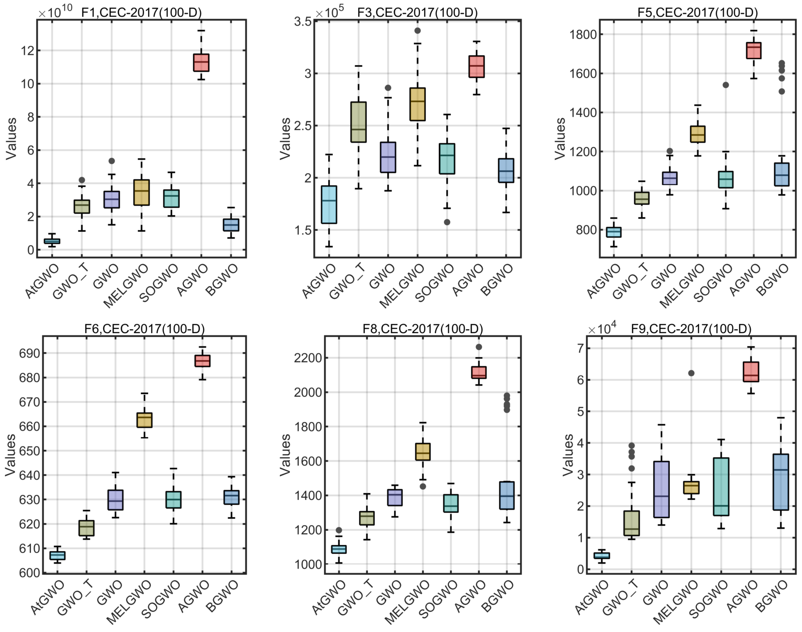
| AtGWO | GWO_T | GWO | MELGWO | SOGWO | AGWO | BGWO | ||||||||
|---|---|---|---|---|---|---|---|---|---|---|---|---|---|---|
| F1 | Rank | |||||||||||||
| Mean | 2.336 × 107 | 7.723 × 107 | (+) | 8.400 × 107 | (+) | 5.960 × 107 | (+) | 7.198 × 107 | (+) | 2.627 × 108 | (+) | 9.341 × 107 | (+) | 1 |
| Std | 1.382 × 107 | 4.823 × 107 | 6.568 × 107 | 2.253 × 107 | 3.432 × 107 | 6.724 × 107 | 3.887 × 107 | 1 | ||||||
| Best | 9.485 × 106 | 1.593 × 107 | 1.243 × 107 | 1.150 × 107 | 2.256 × 107 | 1.313 × 108 | 3.246 × 107 | 1 | ||||||
| F2 | ||||||||||||||
| Mean | 6.745 × 108 | 6.006 × 109 | (+) | 6.356 × 109 | (+) | 3.739 × 109 | (+) | 5.391 × 109 | (+) | 3.383 × 1010 | (+) | 6.807 × 109 | (+) | 1 |
| Std | 4.424 × 108 | 3.100 × 109 | 3.034 × 109 | 2.468 × 109 | 2.413 × 109 | 4.565 × 109 | 3.702 × 109 | 1 | ||||||
| Best | 1.067 × 108 | 5.989 × 108 | 1.040 × 109 | 6.495 × 108 | 2.031 × 109 | 2.487 × 1010 | 3.175 × 109 | 1 | ||||||
| F3 | ||||||||||||||
| Mean | 1.824 × 104 | 5.079 × 104 | (+) | 5.851 × 104 | (+) | 4.798 × 104 | (+) | 6.283 × 104 | (+) | 9.154 × 104 | (+) | 5.529 × 104 | (+) | 1 |
| Std | 4.588 × 103 | 1.124 × 104 | 1.365 × 104 | 1.303 × 104 | 1.352 × 104 | 1.017 × 104 | 1.219 × 104 | 1 | ||||||
| Best | 9.429 × 103 | 2.538 × 104 | 3.301 × 104 | 2.332 × 104 | 4.039 × 104 | 6.814 × 104 | 3.533 × 104 | 1 | ||||||
| F4 | ||||||||||||||
| Mean | 6.020 × 102 | 9.870 × 102 | (+) | 9.607 × 102 | (+) | 1.116 × 103 | (+) | 1.011 × 103 | (+) | 4.421 × 103 | (+) | 1.092 × 103 | (+) | 1 |
| Std | 3.916 × 101 | 2.754 × 102 | 2.512 × 102 | 2.287 × 102 | 2.354 × 102 | 9.782 × 102 | 2.355 × 102 | 1 | ||||||
| Best | 5.233 × 102 | 5.385 × 102 | 6.330 × 102 | 7.807 × 102 | 7.364 × 102 | 2.618 × 103 | 6.554 × 102 | 1 | ||||||
| F5 | ||||||||||||||
| Mean | 5.202 × 102 | 5.212 × 102 | (+) | 5.212 × 102 | (+) | 5.212 × 102 | (+) | 5.212 × 102 | (+) | 5.212 × 102 | (+) | 5.212 × 102 | (+) | 1 |
| Std | 7.213 × 10−2 | 4.339 × 10−2 | 4.051 × 10−2 | 5.695 × 10−2 | 3.302 × 10−2 | 3.620 × 10−2 | 3.462 × 10−2 | 7 | ||||||
| Best | 5.201 × 102 | 5.210 × 102 | 5.211 × 102 | 5.209 × 102 | 5.211 × 102 | 5.211 × 102 | 5.210 × 102 | 1 | ||||||
| F6 | ||||||||||||||
| Mean | 6.141 × 102 | 6.225 × 102 | (+) | 6.273 × 102 | (+) | 6.503 × 102 | (+) | 6.284 × 102 | (+) | 6.554 × 102 | (+) | 6.506 × 102 | (+) | 1 |
| Std | 3.391 × 100 | 3.623 × 100 | 3.522 × 100 | 4.738 × 100 | 3.723 × 100 | 2.943 × 100 | 5.998 × 100 | 2 | ||||||
| Best | 6.089 × 102 | 6.144 × 102 | 6.212 × 102 | 6.446 × 102 | 6.177 × 102 | 6.494 × 102 | 6.306 × 102 | 1 | ||||||
| F7 | ||||||||||||||
| Mean | 7.104 × 102 | 7.452 × 102 | (+) | 7.502 × 102 | (+) | 7.442 × 102 | (+) | 7.461 × 102 | (+) | 9.734 × 102 | (+) | 7.607 × 102 | (+) | 1 |
| Std | 5.213 × 100 | 3.328 × 101 | 2.530 × 101 | 3.232 × 101 | 2.655 × 101 | 4.861 × 101 | 3.610 × 101 | 1 | ||||||
| Best | 7.021 × 102 | 7.107 × 102 | 7.187 × 102 | 7.026 × 102 | 7.149 × 102 | 8.732 × 102 | 7.219 × 102 | 1 | ||||||
| F8 | ||||||||||||||
| Mean | 8.872 × 102 | 9.310 × 102 | (+) | 9.872 × 102 | (+) | 1.040 × 103 | (+) | 9.896 × 102 | (+) | 1.275 × 103 | (+) | 9.966 × 102 | (+) | 1 |
| Std | 2.083 × 101 | 2.086 × 101 | 4.367 × 101 | 3.162 × 101 | 4.598 × 101 | 3.046 × 101 | 5.058 × 101 | 1 | ||||||
| Best | 8.495 × 102 | 8.845 × 102 | 9.147 × 102 | 9.760 × 102 | 9.282 × 102 | 1.215 × 103 | 9.281 × 102 | 1 | ||||||
| F9 | ||||||||||||||
| Mean | 9.883 × 102 | 1.049 × 103 | (+) | 1.089 × 103 | (+) | 1.193 × 103 | (+) | 1.088 × 103 | (+) | 1.356 × 103 | (+) | 1.149 × 103 | (+) | 1 |
| Std | 1.635 × 101 | 2.029 × 101 | 5.255 × 101 | 4.189 × 101 | 2.566 × 101 | 3.426 × 101 | 8.890 × 101 | 1 | ||||||
| Best | 9.564 × 102 | 1.020 × 103 | 1.016 × 103 | 1.119 × 103 | 1.040 × 103 | 1.297 × 103 | 1.047 × 103 | 1 | ||||||
| F10 | ||||||||||||||
| Mean | 4.880 × 103 | 5.264 × 103 | (+) | 6.665 × 103 | (+) | 6.533 × 103 | (+) | 6.610 × 103 | (+) | 1.130 × 104 | (+) | 7.040 × 103 | (+) | 1 |
| Std | 7.300 × 102 | 7.653 × 102 | 1.488 × 103 | 1.013 × 103 | 8.245 × 102 | 5.855 × 102 | 1.254 × 103 | 2 | ||||||
| Best | 3.664 × 103 | 3.402 × 103 | 3.945 × 103 | 4.680 × 103 | 4.657 × 103 | 1.025 × 104 | 5.385 × 103 | 2 | ||||||
| F11 | ||||||||||||||
| Mean | 6.298 × 103 | 5.993 × 103 | (=) | 6.958 × 103 | (+) | 8.233 × 103 | (+) | 6.590 × 103 | (=) | 1.251 × 104 | (+) | 9.173 × 103 | (+) | 2 |
| Std | 8.804 × 102 | 7.181 × 102 | 1.494 × 103 | 9.697 × 102 | 9.876 × 102 | 7.600 × 102 | 2.806 × 103 | 3 | ||||||
| Best | 4.836 × 103 | 4.757 × 103 | 5.574 × 103 | 6.050 × 103 | 4.477 × 103 | 1.083 × 104 | 6.179 × 103 | 3 | ||||||
| F12 | ||||||||||||||
| Mean | 1.200 × 103 | 1.203 × 103 | (+) | 1.203 × 103 | (+) | 1.203 × 103 | (+) | 1.203 × 103 | (+) | 1.203 × 103 | (+) | 1.204 × 103 | (+) | 1 |
| Std | 5.132 × 10−2 | 1.263 × 100 | 1.505 × 100 | 1.035 × 100 | 1.155 × 100 | 5.498 × 10−1 | 3.488 × 10−1 | 1 | ||||||
| Best | 1.200 × 103 | 1.200 × 103 | 1.200 × 103 | 1.201 × 103 | 1.200 × 103 | 1.202 × 103 | 1.203 × 103 | 1 | ||||||
| F13 | ||||||||||||||
| Mean | 1.300 × 103 | 1.301 × 103 | (+) | 1.301 × 103 | (+) | 1.301 × 103 | (+) | 1.301 × 103 | (+) | 1.303 × 103 | (+) | 1.301 × 103 | (+) | 1 |
| Std | 6.731 × 10−2 | 1.120 × 10−1 | 9.190 × 10−2 | 3.319 × 10−1 | 7.262 × 10−2 | 5.282 × 10−1 | 2.564 × 10−1 | 1 | ||||||
| Best | 1.300 × 103 | 1.300 × 103 | 1.301 × 103 | 1.300 × 103 | 1.301 × 103 | 1.302 × 103 | 1.301 × 103 | 1 | ||||||
| F14 | ||||||||||||||
| Mean | 1.400 × 103 | 1.407 × 103 | (+) | 1.412 × 103 | (+) | 1.404 × 103 | (=) | 1.408 × 103 | (=) | 1.470 × 103 | (+) | 1.408 × 103 | (+) | 1 |
| Std | 2.468 × 10−1 | 9.714 × 100 | 1.085 × 101 | 6.179 × 100 | 9.348 × 100 | 1.155 × 101 | 9.390 × 100 | 1 | ||||||
| Best | 1.400 × 103 | 1.400 × 103 | 1.400 × 103 | 1.400 × 103 | 1.400 × 103 | 1.453 × 103 | 1.400 × 103 | 6 | ||||||
| F15 | ||||||||||||||
| Mean | 1.515 × 103 | 2.447 × 103 | (+) | 4.439 × 103 | (+) | 5.196 × 103 | (+) | 2.644 × 103 | (+) | 3.225 × 104 | (+) | 6.009 × 103 | (+) | 1 |
| Std | 5.874 × 100 | 1.493 × 103 | 1.063 × 104 | 4.060 × 103 | 1.980 × 103 | 1.901 × 104 | 2.990 × 103 | 1 | ||||||
| Best | 1.508 × 103 | 1.537 × 103 | 1.550 × 103 | 1.674 × 103 | 1.535 × 103 | 8.909 × 103 | 2.110 × 103 | 1 | ||||||
| W/T/L | -/-/- | 14/1/0 | 15/0/0 | 14/1/0 | 13/2/0 | 15/0/0 | 15/0/0 | |||||||
| AtGWO | GWO_T | GWO | MELGWO | SOGWO | AGWO | BGWO | ||||||||
|---|---|---|---|---|---|---|---|---|---|---|---|---|---|---|
| F16 | Rank | |||||||||||||
| Mean | 1.619 × 103 | 1.619 × 103 | (+) | 1.620 × 103 | (+) | 1.621 × 103 | (+) | 1.621 × 103 | (+) | 1.622 × 103 | (+) | 1.621 × 103 | (+) | 1 |
| Std | 6.459 × 10−1 | 1.072 × 100 | 9.750 × 10−1 | 9.764 × 10−1 | 9.561 × 10−1 | 3.313 × 10−1 | 6.597 × 10−1 | 2 | ||||||
| Best | 1.618 × 103 | 1.618 × 103 | 1.618 × 103 | 1.619 × 103 | 1.618 × 103 | 1.621 × 103 | 1.619 × 103 | 1 | ||||||
| F17 | ||||||||||||||
| Mean | 9.523 × 105 | 3.471 × 106 | (+) | 4.498 × 106 | (+) | 3.934 × 106 | (+) | 4.162 × 106 | (+) | 2.465 × 107 | (+) | 5.458 × 106 | (+) | 1 |
| Std | 5.955 × 105 | 3.560 × 106 | 3.805 × 106 | 2.254 × 106 | 3.829 × 106 | 1.509 × 107 | 2.822 × 106 | 1 | ||||||
| Best | 1.749 × 105 | 2.135 × 105 | 6.167 × 105 | 5.872 × 105 | 4.604 × 105 | 5.010 × 106 | 8.116 × 105 | 1 | ||||||
| F18 | ||||||||||||||
| Mean | 1.755 × 104 | 6.693 × 106 | (+) | 3.283 × 107 | (+) | 4.737 × 106 | (+) | 4.483 × 107 | (+) | 4.699 × 108 | (+) | 2.029 × 107 | (+) | 1 |
| Std | 5.317 × 104 | 2.115 × 107 | 7.899 × 107 | 2.518 × 107 | 8.944 × 107 | 3.292 × 108 | 3.414 × 107 | 1 | ||||||
| Best | 4.259 × 103 | 4.029 × 103 | 4.991 × 103 | 2.652 × 103 | 5.343 × 103 | 5.885 × 107 | 7.092 × 104 | 3 | ||||||
| F19 | ||||||||||||||
| Mean | 1.969 × 103 | 2.003 × 103 | (+) | 1.978 × 103 | (=) | 1.992 × 103 | (+) | 1.976 × 103 | (=) | 2.107 × 103 | (+) | 2.039 × 103 | (+) | 1 |
| Std | 1.386 × 101 | 4.375 × 101 | 3.183 × 101 | 3.195 × 101 | 2.040 × 101 | 4.189 × 101 | 3.684 × 101 | 1 | ||||||
| Best | 1.922 × 103 | 1.936 × 103 | 1.930 × 103 | 1.923 × 103 | 1.935 × 103 | 2.031 × 103 | 1.968 × 103 | 1 | ||||||
| F20 | ||||||||||||||
| Mean | 6.053 × 103 | 2.064 × 104 | (+) | 1.962 × 104 | (+) | 2.017 × 104 | (+) | 1.672 × 104 | (+) | 4.270 × 104 | (+) | 1.785 × 104 | (+) | 1 |
