Abstract
This paper presents new approximate formulas for evaluating the maximum displacements of an elastic layer loaded on a circular or square area. The approximate formulas are based on the exact solutions of the theory of elasticity for a half-space and the elastic layer and offer a simple and quick way to obtain the values of displacements. The novelty of these formulas lies in their ease of application while maintaining high accuracy with respect to the exact solution of the theory of elasticity, which can make them useful in engineering practice and allows for the quick and efficient estimation of displacement values without the need for complex numerical methods—merely a pocket calculator is enough. This is beneficial from an engineering point of view, where time and resources may be limited. This article also provides an analysis of the maximum displacements of different elastic layers—slipping on a non-deformable base (a load on a circular or square area) or fixed on a non-deformable base (a load on a circular area).
1. Introduction
When solving certain problems of the theory of elasticity, serious difficulties are encountered. There is neither a general solution nor a general method for solving the basic equations of the theory of elasticity [1]. There are a number of analytical and numerical methods of solving differential equations of the theory of elasticity in special cases. Various representations of the displacement vector along with examples of their applications in various issues are presented, among others, in monographs [1,2,3,4,5,6,7,8]. Almost all of these representations are based on Almansi’s theorem (the sum of two harmonic functions in the form φ + xi ψ is a biharmonic function) and on the representation of the displacement vector in Helmholtz’s form [2].
Analytical solutions to special cases can be obtained using the representations of Treftz, Papkowicz-Neuber, Galerkin, Love, Lamé, Helmholtz, etc. A number of stress functions have been introduced, which are often biharmonic functions. Solutions to the relevant differential equations were obtained using the methods of integral transformations by Fourier (exponential, cosine, and sine), Hankel, and Laplace. There are also other, exact or formally exact, approximated analytical and numerical methods for solving differential equations, which in many cases, lead to the final goal. Some of them are as follows [1]: inverse and semi-inverse methods, the method of complex stress functions in the plane problem of the theory of elasticity, integral transformations, and approximate analytical and numerical methods.
Numerical methods, such as the finite difference method, collocation method, finite element method, boundary element method, etc., are widely used in solving the equations of the theory of elasticity.
The finite element method appeared in the 1960s in a monograph [9]. This universal method is now widely used for calculations of complex engineering problems, including road surface mechanics [10]. With the use of appropriate programs based on the finite element method, approximate solutions can be obtained but it is not possible to obtain precise analytical results.
Possibilities of constructing exact solutions and obtaining final analytical formulas for the quantities being sought according to the theory of elasticity are limited, both in the case of 3D and 2D issues. Exact solutions can be obtained with the methods described above only for areas having geometrically simple boundaries, and most often only for spaces and half-spaces [1]. Analytical solutions of various contact issues are also presented in references [11,12,13,14,15].
The modelling of elastic layered systems is a key aspect of understanding the mechanical behavior of materials in various engineering applications. Advances in mathematical modelling have enabled more precise approximations in predicting stress and displacement distribution. In order to obtain a solution of the equations of the theory of elasticity, the engineer, in most cases, must use approximate methods: the finite element method, the boundary element method, and other variational methods. Such calculations take time and require advanced tools and sometimes expensive equipment. For this reason, it seems important to use approximate formulas to estimate the magnitude of the maximum displacement of a layer subjected to surface loading. These approximate formulas can be tools supporting engineers in design.
This study aims to develop and apply approximate analytical solutions for elastic layers. It contributes to refining mathematical models for practical engineering applications.
Within the frameworks of this work, approximate formulas for determining displacements for a layer loaded on the area of a circle with radius a or a square with side 2a will be presented. The nature of these loads is symmetric—the circular loads are axisymmetric and the square loads are double-reflectionally symmetric—which significantly facilitates the considerations.
The problem of determining the displacements of an elastic layer subjected to surface loading is widely used in various fields of engineering, for example, designing foundations or road surfaces. In this case, the approximate formulas can be used to quickly assess the displacement of the soil under load, and thus also the settlement of the structure founded on this ground. They make it easier to estimate how the elastic layer behaves when subjected to an external load, which is important for design. In the preliminary phase of engineering designs, the approximate formulas allow engineers to quickly estimate the behavior of the elastic layer without the need for complex and time-consuming numerical calculations.
