Melting Heat Transfer Rheology in Bioconvection Cross Nanofluid Flow Confined by a Symmetrical Cylindrical Channel with Thermal Conductivity and Swimming Microbes
Abstract
:1. Introduction
- To study the impact on time-dependent 2D bioconvectional Cross nanofluid flow over a cylindrical surface subject to living microbes, thermal conductivity, and melting phenomenon.
- To create a mathematical model of the nonlinear governing PDEs which comprises momentum, temperature gradients, mass balances, and swimming microorganisms.
- To engage numerical techniques for attaining the computational outcomes and, additionally, to produce a convergence and stability analysis for optimizing flow fields.
- To unveil graphical profiles of the effects of diverse emerging parameters on flow fields together with 3D visuals of skin friction, heat transfer, and mass flow coefficients.
- ➢
- The existing literature [48] is extended by including mixed convection in Equation (5).
- ➢
- The study of microorganisms referred to in Equation (10) is the main novelty of the existing literature [48].
- ➢
- The present model includes an extension of the melting heat transfer phenomenon, which is stated in Equation (12).
- ➢
- Statistical analysis of the variation in the values of parameters is also included.
2. Flow Analysis and Mathematical Setup
3. Computational Procedure
4. Graphical Outcomes
5. Closing Points
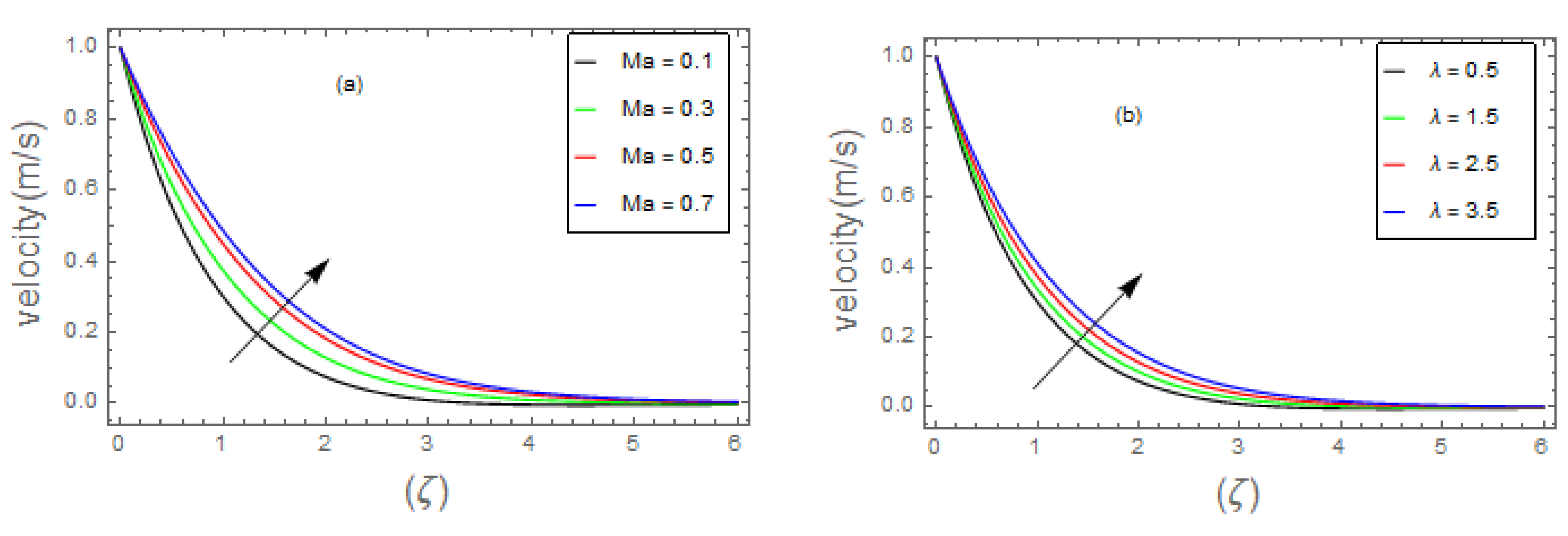
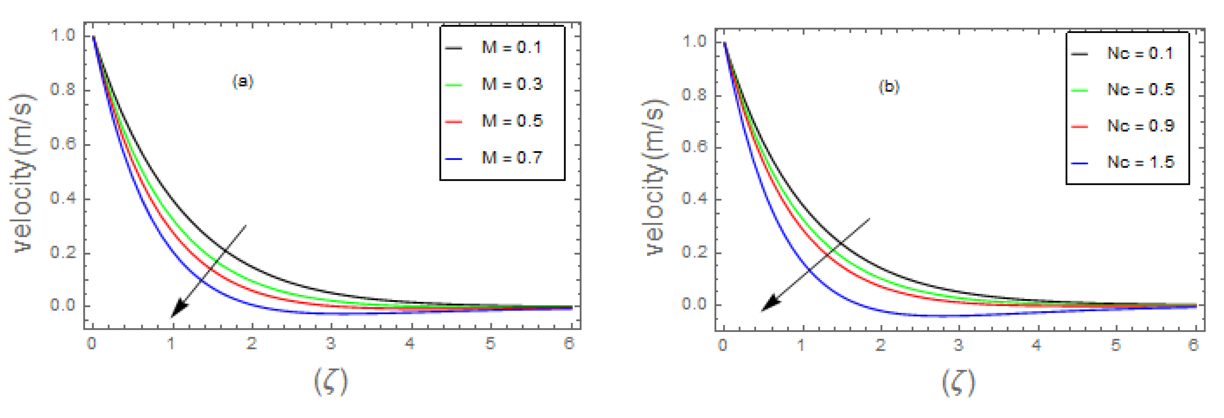
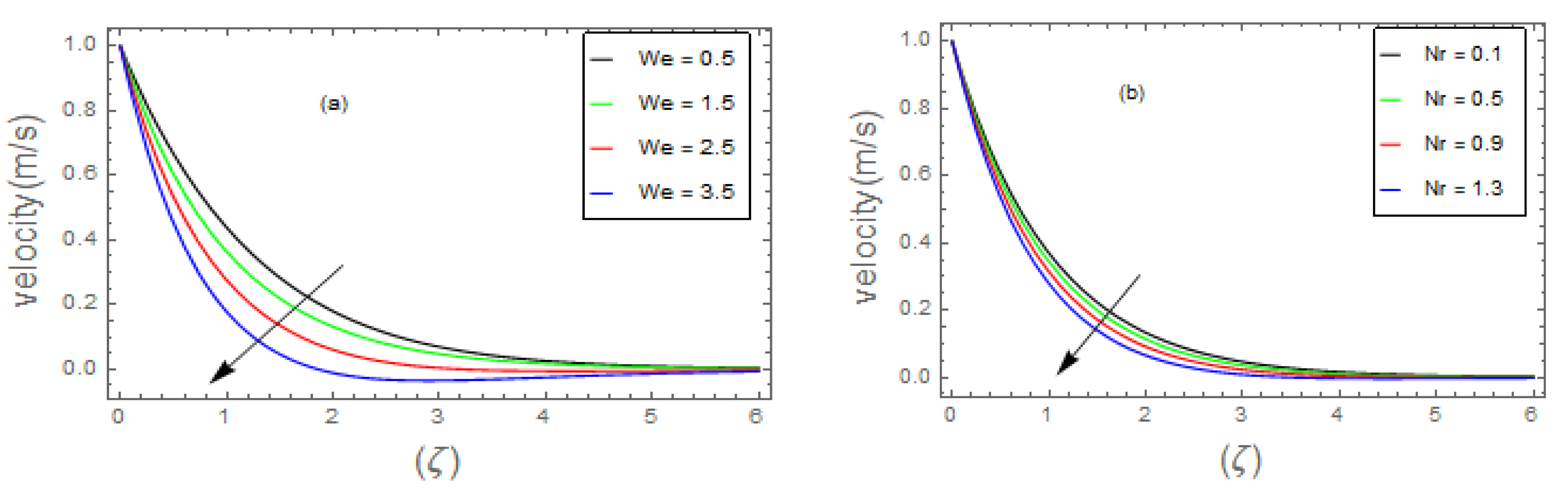
- The velocity field of bio-nanofluid flow rises as the values for the and parameters are increased; however, the velocity profile reduces with increasing values for the , , and parameters.
