Abstract
We continue our examination of prospects for the discovery of heavy Higgs bosons of natural SUSY (natSUSY) models at the high luminosity LHC (HL-LHC), this time focusing on charged Higgs bosons. In natSUSY, higgsinos are expected at the few hundred GeV scale whilst electroweak gauginos inhabit the TeV scale and the heavy Higgs bosons, H, A and could range up tens of TeV without jeopardizing naturalness. For TeV-scale heavy SUSY Higgs bosons H, A and , as currently required by LHC searches, SUSY decays into gaugino plus higgsino can dominate decays provided these decays are kinematically accessible. The visible decay products of higgsinos are soft making them largely invisible, whilst the gauginos decay to W, Z or h plus missing transverse energy (). Charged Higgs bosons are dominantly produced at LHC14 via the parton subprocess, . In this paper, we examine the viability of observing signatures from , and events produced in association with a top quark at the HL-LHC over large Standard Model (SM) backgrounds from (mainly) , and production (where ). We find that the greatest reach is found via the SM channel with a subdominant contribution from the channel. Unlike for neutral Higgs searches, the SUSY decay modes appear to be unimportant for searches at the HL-LHC. We delineate regions of the vs. plane, mostly around 1–2 TeV, where signals from charged Higgs bosons would serve to confirm signals of a heavy, neutral Higgs boson at the level or, alternatively, to exclude heavy Higgs bosons at the 95% confidence level at the high luminosity LHC.
1. Introduction
There are two routes to discovery of supersymmetry (SUSY) at hadron colliders such as the CERN Large Hadron Collider (LHC): one is via direct pair production of R-parity odd states and the other is via the single (or pair) production of new R-parity even states such as the additional heavy Higgs bosons present in the Minimal Supersymmetric Standard Model (MSSM) [1]. Of course, strictly speaking, the production of the heavy Higgs boson states is not necessarily a signal for supersymmetry (unless these are seen via their decays into supersymmetric particles) since such states are also possible in non-supersymmetric models with an extended Higgs sector. In the present paper, we continue our work on the second approach: prospects for SUSY discovery via the required additional SUSY Higgs bosons. While much work has been performed in this field (for numerous references, see Section 1.1), our focus is on LHC signals of the heavy Higgs bosons of natural SUSY models, wherein no large fine-tunings are required in order to gain a weak scale characterized by GeV. In previous work, we examined prospects for SUSY Higgs discovery in natural SUSY via resonance production of heavy neutral Higgs bosons H and A, followed by 1. decays into Standard Models modes with being most promising [2], and 2. decays into pairs of SUSY particles [3], which offer qualitatively new channels for SUSY Higgs boson discovery. Within natural SUSY, once the heavy Higgs boson decay channels to gaugino+higgsino become open, these may rapidly dominate the branching fractions. This leads to two effects: (1) the new SUSY decay modes diminish the branching fractions into SM modes, thus diminishing the expected LHC reach via these decay channels, and (2) the new SUSY decay modes open up new avenues for SUSY Higgs detection, where these new channels would signal the presence of the expected SUSY particles. In the present paper, we extend our earlier analyses to include production of charged SUSY Higgs bosons . Discovery of charged SUSY Higgs bosons is expected to be more challenging than discovery of the neutral bosons. This is due to typically smaller production cross sections (for a given Higgs boson mass) but also to less distinctive discovery signatures. We investigate here whether this situation is still maintained under the rubric of natural SUSY.
We take the experimental value of the Z-boson mass to represent the magnitude of weak scale. In the MSSM, the is related to the weak scale Lagrangian parameters via the electroweak minimization condition
where and are the Higgs soft SUSY breaking mass parameters, is the (SUSY preserving) superpotential higgsino mass parameter and the and terms contain various loop corrections (detailed in the Appendix of Ref. [4] and see also [5] for leading two-loop corrections). We consider the value of an observable is natural if all independent contributions to are comparable to (within a factor of few), or smaller than . For natural SUSY models, we use the naturalness measure [4,6].
and take
to be natural. In many SUSY models, the -parameter is adjusted to precisely balance large SUSY breaking contributions in Equation (1). Since the parameter typically arises from very different physics than SUSY breaking, this “just-so” cancellation, though logically possible, seems rather implausible compared to the case where all the terms in Equation (1) are , so that does not need not be tuned.