| Std | 2.163 × 103 | 6.499 × 103 | 6.855 × 103 | 6.323 × 103 | 6.395 × 103 | 1.375 × 104 | 6.190 × 103 | 1 | ||||||
| Best | 2.896 × 103 | 8.259 × 103 | 7.163 × 103 | 8.762 × 103 | 5.341 × 103 | 2.314 × 104 | 3.871 × 103 | 1 | ||||||
| F21 | ||||||||||||||
| Mean | 8.273 × 105 | 2.457 × 106 | (+) | 2.720 × 106 | (+) | 1.622 × 106 | (+) | 2.206 × 106 | (+) | 6.058 × 106 | (+) | 3.603 × 106 | (+) | 1 |
| Std | 5.890 × 105 | 2.660 × 106 | 1.883 × 106 | 8.313 × 105 | 1.652 × 106 | 3.028 × 106 | 2.866 × 106 | 1 | ||||||
| Best | 1.699 × 105 | 1.668 × 105 | 8.727 × 105 | 4.146 × 105 | 3.807 × 105 | 1.712 × 106 | 5.435 × 105 | 2 | ||||||
| F22 | ||||||||||||||
| Mean | 2.663 × 103 | 3.127 × 103 | (+) | 3.064 × 103 | (+) | 3.544 × 103 | (+) | 2.970 × 103 | (+) | 3.980 × 103 | (+) | 3.663 × 103 | (+) | 1 |
| Std | 2.390 × 102 | 3.180 × 102 | 2.812 × 102 | 3.128 × 102 | 2.820 × 102 | 3.153 × 102 | 5.308 × 102 | 1 | ||||||
| Best | 2.250 × 103 | 2.742 × 103 | 2.500 × 103 | 2.939 × 103 | 2.520 × 103 | 3.174 × 103 | 2.679 × 103 | 1 | ||||||
| F23 | ||||||||||||||
| Mean | 2.669 × 103 | 2.719 × 103 | (+) | 2.722 × 103 | (+) | 2.697 × 103 | (+) | 2.726 × 103 | (+) | 2.858 × 103 | (+) | 2.727 × 103 | (+) | 1 |
| Std | 6.374 × 100 | 3.218 × 101 | 3.835 × 101 | 4.114 × 101 | 2.521 × 101 | 5.087 × 101 | 3.042 × 101 | 1 | ||||||
| Best | 2.660 × 103 | 2.675 × 103 | 2.666 × 103 | 2.658 × 103 | 2.679 × 103 | 2.781 × 103 | 2.682 × 103 | 2 | ||||||
| F24 | ||||||||||||||
| Mean | 2.628 × 103 | 2.602 × 103 | (−) | 2.600 × 103 | (−) | 2.600 × 103 | (−) | 2.600 × 103 | (−) | 2.600 × 103 | (−) | 2.600 × 103 | (−) | 7 |
| Std | 2.890 × 101 | 1.030 × 101 | 1.815 × 10−3 | 7.373 × 10−3 | 1.964 × 10−3 | 3.405 × 10−4 | 1.188 × 10−3 | 7 | ||||||
| Best | 2.600 × 103 | 2.600 × 103 | 2.600 × 103 | 2.600 × 103 | 2.600 × 103 | 2.600 × 103 | 2.600 × 103 | 7 | ||||||
| F25 | ||||||||||||||
| Mean | 2.709 × 103 | 2.712 × 103 | (=) | 2.725 × 103 | (+) | 2.700 × 103 | (−) | 2.728 × 103 | (+) | 2.700 × 103 | (−) | 2.725 × 103 | (+) | 3 |
| Std | 1.043 × 101 | 1.306 × 101 | 9.457 × 100 | 0.000 × 100 | 3.771 × 100 | 0.000 × 100 | 5.785 × 100 | 6 | ||||||
| Best | 2.700 × 103 | 2.700 × 103 | 2.700 × 103 | 2.700 × 103 | 2.719 × 103 | 2.700 × 103 | 2.700 × 103 | 1 | ||||||
| F26 | ||||||||||||||
| Mean | 2.787 × 103 | 2.795 × 103 | (=) | 2.780 × 103 | (=) | 2.754 × 103 | (−) | 2.767 × 103 | (−) | 2.797 × 103 | (+) | 2.790 × 103 | (=) | 4 |
| Std | 3.392 × 101 | 3.958 × 101 | 3.982 × 101 | 6.875 × 101 | 4.691 × 101 | 1.740 × 101 | 2.980 × 101 | 3 | ||||||
| Best | 2.700 × 103 | 2.701 × 103 | 2.701 × 103 | 2.700 × 103 | 2.700 × 103 | 2.703 × 103 | 2.701 × 103 | 1 | ||||||
| F27 | ||||||||||||||
| Mean | 3.385 × 103 | 3.648 × 103 | (+) | 3.731 × 103 | (+) | 4.380 × 103 | (+) | 3.721 × 103 | (+) | 4.486 × 103 | (+) | 4.316 × 103 | (+) | 1 |
| Std | 5.620 × 101 | 1.207 × 102 | 1.033 × 102 | 1.276 × 102 | 1.061 × 102 | 9.186 × 101 | 1.552 × 102 | 1 | ||||||
| Best | 3.258 × 103 | 3.446 × 103 | 3.544 × 103 | 4.077 × 103 | 3.479 × 103 | 4.295 × 103 | 3.826 × 103 | 1 | ||||||
| F28 | ||||||||||||||
| Mean | 4.116 × 103 | 5.493 × 103 | (+) | 4.766 × 103 | (+) | 5.976 × 103 | (+) | 4.931 × 103 | (+) | 9.600 × 103 | (+) | 5.225 × 103 | (+) | 1 |
| Std | 5.634 × 101 | 6.954 × 102 | 4.491 × 102 | 8.184 × 102 | 5.089 × 102 | 2.643 × 103 | 8.198 × 102 | 1 | ||||||
| Best | 3.995 × 103 | 4.272 × 103 | 4.187 × 103 | 4.412 × 103 | 4.203 × 103 | 3.000 × 103 | 4.265 × 103 | 2 | ||||||
| F29 | ||||||||||||||
| Mean | 4.174 × 104 | 7.466 × 106 | (+) | 2.329 × 106 | (+) | 1.931 × 107 | (+) | 3.328 × 106 | (+) | 1.507 × 108 | (+) | 2.014 × 106 | (+) | 1 |
| Std | 1.328 × 104 | 1.100 × 107 | 4.837 × 106 | 2.559 × 107 | 6.124 × 106 | 5.230 × 107 | 2.365 × 106 | 1 | ||||||
| Best | 2.126 × 104 | 3.442 × 104 | 2.960 × 104 | 1.978 × 104 | 3.269 × 104 | 5.878 × 107 | 2.975 × 104 | 2 | ||||||
| F30 | ||||||||||||||
| Mean | 4.903 × 104 | 1.384 × 105 | (+) | 1.366 × 105 | (+) | 9.402 × 104 | (+) | 1.443 × 105 | (+) | 1.409 × 106 | (+) | 1.798 × 105 | (+) | 1 |
| Std | 1.620 × 104 | 9.356 × 104 | 7.173 × 104 | 6.648 × 104 | 8.516 × 104 | 6.593 × 105 | 8.644 × 104 | 1 | ||||||
| Best | 2.852 × 104 | 2.939 × 104 | 5.174 × 104 | 3.218 × 104 | 5.086 × 104 | 3.242 × 105 | 3.266 × 104 | 1 | ||||||
| W/T/L | -/-/- | 12/2/1 | 12/2/1 | 12/0/3 | 12/1/2 | 13/0/2 | 13/1/1 | |||||||
| AtGWO | GWO_T | GWO | MELGWO | SOGWO | AGWO | BGWO | ||||||||
|---|---|---|---|---|---|---|---|---|---|---|---|---|---|---|
| F1 | Rank | |||||||||||||
| Mean | 1.194 × 108 | 9.124 × 108 | (+) | 1.077 × 109 | (+) | 3.616 × 108 | (=) | 1.028 × 109 | (+) | 6.519 × 109 | (+) | 5.247 × 108 | (+) | 1 |
| Std | 1.253 × 108 | 9.560 × 108 | 8.583 × 108 | 5.039 × 108 | 7.132 × 108 | 1.894 × 109 | 4.822 × 108 | 1 | ||||||
| Best | 3.129 × 106 | 3.281 × 107 | 5.551 × 107 | 5.215 × 105 | 6.864 × 106 | 3.637 × 109 | 5.951 × 107 | 2 | ||||||
| F3 | ||||||||||||||
| Mean | 9.677 × 103 | 1.190 × 104 | (+) | 3.999 × 104 | (+) | 2.688 × 104 | (+) | 3.548 × 104 | (+) | 5.528 × 104 | (+) | 2.425 × 104 | (+) | 1 |
| Std | 4.166 × 103 | 3.364 × 103 | 1.095 × 104 | 9.226 × 103 | 1.044 × 104 | 1.076 × 104 | 6.986 × 103 | 2 | ||||||
| Best | 4.170 × 103 | 6.612 × 103 | 2.318 × 104 | 1.347 × 104 | 1.751 × 104 | 3.245 × 104 | 1.144 × 104 | 1 | ||||||
| F4 | ||||||||||||||
| Mean | 5.289 × 102 | 5.575 × 102 | (+) | 5.631 × 102 | (+) | 5.566 × 102 | (+) | 5.594 × 102 | (+) | 8.731 × 102 | (+) | 5.405 × 102 | (=) | 1 |
| Std | 1.998 × 101 | 4.861 × 101 | 4.120 × 101 | 6.054 × 101 | 4.619 × 101 | 1.558 × 102 | 2.614 × 101 | 1 | ||||||
| Best | 4.723 × 102 | 4.913 × 102 | 5.063 × 102 | 4.808 × 102 | 5.015 × 102 | 6.535 × 102 | 5.023 × 102 | 1 | ||||||
| F5 | ||||||||||||||
| Mean | 5.446 × 102 | 5.801 × 102 | (+) | 5.989 × 102 | (+) | 6.488 × 102 | (+) | 5.903 × 102 | (+) | 7.401 × 102 | (+) | 6.271 × 102 | (+) | 1 |
| Std | 1.216 × 101 | 4.748 × 101 | 4.747 × 101 | 2.939 × 101 | 3.341 × 101 | 2.410 × 101 | 5.397 × 101 | 1 | ||||||
| Best | 5.259 × 102 | 5.392 × 102 | 5.455 × 102 | 5.993 × 102 | 5.521 × 102 | 6.954 × 102 | 5.481 × 102 | 1 | ||||||
| F6 | ||||||||||||||
| Mean | 6.006 × 102 | 6.044 × 102 | (+) | 6.052 × 102 | (+) | 6.349 × 102 | (+) | 6.054 × 102 | (+) | 6.488 × 102 | (+) | 6.064 × 102 | (+) | 1 |
| Std | 3.431 × 10−1 | 3.001 × 100 | 2.198 × 100 | 6.516 × 100 | 2.335 × 100 | 7.557 × 100 | 2.650 × 100 | 1 | ||||||
| Best | 6.001 × 102 | 6.007 × 102 | 6.011 × 102 | 6.156 × 102 | 6.014 × 102 | 6.356 × 102 | 6.032 × 102 | 1 | ||||||
| F7 | ||||||||||||||
| Mean | 7.874 × 102 | 8.150 × 102 | (+) | 8.437 × 102 | (+) | 9.387 × 102 | (+) | 8.502 × 102 | (+) | 1.056 × 103 | (+) | 8.726 × 102 | (+) | 1 |
| Std | 1.757 × 101 | 5.072 × 101 | 3.381 × 101 | 5.696 × 101 | 4.518 × 101 | 4.502 × 101 | 4.762 × 101 | 1 | ||||||
| Best | 7.595 × 102 | 7.581 × 102 | 7.863 × 102 | 8.155 × 102 | 7.835 × 102 | 9.631 × 102 | 8.089 × 102 | 2 | ||||||
| F8 | ||||||||||||||
| Mean | 8.427 × 102 | 8.788 × 102 | (+) | 8.866 × 102 | (+) | 9.197 × 102 | (+) | 8.786 × 102 | (+) | 9.890 × 102 | (+) | 9.044 × 102 | (+) | 1 |
| Std | 1.280 × 101 | 4.514 × 101 | 2.985 × 101 | 2.457 × 101 | 2.869 × 101 | 2.455 × 101 | 4.977 × 101 | 1 | ||||||
| Best | 8.221 × 102 | 8.285 × 102 | 8.527 × 102 | 8.793 × 102 | 8.385 × 102 | 9.390 × 102 | 8.608 × 102 | 1 | ||||||
| F9 | ||||||||||||||
| Mean | 9.610 × 102 | 1.325 × 103 | (+) | 1.623 × 103 | (+) | 3.256 × 103 | (+) | 1.539 × 103 | (+) | 5.218 × 103 | (+) | 1.578 × 103 | (+) | 1 |
| Std | 7.193 × 101 | 2.533 × 102 | 6.210 × 102 | 8.053 × 102 | 4.310 × 102 | 1.109 × 103 | 4.459 × 102 | 1 | ||||||
| Best | 9.072 × 102 | 9.471 × 102 | 1.006 × 103 | 2.105 × 103 | 1.079 × 103 | 2.492 × 103 | 9.394 × 102 | 1 | ||||||
| F10 | ||||||||||||||
| Mean | 3.696 × 103 | 3.837 × 103 | (=) | 3.982 × 103 | (=) | 5.051 × 103 | (+) | 4.501 × 103 | (+) | 6.417 × 103 | (+) | 5.338 × 103 | (+) | 1 |
| Std | 5.784 × 102 | 5.167 × 102 | 6.815 × 102 | 4.899 × 102 | 1.089 × 103 | 7.370 × 102 | 1.750 × 103 | 3 | ||||||
| Best | 2.778 × 103 | 2.899 × 103 | 2.709 × 103 | 3.901 × 103 | 2.601 × 103 | 5.229 × 103 | 3.393 × 103 | 3 | ||||||
| F11 | ||||||||||||||