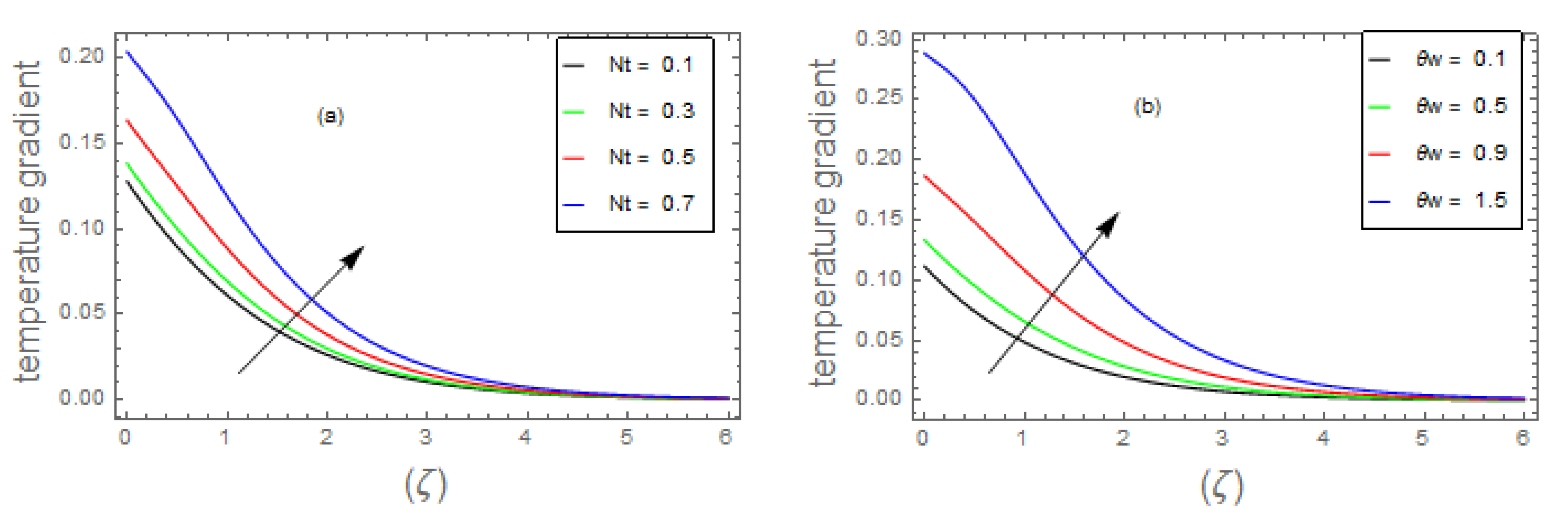
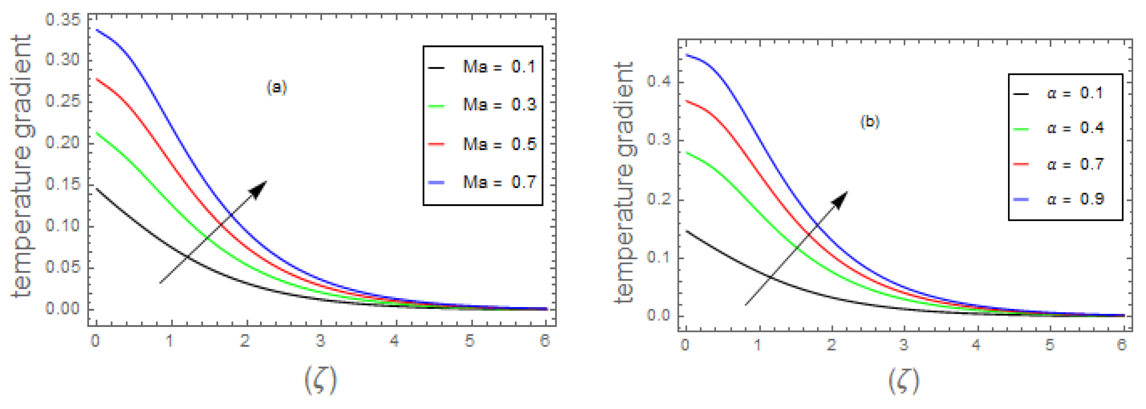
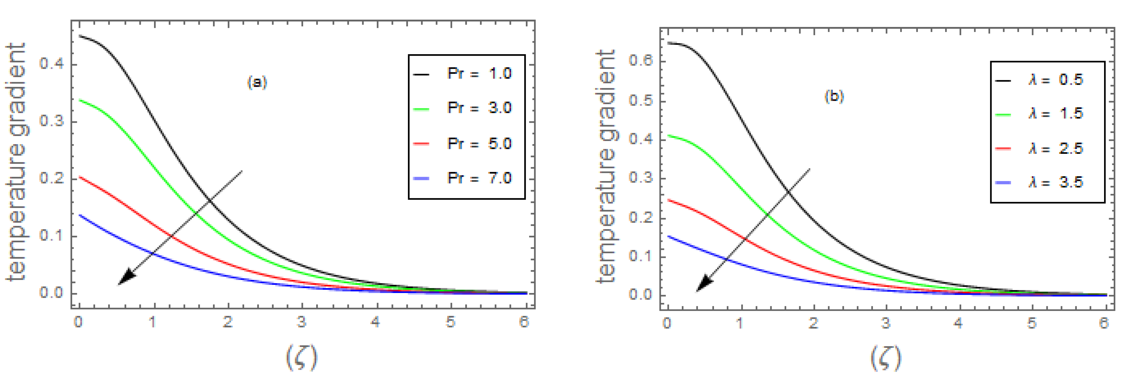
- The fluid energy profile decreases with increased values for the parameter and the number but increases with increases in the , , and thermal number.