2. Materials and Methods
In this section, the exact solutions of the theory of elasticity for a half-space and an elastic layer are presented, both loaded on an area of a circle with radius a (axisymmetric load, Figure 1a) or on an area of a square with side 2a (double-reflectionally symmetric load, Figure 1b). The mathematical formulas presented for circular and square load areas provide a basis for the development of approximate solutions. The exact solutions discussed here serve as a benchmark for evaluating the accuracy and applicability of the proposed approximate methods.
Figure 1.
Elastic layer subjected to load (a) on a circular area and (b) on a square area.
2.1. Elastic Half-Space
The distribution of the maximum displacements uhs and whs of the elastic half-space, at characteristic points (at the midpoint or on the side of the applied load), along direction z or x3 (thickness) in dimensionless coordinates is as follows [16,17]:
- (a)
- (b)
- For the layer loaded on a square area (Figure 1b), where uhs = uhs (ξ, η, ζ), whs = whs (ξ, η, ζ),whereH—layer thickness, a—characteristic dimension of the load, E—Young’s modulus, ν—Poisson’s ratio.
Features and occurring in relations (1), (2) are as follows:
- (a)
- For a half-space loaded on a circular area with radius a (Figure 1a),where elliptical functions (complete elliptic integral of the first kind) and (elliptic integral of the second kind) are defined as [18,19]
- (b)
2.2. Layer Loaded on a Circular Area
In the case of a rotationally symmetrical load of a layer, the solution of the equilibrium equations of the theory of elasticity, expressed in displacements, can be obtained by introducing the Galerkin vector function [2]:
F = F(0, 0, χ)
The system of displacement equations of the theory of elasticity simplifies to the following form:
The displacements, expressed by functions χ, are as follows:
which yields, from the following expressions, the stresses σzz and σrz:
where
and G—shear modulus.
Solving the biharmonic Equation (10) with appropriate boundary conditions, one can find the function of χ being sought. To solve Equation (10), the Hankel integral transformation has been used, defined as follows (cf. e.g. [2,6,20,21,22,23]):
and the retransformation is given by the following formula:
where J0—the Bessel function of the first kind of zero order [22].
In the case of a layer loaded on a circular area, one can distinguish two main types of boundary conditions which are widely used in the literature, e.g. [16], and depend on the type of interaction between the compressible and incompressible layer:
- A layer freely resting on a non-deformable base (Figure 2a).
Figure 2. Cross-section of a layer subjected to load on a circular area and resting on a non-deformable base: (a) slipping, (b) fixed. - A layer stiffly connected (fixed) to a non-deformable base (Figure 2b).
The first one is used if it is assumed that the lower surface of the elastic layer can move freely in the horizontal plane (e.g., without friction), but there is no possibility of vertical deformation on the contact surface—it is referred to as a layer with the possibility of slipping. Such boundary conditions are used when it is desired to model an elastic layer slipping on a rigid, non-deformable base, e.g., in cases where there is a thin slip layer between two other material layers.
The second type of boundary conditions is used if it is assumed that the lower surface of the elastic layer is completely bonded to an incompressible, non-deformable base—it is referred to as a fixed layer. In this case, both the vertical and horizontal displacements at the contact surface are zero.
The natural boundary conditions for any elastic layer resting on a non-deformable base are as follows: on the surface z = 0, the stresses in the layer are equal to an exerting load, and for z = H, the vertical displacements are zero.
In the case of the layer with the possibility of slipping on a non-deformable base (Figure 2a), the conditions at the edges (assuming p = const) are as follows (written as integral transforms):
where J1—the Bessel function of the first kind of the first order [22].
However, in the case of a layer fixed to a non-deformable base (Figure 2b), the conditions at the edges are as follows (written as integral transforms):
2.3. Layer Loaded on a Square Area
In the case of the layer loaded on a square area with side 2a (Figure 1b and Figure 3), the displacement vector can be expressed with the use of the Papkowicz–Neuber representation in the following form [2]:
where
Figure 3.
Cross-section of a layer subjected to load on a square area and resting on a non-deformable base.
The function χ = χ(x3) is harmonic and satisfies the Laplace equation:
with the following boundary conditions:
Expressing the displacement vector components by the function χ, one obtains the following:
The boundary conditions (21) correspond to a layer resting freely on a non-deformable base (slipping).