Implications of Equation (3) relevant to heavy SUSY Higgs searches at the LHC include:
- The superpotential higgsino mass parameter directly enters , leading to GeV. This, in turn, implies that for heavy Higgs searches with the SUSY decay modes of should typically be kinematically allowed. If these additional decay widths to SUSY particles are significant, the branching fractions to the SM search modes (typically used for LHC searches for bosons) would be correspondingly reduced.
- For or , then sets the heavy Higgs mass scale () while sets the mass scale for . Then, assuming that , naturalness requires [7]
For with , the value of can be as large as TeV, while maintaining naturalness. For , stays natural up to TeV (although for large , bottom squark contributions to become large and provide stronger upper limits on natural SUSY spectra [8]).
In Section 2, we first present a natural SUSY benchmark point which then leads to a natural SUSY Higgs scenario, which we previously dubbed . The scenario is promoted as a template for SUSY Higgs searches in that [2] (1) it leads to a value of GeV throughout almost the entire vs. search plane and (2) the value of is also low (though sometimes exceeding a value of 30 at higher values) throughout the search plane. In Section 3, we list the dominant charged SUSY Higgs boson production cross-sections at LHC14 (LHC with center-of-mass energy TeV). It is well-known that the subprocesses is the dominant production mechanism at the LHC [9,10,11]. In Section 4, we present charged Higgs boson branching fractions from the scenario in the vs. plane, and find that indeed SUSY decay modes do become rapidly dominant once these are kinematic accessible. In Section 5, we examine followed by and map out distributions that help obtain signals over SM background levels. In Section 6, we examine followed by decay. In Section 7, we study the impact of the SUSY decays of bosons: unfortunately, we find that the relevant cross-sections are mostly in the sub-fb range for mass values where the branching fractions for these modes become substantial, and (contrary to what we found for H and A bosons) SUSY decays of do not offer a viable search strategy. In Section 8, we plot out the reach of high-luminosity LHC for charged Higgs bosons of natural SUSY. Our summary and conclusions are contained in Section 9.
1.1. A Synopsis of Related Work
Here, we present a brief synopsis of related studies on charged Higgs bosons from SUSY. In Ref. [12], it was already emphasized that the detection of a top quark signal in accord with SM expectations would preclude the decay and thus require . In light of present signal results, this implies GeV. This result was already used by Kunszt and Zwirner in Ref. [13] to form the low limit of the proposed vs. heavy SUSY Higgs search plane. Decays of heavy SUSY Higgs boson to SUSY decay modes were originally explored in Refs. [14,15,16,17] and the complete set of decay widths may be found in Appendix C of [1]. In Ref. [7], these decay modes were examined in the natural SUSY framework. In this study, it was observed that for channels, the light higgsinos are essentially invisible because their decays mainly yield soft, quasi-visible SM particles (soft leptons from higgsino decays are a notable exception), whilst the winos dominantly decay via two-body modes into , and , where the and h typically have large transverse momentum.
In Refs. [9,10,11], it was found that the dominant production process for charged Higgs bosons at LHC was the reaction NLO corrections to this production process were calculated in Refs. [18,19,20]. Signals from the final state were examined in Refs. [21,22]. The decay channel (which is highly suppressed in natSUSY) was examined in Ref. [23]. The use of three [24] and four [25] b-quark tags in was examined. Corrections to the vertex were examined in Ref. [26]. Initial projections of the LHC reach for (charged) SUSY Higgs bosons were given by Denegri et al. [27] and by Assamagan et al. [28]. Search limits from LHC for the decay mode were presented based on fb of integrated luminosity by ATLAS [29] and by CMS [30]. An ATLAS search for charged Higgs bosons in the mode based on 139 fb was given in Ref. [31]. A guidebook for LHC searches for SUSY and non-SUSY charged Higgs bosons was provided in Ref. [32] and a review of non-SUSY charged Higgs is available in Ref. [33].