| Mean | 1.261 × 103 | 1.408 × 103 | (+) | 1.452 × 103 | (+) | 1.308 × 103 | (+) | 1.391 × 103 | (+) | 2.340 × 103 | (+) | 1.379 × 103 | (+) | 1 |
| Std | 2.598 × 101 | 1.510 × 102 | 4.121 × 102 | 5.812 × 101 | 1.218 × 102 | 8.400 × 102 | 1.479 × 102 | 1 | ||||||
| Best | 1.207 × 103 | 1.255 × 103 | 1.255 × 103 | 1.203 × 103 | 1.266 × 103 | 1.500 × 103 | 1.259 × 103 | 2 | ||||||
| F12 | ||||||||||||||
| Mean | 8.585 × 106 | 3.677 × 107 | (+) | 5.062 × 107 | (+) | 1.883 × 107 | (+) | 6.630 × 107 | (+) | 1.908 × 108 | (+) | 3.097 × 107 | (+) | 1 |
| Std | 9.595 × 106 | 4.572 × 107 | 5.911 × 107 | 1.746 × 107 | 7.653 × 107 | 1.702 × 108 | 2.069 × 107 | 1 | ||||||
| Best | 7.076 × 105 | 1.902 × 106 | 3.368 × 106 | 2.871 × 106 | 1.067 × 106 | 4.249 × 107 | 3.820 × 106 | 1 | ||||||
| F13 | ||||||||||||||
| Mean | 7.180 × 104 | 6.392 × 104 | (=) | 1.463 × 106 | (+) | 1.005 × 105 | (=) | 6.443 × 106 | (+) | 7.562 × 107 | (+) | 3.751 × 106 | (+) | 2 |
| Std | 4.258 × 104 | 2.482 × 104 | 4.918 × 106 | 1.163 × 105 | 2.481 × 107 | 1.377 × 108 | 1.235 × 107 | 2 | ||||||
| Best | 1.778 × 104 | 2.927 × 104 | 3.870 × 104 | 1.610 × 104 | 2.536 × 104 | 1.484 × 105 | 2.197 × 105 | 2 | ||||||
| F14 | ||||||||||||||
| Mean | 2.085 × 104 | 2.983 × 105 | (+) | 2.401 × 105 | (+) | 6.059 × 104 | (+) | 2.290 × 105 | (+) | 6.098 × 105 | (+) | 1.364 × 105 | (+) | 1 |
| Std | 2.417 × 104 | 3.949 × 105 | 4.233 × 105 | 5.583 × 104 | 4.100 × 105 | 7.248 × 105 | 2.094 × 105 | 1 | ||||||
| Best | 1.902 × 103 | 2.120 × 103 | 3.451 × 103 | 3.046 × 103 | 6.761 × 103 | 9.144 × 103 | 6.939 × 103 | 1 | ||||||
| F15 | ||||||||||||||
| Mean | 3.629 × 104 | 1.189 × 105 | (=) | 1.006 × 105 | (+) | 2.355 × 104 | (−) | 3.336 × 105 | (+) | 2.280 × 106 | (+) | 6.994 × 104 | (+) | 2 |
| Std | 1.711 × 104 | 2.306 × 105 | 2.010 × 105 | 1.100 × 104 | 6.651 × 105 | 7.085 × 106 | 4.875 × 104 | 2 | ||||||
| Best | 1.251 × 104 | 1.073 × 104 | 1.062 × 104 | 7.092 × 103 | 1.597 × 104 | 1.959 × 104 | 7.012 × 103 | 5 | ||||||
| W/T/L | -/-/- | 11/3/0 | 13/1/0 | 11/2/1 | 14/0/0 | 14/0/0 | 13/1/0 | |||||||
| AtGWO | GWO_T | GWO | MELGWO | SOGWO | AGWO | BGWO | ||||||||
|---|---|---|---|---|---|---|---|---|---|---|---|---|---|---|
| F16 | Rank | |||||||||||||
| Mean | 2.127 × 103 | 2.361 × 103 | (+) | 2.451 × 103 | (+) | 2.748 × 103 | (+) | 2.460 × 103 | (+) | 2.987 × 103 | (+) | 2.493 × 103 | (+) | 1 |
| Std | 2.202 × 102 | 2.605 × 102 | 3.459 × 102 | 3.080 × 102 | 3.122 × 102 | 2.943 × 102 | 3.827 × 102 | 1 | ||||||
| Best | 1.768 × 103 | 1.879 × 103 | 1.898 × 103 | 2.127 × 103 | 1.927 × 103 | 2.390 × 103 | 1.964 × 103 | 1 | ||||||
| F17 | ||||||||||||||
| Mean | 1.817 × 103 | 1.967 × 103 | (+) | 1.951 × 103 | (+) | 2.213 × 103 | (+) | 1.953 × 103 | (+) | 2.292 × 103 | (+) | 1.993 × 103 | (+) | 1 |
| Std | 6.173 × 101 | 1.405 × 102 | 1.234 × 102 | 1.980 × 102 | 1.215 × 102 | 2.306 × 102 | 1.474 × 102 | 1 | ||||||
| Best | 1.747 × 103 | 1.782 × 103 | 1.774 × 103 | 1.868 × 103 | 1.773 × 103 | 1.875 × 103 | 1.783 × 103 | 1 | ||||||
| F18 | ||||||||||||||
| Mean | 3.956 × 105 | 7.177 × 105 | (+) | 1.289 × 106 | (+) | 6.266 × 105 | (=) | 9.883 × 105 | (+) | 2.613 × 106 | (+) | 1.370 × 106 | (+) | 1 |
| Std | 3.469 × 105 | 6.038 × 105 | 1.595 × 106 | 5.045 × 105 | 1.219 × 106 | 4.997 × 106 | 1.470 × 106 | 1 | ||||||
| Best | 2.679 × 104 | 1.577 × 105 | 4.433 × 104 | 6.148 × 104 | 6.008 × 104 | 6.828 × 104 | 1.447 × 105 | 1 | ||||||
| F19 | ||||||||||||||
| Mean | 8.034 × 104 | 5.792 × 105 | (+) | 4.819 × 105 | (+) | 2.273 × 104 | (−) | 1.962 × 106 | (+) | 1.005 × 106 | (+) | 6.545 × 105 | (+) | 2 |
| Std | 1.003 × 105 | 5.852 × 105 | 6.113 × 105 | 1.960 × 104 | 6.627 × 106 | 7.179 × 105 | 6.057 × 105 | 2 | ||||||
| Best | 4.607 × 103 | 1.440 × 104 | 3.787 × 103 | 2.412 × 103 | 1.109 × 104 | 9.586 × 103 | 1.907 × 104 | 3 | ||||||
| F20 | ||||||||||||||
| Mean | 2.209 × 103 | 2.333 × 103 | (+) | 2.357 × 103 | (+) | 2.539 × 103 | (+) | 2.337 × 103 | (+) | 2.564 × 103 | (+) | 2.338 × 103 | (+) | 1 |
| Std | 7.574 × 101 | 9.027 × 101 | 1.183 × 102 | 1.862 × 102 | 1.322 × 102 | 1.766 × 102 | 9.301 × 101 | 1 | ||||||
| Best | 2.088 × 103 | 2.160 × 103 | 2.129 × 103 | 2.196 × 103 | 2.123 × 103 | 2.298 × 103 | 2.136 × 103 | 1 | ||||||
| F21 | ||||||||||||||
| Mean | 2.344 × 103 | 2.379 × 103 | (+) | 2.385 × 103 | (+) | 2.431 × 103 | (+) | 2.378 × 103 | (+) | 2.507 × 103 | (+) | 2.406 × 103 | (+) | 1 |
| Std | 1.144 × 101 | 4.891 × 101 | 4.087 × 101 | 2.822 × 101 | 1.789 × 101 | 2.854 × 101 | 4.071 × 101 | 1 | ||||||
| Best | 2.324 × 103 | 2.337 × 103 | 2.344 × 103 | 2.380 × 103 | 2.338 × 103 | 2.463 × 103 | 2.360 × 103 | 1 | ||||||
| F22 | ||||||||||||||
| Mean | 2.597 × 103 | 3.573 × 103 | (+) | 4.439 × 103 | (+) | 4.666 × 103 | (+) | 4.684 × 103 | (+) | 4.060 × 103 | (+) | 5.104 × 103 | (+) | 1 |
| Std | 8.855 × 102 | 1.548 × 103 | 1.682 × 103 | 2.018 × 103 | 1.934 × 103 | 1.894 × 103 | 2.514 × 103 | 1 | ||||||
| Best | 2.313 × 103 | 2.377 × 103 | 2.422 × 103 | 2.315 × 103 | 2.353 × 103 | 2.801 × 103 | 2.364 × 103 | 1 | ||||||
| F23 | ||||||||||||||
| Mean | 2.679 × 103 | 2.743 × 103 | (+) | 2.754 × 103 | (+) | 2.806 × 103 | (+) | 2.746 × 103 | (+) | 2.976 × 103 | (+) | 2.765 × 103 | (+) | 1 |
| Std | 8.859 × 100 | 3.886 × 101 | 4.798 × 101 | 3.583 × 101 | 4.385 × 101 | 3.607 × 101 | 5.432 × 101 | 1 | ||||||
| Best | 2.659 × 103 | 2.683 × 103 | 2.702 × 103 | 2.720 × 103 | 2.687 × 103 | 2.887 × 103 | 2.703 × 103 | 1 | ||||||
| F24 | ||||||||||||||
| Mean | 2.852 × 103 | 2.903 × 103 | (+) | 2.915 × 103 | (+) | 2.943 × 103 | (+) | 2.909 × 103 | (+) | 3.165 × 103 | (+) | 2.997 × 103 | (+) | 1 |
| Std | 1.225 × 101 | 5.073 × 101 | 5.530 × 101 | 2.680 × 101 | 4.824 × 101 | 3.471 × 101 | 6.215 × 101 | 1 | ||||||
| Best | 2.827 × 103 | 2.845 × 103 | 2.869 × 103 | 2.890 × 103 | 2.849 × 103 | 3.096 × 103 | 2.879 × 103 | 1 | ||||||
| F25 | ||||||||||||||
| Mean | 2.926 × 103 | 2.965 × 103 | (+) | 2.966 × 103 | (+) | 2.952 × 103 | (+) | 2.964 × 103 | (+) | 3.080 × 103 | (+) | 2.942 × 103 | (+) | 1 |
| Std | 9.452 × 100 | 2.956 × 101 | 2.652 × 101 | 2.915 × 101 | 2.017 × 101 | 4.354 × 101 | 2.037 × 101 | 1 | ||||||
| Best | 2.901 × 103 | 2.909 × 103 | 2.928 × 103 | 2.901 × 103 | 2.925 × 103 | 3.001 × 103 | 2.899 × 103 | 2 | ||||||
| F26 | ||||||||||||||
| Mean | 3.904 × 103 | 4.400 × 103 | (+) | 4.483 × 103 | (+) | 5.524 × 103 | (+) | 4.630 × 103 | (+) | 6.387 × 103 | (+) | 4.901 × 103 | (+) | 1 |
| Std | 2.565 × 102 | 2.896 × 102 | 3.095 × 102 | 6.439 × 102 | 4.169 × 102 | 5.930 × 102 | 5.514 × 102 | 1 | ||||||
| Best | 3.155 × 103 | 3.427 × 103 | 3.425 × 103 | 3.780 × 103 | 3.421 × 103 | 4.819 × 103 | 4.175 × 103 | 1 | ||||||
| F27 | ||||||||||||||
| Mean | 3.220 × 103 | 3.253 × 103 | (+) | 3.239 × 103 | (+) | 3.265 × 103 | (+) | 3.236 × 103 | (+) | 3.350 × 103 | (+) | 3.426 × 103 | (+) | 1 |
| Std | 8.878 × 100 | 2.747 × 101 | 1.778 × 101 | 3.107 × 101 | 1.717 × 101 | 6.053 × 101 | 2.225 × 102 | 1 | ||||||
| Best | 3.208 × 103 | 3.222 × 103 | 3.208 × 103 | 3.224 × 103 | 3.208 × 103 | 3.258 × 103 | 3.219 × 103 | 2 | ||||||
| F28 | ||||||||||||||
| Mean | 3.275 × 103 | 3.432 × 103 | (+) | 3.365 × 103 | (+) | 3.351 × 103 | (+) | 3.384 × 103 | (+) | 3.606 × 103 | (+) | 7.144 × 103 | (+) | 1 |
| Std | 3.250 × 101 | 1.185 × 102 | 4.597 × 101 | 5.000 × 101 | 5.587 × 101 | 9.257 × 101 | 3.078 × 103 | 1 | ||||||
| Best | 3.222 × 103 | 3.303 × 103 | 3.285 × 103 | 3.263 × 103 | 3.299 × 103 | 3.483 × 103 | 3.298 × 103 | 1 | ||||||
| F29 | ||||||||||||||
| Mean | 3.494 × 103 | 3.711 × 103 | (+) | 3.732 × 103 | (+) | 4.269 × 103 | (+) | 3.737 × 103 | (+) | 4.387 × 103 | (+) | 3.788 × 103 | (+) | 1 |
| Std | 7.449 × 101 | 1.172 × 102 | 1.137 × 102 | 2.534 × 102 | 1.322 × 102 | 2.399 × 102 | 1.286 × 102 | 1 | ||||||
| Best | 3.395 × 103 | 3.499 × 103 | 3.500 × 103 | 3.887 × 103 | 3.494 × 103 | 3.970 × 103 | 3.561 × 103 | 1 | ||||||
| F30 | ||||||||||||||
| Mean | 2.333 × 106 | 8.149 × 106 | (+) | 6.022 × 106 | (+) | 1.483 × 106 | (=) | 6.626 × 106 | (+) | 1.410 × 107 | (+) | 7.855 × 106 | (+) | 2 |
| Std | 1.846 × 106 | 5.645 × 106 | 5.086 × 106 | 1.138 × 106 | 4.858 × 106 | 9.160 × 106 | 4.777 × 106 | 2 | ||||||
| Best | 1.498 × 105 | 1.441 × 106 | 7.911 × 105 | 2.781 × 105 | 7.945 × 105 | 1.641 × 106 | 8.498 × 105 | 1 | ||||||
