Next Article in Journal
Explosion and Dynamic Transparency of Low-Density Structured Polymeric Targets Irradiated by a Long-Pulse KrF Laser
Next Article in Special Issue
Modeling of System Availability and Bayesian Analysis of Bivariate Distribution
Previous Article in Journal
Two Forms for Maclaurin Power Series Expansion of Logarithmic Expression Involving Tangent Function
Previous Article in Special Issue
Theoretical Aspects for Bayesian Predictions Based on Three-Parameter Burr-XII Distribution and Its Applications in Climatic Data
 
 
Font Type:
Arial Georgia Verdana
Font Size:
Aa Aa Aa
Line Spacing:
Column Width:
Background:
Article

Estimation and Prediction for Alpha-Power Weibull Distribution Based on Hybrid Censoring

1
Department of Statistics, Faculty of Business Administration, Delta University for Science and Technology, Gamasa 11152, Egypt
2
Department of Mathematical Statistical, Faculty of Graduate Studies for Statistical Research, Cairo University, Cairo 12613, Egypt
3
Department of Mathematical Sciences, College of Science, Princess Nourah bint Abdulrahman University, P.O. Box 84428, Riyadh 11671, Saudi Arabia
4
Department of Statistics, Al-Azhar University, Cairo 11751, Egypt
*
Author to whom correspondence should be addressed.
Symmetry 2023, 15(9), 1687; https://doi.org/10.3390/sym15091687
Submission received: 15 June 2023 / Revised: 29 July 2023 / Accepted: 18 August 2023 / Published: 2 September 2023

Abstract

:
This work discusses the issues of estimation and prediction when lifespan data following alpha-power Weibull distribution are observed under Type II hybrid censoring. We calculate point and related interval estimates for both issues using both non-Bayesian and Bayesian methods. Using the Newton–Raphson technique under the classical approach, we compute maximum likelihood estimates for point estimates in the estimation problem. Under the Bayesian approach, we compute Bayes estimates under informative and non-informative priors using the symmetric loss function. Using the Fisher information matrix under classical and Bayesian techniques, the corresponding interval estimates are derived. Additionally, using the best unbiased and conditional median predictors under the classical approach, as well as Bayesian predictive and associated Bayesian predictive interval estimates in the prediction approach, the predictive point estimates and associated predictive interval estimates are computed. We compare several suggested approaches of estimation and prediction using real data sets and Monte Carlo simulation studies. A conclusion is provided.

1. Introduction

Using predictive analytics to foresee business outcomes may save time, money, and effort. More information will be accessible to help make better judgments. Organizations may also uncover possibilities and address their own challenges by providing precise and trustworthy insights. Aggregate data may be evaluated, using predictive analytics, to find new prospects for consumer acquisition. Prediction, which is important in many domains, has drawn greater attention in recent years. For instance, in business, an experimenter may wish to estimate the lifespan of an unseen future unit using data from a present sample. If so, the producer or the experimenter may release their goods into the market with the intention of capturing customers’ attention and increasing demand by lowering the thresholds for their warranties. See [1,2,3] for additional details regarding the applicability of predictions in business and industry.
In cases involving parametric estimating, we usually assume the availability of a group of samples selected at random from a preset number of units (n). Furthermore, it is anticipated that random observations will fit a certain distribution. In practice, however, it is conceivable that not all of the unit observations are accessible, as some unit observations are either not captured or are lost during intermediary transmission. These data are referred to as censored samples. In the literature, there are techniques for estimating sample instances that have already been censored. Notably, from a theoretical standpoint, censoring may not be the most efficient method of conducting experiments because it reduces the number of observations. However, due to administrative, logistical, and budgetary limitations, restricted observations must be available. In other words, censoring systems compensate for an estimator’s loss of efficiency by providing administrative simplicity at a lower cost.
Numerous censoring methods have been examined in statistical literature, including time censoring (Type I censoring), item censoring (Type II censoring), Type I and Type II hybrid censoring, and progressive censoring. It should be noted that while the length of a test is assured if the experiment is stopped at a preset period (T), the results may differ if a censored sample’s observations are randomly distributed. However, even if this censoring provides a certain efficiency, the test’s duration becomes random if it is halted after a predefined number of observations. Hybrid censoring, created by combining the Type I and Type II censoring methods, provides a more flexible and useful life-testing technique.
After a predetermined time, the T of an experiment’s duration or a predetermined number (R) of observations have been acquired, and the test is ended using Type I hybrid censoring. For example, if X R : n stands for the R t h ordered failure time, the experiment will end at m i n ( T , X R : n ) . This ensures that the test will take less time than T, but the number of observations will fluctuate and be lower than R. Epstein [4] first presented the Type I hybrid censoring method, which was utilized in a subsequent reliability acceptance test [5]. With respect to Type I hybrid censored data, several authors have studied the estimation of the unknown parameters for different probability distributions (see, for example, [6,7,8,9]).
In several fields, such as medicine, the military, and aeronautics, efficiency levels are more important than experiment duration. Therefore, a censoring strategy may be proposed, in which the test is stopped when a predetermined number of observations are gathered and a predetermined time for the duration of the experiment is reached—i.e., the experiment is stopped at m a x ( T , X R : n ) . This method is called the Type II hybrid censoring technique. It should be noted that the total number of observations in this censoring technique is random, but it will not be less than R. This ensures a minimal efficiency, although the length of the test can vary and continue beyond T. A thorough analysis of hybrid censoring systems, with generalizations and applications in competitive-risk and step-stress modeling, was provided by [10]. Additionally, for estimating the parameters under Type II hybrid censoring schemes, see [11,12,13].
Future-order statistics prediction arises readily in a variety of real-world circumstances. Here, we focus on future-order statistics estimates using the Bayesian paradigm. Predictive posterior distribution was first discussed by [14] in relation to prediction issues. Since then, other censoring techniques have been included in prediction tasks. Ebrahmini [15] provided two examples of Type I hybrid censoring prediction problems for exponential distributions. The one-sample and two-samples prediction problems, based on Type I hybrid censored samples for the general class of distribution and for generalized Lindley distribution, respectively, were studied by [16]. Based on a Type II hybrid censored sample for a generic class of distribution, Balakrishnan and Shafay [17] devised an estimation approach for one-sample and two-samples prediction issues.
Alpha-power Weibull (APW) distribution is significant because it extends the Weibull distribution and can model monotone and non-monotone failure rate functions, which are crucial in reliability research. In fact, the Weibull distribution’s widespread application in reliability theory and the generalization’s flexibility in lifetime data analysis served as the APW distribution’s main sources of inspiration. Moreover, Nassar et al. [18] developed the APW model to provide a new generalization of the Weibull distribution based on the proposed Weibull model. The following is a list of the probability-density function (pdf), cumulative distribution (cdf), the associated hazard rate function (hrf), and the reversed hazard rate function (rhrf).
f x = l o g α α 1 θ λ x θ 1 e λ x θ α 1 e λ x θ ,   α ,   λ ,   θ > 0 ,   x 0 ,
F x = 1 1 α 1 α 1 e λ x θ ,   α ,   λ ,   θ > 0 ,   x 0 ,
h x = l o g α α e λ t θ 1 θ λ x θ 1 e λ x θ ,   α ,   λ ,   θ > 0 ,   x 0 ,
and
r h x = l o g α 1 α 1 e λ x θ θ λ x θ 1 e λ x θ α 1 e λ x θ ,   α ,   λ ,   θ > 0 ,   x 0 ,
The formula for the mean time to failure (MTF) is
M T F = E X = 0 R x d x = α 1 α 0 1 α e λ x θ d x .
Despite there being a wealth of research on estimates under hybrid censoring and the APW distribution being superior to many competing distributions, including the Weibull, alpha power exponential, McDonald Weibull, beta Weibull, transmuted Weibull, gamma Lomax, Zografos–Balakrishnan log-logistic, exponentiated Weibull, and exponentiated Weibull distributions, there is no body of work discussing the prediction of the future ordered statistics based on hybrid censored samples for the APW model. In addition, there is not much information available regarding research achieving classical and Bayesian estimates of the unknown parameters, reliability, hazard rate functions, and the MTF for APW distribution under hybrid Type II censoring. All of these gaps in the current literature prompted us to produce this work, which has three major purposes. The first goal is to examine the issue of estimating the unknown parameters, reliability, hazard rate functions, and the MTF of APW distribution using classical and Bayesian methods of estimation under Type II hybrid censoring. We also calculate the corresponding interval estimates for the model parameter. The second goal is to obtain one- and two-sample Bayesian prediction problems. Also, the one- and two-sample Bayesian prediction interval limits are constructed based on the Type II hybrid censored data. The third goal is to perform a simulation study to ensure the theoretical results of the paper and that an actual data set is given to indicate the proposed methodology in real life.
The rest of the article is organized as follows: Both classical and Bayesian approaches are used to estimate the parameters, reliability, hazard rate, and the MTF under Type II hybrid censoring, and the associated interval limits of the unknown parameters are determined in Section 2. In Section 3, it is discussed how to solve for one- and two-sample Bayesian predictive posterior density. Also built in this section are the prediction boundaries for next samples. The results of the Monte Carlo simulation are studied in Section 4 to allow for the comparison of the performance of the suggested estimators. In Section 5, an actual data set is examined as an example. Concluding remarks are provided in Section 6 at the end of this essay.