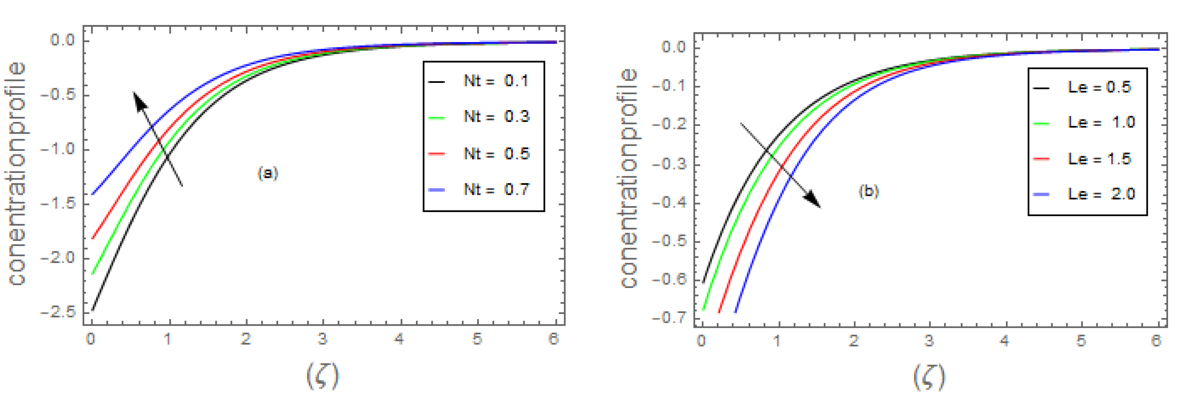
- With increased values for the parameter, , and , the concentric layer thickness increases. On the other hand, for increased values for the and dispersion effect, the concentration profile decreases.
- Increasing values for the and numbers considerably suppress the density profile of living microbes, whereas the and parameters boost the motile density of microorganism profile.
- The surface drag force coefficient reduces with higher values for the , but it increases when the and parameters are increased.
- The mass flow rate increases when the number as well as the parameter increase. On the other hand, it decreases when the parameter and the number increase.
Author Contributions
Funding
Data Availability Statement
Acknowledgments
Conflicts of Interest
Nomenclature
| velocity | |
| ambient temperature | |
| nanoparticle volume fraction | |
| motile microorganisms | |
| curvature parameter | |
| magnetic parameter | |
| time-dependent parameter | |
| buoyancy parameter | |
| Rayleigh number | |
| convection parameter | |
| Weissenberg number | |
| Prandtl number | |
| radiation parameter | |
| Brownian factor | |
| thermophoretic force | |
| ratio parameter | |
| Lewis number | |
| bioconvection Lewis number | |
| Peclet number | |
| melting heat phenomenon | |
| Biot number | |
| elucidates shear stress | |
| heat flux | |
| mass flux | |
| mass of living microbes | |
| skin fraction | |
| heat transfer coefficient | |
| mass flow rate | |
| gradients of living microbes | |
| local Reynolds number |
References
- Choi, S.U.S. Enhancing thermal conductivity of fluids with nanoparticles, development and applications of non-Newtonian flows. Fluids Eng. Div. 1995, 231, 99–110. [Google Scholar]
- Narsimulu, K.; Gopal, D.; Udaikumar, R. Numerical approach for enhanced mass transfer of Bio-convection on Magneto-hydrodynamic Carreau fluid flow through a nonlinear stretching surface. Mater. Today Proc. 2022, 49, 2267–2275. [Google Scholar] [CrossRef]
- Imran, M.; Kamran, T.; Khan, S.A.; Muhammad, T.; Waqas, H. Physical attributes of bio-convection in nanofluid flow through a paraboloid of revolution on horizontal surface with motile microorganisms. Int. Commun. Heat Mass Transf. 2022, 133, 105947. [Google Scholar] [CrossRef]
- Waqas, H.; Khan, S.A.; Khan, S.U.; Khan, M.I.; Kadry, S.; Chu, Y.M. Falkner-Skan time-dependent bioconvrction flow of cross nanofluid with nonlinear thermal radiation, activation energy and melting process. Int. Commun. Heat Mass Transf. 2021, 120, 105028. [Google Scholar] [CrossRef]
- Yahya, A.U.; Salamat, N.; Habib, D.; Ali, B.; Hussain, S.; Abdal, S. Implication of Bio-convection and Cattaneo-Christov heat flux on Williamson Sutterby nanofluid transportation caused by a stretching surface with convective boundary. Chin. J. Phys. 2021, 73, 706–718. [Google Scholar] [CrossRef]
- Buongiorno, J. Convective transport in nanofluid. J. Heat Transf. 2006, 128, 240–250. [Google Scholar] [CrossRef]