| W/T/L | -/-/- | 15/0/0 | 15/0/0 | 12/2/1 | 15/0/0 | 15/0/0 | 15/0/0 | |||||||
| AtGWO | GWO_T | GWO | MELGWO | SOGWO | AGWO | BGWO | ||||||||
|---|---|---|---|---|---|---|---|---|---|---|---|---|---|---|
| F1 | Rank | |||||||||||||
| Mean | 5.249 × 109 | 2.625 × 1010 | (+) | 3.054 × 1010 | (+) | 3.521 × 1010 | (+) | 3.133 × 1010 | (+) | 1.138 × 1011 | (+) | 1.517 × 1010 | (+) | 1 |
| Std | 2.025 × 109 | 6.766 × 109 | 8.846 × 109 | 1.129 × 1010 | 6.447 × 109 | 7.309 × 109 | 4.210 × 109 | 1 | ||||||
| Best | 1.861 × 109 | 1.131 × 1010 | 1.503 × 1010 | 1.135 × 1010 | 2.034 × 1010 | 1.025 × 1011 | 7.098 × 109 | 1 | ||||||
| F3 | ||||||||||||||
| Mean | 1.765 × 105 | 2.522 × 105 | (+) | 2.233 × 105 | (+) | 2.739 × 105 | (+) | 2.176 × 105 | (+) | 3.064 × 105 | (+) | 2.076 × 105 | (+) | 1 |
| Std | 2.205 × 104 | 2.791 × 104 | 2.405 × 104 | 2.915 × 104 | 2.313 × 104 | 1.323 × 104 | 1.883 × 104 | 3 | ||||||
| Best | 1.340 × 105 | 1.895 × 105 | 1.875 × 105 | 2.116 × 105 | 1.575 × 105 | 2.797 × 105 | 1.668 × 105 | 1 | ||||||
| F4 | ||||||||||||||
| Mean | 1.232 × 103 | 2.880 × 103 | (+) | 2.864 × 103 | (+) | 4.168 × 103 | (+) | 2.779 × 103 | (+) | 1.500 × 104 | (+) | 1.769 × 103 | (+) | 1 |
| Std | 1.801 × 102 | 7.343 × 102 | 6.821 × 102 | 1.186 × 103 | 7.083 × 102 | 1.800 × 103 | 3.295 × 102 | 1 | ||||||
| Best | 9.772 × 102 | 1.813 × 103 | 1.824 × 103 | 2.035 × 103 | 1.580 × 103 | 1.189 × 104 | 1.115 × 103 | 1 | ||||||
| F5 | ||||||||||||||
| Mean | 7.917 × 102 | 9.546 × 102 | (+) | 1.070 × 103 | (+) | 1.294 × 103 | (+) | 1.068 × 103 | (+) | 1.719 × 103 | (+) | 1.167 × 103 | (+) | 1 |
| Std | 3.428 × 101 | 4.323 × 101 | 5.791 × 101 | 6.933 × 101 | 1.087 × 102 | 5.608 × 101 | 2.224 × 102 | 1 | ||||||
| Best | 7.133 × 102 | 8.600 × 102 | 9.786 × 102 | 1.178 × 103 | 9.076 × 102 | 1.573 × 103 | 9.782 × 102 | 1 | ||||||
| F6 | ||||||||||||||
| Mean | 6.070 × 102 | 6.188 × 102 | (+) | 6.300 × 102 | (+) | 6.632 × 102 | (+) | 6.301 × 102 | (+) | 6.862 × 102 | (+) | 6.311 × 102 | (+) | 1 |
| Std | 1.909 × 100 | 3.508 × 100 | 4.896 × 100 | 4.494 × 100 | 4.880 × 100 | 3.482 × 100 | 3.994 × 100 | 1 | ||||||
| Best | 6.040 × 102 | 6.138 × 102 | 6.226 × 102 | 6.552 × 102 | 6.201 × 102 | 6.791 × 102 | 6.224 × 102 | 1 | ||||||
| F7 | ||||||||||||||
| Mean | 1.210 × 103 | 1.472 × 103 | (+) | 1.764 × 103 | (+) | 2.759 × 103 | (+) | 1.788 × 103 | (+) | 3.011 × 103 | (+) | 1.704 × 103 | (+) | 1 |
| Std | 5.369 × 101 | 1.067 × 102 | 8.896 × 101 | 1.631 × 102 | 1.357 × 102 | 1.169 × 102 | 1.196 × 102 | 1 | ||||||
| Best | 1.124 × 103 | 1.302 × 103 | 1.608 × 103 | 2.498 × 103 | 1.590 × 103 | 2.840 × 103 | 1.512 × 103 | 1 | ||||||
| F8 | ||||||||||||||
| Mean | 1.086 × 103 | 1.271 × 103 | (+) | 1.387 × 103 | (+) | 1.656 × 103 | (+) | 1.346 × 103 | (+) | 2.112 × 103 | (+) | 1.477 × 103 | (+) | 1 |
| Std | 3.911 × 101 | 6.398 × 101 | 5.007 × 101 | 8.901 × 101 | 6.335 × 101 | 4.954 × 101 | 2.368 × 102 | 1 | ||||||
| Best | 1.007 × 103 | 1.143 × 103 | 1.275 × 103 | 1.452 × 103 | 1.186 × 103 | 2.042 × 103 | 1.242 × 103 | 1 | ||||||
| F9 | ||||||||||||||
| Mean | 4.072 × 103 | 1.664 × 104 | (+) | 2.576 × 104 | (+) | 2.718 × 104 | (+) | 2.553 × 104 | (+) | 6.253 × 104 | (+) | 2.963 × 104 | (+) | 1 |
| Std | 1.096 × 103 | 8.779 × 103 | 1.021 × 104 | 6.811 × 103 | 9.509 × 103 | 4.001 × 103 | 1.032 × 104 | 1 | ||||||
| Best | 1.971 × 103 | 9.480 × 103 | 1.400 × 104 | 2.222 × 104 | 1.288 × 104 | 5.566 × 104 | 1.302 × 104 | 1 | ||||||
| F10 | ||||||||||||||
| Mean | 1.306 × 104 | 1.480 × 104 | (=) | 1.463 × 104 | (=) | 1.776 × 104 | (+) | 1.429 × 104 | (+) | 2.783 × 104 | (+) | 2.224 × 104 | (+) | 1 |
| Std | 1.680 × 103 | 6.177 × 103 | 3.184 × 103 | 3.171 × 103 | 1.256 × 103 | 1.779 × 103 | 7.373 × 103 | 2 | ||||||
| Best | 9.379 × 103 | 1.030 × 104 | 1.196 × 104 | 1.360 × 104 | 1.153 × 104 | 2.431 × 104 | 1.237 × 104 | 1 | ||||||
| F11 | ||||||||||||||
| Mean | 6.413 × 103 | 3.187 × 104 | (+) | 4.203 × 104 | (+) | 3.318 × 104 | (+) | 4.336 × 104 | (+) | 9.855 × 104 | (+) | 2.029 × 104 | (+) | 1 |
| Std | 2.129 × 103 | 7.257 × 103 | 9.393 × 103 | 6.802 × 103 | 1.294 × 104 | 1.702 × 104 | 4.387 × 103 | 1 | ||||||
| Best | 3.280 × 103 | 1.097 × 104 | 2.314 × 104 | 1.880 × 104 | 2.249 × 104 | 6.951 × 104 | 1.102 × 104 | 1 | ||||||
| F12 | ||||||||||||||
| Mean | 8.573 × 108 | 3.925 × 109 | (+) | 5.730 × 109 | (+) | 5.070 × 109 | (+) | 4.492 × 109 | (+) | 3.482 × 1010 | (+) | 2.349 × 109 | (+) | 1 |
| Std | 4.619 × 108 | 2.760 × 109 | 3.285 × 109 | 5.498 × 109 | 1.565 × 109 | 5.157 × 109 | 1.309 × 109 | 1 | ||||||
| Best | 2.644 × 108 | 3.427 × 108 | 1.950 × 109 | 5.315 × 108 | 1.953 × 109 | 2.600 × 1010 | 6.944 × 108 | 1 | ||||||
| F13 | ||||||||||||||
| Mean | 6.326 × 107 | 3.129 × 108 | (+) | 5.538 × 108 | (+) | 4.021 × 108 | (=) | 3.474 × 108 | (=) | 4.572 × 109 | (+) | 5.316 × 107 | (=) | 2 |
| Std | 7.924 × 107 | 4.454 × 108 | 4.650 × 108 | 5.753 × 108 | 3.788 × 108 | 1.407 × 109 | 6.273 × 107 | 2 | ||||||
| Best | 4.616 × 104 | 6.703 × 105 | 1.792 × 106 | 4.637 × 105 | 4.616 × 105 | 2.013 × 109 | 1.167 × 106 | 1 | ||||||
| F14 | ||||||||||||||
| Mean | 1.910 × 106 | 3.822 × 106 | (+) | 4.916 × 106 | (+) | 2.992 × 106 | (+) | 4.982 × 106 | (+) | 9.771 × 106 | (+) | 3.436 × 106 | (+) | 1 |
| Std | 9.804 × 105 | 2.660 × 106 | 2.923 × 106 | 1.926 × 106 | 2.506 × 106 | 4.181 × 106 | 1.586 × 106 | 1 | ||||||
| Best | 5.451 × 105 | 8.199 × 105 | 1.035 × 106 | 6.347 × 105 | 1.507 × 106 | 3.172 × 106 | 9.133 × 105 | 1 | ||||||
| F15 | ||||||||||||||
| Mean | 1.262 × 107 | 3.353 × 107 | (=) | 1.400 × 108 | (+) | 1.541 × 107 | (−) | 1.356 × 108 | (+) | 8.042 × 108 | (+) | 1.080 × 107 | (=) | 2 |
| Std | 1.972 × 107 | 7.377 × 107 | 1.707 × 108 | 5.883 × 107 | 2.075 × 108 | 5.109 × 108 | 1.205 × 107 | 2 | ||||||
| Best | 2.805 × 104 | 2.599 × 104 | 6.749 × 104 | 3.460 × 104 | 6.083 × 105 | 2.895 × 108 | 4.325 × 105 | 2 | ||||||
| W/T/L | -/-/- | 12/2/0 | 13/1/0 | 12/1/1 | 13/1/0 | 14/0/0 | 12/2/0 | |||||||
| AtGWO | GWO_T | GWO | MELGWO | SOGWO | AGWO | BGWO | ||||||||
|---|---|---|---|---|---|---|---|---|---|---|---|---|---|---|
| F16 | ||||||||||||||
| Mean | 4.338 × 103 | 4.848 × 103 | (+) | 1.400 × 108 | (+) | 1.541 × 107 | (+) | 1.356 × 108 | (+) | 8.042 × 108 | (+) | 1.080 × 107 | (+) | 1 |
| Std | 5.790 × 102 | 5.947 × 102 | 1.707 × 108 | 5.883 × 107 | 2.075 × 108 | 5.109 × 108 | 1.205 × 107 | 1 | ||||||
| Best | 2.957 × 103 | 3.820 × 103 | 6.749 × 104 | 3.460 × 104 | 6.083 × 105 | 2.895 × 108 | 4.325 × 105 | 1 | ||||||
| F17 | ||||||||||||||
| Mean | 4.036 × 103 | 4.284 × 103 | (=) | 4.537 × 103 | (+) | 6.376 × 103 | (+) | 4.426 × 103 | (+) | 1.110 × 104 | (+) | 4.706 × 103 | (+) | 1 |
| Std | 4.982 × 102 | 4.401 × 102 | 5.326 × 102 | 7.829 × 102 | 4.651 × 102 | 4.591 × 103 | 7.393 × 102 | 3 | ||||||
| Best | 2.840 × 103 | 3.462 × 103 | 3.544 × 103 | 4.873 × 103 | 3.252 × 103 | 7.431 × 103 | 3.737 × 103 | 1 | ||||||
| F18 | ||||||||||||||
| Mean | 1.966 × 106 | 4.332 × 106 | (+) | 4.019 × 106 | (+) | 3.332 × 106 | (+) | 4.828 × 106 | (+) | 1.240 × 107 | (+) | 4.743 × 106 | (+) | 1 |
| Std | 8.724 × 105 | 3.321 × 106 | 2.523 × 106 | 2.221 × 106 | 4.137 × 106 | 7.563 × 106 | 2.130 × 106 | 1 | ||||||
| Best | 8.149 × 105 | 7.778 × 105 | 7.901 × 105 | 5.932 × 105 | 1.104 × 106 | 2.363 × 106 | 1.027 × 106 | 4 | ||||||
| F19 | ||||||||||||||
| Mean | 8.345 × 106 | 3.679 × 107 | (+) | 1.102 × 108 | (+) | 9.103 × 106 | (+) | 6.763 × 107 | (+) | 7.294 × 108 | (+) | 1.445 × 107 | (+) | 1 |
| Std | 5.801 × 106 | 6.487 × 107 | 1.532 × 108 | 1.937 × 107 | 5.731 × 107 | 4.315 × 108 | 1.360 × 107 | 1 | ||||||
| Best | 6.240 × 105 | 2.992 × 106 | 3.758 × 106 | 7.413 × 105 | 6.230 × 106 | 2.482 × 108 | 8.154 × 105 | 1 | ||||||
| F20 | ||||||||||||||
| Mean | 3.878 × 103 | 4.471 × 103 | (+) | 4.632 × 103 | (+) | 5.191 × 103 | (+) | 4.659 × 103 | (+) | 6.228 × 103 | (+) | 5.343 × 103 | (+) | 1 |
| Std | 5.088 × 102 | 9.582 × 102 | 6.998 × 102 | 5.062 × 102 | 9.340 × 102 | 5.011 × 102 | 1.311 × 103 | 3 | ||||||
| Best | 2.992 × 103 | 3.178 × 103 | 3.713 × 103 | 4.121 × 103 | 3.403 × 103 | 4.987 × 103 | 3.662 × 103 | 1 | ||||||
| F21 | ||||||||||||||
| Mean | 2.570 × 103 | 2.815 × 103 | (+) | 2.887 × 103 | (+) | 3.230 × 103 | (+) | 2.874 × 103 | (+) | 3.800 × 103 | (+) | 3.048 × 103 | (+) | 1 |