2. Estimation Based on Type II Hybrid Censored Samples

2.1. Maximum Likelihood

Assume that n identical units are put through a life test, and that they all have lives that follow the APW distribution specified in the pdf Equation (1). The life test is ended at m a x ( X R : n , T ) , where X R : n stands for the R t h order statistic, or at the later of a predetermined time (say, T) and a predetermined number of failures (say, R n ). The following scenarios would result in the random observations being obtained under this sort of censoring system (also called the Type II hybrid censoring method):
Case   I :   If   T < X R : n ,   then X 1 : n , X 2 : n , , X R : n .
Case   II :   X 1 : n , X 2 : n , , X k : n   if   X r : n T ,   R < k < n .
Case   III :   if   X n : n T ,   then   X 1 : n , X 2 : n , , X n : n .
According to the Type II hybrid censoring method, the likelihood function can be expressed as follows:
L α , β , θ x _ = n ! n r o ! i = 1 r o f x i 1 F t o n r o ; = n ! n r o ! i = 1 r o l o g α α 1 θ λ x i θ 1 e λ x i θ α 1 e λ x i θ 1 1 α α e λ t o θ 1 n r o ,
where
r o = R   C a s e   I k   C a s e   I I n   C a s e   I I I , t o = X R : n : C a s e   I T : C a s e   I I X R : n : C a s e   I I I
The log-likelihood function, l is provided by
l = l o g n ! n r o ! + r o l o g l o g α α 1 + r o l o g θ + r o l o g λ + θ 1 i = 0 r o l o g x i λ i = 0 r o l o g x i       + l o g α i = 0 r o 1 e λ x i θ n r o l o g 1 α + n r o l o g α e λ t o θ 1 .
The following log-likelihood equations can be simultaneously solved to give the maximum likelihood estimates (MLEs), α ^ , β ^ and λ ^ .
l α = 1 α l o g α + 1 α i = 0 r o 1 e λ x i θ 1 + n r o α + n r o α e λ t o θ + 1 α e λ t o θ 1 ,
l θ = r o θ + i = 0 r o l o g x i λ l o g α i = 0 r o e λ x i θ x i θ l o g x i + n r o λ t o θ l o g t o e λ t o θ α e λ t o θ α e λ t o θ 1 ,
and
l λ = r o λ i = 0 r o l o g x i + l o g α i = 0 r o e λ x i θ x i θ + n r o α e λ t o θ t o θ e λ t o θ α e λ t o θ 1 ,
As can be seen, the aforementioned equations cannot be solved explicitly and must instead be solved numerically using an iterative process. It is impossible to explicitly obtain the precise distribution of MLEs. Nonetheless, it is possible to build the confidence intervals for the parameters using the asymptotic characteristics of MLEs. The MLEs of the reliability (rf), hrf, and MTF may be directly calculated, respectively, by applying the invariance property of the maximum likelihood function, as shown below:
R ^ x = α ^ α ^ 1 1 α ^ 1 e λ ^ x θ ^ ,
h ^ x = λ ^ θ ^ l o g α ^ x θ ^ 1 e λ ^ x θ ^ α ^ e λ ^ x θ ^ 1 ,
and
M T F ^ = E X = 0 R x d x = α 1 α 0 1 α e λ x θ d x .
The MLEs ( α ^ , θ ^ , λ ^ ) roughly follow a bivariate normal distribution under some regularity criteria, with mean ψ = α , θ , λ and variance matrix σ = I 1 α ^ , θ ^ , λ ^ , where I ( α ^ , θ ^ , λ ^ ) is the observed Fisher’s information matrix, which is given by
I α ^ , θ ^ , λ ^ = 2 l α 2 2 l α θ 2 l α λ 2 l α θ 2 l θ 2 2 l θ λ 2 l α λ 2 l θ λ 2 l λ 2 ( α ^ , θ ^ , λ ^ ) ,
where
2 l α 2 = 1 + l o g α α 2 l o g α 2 + 1 α 2 i = 0 r o 1 e λ x i θ 1 n r o α 2 1 + e λ t o θ e λ t o θ α e λ t o θ 2 ,
2 l α θ = 1 α i = 0 r o λ x i θ l o g x i e λ t o θ + n r o λ t o θ e λ t o θ α e λ t o θ 1 α e λ t o θ 1 e λ t o θ 1 α e λ t o θ α e λ t o θ 1 2 ,
2 l α λ = 1 α i = 0 r o x i θ e λ t o θ + n r o t o θ e λ t o θ α e λ t o θ 1 α e λ t o θ α e λ t o θ 1 2 ,
2 l θ 2 = r o θ 2 + λ l o g α i = 0 r o l o g x i e λ x i θ x i θ l o g x i λ x i θ 1        + λ n r o l o g α 2 e λ t o θ t o θ α e λ t o θ 1 λ t o θ λ t o θ e λ t o θ α e λ t o θ 1 λ t o θ e λ t o θ α e λ t o θ α e λ t o θ 1 2 ,
2 l θ λ = l o g α i = 0 r o e λ x i θ x i θ λ l o g x i         + n r o t o θ l o g t o e λ t o θ α e λ t o θ 1 λ t o θ + λ t o θ e λ t o θ α e λ t o θ 1 λ t o θ e λ t o θ α e λ t o θ α e λ t o θ 1 2 ,
2 l λ 2 = r o λ 2 l o g α i = 0 r o x i 2 θ e λ x i θ t o 2 θ n r o e λ t o θ α e λ t o θ α e λ t o θ 1 2 α e λ t o θ 1 e λ t o θ ,
The asymptotic variances for the parameters ψ = α , θ , λ , are provided by the diagonal elements of I 1 α ^ , θ ^ , λ ^ , respectively. One may obtain the two-sided ( 1 ϕ ) 100 % normal approximation confidence interval as
ψ ^ Z ϕ / 2 v a r ψ ^ ,
where Z is the common normal variate.