The application of the double Fourier transformation [21,24],
and its inversion,
to Equation (20) and consideration of the boundary conditions (21) gives subsequent transforms of the function χ and the displacements ui.
Calculations of the integrals of the inverse Fourier transform are tedious. Results can be obtained with the use of the numerical integration.
3. Results—Approximate Solution for the Elastic Layer
In this section, a methodology of a derivation of approximate solutions for the displacement in an elastic layer with a thickness λ, subjected to uniform loading on a circular or square area has been introduced. By leveraging the exact solutions from the previous section, modified formulas have been developed which can be applied to layers of varying thicknesses. These approximate solutions are intended to be practical tools for engineers, offering a balance between accuracy and computational efficiency.
3.1. Layer Loaded on a Circular Area
3.1.1. Layer Fixed to a Non-Deformable Base
As it results from Formulas (1), (4), and (5), the displacement functions depend on the characteristic dimension a of the applied load and the load magnitude p, as well as the material constants Young’s modulus E and Poisson’s ratio ν.
In order to obtain approximate formulas, Formulas (4) and (5) have been modified in such a way that the displacements are equal to zero for any thickness ζ = λ:
and are given in Formulas (7) and (8), respectively.
In this way, approximate functions and have been obtained, characterizing a displacement disappearance for a layer of any thickness λ. These functions have the following form:
where 0 ≤ ζ ≤ λ and and are defined by Formula (6).
Such a modification of the formulas for the maximum displacements in the elastic half-space allows one to determine, in an approximate way, the displacements in the fixed layer of any thickness λ based on the exact solution of the theory of elasticity for the elastic half-space.
Figure 4 presents the maximum horizontal displacements , obtained according to the approximate Formula (20) and according to the exact solution of the theory of elasticity for a fixed layer with a thickness λ (unless otherwise indicated, all displacement plots presented in this paper are scaled by the multiplier E/ap, that is, the given actual displacement value is equal to the value in the figure multiplied by ap/E). In Figure 4, the following designations of curves have been introduced:
- (1)
- —horizontal displacements obtained according to the exact solution of the theory of elasticity for a half-space (4).
- (2)
- —horizontal displacements obtained according to the exact solution of the theory of elasticity for the fixed layer.
- (3)
- —horizontal displacements obtained according to the approximate Formula (20).
Figure 4.
Horizontal displacements : (a) for ν = 0; (b) for ν = ¼; (c) for ν = ½ (explanation of the figure is described in the text).
It is shown in Figure 4 that when the layer thickness λ increases, then the horizontal displacements, obtained according to the approximate Formula (27), approach the result of the exact theory of elasticity. In the case of a transition to a half-space , the exact solution of the theory of elasticity for half-spaces (4) can be obtained.
Figure 5 presents diagrams of the maximum vertical displacements of the layer obtained according to the approximate Formula (28) as well as according to the exact solution of the theory of elasticity for the fixed layer having thickness λ. In Figure 5, the following designations of the curve have been introduced:
- (1)
- —vertical displacements obtained according to the exact solution of the theory of elasticity for half-spaces (5).
- (2)
- —vertical displacements obtained according to the exact solution of the theory of elasticity for the fixed layer.
- (3)
- —vertical displacements obtained according to the approximate Formula (28).
Figure 5.
Vertical displacements : (a) for ν = 0; (b) for ν = ¼; (c) for ν = ½ (explanation of the figure is described in the text).
It can be seen in Figure 5 that when the layer thickness λ increases, then the vertical displacements, obtained according to the approximate Formula (28), approach the exact result of the theory of elasticity. In the case of a transition to a half-space the exact solution of the theory of elasticity for half-spaces (5) can be obtained.
The difference between the values of the exact result and approximate displacement and , visible in Figure 4 and Figure 5, can be reduced by introducing error functions , which are defined as follows:
The error function can be approximated, for example, with the following polynomial:
where t1−t4 are its coefficients.
Note that . The addition is needed to take into account that the error function depends on Poisson’s ratio ν. Error function graphs are presented in Figure 6d and Figure 8d, respectively. The error functions (29)) assumed in this way approximate well the difference between the exact result of the theory of elasticity and the approximate Formulas (27) and (28) for a layer with any thickness λ, in particular for the Poisson ratio ν = 0 and ν = ¼.