| Std | 3.022 × 101 | 1.544 × 102 | 5.447 × 101 | 1.208 × 102 | 5.734 × 101 | 7.088 × 101 | 2.569 × 102 | 1 | ||||||
| Best | 2.489 × 103 | 2.656 × 103 | 2.776 × 103 | 2.985 × 103 | 2.777 × 103 | 3.647 × 103 | 2.775 × 103 | 1 | ||||||
| F22 | ||||||||||||||
| Mean | 1.536 × 104 | 1.566 × 104 | (=) | 1.778 × 104 | (+) | 2.091 × 104 | (+) | 1.808 × 104 | (+) | 3.080 × 104 | (+) | 2.816 × 104 | (+) | 1 |
| Std | 1.415 × 103 | 1.141 × 103 | 1.422 × 103 | 1.527 × 103 | 3.147 × 103 | 1.406 × 103 | 6.323 × 103 | 3 | ||||||
| Best | 1.286 × 104 | 1.337 × 104 | 1.465 × 104 | 1.688 × 104 | 1.426 × 104 | 2.848 × 104 | 1.734 × 104 | 1 | ||||||
| F23 | ||||||||||||||
| Mean | 3.082 × 103 | 3.438 × 103 | (+) | 3.425 × 103 | (+) | 3.857 × 103 | (+) | 3.424 × 103 | (+) | 4.888 × 103 | (+) | 3.519 × 103 | (+) | 1 |
| Std | 3.916 × 101 | 9.661 × 101 | 6.781 × 101 | 1.002 × 102 | 1.261 × 102 | 1.279 × 102 | 2.558 × 102 | 1 | ||||||
| Best | 2.972 × 103 | 3.309 × 103 | 3.300 × 103 | 3.635 × 103 | 3.265 × 103 | 4.667 × 103 | 3.259 × 103 | 1 | ||||||
| F24 | ||||||||||||||
| Mean | 3.522 × 103 | 4.020 × 103 | (+) | 3.973 × 103 | (+) | 4.456 × 103 | (+) | 3.957 × 103 | (+) | 6.445 × 103 | (+) | 3.986 × 103 | (+) | 1 |
| Std | 3.848 × 101 | 1.554 × 102 | 1.517 × 102 | 1.758 × 102 | 1.345 × 102 | 1.669 × 102 | 9.433 × 101 | 1 | ||||||
| Best | 3.455 × 103 | 3.759 × 103 | 3.735 × 103 | 4.080 × 103 | 3.724 × 103 | 6.157 × 103 | 3.822 × 103 | 1 | ||||||
| F25 | ||||||||||||||
| Mean | 4.100 × 103 | 5.125 × 103 | (+) | 5.475 × 103 | (+) | 5.377 × 103 | (+) | 5.412 × 103 | (+) | 9.673 × 103 | (+) | 4.384 × 103 | (+) | 1 |
| Std | 1.677 × 102 | 6.526 × 102 | 4.772 × 102 | 7.970 × 102 | 7.092 × 102 | 9.467 × 102 | 1.985 × 102 | 1 | ||||||
| Best | 3.741 × 103 | 4.205 × 103 | 4.739 × 103 | 4.408 × 103 | 4.712 × 103 | 8.278 × 103 | 4.083 × 103 | 1 | ||||||
| F26 | ||||||||||||||
| Mean | 8.548 × 103 | 1.334 × 104 | (+) | 1.270 × 104 | (+) | 2.126 × 104 | (+) | 1.280 × 104 | (+) | 3.111 × 104 | (+) | 1.398 × 104 | (+) | 1 |
| Std | 5.807 × 102 | 1.522 × 103 | 1.015 × 103 | 2.763 × 103 | 8.773 × 102 | 1.128 × 103 | 2.609 × 103 | 1 | ||||||
| Best | 7.559 × 103 | 1.041 × 104 | 1.088 × 104 | 1.637 × 104 | 1.124 × 104 | 2.831 × 104 | 1.086 × 104 | 1 | ||||||
| F27 | ||||||||||||||
| Mean | 3.594 × 103 | 3.893 × 103 | (+) | 3.873 × 103 | (+) | 4.415 × 103 | (+) | 3.895 × 103 | (+) | 6.254 × 103 | (+) | 5.606 × 103 | (+) | 1 |
| Std | 5.511 × 101 | 1.339 × 102 | 9.605 × 101 | 2.823 × 102 | 1.275 × 102 | 3.465 × 102 | 2.355 × 103 | 1 | ||||||
| Best | 3.512 × 103 | 3.691 × 103 | 3.575 × 103 | 4.044 × 103 | 3.655 × 103 | 5.548 × 103 | 3.643 × 103 | 1 | ||||||
| F28 | ||||||||||||||
| Mean | 4.260 × 103 | 6.969 × 103 | (=) | 7.050 × 103 | (+) | 6.868 × 103 | (=) | 6.892 × 103 | (=) | 1.366 × 104 | (+) | 3.405 × 104 | (+) | 1 |
| Std | 2.695 × 102 | 9.923 × 102 | 1.013 × 103 | 6.749 × 102 | 1.215 × 103 | 1.209 × 103 | 2.770 × 104 | 1 | ||||||
| Best | 3.817 × 103 | 4.798 × 103 | 5.726 × 103 | 5.590 × 103 | 4.743 × 103 | 1.147 × 104 | 4.513 × 103 | 1 | ||||||
| F29 | ||||||||||||||
| Mean | 6.401 × 103 | 7.242 × 103 | (+) | 7.403 × 103 | (+) | 1.082 × 104 | (+) | 7.640 × 103 | (+) | 1.401 × 104 | (+) | 7.486 × 103 | (+) | 1 |
| Std | 4.600 × 102 | 7.425 × 102 | 4.891 × 102 | 1.373 × 103 | 4.681 × 102 | 1.085 × 103 | 4.917 × 102 | 1 | ||||||
| Best | 5.708 × 103 | 5.558 × 103 | 6.523 × 103 | 8.657 × 103 | 6.754 × 103 | 1.178 × 104 | 6.436 × 103 | 2 | ||||||
| F30 | ||||||||||||||
| Mean | 9.773 × 107 | 4.602 × 108 | (+) | 4.019 × 108 | (+) | 2.087 × 108 | (=) | 3.300 × 108 | (+) | 3.499 × 109 | (+) | 1.977 × 108 | (=) | 1 |
| Std | 5.630 × 107 | 5.141 × 108 | 3.791 × 108 | 3.339 × 108 | 2.883 × 108 | 1.224 × 109 | 1.311 × 108 | 1 | ||||||
| Best | 1.245 × 107 | 1.276 × 107 | 4.944 × 107 | 2.430 × 107 | 3.030 × 107 | 1.541 × 109 | 5.733 × 107 | 1 | ||||||
| W/T/L | -/-/- | 12/3/0 | 15/0/0 | 13/2/0 | 14/1/0 | 15/0/0 | 14/1/0 | |||||||
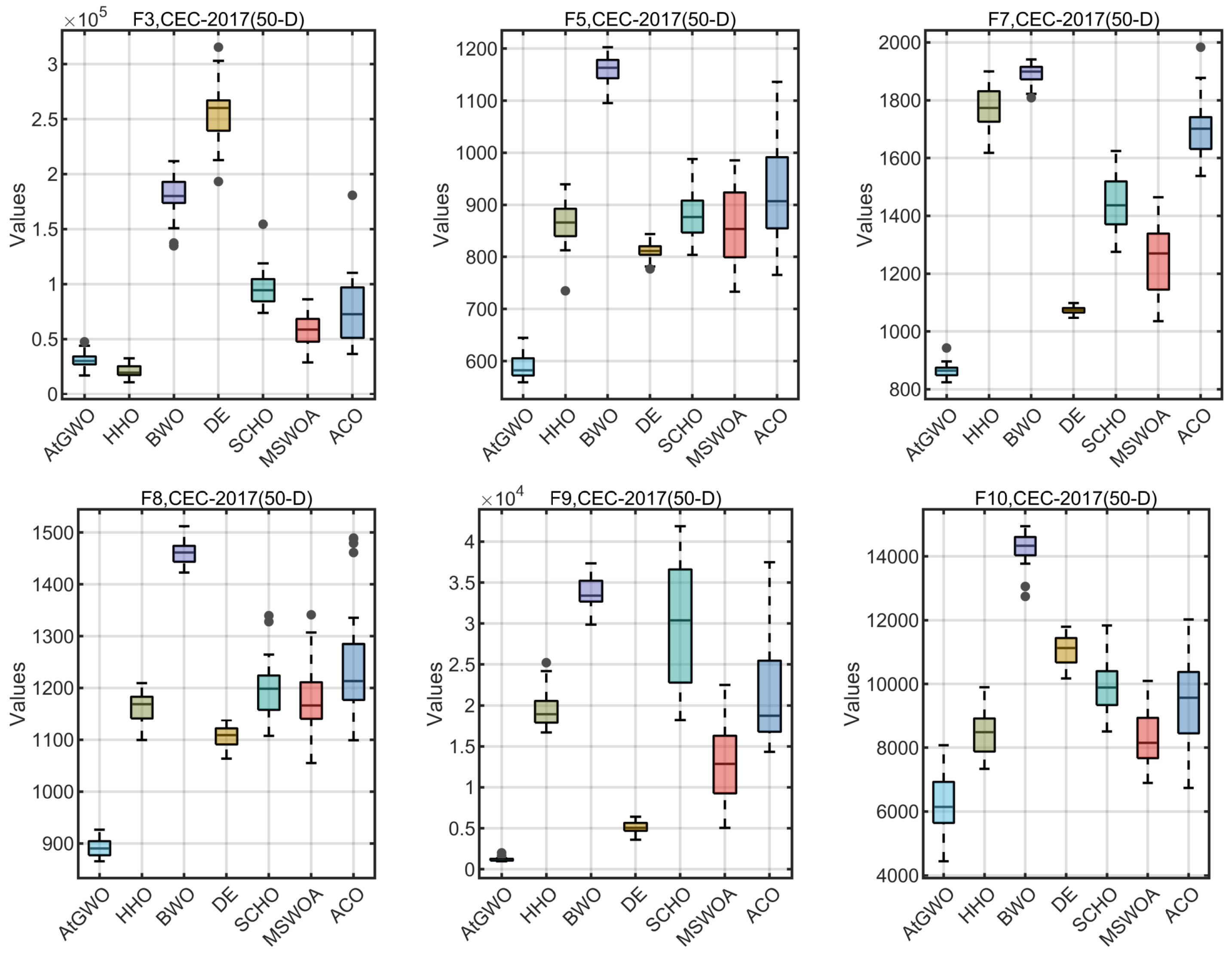
| AtGWO | HHO | BWO | DE | SCHO | MSWOA | ACO | ||||||||
|---|---|---|---|---|---|---|---|---|---|---|---|---|---|---|
| F1 | Rank | |||||||||||||
| Mean | 1.450 × 107 | 1.837 × 107 | (=) | 6.726 × 108 | (+) | 5.739 × 107 | (+) | 1.213 × 108 | (+) | 3.500 × 107 | (+) | 4.610 × 107 | (+) | 1 |
| Std | 8.737 × 106 | 8.930 × 106 | 1.500 × 108 | 1.451 × 107 | 9.063 × 107 | 4.317 × 107 | 2.260 × 107 | 1 | ||||||
| Best | 4.639 × 106 | 7.891 × 106 | 2.948 × 108 | 2.661 × 107 | 1.934 × 107 | 1.539 × 106 | 1.857 × 107 | 2 | ||||||
| F2 | ||||||||||||||
| Mean | 1.717 × 108 | 1.492 × 107 | (−) | 4.955 × 1010 | (+) | 2.226 × 102 | (−) | 1.013 × 1010 | (+) | 4.542 × 109 | (+) | 1.717 × 107 | (−) | 4 |
| Std | 1.392 × 108 | 3.030 × 106 | 6.614 × 109 | 1.982 × 101 | 4.398 × 109 | 3.108 × 109 | 1.854 × 107 | 4 | ||||||
| Best | 1.816 × 106 | 9.515 × 106 | 2.139 × 1010 | 2.049 × 102 | 6.903 × 108 | 2.000 × 102 | 3.425 × 106 | 3 | ||||||
| F3 | ||||||||||||||
| Mean | 8.538 × 103 | 1.033 × 104 | (+) | 7.244 × 104 | (+) | 1.750 × 103 | (−) | 4.268 × 104 | (+) | 7.493 × 103 | (=) | 3.108 × 104 | (+) | 3 |
| Std | 3.804 × 103 | 2.594 × 103 | 5.238 × 103 | 1.116 × 103 | 1.115 × 104 | 6.659 × 103 | 1.687 × 104 | 3 | ||||||
| Best | 3.142 × 103 | 4.294 × 103 | 5.968 × 104 | 3.445 × 102 | 1.816 × 104 | 3.170 × 102 | 1.380 × 104 | 3 | ||||||
| F4 | ||||||||||||||
| Mean | 5.562 × 102 | 5.427 × 102 | (=) | 9.460 × 103 | (+) | 5.481 × 102 | (=) | 9.652 × 102 | (+) | 6.937 × 102 | (=) | 6.314 × 102 | (+) | 3 |
| Std | 2.564 × 101 | 4.762 × 101 | 1.086 × 103 | 9.219 × 100 | 4.146 × 102 | 2.754 × 102 | 5.084 × 101 | 2 | ||||||
| Best | 4.973 × 102 | 4.778 × 102 | 6.461 × 103 | 5.248 × 102 | 5.915 × 102 | 4.045 × 102 | 5.434 × 102 | 3 | ||||||
| F5 | ||||||||||||||
| Mean | 5.201 × 102 | 5.203 × 102 | (+) | 5.210 × 102 | (+) | 5.206 × 102 | (+) | 5.210 × 102 | (+) | 5.202 × 102 | (+) | 5.204 × 102 | (+) | 1 |
| Std | 6.955 × 10−2 | 1.822 × 10−1 | 4.701 × 10−2 | 4.295 × 10−2 | 5.518 × 10−2 | 1.320 × 10−1 | 1.417 × 10−1 | 4 | ||||||
| Best | 5.200 × 102 | 5.200 × 102 | 5.209 × 102 | 5.205 × 102 | 5.209 × 102 | 5.200 × 102 | 5.202 × 102 | 2 | ||||||
| F6 | ||||||||||||||
| Mean | 6.064 × 102 | 6.309 × 102 | (+) | 6.384 × 102 | (+) | 6.246 × 102 | (+) | 6.235 × 102 | (+) | 6.200 × 102 | (+) | 6.358 × 102 | (+) | 1 |
| Std | 1.505 × 100 | 4.056 × 100 | 1.159 × 100 | 9.993 × 10−1 | 3.535 × 100 | 2.946 × 100 | 2.829 × 100 | 3 | ||||||
| Best | 6.034 × 102 | 6.237 × 102 | 6.359 × 102 | 6.214 × 102 | 6.172 × 102 | 6.150 × 102 | 6.307 × 102 | 1 | ||||||
| F7 | ||||||||||||||
| Mean | 7.029 × 102 | 7.011 × 102 | (−) | 1.094 × 103 | (+) | 7.000 × 102 | (−) | 7.890 × 102 | (+) | 7.129 × 102 | (+) | 7.012 × 102 | (−) | 4 |
| Std | 1.064 × 100 | 3.383 × 10−2 | 3.690 × 101 | 5.116 × 10−3 | 4.718 × 101 | 1.744 × 101 | 1.030 × 10−1 | 4 | ||||||
| Best | 7.006 × 102 | 7.011 × 102 | 1.028 × 103 | 7.000 × 102 | 7.125 × 102 | 7.000 × 102 | 7.011 × 102 | 3 | ||||||
| F8 | ||||||||||||||
| Mean | 8.351 × 102 | 9.076 × 102 | (+) | 1.101 × 103 | (+) | 8.180 × 102 | (−) | 9.551 × 102 | (+) | 9.124 × 102 | (+) | 9.798 × 102 | (+) | 2 |
| Std | 7.189 × 100 | 1.692 × 101 | 1.116 × 101 | 3.152 × 100 | 3.020 × 101 | 2.371 × 101 | 4.864 × 101 | 2 | ||||||
| Best | 8.232 × 102 | 8.718 × 102 | 1.080 × 103 | 8.102 × 102 | 8.847 × 102 | 8.719 × 102 | 8.762 × 102 | 2 | ||||||
| F9 | ||||||||||||||
| Mean | 9.408 × 102 | 1.089 × 103 | (+) | 1.228 × 103 | (+) | 1.042 × 103 | (+) | 1.081 × 103 | (+) | 1.080 × 103 | (+) | 1.139 × 103 | (+) | 1 |
| Std | 1.280 × 101 | 2.846 × 101 | 1.680 × 101 | 9.457 × 100 | 3.309 × 101 | 3.883 × 101 | 5.299 × 101 | 2 | ||||||
| Best | 9.212 × 102 | 1.021 × 103 | 1.173 × 103 | 1.020 × 103 | 1.023 × 103 | 9.915 × 102 | 1.030 × 103 | 1 | ||||||
| F10 | ||||||||||||||
| Mean | 2.542 × 103 | 3.062 × 103 | (+) | 7.459 × 103 | (+) | 1.258 × 103 | (−) | 4.523 × 103 | (+) | 3.597 × 103 | (+) | 4.776 × 103 | (+) | 2 |
| Std | 4.550 × 102 | 5.749 × 102 | 3.590 × 102 | 4.908 × 101 | 6.845 × 102 | 7.120 × 102 | 7.998 × 102 | 3 | ||||||
| Best | 1.839 × 103 | 2.139 × 103 | 6.584 × 103 | 1.164 × 103 | 3.102 × 103 | 2.259 × 103 | 3.225 × 103 | 2 | ||||||
| F11 | ||||||||||||||