2. A Natural SUSY Benchmark Point and the Scenario
Following our previous work, we here adopt the same natural SUSY benchmark point as in Ref. [3], which was labeled because the value of is naturally very close to its measured value throughout the entire vs. plane. We use the non-universal Higgs model (NUHM2) [34], which has two additional parameters relative to the much-studied mSUGRA/CMSSM framework. The six parameters, then completely specify the NUHM2 model. Notice that now appears as an independent parameter. The fact that it can be set to be within the natural range, 100–350 GeV, greatly facilitates the phenomenological examination of natural SUSY models (The NUHM2 framework really accommodates independent soft SUSY breaking mass parameters for the scalar fields and in the Higgs sector, but leaves the matter scalar mass parameters universal to avoid flavor problems. The parameters and are then traded for and in the parameter set shown in (5)). We adopt the following natural SUSY benchmark Higgs search scenario:
A similar benchmark model spectrum, but with GeV and TeV, was shown in Table 1 of Ref. [2] for and TeV and so for brevity we do not show the revised spectrum here. We adopt the computer code Isajet [35] featuring Isasugra for spectrum generation. The SUSY Higgs boson masses are computed using renormalization-group (RG) improved third generation fermion/sfermion loop corrections [36]. The RG improved Yukawa couplings include full threshold corrections [37] which account for leading two-loop effects [38]. For and TeV, we note that 1) so the model is indeed EW natural, and 2) the resulting superpartner and the light Higgs boson masses are all consistent with LHC Run 2 SUSY search constraints; specifically, GeV, TeV and TeV, with other squark and all slepton masses TeV. Most important for our purpose, the two lightest neutralinos, and , and the lighter chargino, , are higgsino-like with masses GeV while the neutralino is bino-like with a mass of 450 GeV and the heaviest neutralino and the heavier chargino have masses TeV. Thus, the decay modes turn on for TeV (although turns on at somewhat lower values). It is important to note that while the value of may change somewhat for small variations of the parameters that are held fixed in Equation (5), we expect that the Higgs sector phenomenology is relatively insensitive to our specific choice (as long as GeV to maintain naturalness).
Although not directly related to the main subject of this paper, we note that the lightest higgsino of natSUSY models can constitute only a fraction of the observed dark matter if it is a thermal relic of standard Big Bang cosmology. The remainder of the dark matter could, e.g., be axions, or something else. One would also need to ensure that the spin-independent neutralino–nucleon cross-section is not in conflict with experimental bounds [39]. We are not greatly concerned about this because the neutralino relic density can be further diluted by late decays of saxions or moduli [40] into standard model particles. The bottom line is that dark matter physics is a model-dependent issue only tenuously connected to LHC signals for heavy Higgs bosons [41].