- Venkatadri, K.; Gaffar, S.A.; Rajarajeswari, P.; Prasad, V.R.; Anwar, B.O.; Hidayathulla, K.B.M. Melting heat transfer analysis of electrically conducting nanofluid flow over an exponentially shrinking/stretching porous sheet with radiative heat flux under a magnetic field. Heat Transf. 2020, 49, 4281–4303. [Google Scholar] [CrossRef]
- Mondal, H.; Bharti, S. Spectral Quasi-linearization for MHD nanofluid stagnation boundary layer flow due to a stretching/shrinking surface. J. Appl. Comput. Mech. 2020, 6, 1058–1068. [Google Scholar]
- Ying, Z.; He, B.; Su, L.; Kuang, Y.; He, D.; Lin, C. Convective heat transfer of molten salt-based nanofluid in a receiver tube with non-uniform heat flux. Appl. Therm. Eng. 2020, 181, 115922. [Google Scholar] [CrossRef]
- Zainal, N.A.; Nazar, R.; Naganthran, K.; Pop, I. Stability analysis of MHD hybrid nanofluid flow over a stretching/shrinking sheet with quadratic velocity. Alex. Eng. J. 2020, 60, 915–926. [Google Scholar] [CrossRef]
- Eid, M.R.; Nafe, M.A. Thermal Conductivity Variation and Heat Generation Effects on Magneto-Hybrid Nanofluid Flow in a Porous Medium with Slip Condition. Waves Random Complex Media 2020, 32, 1103–1127. [Google Scholar] [CrossRef]
- Alharbi, S.O.; Gul, T.; Khan, I.; Khan, M.S.; Alzahrani, S. Irreversibility Analysis through Neural Networking of the Hybrid Nanofluid for the Solar Collector Optimization. Sci. Rep. 2023, 13, 13350. [Google Scholar] [CrossRef] [PubMed]
- Khan, N.; Hashmi, M.S.; Khan, S.U.; Chaudhry, F.; Tlili, I.; Shadloo, M.S. Effects of homogeneous and heterogeneous chemical features on Oldroyd-B fluid flow between stretching disks with velocity and temperature boundary assumptions. Math. Probl. Eng. 2020, 2020, 5284906. [Google Scholar] [CrossRef]
- Gul, T.; Mukhtar, S.; Alghamdi, W.; Raizah, Z.; Alhazmi, S.E.; El Din, E.T. Radiative couple stress Casson hybrid nanofluid flow over an inclined stretching surface due to nonlinear convection and slip boundaries. Front. Energy Res. 2022, 10, 965309. [Google Scholar] [CrossRef]
- Al-Mubaddel, F.S.; Farooq, U.; Al-Khaled, K.; Hussain, S.; Khan, S.U.; Aijaz, M.O.; Waqas, H. Double stratified analysis for bioconvection radiative flow of Sisko nanofluid with generalized heat/mass fluxes. Phys. Scr. 2021, 96, 055004. [Google Scholar] [CrossRef]
- Waqas, H.; Farooq, U.; Naseem, R.; Hussain, S.; Alghamdi, M. Impact of MHD radiative flow of hybrid nanofluid over a rotating disk. Case Stud. Therm. Eng. 2021, 26, 101015. [Google Scholar] [CrossRef]
- Eshgarf, H.; Kalbasi, R.; Maleki, A.; Shadloo, M.S. A review on the properties, preparation, models and stability of hybrid nanofluids to optimize energy consumption. J. Therm. Anal. Calorim. 2020, 144, 1959–1983. [Google Scholar] [CrossRef]
- Imran, M.; Farooq, U.; Muhammad, T.; Khan, S.U.; Waqas, H. Bioconvection transport of Carreau nanofluid with magnetic dipole and nonlinear thermal radiation. Case Stud. Ther. Eng. 2021, 26, 101129. [Google Scholar] [CrossRef]
- Tlili, I.; Rabeti, M.; Shadloo, M.S.; Abdelmalek, Z. Forced convection heat transfer of nanofluids from a horizontal plate with convective boundary condition and a line heat source embedded in porous media. J. Therm. Anal. Calorim. 2020, 141, 2081–2094. [Google Scholar] [CrossRef]