2.2. Bayesian Estimation

On the basis of a Type II hybrid censored sample, we suggested Bayes estimators of the APW distribution’s unknown parameters in this section. We must define the prior distributions for the parameters in Bayesian estimation. The authors of [19] proposed a number of methods for earlier definitions. Assuming the functional form for the prior density, eliciting its parameter(s), also known as the hyper-parameter(s), is the simplest method for prior specifications. The gamma distribution contains closed-form equations for moments and is highly versatile and able to accept different density forms. In some situations, it also offers conjugacy and mathematical simplicity. The gamma distribution has been extensively used in Bayesian estimation as a prior distribution for the parameters of the other lifespan distributions. Moreover, we assume that ψ = α , θ , λ are independent gamma random variables in this study. For more details, see [20,21,22]. The prior distribution of ψ = α , θ , λ are provided by
π 1 α α ν 1 1 e υ 2 α ; α 0 , ν 1 , ν 2 > 0 , π 2 θ θ ν 3 1 e υ 4 θ ; θ 0 , ν 3 , ν 4 > 0 , π 3 λ λ ν 5 1 e υ 6 λ ; λ 0 , ν 5 , ν 6 > 0 ,
where it is assumed that the hyper-parameters ν 1 , ν 2 , ν 3 , ν 4 , ν 5 , and ν 6 are known and are selected to represent the previous assumption about the unknown parameters. These can be acquired if we can predict the parameter’s anticipated values using the prior mean ( M ) and confidence in the predicted value using the prior variance ( V ). Consequently, by resolving the following previous moments equations for ν 1 , ν 2 , ν 3 , ν 4 , ν 5 , and ν 6 may be obtained: M = ν 2 ν 1 , V = ν 2 ν 1 2 , M = ν 4 ν 3 , V = ν 4 ν 3 2 , M = ν 6 ν 5 , and V = ν 6 ν 5 2 . The prior densities become non-informative inappropriate prior distributions as soon as ν 1 = ν 2 = ν 3 = ν 4 = ν 5 = ν 6 = 0 ,
π 1 α α 1 ; α 0 , π 2 θ θ 1 ; θ 0 , π 3 λ λ 1 ; λ 0 .
The prior distribution mentioned above occasionally matches the scale-invariant Jeffrey prior (see [23]). You can find the joint posterior density of ψ = α , θ , λ as
π ψ x _ π 1 α π 2 θ π 3 λ L α , β , θ x _ , π ψ x _ α ν 1 1 e υ 2 α + υ 4 θ + υ 6 λ θ ν 3 1 λ ν 5 1 r o l o g l o g α α 1 + r o l o g θ + r o l o g λ + θ 1 i = 0 r o l o g x i λ i = 0 r o l o g x i + l o g α i = 0 r o 1 e λ x i θ n r o l o g 1 α + n r o l o g α e λ t o θ 1 .
It is generally known that the expected value of any parametric function using the posterior distribution, or E π ψ α , θ , λ , is the Bayes estimator of that function, ψ = α , θ , λ , under squared error loss. Consequently, the Bayes estimates of α , θ , and λ are the means of their posteriors. Similar to this, it is simple to construct the Bayes estimates of the reliability and hazard rate under squared error loss as
R ^ t α = 0 θ = 0 λ = 0 α ν 1 1 e υ 2 α + υ 4 θ + υ 6 λ θ ν 3 1 λ ν 5 1 1 1 α α e λ x i θ 1 ( r o l o g l o g α α 1 + r o l o g θ + r o l o g λ         + θ 1 i = 0 r o l o g x i λ i = 0 r o l o g x i + l o g α i = 0 r o 1 e λ x i θ n r o l o g 1 α         + n r o l o g α e λ t o θ 1 ) d λ d θ d α ,
h ^ t α = 0 θ = 0 λ = 0 α ν 1 1 e υ 2 α + υ 4 θ + υ 6 λ θ ν 3 1 λ ν 5 1 l o g α α e λ x i θ 1 θ λ x i θ 1 e λ x i θ ( r o l o g l o g α α 1 + r o l o g θ         + r o l o g λ + θ 1 i = 0 r o l o g x i λ i = 0 r o l o g x i + l o g α i = 0 r o 1 e λ x i θ         n r o l o g 1 α + n r o l o g α e λ t o θ 1 ) d λ d θ d α ,
similar to how the MTF’s Bayes estimate may be determined by
M T F ^ ( t ) α = 0 θ = 0 λ = 0 x = 0 α 1 α 1 α e λ x i θ α ν 1 1 e υ 2 α + υ 4 θ + υ 6 λ θ ν 3 1 λ ν 5 1 ( r o l o g l o g α α 1 + r o l o g θ         + r o l o g λ + θ 1 i = 0 r o l o g x i λ i = 0 r o l o g x i + l o g α i = 0 r o 1 e λ x i θ         n r o l o g 1 α + n r o l o g α e λ t o θ 1 ) d x d λ d θ d α ,
It is clear that the aforementioned expressions, Equations (23)–(25), cannot be resolved in a pleasing closed form. To take a random sample from the joint posterior and enable sample-based inference, we proposed using Markov chain Monte Carlo (MCMC) techniques, such as the Gibbs sampler (see [24]) and Metropolis Hastings algorithm (see [25,26]).

3. Predictive Posterior Density

In this part, we have used a Type II hybrid censored sample to determine the density of future order statistics from the APW distribution. Predictive density is a term used to describe the pdf of the future sample. There are two categories for the prediction problems, with two sample predictions being covered in the following two successive subsections:
1-
One-sample prediction;
2-
Two-sample prediction.

3.1. One Sample Prediction

Out of all the units/items tested, only a small number of them were noticed in the Type II hybrid censoring scheme. In such cases, the investigator could be curious to learn how long the removed surviving units had lived based on the sample at hand.
Let r 0 < n and X s : n ( r 0 < s n ) be the prediction. Given the Type II hybrid censored sample x _ , the conditional distribution of sth order statistics should be as follows:
  • Case I:
f 1 x s : n x _ ; ψ = f x s : n x R : n ; ψ = f X s : n = x s : n , X R : n = x R : n ψ f X R : n = x R : n ψ ,
so
f 1 x s : n x _ ; ψ = n R ! F x s : n F x R : n s R 1 1 F x s : n n s f x s : n n s ! s R 1 ! 1 F x R : n n R ,
where R < s n , and x _ = x 1 : n , x 2 : n , , x R : n x s : n > x R : n . By adding Equations (1) and (2) to Equation (27), we have
f 1 x s : n x _ ; ψ = n R l o g α 1 α α 1 e λ x R : n θ α 1 e λ x s : n θ s R 1 α 1 e λ x s : n θ n s + 1 θ λ x s : n θ 1 e λ x s : n θ α 1 n s ! α 1 e λ x R : n θ n R .
  • Case II:
f 2 x s : n x _ , K = k ; ψ = 1 P R K s 1 k = R s 1 f X s : n = x s : n , X K : n = x k : n K = k , ψ f X K : n = x k : n ψ P K = k ,
where
f X s : n = x s : n , X K : n = x k : n K = k , ψ = n ! F T k 1 f T 1 F x s : n n s f x s : n F x s : n F T s k 1 k 1 ! s k 1 ! n s ! ,
and
f X K : n = x k : n ψ = n ! F T k 1 f T 1 F T n k k 1 ! n k ! .
So,
f 2 x s : n x _ , K = k ; ψ = 1 P R K s 1 k = R s 1 n k ! 1 F x s : n n s f x s : n F x s : n F T s k 1 s k 1 ! n s ! 1 F T n k ,
where x _ = x 1 : n , x 2 : n , , x k : n ;   k < s n , x s : n > T ; and K is a random variable. The value T denotes the maximum number of x i s . Then,
P K = k = n k F T k 1 F T n k ,   k = 0 ,   1 ,   2 , ,   n .
Substituting Equations (1) and (2) into Equation (30), we obtain
f 2 x s : n x _ , K = k ; ψ = θ λ l o g α n k ! P R K s 1 k = R s 1 α 1 α α 1 e λ x s : n θ 1 n s x s : n θ 1 e λ x s : n θ α 1 e λ x s : n θ α 1 e λ T θ α 1 e λ x s : n θ s k 1 α 1 s k 1 ! n s ! α 1 α α 1 e λ T θ 1 n k .
The following formula defines the one-sample predictive posterior density of future observables:
  • Case I:
f 1 * x s : n x _ = α = 0 θ = 0 λ = 0 f 1 x s : n x _ ; ψ π ψ x _ d λ d θ d α .
  • Case II:
f 2 * x s : n x _ = α = 0 θ = 0 λ = 0 f 2 x s : n x _ ; ψ π ψ x _ d λ d θ d α .
Numerical approaches are thus needed to investigate the posteriors’ characteristics as the aforementioned predictive posteriors cannot be reduced to any standard distribution. Using the method described in the previous section, we can utilize the M-H algorithm to extract a sample from the predicted posteriors and provide estimates and forecast intervals for upcoming data. By resolving the following equations, we can also obtain the two-sided 100 ( 1 ϕ ) % prediction intervals ( L s , U s ) for y s .
P y s > U s x _ = ϕ 2 ,   P y s > L s x _ = 1 ϕ 2 .
As the aforementioned equations cannot be solved directly, confidence intervals can be calculated by utilizing any acceptable iterative approach.

3.2. Two-Sample Prediction

In another circumstance, we may be interested in the failure time of the kth ordered observation from a future sample of size N from the same lifespan distribution, i.e., P y ( s ) | ψ , x _ = P y ( s ) | ψ . The two sample prediction issues are the result of this. The sth order statistic’s pdf is provided by
P y s | ψ = N ! s 1 ! N s ! F y s : N k 1 1 F y s : N N k f y s : N ,
And when we add Equations (1) and (2) to Equation (34), we obtain
P y s | ψ = θ λ N ! l o g α α 1 s 1 ! N s ! 1 1 α 1 α 1 e λ y s : N θ k 1 α 1 α α 1 e λ y s : N θ 1 N k y s : N θ 1 e λ y s : N θ α 1 e λ y s : N θ .
As stated below, the two-sample predictive posterior density of a future observation is
P * y s | ψ = α = 0 θ = 0 λ = 0 P y s | ψ , x _ π ψ x _ d λ d θ d α .
As the density in Equation (34) is independent of Type II censoring, it is the same for both instances (Case I and Case II). We can also obtain the predictive density for Case I and Case II by replacing the posterior π ψ x _ of the corresponding case. Using the MCMC techniques covered in the preceding section, it is possible to quantitatively investigate the aforementioned posterior density. By resolving the following two equations, we can also obtain the two-sided 100 ( 1 ϕ ) % prediction intervals ( L k , U k ) for y k
P y k > U k x _ = ϕ 2 , P y k > L k x _ = 1 ϕ 2 .
As the aforementioned equations cannot be solved directly, confidence intervals can be calculated by utilizing any acceptable iterative approach.