3. Production Cross-Sections at LHC14
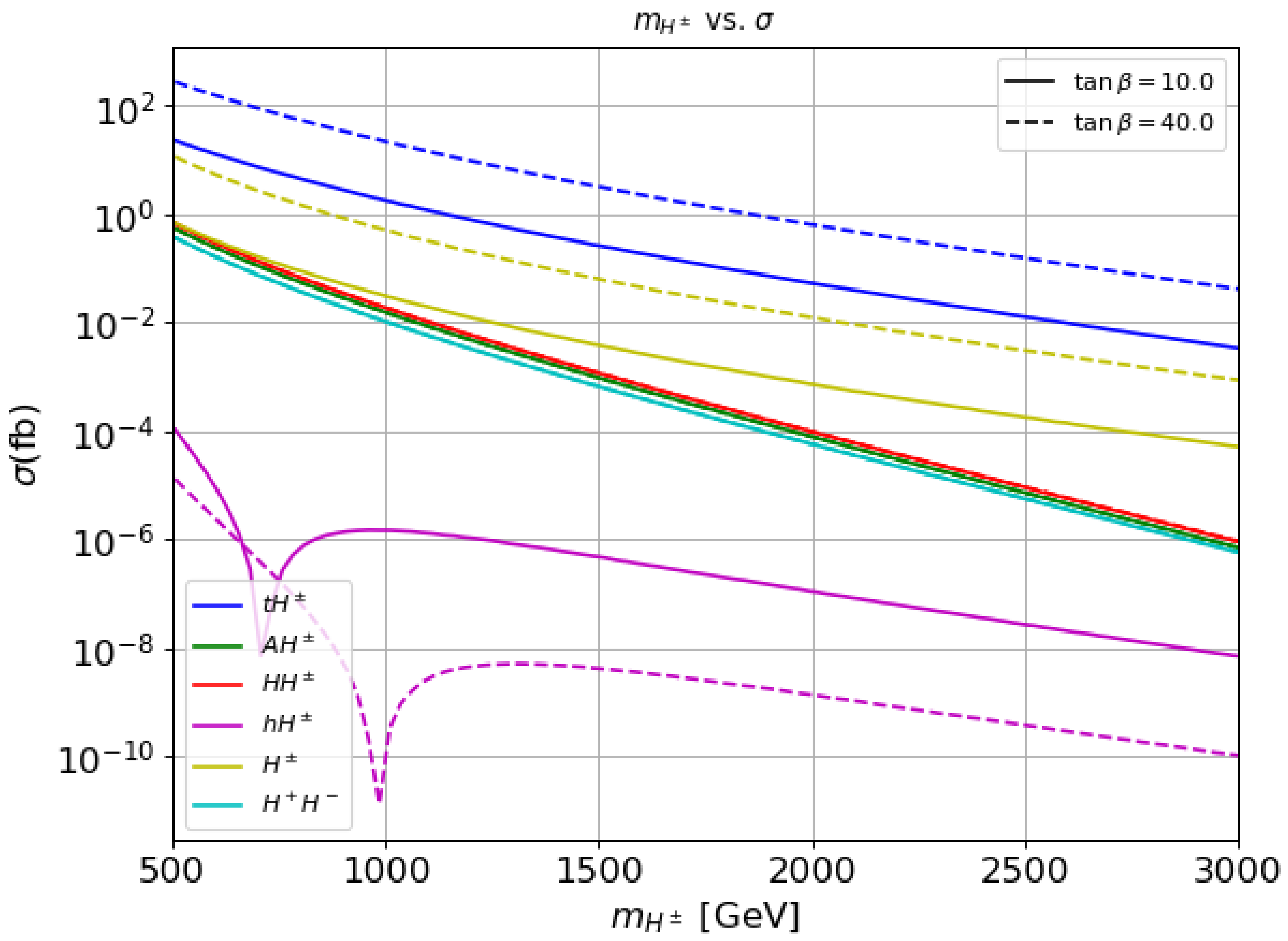
In Figure 1, we show leading order total cross-sections for the production of charged SUSY Higgs bosons at LHC14, as generated using Pythia [42] for two values of (solid) and 40 (dashed). We show cross sections for charged Higgs boson production at the LHC via production (blue), resonant production (light green), production (light blue), and (magenta), (green) and (red) production.
Figure 1.
The total cross section for via various production mechanisms at LHC14 for (solid) and (dashed).
We see from Figure 1 that the dominant production mechanism at LHC14 is via the subprocess [9,10,11]. For , the cross section varies from fb at low to fb at TeV. These dominant cross-sections are enhanced by large . If we compare production to the rate for production [2] for and TeV, we find that charged Higgs production rates are suppressed compared to resonance production of A by a factor . And since , charged Higgs production compared to resonance production is suppressed by about an order of magnitude. This seems reasonable since charged Higgs production occurs in association with a (spectator) top quark in contrast to the resonantly produced neutral H or A boson.
The next largest cross section is direct resonance production of via (Yukawa suppressed) fusion or via (parton distribution function suppressed) fusion. Note that this is suppressed relative to neutral resonance production from fusion by the smaller Yukawa couplings (of the first two generation of quarks) and/or small Kobayashi Maskawa mixing elements. These light green curves show a enhancement due to the Yukawa couplings involved in the production mechanism. The resonance production cross-section is typically about two orders of magnitude below associated production.
The next largest production cross-sections are and which are produced via exchange followed closely by pair production, which takes place via s-channel and exchange. All these production vertices involve gauge interactions and so are independent. As a result, the and 40 curves lie on top of one another. These three cross-sections are kinematically suppressed because they involve the production of a pair of heavy bosons, and are ∼1.5–3 orders of magnitude below the dominant cross-sections.
In magenta, we show -associated production, which occurs dominantly via s-channel exchange where the production vertex includes a factor (see Equation (8.110) of Ref. [1]) (The convention for Higgs mixing angle in Ref. [1] differs from often-used conventions, which result in the mixing angle factor ), which vanishes in the decoupling limit. As a result, these cross-sections are suppressed from the dominant cross section by ∼3–5 orders of magnitude depending on and . They also feature a dip at certain values of , which occurs when the Higgs mixing angle is such that . An additional cross-section occurs at the loop level, and so is highly suppressed and we do not include it here: see Ref. [43].