- Kamal, M.H.A.; Ali, A.; Shafie, S.; Rawi, N.A.; Ilias, M.R. G-Jitter effect on heat and mass transfer of 3-D stagnation point nanofluid flow with heat generation. Ain Shams Eng. J. 2020, 11, 1275–1294. [Google Scholar] [CrossRef]
- Anuar, N.S.; Bachok, N.; Arifin, N.M.; Rosali, H. Numerical solution of stagnation point flow and heat transfer over a non-linear stretching/shrinking sheet in hybrid nanofluid: Stability analysis. J. Adv. Res. Fluid Mech. Therm. Sci. 2020, 76, 85–98. [Google Scholar] [CrossRef]
- Rizwana, R.; Hussain, A.; Nadeem, S. Slip Effects on Unsteady Oblique Stagnation Point Flow of Nanofluid in a View of Inclined Magnetic Field. Math. Probl. Eng. 2020, 2020, 6580409. [Google Scholar] [CrossRef]
- Giri, S.S.; Das, K.; Kundu, P.K. Influence of nanoparticle diameter and interfacial layer on magnetohydrodynamic nanofluid flow with melting heat transfer inside rotating channel. Math. Methods Appl. Sci. 2020, 44, 1161–1175. [Google Scholar] [CrossRef]
- Sharma, R.P.; Acharya, N.; Das, K. On the Impact of Variable Thickness and Melting Transfer of Heat on Magnetohydrodynamics Nanofluid Flow Past a Slandering Stretching Sheet. Indian J. Geo-Mar. Sci. 2020, 49, 641–648. [Google Scholar]
- Platt, J.R. Bioconvection patterns’ in cultures of free swimming organisms. Science 1961, 133, 1766–1767. [Google Scholar] [CrossRef] [PubMed]
- Kuznetsov, A.V. Nanofluid bioconvection in water-based suspensions containing nanoparticles and oxytactic microorganisms: Oscillatory instability. Nanoscale Res. Lett. 2011, 6, 100. [Google Scholar] [CrossRef] [PubMed]
- Kuznetsov, A.V. Non-oscillatory and oscillatory nanofluid bio-thermal convection in a horizontal layer of finite depth. Eur. J. Mech. B Fluid 2010, 30, 156–165. [Google Scholar] [CrossRef]
- Haq, F.; Saleem, M.; Rahman, M.U. Investigation of natural bio-convective flow of Cross nanofluid containing gyrotactic microorganisms subject to activation energy and magnetic field. Phys. Scr. 2020, 95, 105219. [Google Scholar] [CrossRef]
- Ahmad, S.; Ashraf, M.; Ali, K. Nanofluid flow comprising gyrotactic microorganisms through a porous medium. J. Appl. Fluid Mech. 2020, 13, 1539–1549. [Google Scholar]
- Elanchezhian, E.; Nirmalkumar, R.; Balamurugan, M.; Mohana, K.; Prabu, K.M.; Viloria, A. Heat and mass transmission of an Oldroyd-B nanofluid flow through a stratified medium with swimming of motile gyrotactic microorganisms and nanoparticles. J. Therm. Anal. Calorim. 2020, 14, 2613–2623. [Google Scholar] [CrossRef]
- Bhatti, M.M.; Marin, M.; Zeeshan, A.; Ellahi, R.; Abdelsalam, S.I. Swimming of motile gyrotactic microorganisms and nanoparticles in blood flow through anisotropically tapered arteries. Front. Phys. 2020, 8, 95. [Google Scholar] [CrossRef]
- Khan, S.U.; Tlili, I. Significance of activation energy and effective Prandtl number in accelerated flow of Jeffrey nanoparticles with gyrotactic microorganisms. J. Energy Resour. Technol. 2020, 142, 112101. [Google Scholar] [CrossRef]
- Shafiq, A.; Rasool, G.; Khalique, C.M.; Aslam, S. Second grade bioconvective nanofluid flow with buoyancy effect and chemical reaction. Symmetry 2020, 12, 621. [Google Scholar] [CrossRef]