4. Simulation

In this section, we give some experimental findings, mostly for the purpose of seeing how the various approaches behave for various sample sizes and time censoring techniques. We use the MLE and Bayes estimators developed by employing the MCMC approach to estimate the unknown parameters. We contrast how well each estimator performs in terms of relative absolute bias (RAB) and MSE. Additionally, as the aim of this section, Bayes prediction has been obtained from the s -th observation, where r 0 < s n for a one-sample and two-sample prediction problem, and is associated with the inference based on the available data, namely x 1 < x 2 < < x r 0 . Specifically, we wish to provide an estimate of the posterior density function of x s given the data and also construct a 100(1 − ϕ )% predictive interval of x s . We consider these two cases separately.
When the parameters α , θ , and λ are supposed to have true values with the time value of α = 0.5 , θ = 0.6 , λ = 0.4 , T = 3 and 4; α = 0.5 , θ = 1.3 , λ = 3 , T = 0.3 and 0.6; α = 0.5 , θ = 0.6 , λ = 3 , T = 0.15 and 0.4; and α = 2 , θ = 1.3 , λ = 3 , T = 0.5 and 0.8, we repeat hybrid censoring scheme data from an APW distribution 5000 times. We chose various sample sizes, such as n = 50 and 100, as well as hybrid censored sample sizes, such as r = 35 and 45 for n = 50, and r = 70 and 85 for n = 100. For Bayes prediction, s 1 = 40 and s 2 = 45 for r = 35, s 1 = 46 and s 2 = 48 for r = 45, s 1 = 80 and s 2 = 85 for r = 70, and s 1 = 88 and s 2 = 95 for r = 85.
The estimates of the parameters in the Bayes technique are generated based on informative priors in order to evaluate the type of prior. In the case of informative priors, the hyper-parameters are selected by elective hyper-parameters utilizing MLE information to display the outcomes of estimated parameters with the help of the MLE’s asymptotic distribution and Gibbs samples. For confidence intervals, we compare the average intervals (lower and upper) of the asymptotic confidence intervals for the MLE and HPD for the Bayesian estimators based on their coverage percentages of 95%. Also, we have calculated approximate 95% confidence intervals for the unknown parameters. The procedure is repeated 1000 times, and the average confidence/credibility is reported. Table 1, Table 2, Table 3 and Table 4 present the complete results. The acquired estimates were calculated using the “maxLik” and “coda” packages of the R programming language because the theoretical findings of d and q obtained using the suggested estimation methods cannot be represented in closed form. For these estimates, the “cmaxLik” package was used for MLE, while the “coda” package was used to obtain the Bayesian estimation for MCMC based on MH algorithms.
The simulation results concluded the following findings, which we highlight:
  • As the sample size increases for the parameters of APW α , θ , and λ , the minimum RAB and MSE decline for the estimated parameters of MLE and Bayes estimates;
  • The Bayes estimates consistently outperform the MLE in terms of RAB, MSE, and interval values;
  • In most cases, the HPD intervals are shorter than ACI;
  • When the censored sample size r increases while keeping the hybrid censored sample’s sample size n and time constant, and the performance improves.
When sample size n and censored sample size r are kept constant, performance improves as the time of the hybrid censored sample lengthens.