In light of our discussion of the various production cross-sections, for our HL-LHC SUSY charged Higgs reach analysis we will restrict ourselves to the dominant production process. In Figure 2, we show the values of at LHC14 in the vs. plane for our scenario. The largest cross-sections fb are denoted by dark red whilst the lowest cross-sections fb are denoted dark blue. We also show the latest ATLAS 95% CL exclusion limit from their search for events using LHC13 with 139 fb in several non-natural Higgs scenarios, which nonetheless maintain GeV [44]. Thus, to uncover new physics at HL-LHC in the SUSY Higgs sector, we will mainly focus our attention on values in the TeV range.
Figure 2.
The dominant cross section at TeV in the vs. plane. The region to the left of the dashed blue line is currently excluded at the 95% confidence level by limits from ATLAS searches for [44].
4. Branching Fractions in natSUSY
The LHC signal from charged Higgs boson production will clearly depend on how decays. For TeV scale values of , the dominant SM decays are via and . Decays to h, W and Z bosons are dynamically suppressed. Charged Higgs boson decays via the gaugino plus higgsino modes can also be important if these are not kinematically suppressed. With this in mind, in Figure 3, we show the most relevant branching fractions (BFs) in the vs. plane for the model plane (Equation (5)). The various ranges of branching fractions are shown by different colors, with the larger ones denoted by red and orange, turning to shades of green and blue culminating in the smallest branching fractions denoted by dark blue. The branching fractions are extracted from the Isasugra code [35].

Figure 3.
Branching fractions in the vs. plane for to (a) , (b) , (c) , (d) , (e) and (f) from Isajet 7.88 [35] for the model line introduced in the text.
In Figure 3a, we show the BF for . This decay mode to SM particles is indeed dominant for TeV and for larger values of 20–30. In frame (b), we show the BF(). Like , this mode is enhanced at large and has provided the best avenue for SUSY charged Higgs discovery/exclusion plots so far.
While SUSY decay modes of to higgsino pairs are also open in these regions, these decay modes are suppressed by mixing angles for reasons discussed below. Supersymmetry requires that there is a direct gauge coupling [1]
where labels various matter and Higgs scalar fields of the MSSM, is the fermionic superpartner of and is the gaugino with gauge index A (and the bar indicates Dirac-conjugate). Also, g is the corresponding gauge coupling for the gauge group in question and the are the corresponding gauge group matrices. Choosing be the Higgs scalar fields, it is clear that there is a full-strength coupling, unsuppressed by small mixing angles, of the Higgs scalars to a gaugino and a higgsino. This interaction term results in Higgs boson decays to SUSY particles as long as the gaugino-plus-higgsino decay channel is kinematically unsuppressed. Note that the same reasoning also shows why the heavy Higgs decay to higgsino pairs is suppressed by mixing angles for , once we recognize that a Higgs boson–higgsino-higgsino coupling is forbidden by gauge invariance.
In frame (c), we show BF(), where is dominantly higgsino-like and is dominantly wino-like for natural SUSY models like the scenario. Here, we see that for larger values of TeV, this mode turns on, and at least for moderate 10–20 (which is favored by naturalness [7]), rapidly comes to dominate the decay modes along with the neutral wino+higgsino channels (frame (d)) and (frame (e)). In our analysis, we have assumed that the gaugino mass parameters unify at the high scale, so that at the weak scale : as a result, is dominantly bino-like, and are dominantly wino-like, while and are mainly higgsino-like. The sum of the three wino+higgsino decay channels dominates the decay branching fractions for TeV and low-to-moderate values of . For high values of , the b and Yukawa couplings become large, and SM decays to fermions once again dominate SUSY decays. Decays of to gauge boson pairs and to h are unimportant in the decoupling limit as mentioned above. For completeness, we also show in frame (f)) the decay mode , which is to higgsino+bino. This mode is large only in a small region of TeV and modest where the mode decay has turned on, but where has yet to become kinematically open. Decays to winos dominate decays to binos because the gauge coupling g is larger than the hypercharge gauge coupling .