- Kotnurkar, A.S.; Katagi, D.C. Bioconvective Peristaltic Flow of a Third-Grade Nanofluid Embodying Gyrotactic Microorganisms in the Presence of Cu-Blood Nanoparticles with Permeable Walls. Multidiscip. Model. Mater. Struct. 2020, 17, 293–316. [Google Scholar] [CrossRef]
- Muhammad, T.; Alamri, S.Z.; Waqas, H.; Habib, D.; Ellahi, R. Bioconvection flow of magnetized Carreau nanofluid under the influence of slip over a wedge with motile microorganisms. J. Therm. Anal. Calorim. 2020, 143, 945–957. [Google Scholar] [CrossRef]
- Farooq, U.; Waqas, H.; Khan, M.I.; Khan, S.U.; Chu, Y.M.; Kadry, S. Thermally radioactive bioconvection flow of Carreau nanofluid with modified Cattaneo-Christov expressions and exponential space-based heat source. Alex. Eng. J. 2021, 60, 3073–3086. [Google Scholar] [CrossRef]
- Hosseinzadeh, K.; Roghani, S.; Mogharrebi, A.R.; Asadi, A.; Waqas, M.; Ganji, D.D. Investigation of cross-fluid flow containing motile gyrotactic microorganisms and nanoparticles over a three-dimensional cylinder. Alex. Eng. J. 2020, 59, 3297–3307. [Google Scholar] [CrossRef]
- Algehyne, E.A.; Ahammad, N.A.; Elnair, M.E.; Zidan, M.; Alhusayni, Y.Y.; El-Bashir, B.O.; Alzahrani, F. Enhancing Heat Transfer in Blood Hybrid Nanofluid Flow with Ag–TiO2 Nanoparticles and Electrical Field in a Tilted Cylindrical W-Shape Stenosis Artery: A Finite Difference Approach. Symmetry 2023, 15, 1242. [Google Scholar] [CrossRef]
- Loganathan, K.; Eswaramoorthi, S.; Chinnasamy, P.; Jain, R.; Sivasakthivel, R.; Ali, R.; Devi, N.N. Heat and Mass Transport in Casson Nanofluid Flow over a 3-D Riga Plate with Cattaneo-Christov Double Flux: A Computational Modeling through Analytical Method. Symmetry 2023, 15, 725. [Google Scholar] [CrossRef]
- Awwad, F.A.; Ismail, E.A.; Gul, T. Heat and Mass Transfer Gravity Driven Fluid Flow over a Symmetrically-Vertical Plane through Neural Networks. Symmetry 2023, 15, 1288. [Google Scholar] [CrossRef]
- Sindhu, R.; Alessa, N.; Eswaramoorthi, S.; Loganathan, K. Comparative Analysis of Darcy–Forchheimer Radiative Flow of a Water-Based Al2O3-Ag/TiO2 Hybrid Nanofluid over a Riga Plate with Heat Sink/Source. Symmetry 2023, 15, 199. [Google Scholar] [CrossRef]
- Yusuf, T.A.; Mabood, F.; Prasannakumara, B.C.; Sarris, I.E. Magneto-bioconvection flow of williamson nanofluid over an inclined plate with gyrotactic microorganisms and entropy generation. Fluid 2021, 6, 109. [Google Scholar] [CrossRef]
- Gireesha, B.J.; Shankaralingappa, B.M.; Prasannakumar, B.C.; Nagaraja, B. MHD flow and melting heat transfer of dusty Casson fluid over a stretching sheet with Cattaneo–Christov heat flux model. Int. J. Ambient Energy 2020, 43, 2931–2939. [Google Scholar] [CrossRef]
- Alazwari, M.A.; Safaei, M.R. Combination effect of baffle arrangement and hybrid nanofluid on thermal performance of a shell and tube heat exchanger using 3-D homogeneous mixture model. Mathematics 2021, 9, 881. [Google Scholar] [CrossRef]
- Ali, I.; Gul, T.; Khan, A. Unsteady Hydromagnetic Flow over an Inclined Rotating Disk through Neural Networking Approach. Mathematics 2023, 11, 1893. [Google Scholar] [CrossRef]