5. Application

Reference [18] used two real-life data sets and confirmed that APW distribution is better than many competitive distributions such as: Weibull, alpha power exponential, McDonald Weibull, beta Weibull, transmuted Weibull, gamma Lomax, Zografos–Balakrishnan log-logistic, exponentiated Weibull, and exponentiated Weibull distributions. The APW distribution has more different applications, such as inferences and engineering applications based on progressive Type II censoring (see [27]); the optimal test plan of step-stress models under progressively Type II censored samples (see [28]); and discrete APW and its applications (see [29]). In this section, we consider two real-life data sets, which are discussed by [18], and illustrate the methods proposed in the previous sections.
First, the data set is from [18] for the application to the APW distribution, and it represents the survival times (in days) of 109 successive coal-mining disasters in Great Britain, within the period of 1875–1951. The statistical summarized measures of this data are given as follows: minimum value is 1; first quartile is 54; median is 145; mean is 233.3; third quartile is 312; and maximum value is 1630. Before moving on, we want to look at the data set using a scaled Total Time on Test (TTT) plot, a strip plot, a violin plot, and an empirical hazard function of the observed data. Figure 1 gives a clear picture of the distribution’s hazard function’s shape, which has a decreasing shape and a TTT line under half line. In Figure 1 and Figure 2, the APW is good model to describe these data. Figure 2 illustrates the APW distribution’s theoretical and empirical pdf, QQ, CDF, and P-P plot using the data set of the survival times data, and it can be seen that the APW is suitable and reliable for fitting the survival times data set.
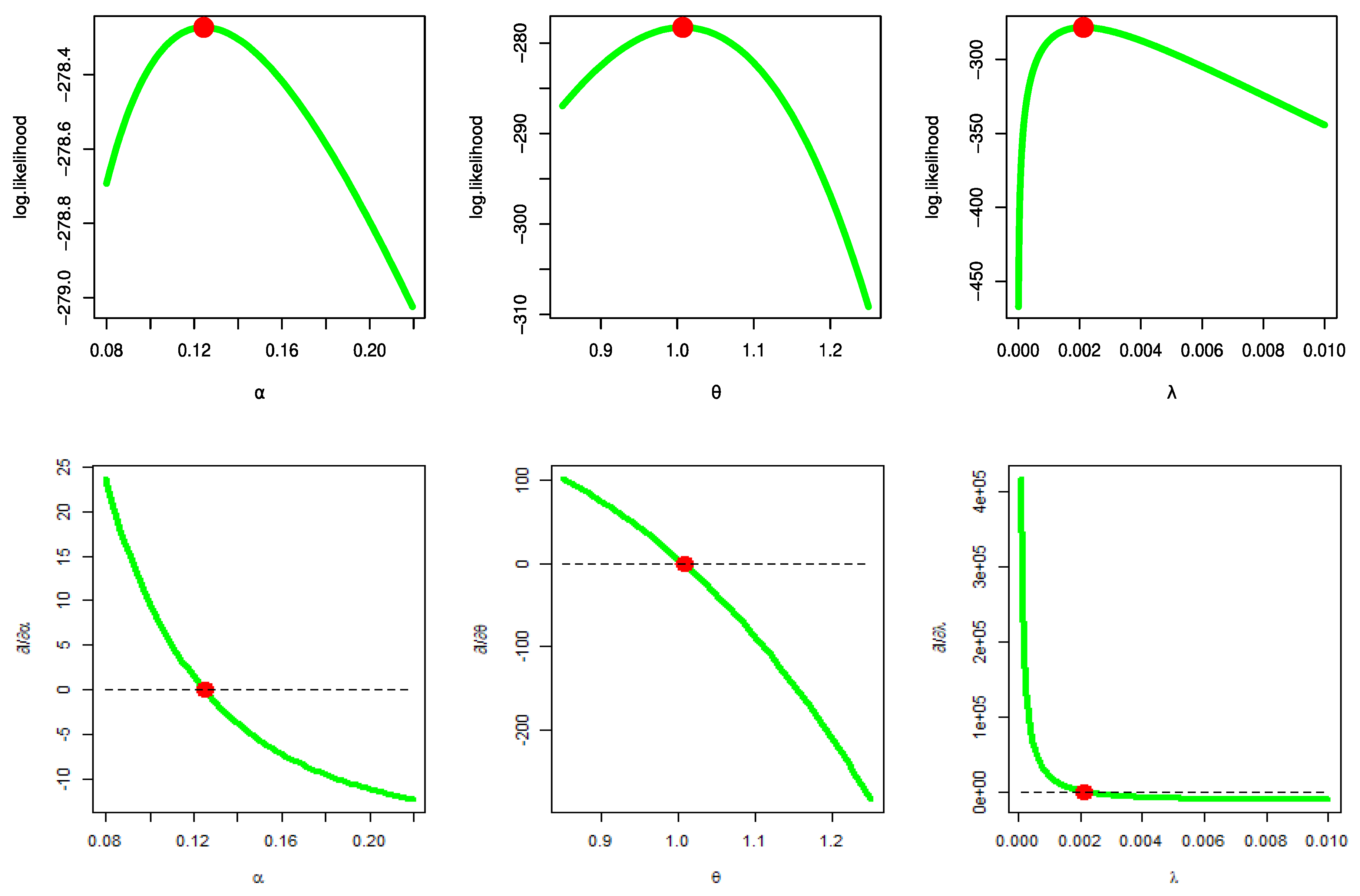
Reference [18] obtained the MLE parameters of APW as α = 0.01956 ,   θ = 1.04985, and λ = 0.00106, the KSD is 0.0592, and its P-value is 0.8383. Table 5 discussed MLE and Bayesian estimation to estimate parameters of APW based on hybrid censoring with different size of samples, which different measures have been obtained as the MLE of the parameters with standard error (SE), lower, upper for confidence intervals with 95%, reliability, and hazard value with t o . Figure 3 discussed the existence and uniqueness plot of maximum likelihood estimates for survival times data to check the existence and uniqueness estimators. The maximum likelihood values for survival time data set, where r = 60 and T = 110 for the estimated parameter values that coincide with the MLE estimates in Table 5, are shown in Figure 3, which also supports the MLE estimates.
The MCMC results are normal, exhibit symmetric posterior density histograms, and have convergence measures by using the Brooks–Gelman–Rubin (BGR) statistic, as shown in Figure 4 and Figure 5. According to Figure 6, the values for the MCMC series, which began with zero and ended with one, do not exhibit any auto-correlation.
Now let us look at the sample prediction problems for one and two. Based on the observed sample, we present in Figure 7 the predictive point for one sample and two sample, and the predictive point of the s-st order statistic. Accordingly, the s-st failure will occur between r and 109 days based on the observed sample. Based on the results in Table 6 and Figure 7, we note the closeness of the results of the two methods for predicting values, but to determine the best method, the key is the KS test for two independent samples. It has been noted that the first method is the best because it contains the least distance between the data and also has the largest p-value of KS test.
The authors of [30] provided the second data set. The statistics are 1.5 cm glass fiber strengths, as determined by the National Physical Laboratory in England. The statistically summarized measures of these data are given as follows: minimum value is 0.55; first quartile is 1.375; median is 1.590; mean is 1.507; third quartile is 1.685; and maximum value is 2.240. Reference [18] obtained the MLE parameters of APW for glass fiber data as α = 10.8558 ,     θ = 4.48362, and λ = 0.194777, the KSD is 0.10661, and its p-value is 0.47107. Figure 8 gives a clear picture of the distribution’s hazard function’s shape, which has a decreasing shape, and the TTT line is under half line. Based on Figure 8 and Figure 9, the APW is a good model to describe these data. Figure 9 illustrates the APW distribution’s theoretical and empirical pdf, QQ, CDF, and P-P plot using the glass fiber data, and it can be seen that the APW is suitable and reliable for the fitting glass fiber data.
Table 7 discussed the MLE and Bayesian approaches to estimate the parameters of APW based on hybrid censoring with different size of samples, for which different measures have been obtained as the MLE of parameters with SE, lower, upper for confidence intervals with 95%, reliability, and hazard value with t o . Figure 10 discussed the existence and uniqueness plot of maximum likelihood estimates for glass fiber data to check for existence and uniqueness estimators. The maximum likelihood values for the glass fiber data set, where r = 40 and T = 1.5 for the estimated parameter values that coincide with the MLE estimates in Table 7, are shown in Figure 10, which also supports the MLE estimates.
The MCMC results are normal, exhibit symmetric posterior density histograms, and have convergence measures for APW parameters with the glass fiber data, as shown in Figure 11 and Figure 12. According to Figure 13, the values for the MCMC series, which began with zero and ended with one, do not exhibit any auto-correlation for APW parameters with glass fibers data.
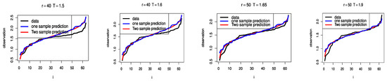
Now let us look at the sample prediction problems for one and two. Based on the observed sample, we present in Figure 14 the predictive point for the one-sample and two-sample prediction of the s-st order statistic for glass fiber data. Accordingly, the s-st failure will occur between the r and 63rd observation based on the observed sample. Based on the results in Table 8 and Figure 7, we note the closeness of the results of the two methods for predicting values, but to suggest the best method, the key is the KS test for two independent samples. It has been noted that the first method is the best because it contains the least distance between the data and also has the largest p-value of KS test.

6. Concluding Remarks

Under the hybrid Type II censoring schemes, the maximum likelihood estimation and Bayesian estimation techniques for the alpha power Weibull distribution are devised. Both paradigms take into account parameter estimates as well as reliability, hazard rate functions and mean failure time. On the basis of simulated samples produced from the distribution for various hybrid Type II censoring techniques, the long-term performances of the suggested estimators are compared. Under the symmetric loss function, Bayes estimators are built. In reality, Bayes estimators give accurate estimates of the parameters because, as predicted, they have mean squared errors that are lower than those of MLEs. Additionally, the issue of predicted future observables was also covered, and one- and two-sample predictive posteriors of the future order statistics were obtained. The posteriors become quite complex and are impossible to simplify into any clear forms. The samples are extracted from the posteriors using the Metropolis–Hastings method, and a sample-based summary of the predicted posteriors is then provided. Because of reasonable results of the APW model in application and its flexibility in this study, in the future, researchers should discuss several new issues for the APW model. For instance, the Bayesian estimation of one- and two-sample prediction based on different censored samples and constant/step stress for APW will be studied. Also, the classical two-sample prediction of APW distribution based on different censored samples can be obtained. Finally, we think that academics, reliability experts, and scientists in the engineering and manufacturing industries will find the approaches outlined in this work to be of great use.

Author Contributions

Methodology, R.A. and H.R.; Software, E.M.A.; Writing—original draft, E.M.A., R.A. and H.R.; Funding acquisition, R.A. All authors have read and agreed to the published version of the manuscript.

Funding

This research was funded by the Princess Nourah bint Abdulrahman University Researchers Supporting Project number (PNURSP2023R50), Princess Nourah bint Abdulrahman University, Riyadh, Saudi Arabia.

Institutional Review Board Statement

Not applicable.

Informed Consent Statement

Not applicable.

Data Availability Statement

The data used to support the findings of this study are included within the article.

Conflicts of Interest

The authors declare no conflict of interest.