Finally, the approximating formulas for determining the horizontal and vertical displacements for a layer fixed to a non-deformable base, loaded on the area of a circle with radius a, can be written in the following form:
where
and are given in Formulas (27) and (28), respectively.
In Formula (33), a multiplier has been additionally introduced, allowing one to take into account the reduction in the value of the error function along with the increasing coordinate ζ.
Figure 6 presents the dependencies of the maximum horizontal displacements and on the layer thickness λ, made according to the exact solution of the theory of elasticity for the fixed layer and according to the approximate Formula (33)1 with use of the following curve designation:
- (1)
- —horizontal displacements, obtained according to the exact solution of the theory of elasticity for half-space (4).
- (2)
- —horizontal displacements obtained according to the solution of the exact theory of elasticity for the fixed layer.
- (3)
- —horizontal displacements obtained according to the approximate Formula (33)1.

Figure 6.
Horizontal displacements , , : (a) for ν = 0; (b) for ν = ¼; (c) for ν = ½; (d) error function (solid lines—approximation with the function (34)1) (explanation of the figure is described in the text).
Figure 7 presents the dependencies of the maximum horizontal displacements and on the variable ζ, made according to the exact solution of the theory of elasticity for the fixed layer and according to the approximate formula (33)1.

Figure 7.
Horizontal displacements: (a) , for ν = 0; (b) , for ν = ¼; (c) , for ν = ½; (d) , for ν = 0; (e) , for ν = ¼; (f) , for ν = ½ (explanation of the figure is described in the text).
Figure 8 presents the dependencies of the maximum vertical displacements and on the layer thickness λ, made according to the exact solution of the theory of elasticity for the fixed layer and according to the approximate Formula (33)2 with the use of the following curve designations:
- (1)
- —vertical displacements obtained according to the exact solution of the theory of elasticity for half-spaces (5).
- (2)
- —vertical displacements obtained according to the exact solution of the theory of elasticity for the fixed layer.
- (3)
- —vertical displacements obtained according to the approximate Formula (33)2.

Figure 8.
Vertical displacements , , : (a) for ν = 0; (b) for ν = ¼; (c) for ν = ½; (d) error function (solid lines—approximation with Function (34)2) (explanation of the figure is described in the text).
Figure 9 presents the dependencies of the maximum vertical displacements and on the variable ζ, made according to the exact solution of the theory of elasticity for the fixed layer and according to the approximate Formula (33)2.

Figure 9.
Vertical displacements: (a) , for ν = 0; (b) , for ν = ¼; (c) , for ν = ½; (d) , for ν = 0; (e) , for ν = ¼; (f) , for ν = ½ (explanation of the figure is described in the text).
Figure 10 presents the dependencies of the maximum horizontal displacements , and vertical displacements , on Poisson’s ratio ν, made according to the exact solution of the theory of elasticity for the fixed layer and according to the approximate Formula (33).

Figure 10.
Displacements for various Poisson’s ratios: (a) , ; (b) , ; (c) , ; (d) , (explanation of the figure is described in the text).
Table 1 and Table 2 present the values of the maximum horizontal displacements , and vertical displacements , , obtained according to the exact solution of the theory of elasticity for the fixed layer and according to the approximate Formulas (33).
Table 1.
Comparison of maximum horizontal displacements for the fixed layer.
Table 2.
Comparison of maximum vertical displacements for the fixed layer.
According to Figure 6, Figure 7, Figure 8, Figure 9, Figure 10 as well as to Table 1 and Table 2, the approximate Formulas (33), based on the exact solution of the theory of elasticity for half-space, allow to determine, with high accuracy, the maximum displacements of the fixed layer, resting on a non-deformable base for any λ and ζ ≤ λ (it does not apply to the dependence of horizontal displacements on the variable ζ for ν = ½).
3.1.2. Slipping Layer Resting on a Non-Deformable Base
In the case of a slipping layer, resting on a non-deformable base (Figure 2a), the determination of an approximate formula for horizontal displacements has been omitted in this work. The reason for this is that the use of Formula (25), which is crucial for calculations of the horizontal displacements, gives zero values for the bottom of such a layer which does not correspond to the boundary conditions for the slipping layer. In this case, after analogical derivations as in Section 3.1.1, the approximate formula for vertical displacements can be written in the following form:
where
Figure 11 presents the dependencies of the maximum vertical displacements , on the layer thickness λ, made according to the exact solution of the theory of elasticity for the slipping layer and according to the approximate Formula (36) with the use of the following curve designation:
- (1)
- —vertical displacements obtained according to the exact solution of the theory of elasticity for a half-space (5);
- (2)
- —vertical displacements obtained according to the exact solution of the theory of elasticity for the slipping layer;
- (3)
- —vertical displacements obtained according to the approximate Formula (36).