| Mean | 3.694 × 103 | 5.248 × 103 | (+) | 8.185 × 103 | (+) | 6.019 × 103 | (+) | 5.416 × 103 | (+) | 5.010 × 103 | (+) | 5.546 × 103 | (+) | 1 |
| Std | 5.672 × 102 | 7.309 × 102 | 3.498 × 102 | 2.509 × 102 | 7.788 × 102 | 5.216 × 102 | 8.266 × 102 | 4 | ||||||
| Best | 2.666 × 103 | 4.184 × 103 | 7.412 × 103 | 5.584 × 103 | 3.856 × 103 | 3.891 × 103 | 4.214 × 103 | 1 | ||||||
| F12 | ||||||||||||||
| Mean | 1.200 × 103 | 1.202 × 103 | (+) | 1.202 × 103 | (+) | 1.201 × 103 | (+) | 1.202 × 103 | (+) | 1.201 × 103 | (+) | 1.202 × 103 | (+) | 1 |
| Std | 9.826 × 10−2 | 3.891 × 10−1 | 3.889 × 10−1 | 1.514 × 10−1 | 4.366 × 10−1 | 2.323 × 10−1 | 5.143 × 10−1 | 1 | ||||||
| Best | 1.200 × 103 | 1.201 × 103 | 1.202 × 103 | 1.201 × 103 | 1.201 × 103 | 1.200 × 103 | 1.201 × 103 | 1 | ||||||
| F13 | ||||||||||||||
| Mean | 1.300 × 103 | 1.301 × 103 | (+) | 1.307 × 103 | (+) | 1.300 × 103 | (+) | 1.302 × 103 | (+) | 1.301 × 103 | (+) | 1.301 × 103 | (+) | 1 |
| Std | 2.721 × 10−2 | 1.149 × 10−1 | 3.046 × 10−1 | 3.806 × 10−2 | 1.136 × 100 | 3.585 × 10−1 | 3.093 × 10−1 | 1 | ||||||
| Best | 1.300 × 103 | 1.300 × 103 | 1.306 × 103 | 1.300 × 103 | 1.301 × 103 | 1.300 × 103 | 1.300 × 103 | 1 | ||||||
| F14 | ||||||||||||||
| Mean | 1.400 × 103 | 1.400 × 103 | (=) | 1.580 × 103 | (+) | 1.400 × 103 | (+) | 1.429 × 103 | (+) | 1.408 × 103 | (+) | 1.400 × 103 | (=) | 2 |
| Std | 1.208 × 10−1 | 1.604 × 10−1 | 1.369 × 101 | 3.111 × 10−2 | 1.749 × 101 | 9.393 × 100 | 9.405 × 10−2 | 3 | ||||||
| Best | 1.400 × 103 | 1.400 × 103 | 1.547 × 103 | 1.400 × 103 | 1.400 × 103 | 1.400 × 103 | 1.400 × 103 | 1 | ||||||
| F15 | ||||||||||||||
| Mean | 1.505 × 103 | 1.541 × 103 | (+) | 5.606 × 104 | (+) | 1.515 × 103 | (+) | 3.957 × 103 | (+) | 1.611 × 103 | (+) | 1.581 × 103 | (+) | 1 |
| Std | 1.372 × 100 | 1.230 × 101 | 1.780 × 104 | 8.447 × 10−1 | 4.113 × 103 | 4.058 × 102 | 3.041 × 101 | 2 | ||||||
| Best | 1.503 × 103 | 1.523 × 103 | 1.969 × 104 | 1.513 × 103 | 1.530 × 103 | 1.505 × 103 | 1.543 × 103 | 1 | ||||||
| W/T/L | -/-/- | 10/3/2 | 15/0/0 | 9/1/5 | 15/0/0 | 13/2/0 | 12/1/2 | |||||||
| AtGWO | HHO | BWO | DE | SCHO | MSWOA | ACO | ||||||||
|---|---|---|---|---|---|---|---|---|---|---|---|---|---|---|
| F16 | Rank | |||||||||||||
| Mean | 1.610 × 103 | 1.612 × 103 | (+) | 1.613 × 103 | (+) | 1.612 × 103 | (+) | 1.613 × 103 | (+) | 1.612 × 103 | (+) | 1.613 × 103 | (=) | 1 |
| Std | 7.424 × 10−1 | 4.792 × 10−1 | 2.184 × 10−1 | 2.444 × 10−1 | 4.645 × 10−1 | 5.507 × 10−1 | 4.070 × 10−1 | 7 | ||||||
| Best | 1.609 × 103 | 1.612 × 103 | 1.612 × 103 | 1.611 × 103 | 1.611 × 103 | 1.611 × 103 | 1.611 × 103 | 1 | ||||||
| F17 | ||||||||||||||
| Mean | 4.390 × 105 | 1.831 × 106 | (+) | 4.424 × 107 | (+) | 4.594 × 106 | (+) | 4.604 × 106 | (+) | 8.532 × 105 | (=) | 4.989 × 106 | (+) | 1 |
| Std | 2.801 × 105 | 1.204 × 106 | 1.440 × 107 | 1.762 × 106 | 3.569 × 106 | 9.927 × 105 | 3.379 × 106 | 1 | ||||||
| Best | 3.768 × 104 | 3.218 × 105 | 1.665 × 107 | 1.234 × 106 | 3.768 × 105 | 5.608 × 104 | 6.555 × 105 | 1 | ||||||
| F18 | ||||||||||||||
| Mean | 3.926 × 104 | 8.077 × 104 | (+) | 1.856 × 109 | (+) | 2.557 × 105 | (+) | 1.043 × 107 | (+) | 9.979 × 103 | (−) | 2.282 × 104 | (−) | 3 |
| Std | 1.028 × 105 | 4.902 × 104 | 7.369 × 108 | 9.700 × 104 | 2.142 × 107 | 7.506 × 103 | 8.243 × 104 | 5 | ||||||
| Best | 2.379 × 103 | 9.384 × 103 | 4.854 × 108 | 1.172 × 105 | 9.862 × 104 | 2.308 × 103 | 2.227 × 103 | 3 | ||||||
| F19 | ||||||||||||||
| Mean | 1.913 × 103 | 1.942 × 103 | (+) | 2.170 × 103 | (+) | 1.914 × 103 | (+) | 1.987 × 103 | (+) | 1.925 × 103 | (=) | 1.952 × 103 | (+) | 1 |
| Std | 1.759 × 100 | 3.844 × 101 | 4.112 × 101 | 1.225 × 100 | 4.746 × 101 | 2.426 × 101 | 3.608 × 101 | 2 | ||||||
| Best | 1.910 × 103 | 1.912 × 103 | 2.086 × 103 | 1.912 × 103 | 1.918 × 103 | 1.909 × 103 | 1.919 × 103 | 2 | ||||||
| F20 | ||||||||||||||
| Mean | 6.655 × 103 | 1.560 × 104 | (+) | 1.127 × 105 | (+) | 1.003 × 104 | (+) | 2.865 × 104 | (+) | 7.261 × 103 | (=) | 2.803 × 104 | (+) | 1 |
| Std | 2.738 × 103 | 6.382 × 103 | 5.309 × 104 | 3.643 × 103 | 2.037 × 104 | 7.094 × 103 | 1.499 × 104 | 1 | ||||||
| Best | 2.390 × 103 | 6.707 × 103 | 1.535 × 104 | 3.396 × 103 | 7.276 × 103 | 2.427 × 103 | 8.117 × 103 | 1 | ||||||
| F21 | ||||||||||||||
| Mean | 1.765 × 105 | 7.548 × 105 | (+) | 1.106 × 107 | (+) | 7.846 × 105 | (+) | 1.092 × 106 | (+) | 2.129 × 105 | (=) | 1.128 × 106 | (+) | 1 |
| Std | 1.645 × 105 | 5.470 × 105 | 4.662 × 106 | 2.749 × 105 | 1.771 × 106 | 2.085 × 105 | 1.143 × 106 | 1 | ||||||
| Best | 1.958 × 104 | 1.039 × 105 | 3.061 × 106 | 3.189 × 105 | 3.738 × 104 | 2.418 × 104 | 1.038 × 105 | 1 | ||||||
| F22 | ||||||||||||||
| Mean | 2.421 × 103 | 3.034 × 103 | (+) | 4.007 × 103 | (+) | 2.615 × 103 | (+) | 2.881 × 103 | (+) | 2.878 × 103 | (+) | 3.031 × 103 | (+) | 1 |
| Std | 8.676 × 101 | 2.754 × 102 | 2.263 × 102 | 7.028 × 101 | 1.892 × 102 | 1.678 × 102 | 2.611 × 102 | 2 | ||||||
| Best | 2.271 × 103 | 2.647 × 103 | 3.373 × 103 | 2.494 × 103 | 2.370 × 103 | 2.538 × 103 | 2.497 × 103 | 1 | ||||||
| F23 | ||||||||||||||
| Mean | 2.619 × 103 | 2.500 × 103 | (−) | 2.500 × 103 | (−) | 2.615 × 103 | (=) | 2.500 × 103 | (−) | 2.636 × 103 | (+) | 2.639 × 103 | (+) | 5 |
| Std | 1.359 × 100 | 0.000 × 100 | 0.000 × 100 | 5.980 × 10−2 | 0.000 × 100 | 1.550 × 101 | 1.168 × 101 | 5 | ||||||
| Best | 2.616 × 103 | 2.500 × 103 | 2.500 × 103 | 2.615 × 103 | 2.500 × 103 | 2.616 × 103 | 2.624 × 103 | 5 | ||||||
| F24 | ||||||||||||||
| Mean | 2.600 × 103 | 2.600 × 103 | (=) | 2.600 × 103 | (−) | 2.627 × 103 | (+) | 2.600 × 103 | (=) | 2.642 × 103 | (+) | 2.605 × 103 | (+) | 4 |
| Std | 1.211 × 10−2 | 9.154 × 10−5 | 0.000 × 100 | 8.368 × 10−1 | 0.000 × 100 | 7.921 × 100 | 2.969 × 100 | 4 | ||||||
| Best | 2.600 × 103 | 2.600 × 103 | 2.600 × 103 | 2.626 × 103 | 2.600 × 103 | 2.625 × 103 | 2.601 × 103 | 4 | ||||||
| F25 | ||||||||||||||
| Mean | 2.705 × 103 | 2.700 × 103 | (−) | 2.700 × 103 | (−) | 2.713 × 103 | (+) | 2.700 × 103 | (−) | 2.710 × 103 | (+) | 2.723 × 103 | (+) | 4 |
| Std | 3.956 × 100 | 0.000 × 100 | 0.000 × 100 | 1.792 × 100 | 0.000 × 100 | 6.401 × 100 | 1.428 × 101 | 5 | ||||||
| Best | 2.700 × 103 | 2.700 × 103 | 2.700 × 103 | 2.708 × 103 | 2.700 × 103 | 2.703 × 103 | 2.700 × 103 | 1 | ||||||
| F26 | ||||||||||||||
| Mean | 2.720 × 103 | 2.724 × 103 | (+) | 2.726 × 103 | (+) | 2.701 × 103 | (−) | 2.748 × 103 | (+) | 2.701 × 103 | (−) | 2.723 × 103 | (+) | 3 |
| Std | 3.990 × 101 | 4.211 × 101 | 3.716 × 101 | 6.693 × 10−2 | 4.905 × 101 | 1.550 × 10−1 | 1.428 × 101 | 5 | ||||||
| Best | 2.700 × 103 | 2.700 × 103 | 2.706 × 103 | 2.700 × 103 | 2.701 × 103 | 2.700 × 103 | 2.700 × 103 | 2 | ||||||
| F27 | ||||||||||||||
| Mean | 3.125 × 103 | 2.900 × 103 | (−) | 2.900 × 103 | (−) | 3.209 × 103 | (+) | 2.900 × 103 | (−) | 3.406 × 103 | (+) | 3.713 × 103 | (+) | 4 |
| Std | 3.261 × 101 | 0.000 × 100 | 0.000 × 100 | 2.666 × 101 | 0.000 × 100 | 2.395 × 102 | 3.750 × 102 | 5 | ||||||
| Best | 3.071 × 103 | 2.900 × 103 | 2.900 × 103 | 3.164 × 103 | 2.900 × 103 | 3.102 × 103 | 3.117 × 103 | 4 | ||||||
| F28 | ||||||||||||||
| Mean | 3.677 × 103 | 3.000 × 103 | (−) | 3.000 × 103 | (−) | 3.726 × 103 | (+) | 3.000 × 103 | (−) | 4.014 × 103 | (+) | 4.946 × 103 | (+) | 4 |
| Std | 4.903 × 101 | 0.000 × 100 | 0.000 × 100 | 1.586 × 101 | 0.000 × 100 | 2.326 × 102 | 4.744 × 102 | 5 | ||||||
| Best | 3.496 × 103 | 3.000 × 103 | 3.000 × 103 | 3.700 × 103 | 3.000 × 103 | 3.783 × 103 | 4.082 × 103 | 4 | ||||||
| F29 | ||||||||||||||
| Mean | 1.963 × 104 | 8.189 × 103 | (+) | 3.100 × 103 | (−) | 2.546 × 104 | (=) | 3.967 × 103 | (−) | 2.158 × 106 | (=) | 4.209 × 106 | (+) | 4 |
| Std | 3.901 × 103 | 1.007 × 104 | 0.000 × 100 | 1.365 × 104 | 4.667 × 103 | 3.815 × 106 | 4.814 × 106 | 2 | ||||||
| Best | 1.023 × 104 | 3.100 × 103 | 3.100 × 103 | 7.986 × 103 | 3.100 × 103 | 4.219 × 103 | 6.631 × 103 | 7 | ||||||
| F30 | ||||||||||||||
| Mean | 1.713 × 104 | 1.867 × 104 | (=) | 3.200 × 103 | (−) | 1.242 × 104 | (−) | 3.200 × 103 | (−) | 1.441 × 104 | (−) | 1.345 × 105 | (+) | 5 |
| Std | 4.465 × 103 | 1.793 × 104 | 0.000 × 100 | 1.827 × 103 | 0.000 × 100 | 1.141 × 104 | 9.181 × 104 | 4 | ||||||
| Best | 1.050 × 104 | 3.200 × 103 | 3.200 × 103 | 7.579 × 103 | 3.200 × 103 | 5.062 × 103 | 2.931 × 104 | 6 | ||||||