References

  1. Pushpalatha, M.N.; Parkavi, A.; Alex, S.A. Predictive analytics for healthcare. In Deep Learning Applications for Cyber-Physical; IGI Global: Hershey, PA, USA, 2022; pp. 222–244. [Google Scholar]
  2. Lee, S.C.; Cheang, S.Y.P.; Moslehpour, M. Predictive analytics in business analytics: Decision tree. Adv. Decis. Sci. 2022, 26, 1–29. [Google Scholar]
  3. Burnaev, E. Algorithmic foundations of predictive analytics in industrial engineering design. J. Commun. Technol. Electron. 2019, 64, 1485–1492. [Google Scholar] [CrossRef]
  4. Epstein, B. Truncated life test in the exponential case. Ann. Math. Stat. 1954, 25, 555–564. [Google Scholar] [CrossRef]
  5. MIL-STD-781C; Reliability Design Qualification and Production Acceptance Test, Exponential Distribution. U.S. Government Printing Office: Washington, DC, USA, 1977.
  6. Dubey, S.; Pradhan, B.; Kundu, D. Parameter estimation of the hybrid censored log-normal distribution. J. Stat. Comput. Simul. 2011, 81, 275–287. [Google Scholar] [CrossRef]
  7. Salem, S.; Abo-Kasem, O.E.; Hussien, A. On Joint Type-II Generalized Progressive Hybrid Censoring Scheme. Comput. J. Math. Stat. Sci. 2023, 2, 123–158. [Google Scholar] [CrossRef]
  8. Yadav, A.S.; Singh, S.K.; Singh, U. On hybrid censored inverse Lomax distribution: Application to the survival data. Statistica 2016, 76, 185–203. [Google Scholar]
  9. Almetwally, E.M.; Alotaibi, R.; Mutairi, A.A.; Park, C.; Rezk, H. Optimal plan of multi-stress–strength reliability Bayesian and non-Bayesian methods for the alpha power exponential model using progressive first failure. Symmetry 2022, 14, 1306. [Google Scholar] [CrossRef]
  10. Balakrishnan, N.; Kundu, D. Hybrid censoring: Models, inferential results and applications. Comput. Stat. Data Anal. 2013, 57, 166–209. [Google Scholar] [CrossRef]
  11. Ganguly, A.; Mitra, S.; Samanta, D.; Kundu, D. Exact inference for the two parameter exponential distribution under Type-II hybrid censoring. J. Stat. Plan. Inference 2012, 42, 613–625. [Google Scholar] [CrossRef]
  12. AL-Zahrani, B.; Gindwan, M. Parameter estimation of a two-parameter Lindley distribution under hybrid censoring. Int. J. Syst. Assur. Eng. Manag. 2014, 5, 628–636. [Google Scholar] [CrossRef]
  13. Kohansal, A.; Rezakhah, S.; Khorram, E. Parameter estimation of Type II hybrid censored weighted exponential distribution. Commun. Stat.-Simul. Comput. 2015, 44, 1273–1299. [Google Scholar] [CrossRef]
  14. Lawless, J.F. A prediction problem concerning samples from the exponential distribution, with application in life testing. Technometrics 1971, 13, 725–730. [Google Scholar] [CrossRef]
  15. Ebrahmini, N. Prediction intervals for future failures in the exponential distribution under hybrid censoring. IEEE Trans. Reliab. 1992, 41, 127–132. [Google Scholar] [CrossRef]
  16. Singh, S.K.; Singh, U.; Sharma, V.K. Estimation and prediction for Type-I hybrid censored data from generalized Lindley distribution. J. Stat. Manag. Syst. 2016, 19, 367–396. [Google Scholar]
  17. Balakrishnan, N.; Shafay, R.A. One- and two-sample Bayesian prediction intervals based on Type-II hybrid censored data. Commun. Stat.-Theory Methods 2012, 41, 1511–1531. [Google Scholar] [CrossRef]
  18. Nassar, M.; Alzaatreh, A.; Mead, M.; Abo-Kasem, O. Alpha power Weibull distribution: Properties and applications. Commun. Stat.-Theory Methods 2017, 46, 10236–10252. [Google Scholar] [CrossRef]
  19. Berger, J.O. Statistical Decision Theory and Bayesian Analysis; Springer: New York, NY, USA, 1985. [Google Scholar]
  20. Okasha, H.M.; Mohammed, H.S.; Lio, Y. E-Bayesian Estimation of Reliability Characteristics of a Weibull Distribution with Applications. Mathematics 2021, 9, 1261. [Google Scholar] [CrossRef]
  21. Panahi, H.; Asadi, S. Estimation of the Weibull Distribution Based on Type-II Censored Samples. Appl. Math. Sci. 2011, 5, 2549–2558. [Google Scholar]
  22. Singh, S.K.; Singh, U.; Sharma, V.K. Bayesian Estimation and Prediction for Flexible Weibull Model under Type-II Censoring Scheme. J. Probab. Stat. 2013, 2013, 146140. [Google Scholar] [CrossRef]
  23. Jefferey, H. Theory of Probability, 3rd ed.; Oxford University Press: Oxford, UK, 1961. [Google Scholar]
  24. Smith, A.; Roberts, G. Bayesian computation via the Gibbs sampler and related Markov chain Monte Carlo methods. J. R. Stat. Soc. Ser. B 1993, 55, 3–23. [Google Scholar] [CrossRef]
  25. Hastings, W. Monte Carlo sampling methods using Markov chains and their applications. Biometrika 1970, 55, 97–109. [Google Scholar] [CrossRef]
  26. Brooks, S. Markov chain Monte Carlo method and its application. J. R. Stat. Soc. Ser. D 1998, 47, 69–100. [Google Scholar] [CrossRef]
  27. Alotaibi, R.; Nassar, M.; Rezk, H.; Elshahhat, A. Inferences and engineering applications of alpha power Weibull distribution using progressive type-II censoring. Mathematics 2022, 10, 2901. [Google Scholar] [CrossRef]
  28. Alotaibi, R.; Almetwally, E.M.; Kumar, D.; Rezk, H. Optimal test plan of step-stress model of alpha power Weibull lifetimes under progressively type-II censored samples. Symmetry 2022, 14, 1801. [Google Scholar] [CrossRef]
  29. Mohamed, M.O.; Hassan, N.A.; Abdelrahman, N. Discrete alpha-power Weibull distribution: Properties and application. Int. J. Nonlinear Anal. Appl. 2022, 13, 1305–1317. [Google Scholar]
  30. Smith, R.L.; Naylor, J. A Comparison of Maximum Likelihood and Bayesian Estimators for the Three-Parameter Weibull Distribution. Appl. Stat. 1987, 36, 358–369. [Google Scholar] [CrossRef]
Figure 1. Classical examination of the survival times.
Figure 1. Classical examination of the survival times.
Symmetry 15 01687 g001
Figure 2. APW estimated examination of the survival times.
Figure 2. APW estimated examination of the survival times.
Symmetry 15 01687 g002
Figure 3. Existence and uniqueness plot for MLE of survival times: r = 60, and T = 110.
Figure 3. Existence and uniqueness plot for MLE of survival times: r = 60, and T = 110.
Symmetry 15 01687 g003
Figure 4. Histogram of posterior for APW parameters: r = 60, and T = 110.
Figure 4. Histogram of posterior for APW parameters: r = 60, and T = 110.
Symmetry 15 01687 g004
Figure 5. Trace and BGR lines of MCMC results for APW parameters. Survival times: r = 60, and T = 110.
Figure 5. Trace and BGR lines of MCMC results for APW parameters. Survival times: r = 60, and T = 110.
Symmetry 15 01687 g005
Figure 6. Auto-correlation test with different lags of MCMC results for APW parameters. Survival times: r = 60 and T = 110.
Figure 6. Auto-correlation test with different lags of MCMC results for APW parameters. Survival times: r = 60 and T = 110.
Symmetry 15 01687 g006
Figure 7. Bayes prediction by one-sample prediction and two-sample prediction: survival times.
Figure 7. Bayes prediction by one-sample prediction and two-sample prediction: survival times.
Symmetry 15 01687 g007
Figure 8. Classical examination of glass fiber data.
Figure 8. Classical examination of glass fiber data.
Symmetry 15 01687 g008
Figure 9. Classical examination of Fibre data.
Figure 9. Classical examination of Fibre data.
Symmetry 15 01687 g009
Figure 10. Existence and uniqueness plot for MLE of glass fibers data: r = 40, and T = 1.5.