Figure 11.
Vertical displacements , , : (a) for ν = 0; (b) for ν = ¼; (c) for ν = ½; (d) error function (solid lines—approximation with function (37)) (explanations of the figure are described in the text).
The graph of the error function (37) is presented in Figure 11d.
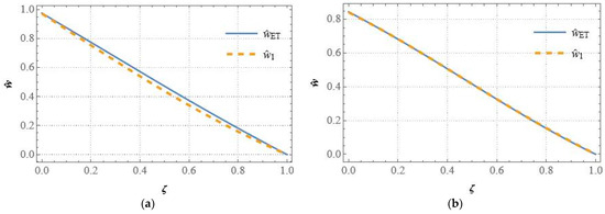
Figure 12 presents the dependencies of the maximum vertical displacements , on the variable ζ, made according to the exact solution of the theory of elasticity for the slipping layer and according to the approximate Formula (36).
Figure 12.
Vertical displacements: (a) , for ν = 0; (b) , for ν = ¼; (c) , for ν = ½; (d) , for ν = 0; (e) , for ν = ¼; (f) , for ν = ½ (explanations for the Figure are described in the text).
Figure 13 presents the dependencies of the maximum vertical displacements , on Poisson’s ratio ν, made according to the exact solution of the theory of elasticity for the slipping layer and according to the approximate Formula (36).
Figure 13.
Vertical displacements: (a) , ; (b) , (explanations for the figure are described in the text).
Table 3 presents the values of the maximum vertical displacements , , obtained according to the exact solution of the theory of elasticity for the slipping layer and according to the approximate Formula (36).
Table 3.
Comparison of maximum vertical displacements for the slipping layer.
It can be seen from Figure 11, Figure 12 and Figure 13 as well as from Table 3 that Formula (36), based on the exact solution of the theory of elasticity for half-spaces, this allows one to determine, with high accuracy, the maximum vertical displacements of the slipping layer, resting on a non-deformable base for any λ and ζ ≤ λ.
3.2. Layer Loaded on a Square Area
In the case of a layer loaded on a square area (Figure 1b), the approximate formula for vertical displacements, after analogical derivations as in Section 3.1.1, can be written in the following form:
where
Figure 14 presents the dependencies of the maximum vertical displacements on the layer thickness λ, drawn up according to the exact solution of the theory of elasticity and according to the approximate Formula (39), with the use of the following curve designation:
Figure 14.
Vertical displacements: (a) , for ν = 0; (b) , for ν = ¼; (c) , for ν = ½; (d) error function (solid lines—approximation with the function (41)) (explanation of the figure is described in the text).
- (1)
- – vertical displacements obtained according to the exact solution of the theory of elasticity for a half-space (8).
- (2)
- —vertical displacements obtained according to the exact solution of the theory of elasticity for the layer.
- (3)
- —vertical displacements obtained according to the approximate Formula (39).
The graph of error function is presented in Figure 14d.
Figure 15 presents the dependencies of the vertical displacements on the variable ζ, made according to the exact solution of the theory of elasticity for the layer and according to the approximate Formula (39).
Figure 15.
Vertical displacements: (a) , for ν = 0; (b) , for ν = ¼; (c) , for ν = ½; (d) , for ν = 0; (e) , for ν = ¼; (f) , for ν = ½ (explanation of the figure is described in the text).
Figure 16 presents the dependencies of the maximum vertical displacements on Poisson’s ratio ν, made according to the exact solution of the theory of elasticity for the layer and according to the approximate Formula (39).
Figure 16.
Vertical displacements: (a) , ; (b) , .
Table 4 presents the values of the maximum vertical displacements , , obtained according to the exact solution of the theory of elasticity for the layer and according to the approximate Formula (39).
Table 4.
Comparison of maximum vertical displacements .