- Rasheed, H.U.; Zeeshan; Islam, S.; Ali, B.; Shah, Q.; Ali, R. Implementation of shooting technique for Buongiorno nanofluid model driven by a continuous permeable surface. Heat Transf. 2023, 52, 119–3134. [Google Scholar] [CrossRef]
- Atashafrooz, M.; Sajjadi, H.; Delouei, A.A. Interacting influences of Lorentz force and bleeding on the hydrothermal behaviors of nanofluid flow in a trapezoidal recess with the second law of thermodynamics analysis. Int. Commun. Heat Mass Transf. 2020, 110, 104411. [Google Scholar] [CrossRef]
- Khan, W.A.; Ali, M.; Shahzad, M.; Sultan, F.; Irfan, M.; Asghar, Z. A note on activation energy and magnetic dipole aspects for Cross nanofluid subjected to cylindrical surface. Appl. Nanosci. 2020, 10, 3235–3244. [Google Scholar] [CrossRef]





















| Ref [48] | Present Results | ||||
|---|---|---|---|---|---|
| 0.1 | 0.2 | 0.1 | 0.1 | 1.1725 | 1.17274 |
| 0.4 | 1.2565 | 1.25682 | |||
| 0.8 | 1.3024 | 1.30257 | |||
| 0.5 | 0.5 | 0.1 | 0.1 | 1.2795 | 1.27971 |
| 1.0 | 1.2572 | 1.25743 | |||
| 1.5 | 1.2453 | 1.24536 | |||
| 0.0 | 0.2 | 0.5 | 0.1 | 1.2601 | 1.26028 |
| 1.0 | 1.2703 | 1.27053 | |||
| 1.2 | 1.2832 | 1.28396 | |||
| 0.5 | 0.2 | 0.1 | 0.5 | 1.2865 | 1.28672 |
| 1.0 | 1.2902 | 1.29343 | |||
| 1.2 | 1.2974 | 1.29792 |
Disclaimer/Publisher’s Note: The statements, opinions and data contained in all publications are solely those of the individual author(s) and contributor(s) and not of MDPI and/or the editor(s). MDPI and/or the editor(s) disclaim responsibility for any injury to people or property resulting from any ideas, methods, instructions or products referred to in the content. |
© 2023 by the authors. Licensee MDPI, Basel, Switzerland. This article is an open access article distributed under the terms and conditions of the Creative Commons Attribution (CC BY) license (https://creativecommons.org/licenses/by/4.0/).
Share and Cite
Awwad, F.A.; Ismail, E.A.A.; Gul, T.; Khan, W.; Ali, I. Melting Heat Transfer Rheology in Bioconvection Cross Nanofluid Flow Confined by a Symmetrical Cylindrical Channel with Thermal Conductivity and Swimming Microbes. Symmetry 2023, 15, 1647. https://doi.org/10.3390/sym15091647
Awwad FA, Ismail EAA, Gul T, Khan W, Ali I. Melting Heat Transfer Rheology in Bioconvection Cross Nanofluid Flow Confined by a Symmetrical Cylindrical Channel with Thermal Conductivity and Swimming Microbes. Symmetry. 2023; 15(9):1647. https://doi.org/10.3390/sym15091647
Chicago/Turabian StyleAwwad, Fuad A., Emad A. A. Ismail, Taza Gul, Waris Khan, and Ishtiaq Ali. 2023. "Melting Heat Transfer Rheology in Bioconvection Cross Nanofluid Flow Confined by a Symmetrical Cylindrical Channel with Thermal Conductivity and Swimming Microbes" Symmetry 15, no. 9: 1647. https://doi.org/10.3390/sym15091647
APA StyleAwwad, F. A., Ismail, E. A. A., Gul, T., Khan, W., & Ali, I. (2023). Melting Heat Transfer Rheology in Bioconvection Cross Nanofluid Flow Confined by a Symmetrical Cylindrical Channel with Thermal Conductivity and Swimming Microbes. Symmetry, 15(9), 1647. https://doi.org/10.3390/sym15091647