Figure 10. Existence and uniqueness plot for MLE of glass fibers data: r = 40, and T = 1.5.
Symmetry 15 01687 g010
Figure 11. Histogram of posterior for APW parameters of glass fiber data: r = 40, and T = 1.5.
Figure 11. Histogram of posterior for APW parameters of glass fiber data: r = 40, and T = 1.5.
Symmetry 15 01687 g011
Figure 12. Trace and BGR lines of MCMC results for APW parameters of glass fiber data: r = 40, and T = 1.5.
Figure 12. Trace and BGR lines of MCMC results for APW parameters of glass fiber data: r = 40, and T = 1.5.
Symmetry 15 01687 g012
Figure 13. Auto-correlation test with different lags of MCMC results for APW parameters of glass fiber data: r = 40, and T = 1.5.
Figure 13. Auto-correlation test with different lags of MCMC results for APW parameters of glass fiber data: r = 40, and T = 1.5.
Symmetry 15 01687 g013
Figure 14. Bayes prediction by one-sample prediction and two-sample prediction: glass fiber data.
Figure 14. Bayes prediction by one-sample prediction and two-sample prediction: glass fiber data.
Symmetry 15 01687 g014
Table 1. MLE and Bayesian; α = 0.5 , θ = 0.6 , λ = 0.4 .
Table 1. MLE and Bayesian; α = 0.5 , θ = 0.6 , λ = 0.4 .
MLEBayesianPredictionOneTwo
n T r RABMSELowerUpperRABMSELowerUpper s 1 ,   s 2 x s 1 x s 2 y s 1 y s 2
50335 α 0.20260.31990.05171.69250.02770.01860.20790.742640, 45Point2.10313.26381.87752.9404
θ 0.03900.01120.42130.82540.01880.00640.45990.7574Lower0.25340.55430.62190.8281
λ 0.01330.02540.08240.70690.00490.00780.23210.5686Upper4.74667.25313.56145.5412
45 α 0.14420.24450.10521.53140.01260.00780.32680.662046, 48Point3.52244.41663.38004.2708
θ 0.03260.01020.43110.82830.00720.00460.47600.7384Lower0.83671.10310.99171.4414
λ 0.03110.02180.09940.67580.00220.00490.27440.5375Upper7.22999.08876.62578.8478
435 α 0.19340.30690.11521.81340.02510.01720.21460.767340, 45Point2.05943.17481.89312.9502
θ 0.03180.01080.41910.81900.02100.00570.48720.7661Lower0.37880.63400.64750.9533
λ 0.01390.02480.08650.74510.00400.00770.22360.5583Upper4.42586.95773.56055.6441
45 α 0.14190.23290.12631.50700.00110.00730.31830.655446, 48Point3.54624.48233.34464.2395
θ 0.02710.00990.42330.80920.00010.00400.48100.7266Lower0.92321.13231.05931.2635
λ 0.01320.02030.09930.68150.00070.00440.27490.5220Upper7.51509.47986.49608.4014
100370 α 0.04450.1599−0.26071.30520.02540.01700.21370.753580, 85Point1.89862.34061.80742.2342
θ 0.00990.00480.46990.74190.01030.00320.49210.7114Lower0.69830.71220.87200.9590
λ 0.03880.01740.12770.64130.01040.00540.25100.5347Upper3.65244.33993.08873.6875
85 α 0.02290.1362−0.21211.23490.00110.00710.34140.662788, 95Point2.70743.89792.65933.8467
θ 0.00810.00450.47170.74770.00300.00280.50440.7053Lower1.05291.58611.22801.7688
λ 0.04310.01630.13480.63070.00100.00330.29720.5246Upper5.08687.36804.53576.6665
470 α 0.05560.1600−0.25461.31020.01910.01700.22300.756180, 85Point1.92522.37011.83982.2718
θ 0.01320.00470.47460.74130.00950.00280.50410.7086Lower0.72940.79210.84721.0814
λ 0.04260.01720.12160.64050.01310.00490.26180.5290Upper3.58834.21102.93753.6616
85 α 0.01180.1188−0.18161.16980.00100.00690.35300.656788, 95Point2.73733.92742.61343.7641
θ 0.01210.00450.47610.73840.00390.00270.49080.6919Lower0.74061.26811.20321.8186
λ 0.07000.01520.13650.60760.00140.00310.29670.5175Upper4.94287.26944.27276.4409
Table 2. MLE and Bayesian α = 0.5 ,   θ = 1.3 ,   λ = 3 .
Table 2. MLE and Bayesian α = 0.5 ,   θ = 1.3 ,   λ = 3 .
MLEBayesianPredictionOneTwo
n T r RABMSELowerUpperRABMSELowerUpper s 1 ,   s 2 x s 1 x s 2 y s 1 y s 2
500.335 α 0.11080.26780.09821.56440.01770.01930.23420.765840, 45Point0.22910.27240.22860.2718
θ 0.03900.06690.85351.84800.00550.01151.11961.5350Lower0.14730.17150.15430.1913
λ 0.02420.27611.90693.94810.00310.02252.70803.2779Upper0.33290.37750.30920.3620
45 α 0.09360.24880.12591.52070.00540.00760.33290.674146, 48Point0.28320.30730.28190.3061
θ 0.03430.06340.85851.83070.00100.00631.14091.4518Lower0.19580.21320.20960.2309
λ 0.03150.22841.98673.82400.00050.00792.82683.1734Upper0.37400.39560.36480.3943
0.635 α 0.11050.24300.19251.64760.00500.01870.22760.755040, 45Point0.22950.27320.22780.2709
θ 0.03900.05060.92121.78030.00430.01151.08811.5124Lower0.13590.17890.14790.1828
λ 0.00080.23991.93014.07480.00170.02132.76823.2844Upper0.32150.38180.30250.3534
45 α 0.09240.23750.20551.79880.00320.00720.34160.664746, 48Point0.28290.30720.28660.3109
θ 0.02320.03850.94971.71050.00030.00581.13911.4333Lower0.20390.22270.20860.2259
λ 0.00370.20511.99414.38380.00050.00612.83273.1657Upper0.37410.39980.36990.3945
1000.370 α 0.08350.23630.19852.18870.00830.01830.25860.759680, 85Point0.23030.25070.23000.2505
θ 0.00940.03150.96501.65930.00620.00791.13961.4814Lower0.16540.18090.17440.1890
λ 0.01010.20411.97224.21750.00170.02192.70643.2757Upper0.30200.32090.29440.3157
85 α 0.09320.22610.21672.36580.00330.00680.34060.670388, 95Point0.26250.30030.26200.3001
θ 0.00890.03060.94481.68970.00290.00491.17231.4382Lower0.19680.23220.20760.2397
λ 0.00350.19391.78634.23460.00000.00612.83023.1799Upper0.32580.36710.32070.3616
0.670 α 0.07500.19750.21942.37960.00090.01690.26280.767980, 85Point0.22940.24980.22890.2492
θ 0.00940.02840.98241.64200.00520.00811.13701.4780Lower0.14970.16880.17100.1898
λ 0.02270.19441.97764.12360.00140.02162.72023.3071Upper0.29590.32010.28550.3096
85 α 0.06950.19080.31822.38560.00600.00680.33260.650988, 95Point0.26180.29990.26100.2989
θ 0.00380.02121.01941.59060.00230.00451.15241.4409Lower0.19420.23430.20090.2351
λ 0.01490.18551.99594.15020.00010.00592.83273.1810Upper0.32920.37790.32490.3643
Table 3. MLE and Bayesian α = 0.5 ,   θ = 0.6 ,   λ = 3 .
Table 3. MLE and Bayesian α = 0.5 ,   θ = 0.6 ,   λ = 3 .
MLEBayesianPredictionOneTwo
n T r RABMSELowerUpperRABMSELowerUpper s 1 ,   s 2 x s 1 x s 2 y s 1 y s 2
500.1535 α 0.02690.14260.00231.25340.00960.01940.22730.759340, 45Point0.06590.10030.06350.0976
θ 0.04460.01310.40870.84490.01600.00320.51670.7266Lower0.02030.03550.02510.0465
λ 0.01100.15412.20013.73410.00060.02072.70753.2595Upper0.12570.17410.10900.1666
45 α 0.03530.13600.02661.30110.00150.00800.33770.682246, 48Point0.10950.13680.10850.1363
θ 0.03800.01090.42260.82300.00600.00270.51210.7112Lower0.04600.06300.05420.0682
λ 0.01210.14722.33183.72440.00070.00872.82713.1841Upper0.17770.22510.18160.2218
0.435 α 0.02560.13610.01251.13150.00430.01910.21710.752640, 45Point0.06580.10040.06440.0989
θ 0.04380.01170.42070.83190.01460.00300.49990.7135Lower0.01520.02970.02310.0457
λ 0.00530.14892.25983.77200.00280.02082.72413.2833Upper0.11700.17310.10910.1695
45 α 0.01840.12770.02791.36300.00170.00770.34790.695446, 48Point0.11030.13750.10900.1368
θ 0.03360.00880.44070.79960.00650.00250.50130.7048Lower0.04510.06210.05200.0597
λ 0.00500.12302.32083.69100.00010.00802.81933.1712Upper0.18540.22640.18010.2166
1000.1570 α 0.04050.12510.01962.03850.00810.01840.26160.777880, 85Point0.06370.07810.06220.0765
θ 0.01140.00620.45270.76100.01400.00190.52170.6862Lower0.02430.03190.03250.0423
λ 0.02820.13571.60924.56020.00060.02152.72263.2838Upper0.10390.12500.09520.1166
85 α 0.01290.12440.03521.91220.00740.00780.33970.675288, 95Point0.08880.12610.08800.1255
θ 0.00290.00550.45610.74740.00730.00160.52790.6858Lower0.04440.06880.05060.0758