According to Figure 14, Figure 15 and Figure 16 as well as Table 4, the approximate Formula (42), based on the exact solution of the theory of elasticity for half-space, allows one to determine, with high accuracy, the maximum vertical displacements of the layer loaded on a square area for any λ and ζ ≤ λ.
3.3. Calculation Examples
As a numerical example, the application of the presented approximate formulas in specific cases with different parameters was considered, as follows: the characteristic dimension a of the applied load, the value of the applied load p, Young’s modulus E, Poisson’s ratio ν, and the layer thickness λ.
Table 5 and Table 6 show the values of the vertical displacements w(0, 0) of the layer loaded on a circular area (slipping and fixed layer) as well as the values of the vertical displacements w(0, 0, 0) for the layer loaded on a square area. In Table 5, the following data have been assumed: a = 5 m, p = 75 kPa, E = 100 MPa, ν = {0.1, 0.25, 0.45}, λ = 2, and in Table 6, the following ones: a = 7 m, p = 100 kPa, E = 120 MPa, ν = {0.1, 0.25, 0.45}, λ = 3.
Table 5.
Values of maximum displacements in mm for the first set of data.
Table 6.
Values of maximum displacements in mm for the second set of data.
As an example showing the whole calculation procedure, the displacement values for a = 5 m, p = 75 kPa, E = 100 MPa, ν = 0.1, λ = 2 have been calculated:
- Fixed layer, loaded on a circular area, ρ = 0, ζ = 0:(Formula (34)), (Formula (28)), (Formula (33)), (Formula (32)).
- Slipping layer, loaded on a circular area, ρ = 0, ζ = 0:(Form. 37), (Formula (28)), (Formula (36)), (Formula (35)).
- Layer loaded on a square area, ξ = 0, η = 0, ζ = 0:(Formula (41)), (Formula (40)), (Formula (39)), (Formula (38)).
Note that all the presented values apart from w1 are dimensionless.
4. Discussion
In this paper, approximate formulas have been presented that enable the determination of the maximum displacements in the elastic layer, loaded on a circular area having radius a or a square area having side 2a. The developed approximate formulas are based on the exact solution of the theory of elasticity for a half-space and the elastic layer.
In the case of a layer fixed to a non-deformable base, the displacements obtained according to approximate Formula (33) are similar to the exact solution of the theory of elasticity for a fixed layer, resting on a non-deformable base. The differences between the exact and approximate solution occur when ν = ½ and λ = 1. However, as the value of λ increases, the difference between the exact and approximate solution decreases. According to Table 1, the maximum error of the horizontal displacements obtained according to the approximate Formula (33)1 with regard to the strict solution of the theory of elasticity is as follows:
- For ν = 0, 1.98%.
- For ν = ¼, 5.91%.
- For ν = ½, the approximate formula diverges from the exact solution.
However, according to Table 2, the maximum error of the vertical displacements obtained according to the approximate Formula (33)2 with regard to the strict solution of the theory of elasticity is as follows:
- For ν = 0, 0.53%.
- For ν = ¼, 0.52%.
- For ν = ½, 1.25%.
In the case of a slipping layer, resting on a non-deformable base, loaded on a circular area, the vertical displacements obtained according to the approximate Formula (36) are also close to the exact solution of the theory of elasticity. According to Table 3, the maximum error of vertical displacements obtained according to the approximate Formula (36) with regard to the strict solution of the theory of elasticity for the layer is as follows:
- For ν = 0, 0.53%.
- For ν = ¼, 1.33%.
- For ν = ½, 3.06%.
In the case of a layer loaded on a square area, the vertical displacements obtained according to the approximate Formula (39) are also close to the strict solution of the theory of elasticity for a layer. According to Table 4, the maximum error of the vertical displacements obtained according to the approximate Formula (39) is as follows:
- For ν = 0, 0.34%.
- For ν = ¼, 5.26%.
- For ν = ½, 3.49%.
In Table 1, Table 2, Table 3 and Table 4, one can note greater differences between the approximate and exact results for Poisson’s ratio ν = 0.5. This is due to the fact that for ν close to 0.5, materials exhibit a more complex elastic behavior, close to the perfectly incompressible one. This is a borderline case, rarely occurring in construction practice. However, it is worth noting that despite these differences, the errors remain at an acceptable level, especially considering the benefits associated with the simplicity and speed of the calculations.