| W/T/L | -/-/- | 9/2/4 | 8/0/7 | 11/2/2 | 8/1/6 | 7/5/3 | 13/1/1 | |||||||
| AtGWO | HHO | BWO | DE | SCHO | MSWOA | ACO | ||||||||
|---|---|---|---|---|---|---|---|---|---|---|---|---|---|---|
| F1 | Rank | |||||||||||||
| Mean | 7.201 × 108 | 4.696 × 107 | (−) | 9.844 × 1010 | (+) | 5.439 × 105 | (−) | 2.403 × 1010 | (+) | 9.541 × 109 | (+) | 1.974 × 107 | (−) | 4 |
| Std | 7.704 × 108 | 8.048 × 106 | 4.689 × 109 | 2.527 × 105 | 8.718 × 109 | 6.349 × 109 | 9.023 × 106 | 4 | ||||||
| Best | 1.929 × 107 | 3.287 × 107 | 8.371 × 1010 | 1.654 × 105 | 9.619 × 109 | 9.931 × 103 | 5.754 × 106 | 4 | ||||||
| F3 | ||||||||||||||
| Mean | 3.077 × 104 | 2.073 × 104 | (−) | 1.794 × 105 | (+) | 2.560 × 105 | (+) | 9.654 × 104 | (+) | 5.594 × 104 | (+) | 7.319 × 104 | (+) | 2 |
| Std | 7.289 × 103 | 5.120 × 103 | 1.849 × 104 | 2.485 × 104 | 1.652 × 104 | 1.494 × 104 | 2.988 × 104 | 2 | ||||||
| Best | 1.692 × 104 | 1.072 × 104 | 1.347 × 105 | 1.932 × 105 | 7.379 × 104 | 2.878 × 104 | 3.645 × 104 | 2 | ||||||
| F4 | ||||||||||||||
| Mean | 6.324 × 102 | 6.392 × 102 | (=) | 2.882 × 104 | (+) | 6.119 × 102 | (−) | 3.934 × 103 | (+) | 1.721 × 103 | (+) | 7.074 × 102 | (+) | 2 |
| Std | 3.215 × 101 | 5.363 × 101 | 2.638 × 103 | 1.691 × 101 | 1.365 × 103 | 1.031 × 103 | 7.077 × 101 | 2 | ||||||
| Best | 5.799 × 102 | 5.402 × 102 | 2.175 × 104 | 5.826 × 102 | 1.596 × 103 | 4.936 × 102 | 5.881 × 102 | 3 | ||||||
| F5 | ||||||||||||||
| Mean | 5.906 × 102 | 8.671 × 102 | (+) | 1.159 × 103 | (+) | 8.106 × 102 | (+) | 8.778 × 102 | (+) | 8.592 × 102 | (+) | 9.293 × 102 | (+) | 1 |
| Std | 2.105 × 101 | 4.453 × 101 | 2.416 × 101 | 1.607 × 101 | 4.256 × 101 | 6.948 × 101 | 9.815 × 101 | 2 | ||||||
| Best | 5.593 × 102 | 7.349 × 102 | 1.095 × 103 | 7.769 × 102 | 8.039 × 102 | 7.332 × 102 | 7.654 × 102 | 1 | ||||||
| F6 | ||||||||||||||
| Mean | 6.015 × 102 | 6.696 × 102 | (+) | 6.983 × 102 | (+) | 6.000 × 102 | (=) | 6.589 × 102 | (+) | 6.450 × 102 | (+) | 6.772 × 102 | (+) | 2 |
| Std | 7.557 × 10−1 | 4.299 × 100 | 2.354 × 100 | 2.684 × 10−5 | 8.846 × 100 | 1.282 × 101 | 1.028 × 101 | 2 | ||||||
| Best | 6.005 × 102 | 6.590 × 102 | 6.941 × 102 | 6.000 × 102 | 6.409 × 102 | 6.211 × 102 | 6.614 × 102 | 2 | ||||||
| F7 | ||||||||||||||
| Mean | 8.645 × 102 | 1.776 × 103 | (+) | 1.893 × 103 | (+) | 1.073 × 103 | (+) | 1.446 × 103 | (+) | 1.252 × 103 | (+) | 1.703 × 103 | (+) | 1 |
| Std | 2.174 × 101 | 6.545 × 101 | 3.199 × 101 | 1.247 × 101 | 8.971 × 101 | 1.157 × 102 | 9.488 × 101 | 2 | ||||||
| Best | 8.242 × 102 | 1.618 × 103 | 1.809 × 103 | 1.047 × 103 | 1.275 × 103 | 1.036 × 103 | 1.538 × 103 | 1 | ||||||
| F8 | ||||||||||||||
| Mean | 8.917 × 102 | 1.161 × 103 | (+) | 1.462 × 103 | (+) | 1.107 × 103 | (+) | 1.196 × 103 | (+) | 1.182 × 103 | (+) | 1.246 × 103 | (+) | 1 |
| Std | 1.471 × 101 | 2.886 × 101 | 2.206 × 101 | 1.932 × 101 | 5.397 × 101 | 6.787 × 101 | 1.085 × 102 | 1 | ||||||
| Best | 8.655 × 102 | 1.100 × 103 | 1.423 × 103 | 1.064 × 103 | 1.107 × 103 | 1.055 × 103 | 1.099 × 103 | 1 | ||||||
| F9 | ||||||||||||||
| Mean | 1.218 × 103 | 1.947 × 104 | (+) | 3.373 × 104 | (+) | 5.125 × 103 | (+) | 3.000 × 104 | (+) | 1.306 × 104 | (+) | 2.106 × 104 | (+) | 1 |
| Std | 2.149 × 102 | 2.104 × 103 | 1.835 × 103 | 6.669 × 102 | 7.390 × 103 | 4.731 × 103 | 5.683 × 103 | 1 | ||||||
| Best | 9.685 × 102 | 1.670 × 104 | 2.987 × 104 | 3.601 × 103 | 1.821 × 104 | 5.046 × 103 | 1.433 × 104 | 1 | ||||||
| F10 | ||||||||||||||
| Mean | 6.233 × 103 | 8.465 × 103 | (+) | 1.425 × 104 | (+) | 1.109 × 104 | (+) | 9.976 × 103 | (+) | 8.245 × 103 | (+) | 9.576 × 103 | (+) | 1 |
| Std | 9.257 × 102 | 6.833 × 102 | 4.874 × 102 | 4.553 × 102 | 7.533 × 102 | 8.663 × 102 | 1.324 × 103 | 6 | ||||||
| Best | 4.437 × 103 | 7.336 × 103 | 1.274 × 104 | 1.017 × 104 | 8.509 × 103 | 6.895 × 103 | 6.738 × 103 | 1 | ||||||
| F11 | ||||||||||||||
| Mean | 1.424 × 103 | 1.463 × 103 | (+) | 1.883 × 104 | (+) | 2.251 × 103 | (+) | 6.448 × 103 | (+) | 2.258 × 103 | (+) | 1.622 × 103 | (+) | 1 |
| Std | 7.612 × 101 | 7.124 × 101 | 1.460 × 103 | 4.881 × 102 | 2.807 × 103 | 7.841 × 102 | 1.007 × 102 | 2 | ||||||
| Best | 1.309 × 103 | 1.327 × 103 | 1.565 × 104 | 1.655 × 103 | 1.884 × 103 | 1.470 × 103 | 1.431 × 103 | 1 | ||||||
| F12 | ||||||||||||||
| Mean | 7.765 × 107 | 6.090 × 107 | (=) | 4.872 × 1010 | (+) | 1.042 × 108 | (+) | 5.544 × 109 | (+) | 1.881 × 109 | (+) | 2.191 × 108 | (+) | 2 |
| Std | 6.840 × 107 | 2.430 × 107 | 7.794 × 109 | 1.714 × 107 | 3.979 × 109 | 2.268 × 109 | 1.177 × 108 | 3 | ||||||
| Best | 8.771 × 106 | 2.549 × 107 | 3.055 × 1010 | 6.333 × 107 | 3.983 × 108 | 2.850 × 106 | 5.298 × 107 | 2 | ||||||
| F13 | ||||||||||||||
| Mean | 1.136 × 107 | 1.740 × 106 | (=) | 2.554 × 1010 | (+) | 1.333 × 106 | (−) | 9.812 × 108 | (+) | 2.342 × 108 | (=) | 2.386 × 105 | (−) | 4 |
| Std | 1.534 × 107 | 6.770 × 105 | 5.726 × 109 | 4.600 × 105 | 2.793 × 109 | 5.429 × 108 | 1.152 × 105 | 4 | ||||||
| Best | 3.465 × 104 | 7.810 × 105 | 1.026 × 1010 | 6.268 × 105 | 7.475 × 106 | 1.097 × 104 | 6.352 × 104 | 2 | ||||||
| F14 | ||||||||||||||
| Mean | 1.533 × 105 | 4.294 × 105 | (+) | 2.646 × 107 | (+) | 1.128 × 106 | (+) | 1.842 × 106 | (+) | 4.252 × 105 | (+) | 7.074 × 105 | (+) | 1 |
| Std | 2.537 × 105 | 2.957 × 105 | 1.379 × 107 | 6.502 × 105 | 2.750 × 106 | 7.177 × 105 | 5.585 × 105 | 1 | ||||||
| Best | 3.383 × 103 | 4.065 × 104 | 5.114 × 106 | 2.807 × 105 | 1.836 × 105 | 3.443 × 103 | 1.358 × 105 | 1 | ||||||
| F15 | ||||||||||||||
| Mean | 1.244 × 106 | 2.579 × 105 | (−) | 3.897 × 109 | (+) | 1.173 × 105 | (−) | 7.491 × 107 | (+) | 7.176 × 106 | (=) | 1.023 × 105 | (−) | 4 |
| Std | 4.080 × 106 | 8.819 × 104 | 7.192 × 108 | 7.265 × 104 | 2.270 × 108 | 2.136 × 107 | 8.357 × 104 | 4 | ||||||
| Best | 1.302 × 104 | 8.140 × 104 | 2.692 × 109 | 2.450 × 104 | 3.846 × 105 | 1.361 × 104 | 2.596 × 104 | 1 | ||||||
| W/T/L | -/-/- | 8/3/3 | 14/0/0 | 9/1/4 | 14/0/0 | 12/2/0 | 11/0/3 | |||||||
| AtGWO | HHO | BWO | DE | SCHO | MSWOA | ACO | ||||||||
|---|---|---|---|---|---|---|---|---|---|---|---|---|---|---|
| F16 | Rank | |||||||||||||
| Mean | 2.520 × 103 | 4.178 × 103 | (+) | 7.753 × 103 | (+) | 3.450 × 103 | (+) | 4.054 × 103 | (+) | 4.033 × 103 | (+) | 4.734 × 103 | (+) | 1 |
| Std | 3.444 × 102 | 5.762 × 102 | 5.801 × 102 | 2.396 × 102 | 3.651 × 102 | 4.085 × 102 | 7.683 × 102 | 2 | ||||||
| Best | 2.088 × 103 | 3.161 × 103 | 6.684 × 103 | 2.730 × 103 | 3.320 × 103 | 3.197 × 103 | 3.274 × 103 | 1 | ||||||
| F17 | ||||||||||||||
| Mean | 2.477 × 103 | 3.600 × 103 | (+) | 5.891 × 103 | (+) | 2.928 × 103 | (+) | 3.486 × 103 | (+) | 3.604 × 103 | (+) | 4.056 × 103 | (+) | 1 |
| Std | 1.021 × 102 | 4.162 × 102 | 5.113 × 102 | 1.330 × 102 | 2.971 × 102 | 3.772 × 102 | 4.833 × 102 | 1 | ||||||
| Best | 2.088 × 103 | 2.345 × 103 | 5.018 × 103 | 2.638 × 103 | 2.923 × 103 | 2.770 × 103 | 3.122 × 103 | 1 | ||||||
| F18 | ||||||||||||||
| Mean | 1.193 × 106 | 2.945 × 106 | (+) | 7.304 × 107 | (+) | 3.264 × 106 | (+) | 9.227 × 106 | (+) | 9.089 × 105 | (−) | 6.844 × 106 | (+) | 2 |
| Std | 7.407 × 105 | 1.753 × 106 | 3.112 × 107 | 1.254 × 106 | 9.307 × 106 | 1.561 × 106 | 5.861 × 106 | 1 | ||||||
| Best | 1.318 × 105 | 3.831 × 105 | 1.544 × 107 | 8.120 × 105 | 6.591 × 105 | 8.939 × 104 | 1.007 × 106 | 2 | ||||||
| F19 | ||||||||||||||
| Mean | 5.462 × 105 | 5.062 × 105 | (=) | 1.931 × 109 | (+) | 6.687 × 104 | (−) | 5.509 × 107 | (+) | 7.159 × 106 | (+) | 2.395 × 106 | (+) | 3 |
| Std | 4.846 × 105 | 3.395 × 105 | 5.951 × 108 | 2.072 × 104 | 2.742 × 108 | 3.210 × 107 | 1.528 × 106 | 3 | ||||||
| Best | 4.951 × 104 | 1.085 × 105 | 8.825 × 108 | 2.893 × 104 | 2.925 × 105 | 4.584 × 103 | 2.658 × 105 | 3 | ||||||
| F20 | ||||||||||||||
| Mean | 2.480 × 103 | 3.385 × 103 | (+) | 3.820 × 103 | (+) | 2.866 × 103 | (+) | 3.351 × 103 | (+) | 3.390 × 103 | (+) | 3.695 × 103 | (+) | 1 |
| Std | 1.222 × 102 | 2.721 × 102 | 1.662 × 102 | 1.406 × 102 | 3.184 × 102 | 3.590 × 102 | 3.385 × 102 | 1 | ||||||
| Best | 2.227 × 103 | 2.874 × 103 | 3.359 × 103 | 2.575 × 103 | 2.689 × 103 | 2.609 × 103 | 2.967 × 103 | 1 | ||||||
| F21 | ||||||||||||||
| Mean | 2.389 × 103 | 2.830 × 103 | (+) | 3.112 × 103 | (+) | 2.629 × 103 | (+) | 2.741 × 103 | (+) | 2.645 × 103 | (+) | 2.828 × 103 | (+) | 1 |