λ 0.01740.12251.68364.25950.00090.00802.83513.1794Upper0.13310.18280.12770.1800
0.470 α 0.01370.11470.01991.98150.02190.01710.26300.756280, 85Point0.06320.07750.06240.0768
θ 0.01480.00570.46230.75540.01590.00200.52620.6941Lower0.02720.03250.03040.0423
λ 0.03050.11451.78824.39490.00100.02132.69683.2729Upper0.10210.12070.09410.1170
85 α 0.01240.10040.08301.97300.00580.00750.33830.682288, 95Point0.08900.12650.08740.1248
θ 0.00400.00490.46550.73930.00570.00160.52610.6822Lower0.04600.06680.04940.0770
λ 0.00800.10431.69644.35140.00050.00792.82343.1685Upper0.14270.19050.12540.1785
Table 4. MLE and Bayesian α = 2 ,   θ = 1.3 ,   λ = 3 .
Table 4. MLE and Bayesian α = 2 ,   θ = 1.3 ,   λ = 3 .
MLEBayesianPredictionOneTwo
n T r RABMSELowerUpperRABMSELowerUpper s 1 ,   s 2 x s 1 x s 2 y s 1 y s 2
500.535 α 0.16891.96090.57984.32720.00050.02391.67252.277540, 45Point0.32930.38070.32830.3794
θ 0.07920.07750.89571.91010.00230.01481.08161.5504Lower0.22810.27270.23030.2813
λ 0.05320.99640.90834.77280.00090.02412.70583.3127Upper0.44910.49270.41930.4791
45 α 0.11131.80860.69424.15760.00090.00821.82842.178546, 48Point0.39270.41960.39200.4188
θ 0.07990.07190.89961.95220.00170.00661.15411.4606Lower0.29140.31840.29950.3233
λ 0.04220.95000.97834.76850.00040.00852.82953.1817Upper0.48760.51630.48590.5114
0.835 α 0.00491.96530.60914.73920.00440.02331.69622.275640, 45Point0.32930.37990.32920.3802
θ 0.07960.07300.91421.89290.00320.01381.06181.5156Lower0.21530.26730.22970.2880
λ 0.01980.86971.23454.88460.00250.02152.73043.2945Upper0.42840.48440.42340.4858
45 α 0.10161.74150.67164.41270.00070.00801.82872.175146, 48Point0.38930.41590.39040.4172
θ 0.08560.07070.93781.88490.00270.00621.14661.4555Lower0.29410.31860.30420.3249
λ 0.05520.74731.17064.49800.00180.00842.82663.1809Upper0.48750.51510.48700.5083
1000.570 α 0.02670.81960.17453.71890.00020.02311.70322.296980, 85Point0.32800.35240.32900.3533
θ 0.02370.03120.98961.67210.00020.00931.09981.4748Lower0.25270.27170.26020.2829
λ 0.00200.35511.82554.16260.00220.02022.69343.2714Upper0.41600.43900.40540.4318
85 α 0.00210.79530.23544.02920.00060.00791.84132.184288, 95Point0.36910.41170.36730.4101
θ 0.02270.03060.96851.70270.00120.00581.14221.4460Lower0.29720.33430.29760.3427
λ 0.00130.32111.88504.10750.00010.00782.84313.1833Upper0.45170.49130.43240.4807
0.870 α 0.02170.73810.27413.63920.00060.02281.72982.297880, 85Point0.32950.35380.32870.3530
θ 0.04090.03031.01511.69120.00160.00911.10651.4726Lower0.24790.27670.25450.2784
λ 0.01990.31581.96384.15550.00150.02012.70753.2674Upper0.42370.45310.39680.4225
85 α 0.02610.71820.37403.72180.00190.00691.84012.206988, 95Point0.37040.41320.36930.4123
θ 0.03520.02541.04611.64540.00110.00561.15641.4419Lower0.29340.33280.30400.3364
λ 0.01050.26771.99563.98130.00100.00782.81753.1515Upper0.44750.49030.43480.4738
Table 5. MLE and Bayesian with different measures for survival times.
Table 5. MLE and Bayesian with different measures for survival times.
rT EstimatesSELowerUpperRh
60110MLE0.124320.062930.000980.247670.587400.00450
1.007170.128200.755901.25844
0.002130.000270.001600.00265
Bayesian0.161310.051150.000190.203800.613580.00416
1.006780.128020.768751.26696
0.002130.000210.002070.00219
235MLE0.111530.051760.002330.245630.438880.00395
0.983530.103450.780761.18629
0.002260.000230.001670.00259
Bayesian0.136390.049560.000220.231570.461210.00374
0.983220.103310.791131.19317
0.002260.000030.002200.00233
90250MLE0.110350.041690.002650.444200.332500.00375
0.996560.093740.812841.18029
0.002160.000230.001720.00261
Bayesian0.134940.039350.000230.309280.351260.00360
0.996280.093610.822241.18652
0.002150.000250.002110.00221
300MLE0.141930.039190.002940.451580.272130.00366
1.006950.084210.841901.17200
0.002230.000250.001740.00272
Bayesian0.161660.029610.000120.300630.285660.00355
1.006690.084090.850341.17760
0.002220.000210.002180.00229
Table 6. Bayes prediction with different size and two sample KS test: survival times.
Table 6. Bayes prediction with different size and two sample KS test: survival times.
rT110235
OneTwoOneTwo
60x_(s1:n)213.592227.753215.257220.946
x_(s2:n)330.184356.529336.810366.244
KSD0.1100.1280.1190.138
p value0.5240.3300.4200.253
250300
90x_(s1:n)209.059214.511203.959209.208
x_(s2:n)325.225353.268315.296342.015
KSD0.1100.1380.1010.128
p value0.5240.2530.6360.330
Table 7. MLE and Bayesian with different measures for glass fibers data.
Table 7. MLE and Bayesian with different measures for glass fibers data.
rT EstimatesSELowerUpperRh
401.5MLE6.384714.046071.1455833.915000.625801.46420
3.616831.284641.098946.13471
0.208710.130800.024650.66107
Bayesian6.372440.974574.422468.243160.628251.44788
3.609770.643232.401834.87414
0.207840.046370.121520.30367
1.6MLE8.132123.886041.0845235.348760.489702.36942
3.859471.150561.604366.11457
0.214780.186700.051150.58071
Bayesian8.134430.969706.165189.969400.489212.37509
3.862990.656032.613265.15972
0.214650.037620.144430.29162
501.65MLE8.891713.803172.2425032.025920.377613.57436
4.341191.027242.327796.35459
0.190800.104260.022340.45395
Bayesian8.899020.826297.2977010.541220.379683.54935
4.334100.599193.171945.50907
0.190740.027040.140210.24606
1.7MLE8.692091.461310.8520827.236270.259075.41665
4.969240.956373.094756.84374
0.151530.093480.031690.33475
Bayesian8.698140.662317.4143510.014330.260945.38285
4.962640.557853.880666.05655
0.151490.018830.116310.19001
Table 8. Bayes prediction with different size and two sample KS test: glass fiber data.
Table 8. Bayes prediction with different size and two sample KS test: glass fiber data.
rT1.41.6
OneTwoOneTwo
40x_(s1:n)1.9301.9421.8501.860
x_(s2:n)2.0412.0891.9461.988
KSD0.2220.2380.1590.175
p value0.0850.0530.3980.284
rT1.651.7
50x_(s1:n)1.7831.7921.7351.742
x_(s2:n)1.8651.9001.8041.834
KSD0.1110.1270.1110.127
p value0.8280.6810.8260.686
Disclaimer/Publisher’s Note: The statements, opinions and data contained in all publications are solely those of the individual author(s) and contributor(s) and not of MDPI and/or the editor(s). MDPI and/or the editor(s) disclaim responsibility for any injury to people or property resulting from any ideas, methods, instructions or products referred to in the content.

Share and Cite

MDPI and ACS Style

Almetwally, E.M.; Alotaibi, R.; Rezk, H. Estimation and Prediction for Alpha-Power Weibull Distribution Based on Hybrid Censoring. Symmetry 2023, 15, 1687. https://doi.org/10.3390/sym15091687

AMA Style

Almetwally EM, Alotaibi R, Rezk H. Estimation and Prediction for Alpha-Power Weibull Distribution Based on Hybrid Censoring. Symmetry. 2023; 15(9):1687. https://doi.org/10.3390/sym15091687

Chicago/Turabian Style

Almetwally, Ehab M., Refah Alotaibi, and Hoda Rezk. 2023. "Estimation and Prediction for Alpha-Power Weibull Distribution Based on Hybrid Censoring" Symmetry 15, no. 9: 1687. https://doi.org/10.3390/sym15091687

APA Style

Almetwally, E. M., Alotaibi, R., & Rezk, H. (2023). Estimation and Prediction for Alpha-Power Weibull Distribution Based on Hybrid Censoring. Symmetry, 15(9), 1687. https://doi.org/10.3390/sym15091687

Note that from the first issue of 2016, this journal uses article numbers instead of page numbers. See further details here.

Article Metrics

Back to TopTop