Table 7 shows a comparison of the maximum displacements for the fixed and slipping layer both loaded on a circular area and for the layer loaded on a square area, as well as the relative percentage difference between the exact solution from the theory of elasticity and the solution obtained according to the approximated Formulas (33)2, (36), and (39).
Table 7.
Maximum vertical displacements of layers with different boundary conditions.
5. Summary
In conclusion, the approximate Formulas (33), (36), and (39) can be used to determine, with high accuracy, the maximum displacements of the layer of any thickness λ (not applicable to horizontal displacements for ν = ½, λ = 1). These formulas offer a simpler and computationally more efficient alternative, which makes them suitable for practical applications where computational resources are limited. The proposed approximate formulas also have other significant advantages making them attractive in the context of engineering applications. Here are the main ones:
- The speed of the calculations—results can be obtained in a short time using only a pocket calculator.
- The simplicity of use—they require only basic knowledge of the theory of elasticity, are available to people who do not have access to advanced computational tools, and can be used at the initial design phase.
- The high accuracy—the results, though approximated, are very accurate when compared to the exact solutions of the theory of elasticity, and the errors are at a level which is acceptable for many engineering applications.
- The flexibility in applications—these formulas can be used for layers of different thicknesses and in different load configurations, for both round and square loads.
- The facilitation of early design decisions in a conceptual phase of the project, when full calculations are not yet available.
The approximate formulas presented in this paper can be effective tools in the preliminary design phase, enabling engineers to quickly estimate the displacements of the elastic layer subjected to surface loading. Their use can help optimize a design process, especially in situations when quick engineering decisions are required.
Although, in the paper, the variability range of the parameter λ was considered between 1 and 10, the obtained approximate formulas can also be used for layers with higher thicknesses. This is due to the fact that when λ increases, the additional term tends towards 0 and the difference between the exact and approximate solution decreases.
As has been shown in Section 3.1.1, approximate formulas can be obtained in a similar way for another spatial coordinate: ρ, ξ or η.
In the limit case , the approximate formulas for the displacements of the layer (33), (36), and (39) enable one to obtain the exact result of the theory of elasticity for a half-space.
It should also be noted that the Formulas (27) and (28), based on the exact solution of the theory of elasticity for a half-space, can be used to determine the displacement function ψ(ζ), which can be applied in the Vlasov subsoil model (cf. [17]).
The approximate methods of analysis presented in this work can be further developed by considering the effects of material inhomogeneity, which aligns with the approach presented in [23], where detailed models allowed for a more accurate representation of real conditions.
Further research may focus on more complex models taking material inhomogeneity into account, which, as demonstrated in [24], leads to more precise results in the analysis of elasticity in layered systems.
Author Contributions
Conceptualization, M.N.; methodology, M.N.; software, M.N.; validation, M.N. and M.C.; formal analysis, M.N.; investigation, M.N.; resources, M.N.; data curation, M.N.; writing—original draft preparation, M.N. and M.C.; writing—review and editing, M.C.; visualization, M.N. and M.C.; supervision, M.C. All authors have read and agreed to the published version of the manuscript.
Funding
This research received no external funding.
Data Availability Statement
The raw data supporting the conclusions of this article will be made available by the authors on request.
Conflicts of Interest
The authors declare no conflicts of interest.