| Std | 1.675 × 101 | 5.995 × 101 | 3.926 × 101 | 1.284 × 101 | 5.619 × 101 | 6.966 × 101 | 1.135 × 102 | 2 | ||||||
| Best | 2.352 × 103 | 2.700 × 103 | 2.990 × 103 | 2.603 × 103 | 2.629 × 103 | 2.500 × 103 | 2.628 × 103 | 1 | ||||||
| F22 | ||||||||||||||
| Mean | 6.420 × 103 | 1.072 × 104 | (+) | 1.611 × 104 | (+) | 1.234 × 104 | (+) | 1.212 × 104 | (+) | 1.002 × 104 | (+) | 1.182 × 104 | (+) | 1 |
| Std | 2.144 × 103 | 8.238 × 102 | 4.118 × 102 | 1.778 × 103 | 1.036 × 103 | 1.147 × 103 | 1.316 × 103 | 7 | ||||||
| Best | 2.347 × 103 | 8.713 × 103 | 1.496 × 104 | 5.239 × 103 | 1.021 × 104 | 7.731 × 103 | 8.656 × 103 | 1 | ||||||
| F23 | ||||||||||||||
| Mean | 2.807 × 103 | 3.599 × 103 | (+) | 3.954 × 103 | (+) | 3.050 × 103 | (+) | 3.418 × 103 | (+) | 3.210 × 103 | (+) | 3.524 × 103 | (+) | 1 |
| Std | 2.189 × 101 | 1.345 × 102 | 8.139 × 101 | 1.364 × 101 | 1.149 × 102 | 8.361 × 101 | 1.621 × 102 | 2 | ||||||
| Best | 2.770 × 103 | 3.254 × 103 | 3.765 × 103 | 3.006 × 103 | 3.186 × 103 | 3.068 × 103 | 3.242 × 103 | 1 | ||||||
| F24 | ||||||||||||||
| Mean | 2.966 × 103 | 4.077 × 103 | (+) | 4.277 × 103 | (+) | 3.287 × 103 | (+) | 3.629 × 103 | (+) | 3.272 × 103 | (+) | 3.646 × 103 | (+) | 1 |
| Std | 1.702 × 101 | 1.689 × 102 | 1.100 × 102 | 1.722 × 101 | 1.019 × 102 | 7.059 × 101 | 1.331 × 102 | 1 | ||||||
| Best | 2.932 × 103 | 3.821 × 103 | 4.036 × 103 | 3.227 × 103 | 3.342 × 103 | 3.148 × 103 | 3.371 × 103 | 1 | ||||||
| F25 | ||||||||||||||
| Mean | 3.121 × 103 | 3.124 × 103 | (=) | 1.310 × 104 | (+) | 3.063 × 103 | (−) | 4.351 × 103 | (+) | 3.505 × 103 | (+) | 3.160 × 103 | (=) | 2 |
| Std | 4.326 × 101 | 3.410 × 101 | 5.539 × 102 | 7.088 × 100 | 5.402 × 102 | 5.887 × 102 | 5.629 × 101 | 3 | ||||||
| Best | 3.050 × 103 | 3.039 × 103 | 1.189 × 104 | 3.051 × 103 | 3.601 × 103 | 2.969 × 103 | 3.064 × 103 | 3 | ||||||
| F26 | ||||||||||||||
| Mean | 4.643 × 103 | 1.014 × 104 | (+) | 1.580 × 104 | (+) | 6.888 × 103 | (+) | 1.031 × 104 | (+) | 8.353 × 103 | (+) | 1.258 × 104 | (+) | 1 |
| Std | 2.892 × 102 | 2.134 × 103 | 4.969 × 102 | 1.433 × 102 | 1.047 × 103 | 6.376 × 102 | 1.769 × 103 | 2 | ||||||
| Best | 3.738 × 103 | 2.996 × 103 | 1.398 × 104 | 6.592 × 103 | 7.678 × 103 | 7.032 × 103 | 9.553 × 103 | 2 | ||||||
| F27 | ||||||||||||||
| Mean | 3.359 × 103 | 4.003 × 103 | (+) | 5.346 × 103 | (+) | 3.373 × 103 | (+) | 4.165 × 103 | (+) | 3.554 × 103 | (+) | 4.250 × 103 | (+) | 1 |
| Std | 2.770 × 101 | 3.522 × 102 | 2.994 × 102 | 1.466 × 101 | 2.546 × 102 | 1.147 × 102 | 3.895 × 102 | 2 | ||||||
| Best | 3.297 × 103 | 3.524 × 103 | 4.633 × 103 | 3.342 × 103 | 3.801 × 103 | 3.349 × 103 | 3.582 × 103 | 1 | ||||||
| F28 | ||||||||||||||
| Mean | 3.427 × 103 | 3.375 × 103 | (−) | 1.127 × 104 | (+) | 3.333 × 103 | (−) | 5.322 × 103 | (+) | 4.758 × 103 | (+) | 3.477 × 103 | (=) | 3 |
| Std | 9.293 × 101 | 3.207 × 101 | 4.374 × 102 | 1.428 × 101 | 4.647 × 102 | 1.329 × 103 | 5.860 × 101 | 4 | ||||||
| Best | 3.315 × 103 | 3.298 × 103 | 1.033 × 104 | 3.308 × 103 | 4.531 × 103 | 3.346 × 103 | 3.346 × 103 | 3 | ||||||
| F29 | ||||||||||||||
| Mean | 3.797 × 103 | 5.421 × 103 | (+) | 1.414 × 104 | (+) | 4.122 × 103 | (+) | 5.569 × 103 | (+) | 5.024 × 103 | (+) | 7.275 × 103 | (+) | 1 |
| Std | 1.752 × 102 | 4.779 × 102 | 2.467 × 103 | 1.099 × 102 | 6.269 × 102 | 4.132 × 102 | 1.029 × 103 | 2 | ||||||
| Best | 3.501 × 103 | 4.641 × 103 | 1.059 × 104 | 3.896 × 103 | 4.714 × 103 | 4.156 × 103 | 5.548 × 103 | 1 | ||||||
| F30 | ||||||||||||||
| Mean | 4.431 × 107 | 1.794 × 107 | (−) | 3.378 × 109 | (+) | 1.860 × 106 | (−) | 3.713 × 108 | (+) | 3.258 × 107 | (−) | 8.865 × 107 | (+) | 4 |
| Std | 1.616 × 107 | 4.750 × 106 | 7.539 × 108 | 3.935 × 105 | 8.320 × 108 | 8.123 × 107 | 2.790 × 107 | 3 | ||||||
| Best | 1.831 × 107 | 8.002 × 106 | 1.876 × 109 | 1.150 × 106 | 4.874 × 107 | 2.210 × 106 | 3.629 × 107 | 4 | ||||||
| W/T/L | -/-/- | 11/2/2 | 15/0/0 | 11/0/4 | 15/0/0 | 13/0/2 | 13/2/0 | |||||||
| AtGWO | HHO | BWO | SCHO | GWO | SOGWO | AGWO | BGWO | |
|---|---|---|---|---|---|---|---|---|
| T/CSD | ||||||||
| Mean | 1.27028 × 10−2 | 1.35754 × 10−2 | 1.29663 × 10−2 | 1.31141 × 10−2 | 1.27080 × 10−2 | 1.28610 × 10−2 | 1.27198 × 10−2 | 1.27364 × 10−2 |
| Std | 4.70483 × 10−5 | 8.60273 × 10−4 | 1.44327 × 10−4 | 2.71117 × 10−4 | 1.61859 × 10−5 | 2.24315 × 10−4 | 2.79632 × 10−5 | 1.53888 × 10−5 |
| Best | 1.26665 × 10−2 | 1.27529 × 10−2 | 1.27233 × 10−2 | 1.27493 × 10−2 | 1.26735 × 10−2 | 1.26726 × 10−2 | 1.26703 × 10−2 | 1.26891 × 10−2 |
| PVD | ||||||||
| Mean | 5.88762 × 103 | 6.57370 × 103 | 6.80674 × 103 | 6.41581 × 103 | 5.89305 × 103 | 5.94813 × 103 | 6.10270 × 103 | 5.95913 × 103 |
| Std | 7.84748 × 10−1 | 3.14273 × 102 | 2.30162 × 102 | 3.76987 × 102 | 3.59290 × 100 | 1.74030 × 102 | 4.19602 × 102 | 1.45567 × 102 |
| Best | 5.88619 × 103 | 6.04223 × 103 | 6.32677 × 103 | 5.92212 × 103 | 5.88727 × 103 | 5.88535 × 103 | 5.89286 × 103 | 5.89950 × 103 |
| 3-BTD | ||||||||
| Mean | 2.63896 × 102 | 2.63949 × 102 | 2.64169 × 102 | 2.63899 × 102 | 2.63897 × 102 | 2.63897 × 102 | 2.63901 × 102 | 2.63905 × 102 |
| Std | 9.32576 × 10−5 | 4.68508 × 10−2 | 1.48679 × 10−1 | 3.40593 × 10−3 | 1.01544 × 10−3 | 1.04473 × 10−3 | 3.28550 × 10−3 | 1.04467 × 10−2 |
| Best | 2.63896 × 102 | 2.63896 × 102 | 2.63927 × 102 | 2.63896 × 102 | 2.63896 × 102 | 2.63896 × 102 | 2.63896 × 102 | 2.63897 × 102 |
| WBD | ||||||||
| Mean | 1.69302 × 100 | 1.78627 × 100 | 1.88591 × 100 | 1.69772 × 100 | 1.69386 × 100 | 1.69820 × 100 | 1.69841 × 100 | 1.72944 × 100 |
| Std | 6.44648 × 10−5 | 5.19123 × 10−2 | 1.05211 × 10−1 | 2.12363 × 10−3 | 5.10381 × 10−4 | 8.48913 × 10−3 | 3.07431 × 10−3 | 1.13455 × 10−1 |
| Best | 1.69291 × 100 | 1.71458 × 100 | 1.72295 × 100 | 1.69389 × 100 | 1.69311 × 100 | 1.69280 × 100 | 1.69438 × 100 | 1.69789 × 100 |
| SRD | ||||||||
| Mean | 2.99575 × 103 | 3.01691 × 103 | 3.02503 × 103 | 3.00603 × 103 | 3.00128 × 103 | 2.99662 × 103 | 3.00919 × 103 | 3.01771 × 103 |
| Std | 1.26087 × 100 | 1.15221 × 101 | 9.07967 × 100 | 3.55336 × 100 | 2.74733 × 100 | 2.01661 × 100 | 3.78017 × 100 | 4.27193 × 100 |
| Best | 2.99475 × 103 | 2.99885 × 103 | 3.00423 × 103 | 2.99974 × 103 | 2.99637 × 103 | 2.99461 × 103 | 3.00039 × 103 | 3.01014 × 103 |
| GTD | ||||||||
| Mean | 6.77632 × 10−12 | 3.69040 × 10−10 | 1.12672 × 10−9 | 7.55299 × 10−10 | 8.02118 × 10−11 | 4.66435 × 10−11 | 2.84827 × 10−10 | 1.33950 × 10−10 |
| Std | 8.29026 × 10−12 | 6.66023 × 10−10 | 7.82293 × 10−10 | 7.01250 × 10−10 | 2.48087 × 10−10 | 1.75544 × 10−10 | 4.35313 × 10−10 | 2.58777 × 10−10 |
| Best | 2.70086 × 10−12 | 2.70086 × 10−12 | 2.30782 × 10−11 | 2.70086 × 10−12 | 2.70086 × 10−12 | 2.70086 × 10−12 | 2.70086 × 10−12 | 2.70086 × 10−12 |
Disclaimer/Publisher’s Note: The statements, opinions and data contained in all publications are solely those of the individual author(s) and contributor(s) and not of MDPI and/or the editor(s). MDPI and/or the editor(s) disclaim responsibility for any injury to people or property resulting from any ideas, methods, instructions or products referred to in the content. |
© 2024 by the authors. Licensee MDPI, Basel, Switzerland. This article is an open access article distributed under the terms and conditions of the Creative Commons Attribution (CC BY) license (https://creativecommons.org/licenses/by/4.0/).
Share and Cite
Zhang, Y.; Gao, Y.; Huang, L.; Xie, X. An Improved Grey Wolf Optimizer Based on Attention Mechanism for Solving Engineering Design Problems. Symmetry 2025, 17, 50. https://doi.org/10.3390/sym17010050
Zhang Y, Gao Y, Huang L, Xie X. An Improved Grey Wolf Optimizer Based on Attention Mechanism for Solving Engineering Design Problems. Symmetry. 2025; 17(1):50. https://doi.org/10.3390/sym17010050
Chicago/Turabian StyleZhang, Yuming, Yuelin Gao, Liming Huang, and Xiaofeng Xie. 2025. "An Improved Grey Wolf Optimizer Based on Attention Mechanism for Solving Engineering Design Problems" Symmetry 17, no. 1: 50. https://doi.org/10.3390/sym17010050
APA StyleZhang, Y., Gao, Y., Huang, L., & Xie, X. (2025). An Improved Grey Wolf Optimizer Based on Attention Mechanism for Solving Engineering Design Problems. Symmetry, 17(1), 50. https://doi.org/10.3390/sym17010050