References
- Hahn, H.G. Elastizitätstheorie: Grundlagen der Linearen Theorie und Anwendungen auf Eindimensionale, Ebene und Räumliche Probleme; Vieweg+Teubner Verlag: Stuttgart, Germany, 1985. [Google Scholar] [CrossRef]
- Nowacki, W. Teoria Sprężystości; PWN: Warszawa, Poland, 1970. [Google Scholar]
- Rekač, V. Rukovodstvo k Rešeniû Zadač Prikladnoj Teorii Uprugosti; Vysšaâ škola: Moskva, Russia, 1966. [Google Scholar]
- Szeptyński, P. Szczegółowe Omówienie Podstawowych Zagadnień Teorii Sprężystości; Politechnika Krakowska im. Tadeusza Kościuszki: Kraków, Poland, 2020. [Google Scholar]
- Timoshenko, S.; Goodier, J. Theory of Elasticity; McGraw-Hill Book Company: New York, NY, USA, 1951. [Google Scholar]
- Sneddon, I.N.; Berry, D.S. The Classical Theory of Elasticity. In Elasticity and Plasticity/Elastizität Und Plastizität; Flügge, S., Ed.; Springer: Berlin/Heidelberg, Germany, 1958; pp. 1–126. [Google Scholar] [CrossRef]
- Uflând, Â.S. Integralʹnye Preobrazovaniâ v Zadačah Teorii Uprugosti, 2nd ed.; Nauka: Moskva-Leningrad, Russia, 1963. [Google Scholar]
- Lur’e, A.I. Prostranstvennye Zadači Teorii Uprugosti; Gos. Izdatel’stvo Tehniko-Teoretičeskoj Literatury: Moskva, Russia, 1955. [Google Scholar]
- Zienkiewicz, O. Metoda Elementów Skończonych, 2nd ed.; Arkady: Warszawa, Poland, 1972. [Google Scholar]
- Nagórski, R.; Błażejowski, K.; Gilewski, W.; Marczuk, K.; Nagórska, M.; Sitek, M.; Stawarz, P.; Wiśniakowski, P. Mechanika Nawierzchni Drogowych w Zarysie, 1st ed.; PWN: Warszawa, Poland, 2014. [Google Scholar]
- Johnson, K.L. Contact Mechanics; Cambridge University Press: Cambridge, UK, 1985. [Google Scholar] [CrossRef]
- Hills, D.A.; Nowell, D.; Sackfield, A. Mechanics of Elastic Contacts; Butterworth-Heinemann: Oxford, UK, 2007. [Google Scholar] [CrossRef]
- Galin, L.A. Contact Problems; Springer: Dordrecht, The Netherlands, 2008. [Google Scholar] [CrossRef]
- Barber, J.R. Contact Mechanics; Springer: Cham, Switzerland, 2018. [Google Scholar] [CrossRef]
- Popov, V.; Heß, M.; Willert, E. Handbook of Contact Mechanics. Exact Solutions of Axisymmetric Contact Problems; Springer: Berlin/Heidelberg, Germany, 2019. [Google Scholar] [CrossRef]
- Jemioło, S.; Szwed, A. Zagadnienia Statyki Sprężystych Półprzestrzeni Warstwowych, 2nd ed.; Oficyna Wydawnicza PW: Warszawa, Poland, 2017. [Google Scholar]
- Nagirniak, M. Modification of the Vlasov Subsoil Model. Ph.D. Thesis, Warsaw University of Life Sciences, Warsaw, Poland, 2023. (In Polish). [Google Scholar]
- Wolfram Language. EllipticE. Wolfram Language & System Documentation Center. Available online: https://reference.wolfram.com/language/ref/EllipticE.html (accessed on 10 June 2024).
- Wolfram Language. EllipticK. Wolfram Language & System Documentation Center. Available online: https://reference.wolfram.com/language/ref/EllipticK.html (accessed on 10 June 2024).
- Sneddon, I.N. Fourier Transforms, 1st ed.; McGraw-Hill: New York, NY, USA; Toronto, ON, Canada; London, UK, 1951. [Google Scholar]
- Nowacki, W. Dynamika Budowli; PWN: Warszawa, Poland, 1961. [Google Scholar]
- Watson, G. A Treatise on the Theory of Bessel Functions, 2nd ed.; Cambridge University Press: London, UK, 1966. [Google Scholar]
- McLachlan, W. Bessel Functions for Engineers, 1st ed.; Oxford University Press: London, UK, 1934. [Google Scholar]
- Tokovyy, Y.; Ma, C.C. An Analytical Solution to the Three-Dimensional Problem on Elastic Equilibrium of an Exponentially-Inhomogeneous Layer. J. Mech. 2015, 31, 545–555. [Google Scholar] [CrossRef]
Disclaimer/Publisher’s Note: The statements, opinions and data contained in all publications are solely those of the individual author(s) and contributor(s) and not of MDPI and/or the editor(s). MDPI and/or the editor(s) disclaim responsibility for any injury to people or property resulting from any ideas, methods, instructions or products referred to in the content. |
© 2024 by the authors. Licensee MDPI, Basel, Switzerland. This article is an open access article distributed under the terms and conditions of the Creative Commons Attribution (CC BY) license (https://creativecommons.org/licenses/by/4.0/).