5. Search for
Next, we turn to the examination of the prospects for discovering the charged Higgs boson produced at the HL-LHC via , followed by decay. For signal and background processes listed below, we use the Pythia event generator [42]. For BG processes such as , and production, we adopt Madgraph [45] for the subprocess calculation, but then interface with Pythia for parton showers, hadronization and underlying event. Our final state particles are then fed into the Delphes [46] detector simulation program, which includes a jet-finding algorithm and routines for identifying both b-jets and hadronic tau jets (labeled as ) (we use the default Delphes configuration card, Delphes-card-HLLHC, for our simulation of events at the high luminosity LHC).
In Delphes, a jet object is reconstructed using an anti-k algorithm with GeV and . For a baseline jet, we require:
- .
For a baseline b-jet, besides the requirement for a baseline jet, we further require
- the jet to be tagged as a b-jet by Delphes.
For a signal -jet, besides the requirement of a baseline jet, we further require
- the jet must be tagged as a hadronic tau-jet by Delphes with
- .
For the baseline lepton isolation requirement, we require
- GeV.
For a signal lepton, besides the requirement for baseline lepton isolation, we further require
- and
- GeV.
5.1. E/T Channel
In this channel, we search for E/T along with the presence of a spectator t-jet, which is signaled by the presence of a tagged b-jet. We include SM BGs from , single top, , , , , , , and production. We first require:
- Exactly one signal -jet with no baseline leptons; the no baseline lepton requirement targets events where the spectator top decays hadronically, though of course events with a semileptonic decaying top could contribute if the lepton evades detection;
- A neutrino reconstruction method (in events where one of the tops decays hadronically, and the other leptonically, so that the E/T comes only from the (massless) neutrino; i.e., , one can construct assuming that the W boson from top decay is on-shell. This vetoes about half the potentially enormous background with a loss of less than 10% of the signal) is employed here. If the invariant mass of the reconstructed neutrino, the signal -jet and any of the tagged baseline b-jets in the event reconstructs to GeV, then the event is vetoed.
This latter requirement is imposed to veto a portion of the very large background.
With these remaining events, an examination of various distributions of signal and background (that we do not show for brevity) leads us to impose the following analysis cuts:
- GeV,
- ,
- , where is the leading baseline b-jet,
- , where the b loops over all tagged baseline b-jets in the event.
After these cuts, the resulting transverse mass distribution is shown in Figure 4. As expected, the signal histograms peak around the value of , while the backgrounds yield falling distributions. Our goal in each signal channel is to look for an excess above the SM backgrounds in the largest transverse mass bins which are most sensitive to TeV-scale charged Higgs decay. From the distribution, the solid colored histograms represent the various BGs, of which the dominant is light yellow: . The signal distributions, labeled as dotted curves for several benchmark scenarios as listed, can emerge from BG at large values of , provided the signal is large enough.
Figure 4.
Distribution in from followed by the decay . We also show dominant SM backgrounds.
5.2. Channel
In this subsection, we examine the production reaction where followed by the channel, where or . For this signal channel, we require:
- Exactly one signal lepton and no other baseline leptons,
- No jets have been -tagged (-veto); here, we are again targeting events where the top decays hadronically, and the tau decays leptonically.
- ,
- The neutrino reconstruction method described above is employed here. If the invariant mass of the reconstructed neutrino, the signal lepton, plus any of the baseline b-jets in the event is within GeV, then the event is vetoed.
Standard model backgrounds from , single top, , , , , and can also lead to the same event topology as the signal.
Examination of various distributions leads us to impose the following analysis cuts:
- GeV,
- GeV, where is the azimuthal angle between the and the closest lepton or jet with GeV.
- ,
- , where is the leading baseline b-jet and
- , where the b loops over all tagged baseline b-jets in the event.
The resultant distribution is displayed in Figure 5. The dominant BG at low comes from production (light-yellow histogram) while the dominant BG at high comes from production. We also show several signal benchmark distributions (dotted curves) which may cause an excess of events over background expectations at high . In this case, the signal distributions shown will only cause a slight excess above background at high . But combined with the other channels, this signal channel can slightly increase the overall significance.
Figure 5.
Distribution in from followed by decay. We also show dominant SM backgrounds.
5.3. with Channel
In this channel, we attempt to extract the signal from production followed by , but where the spectator t-quark decays semi-leptonically: . SM backgrounds from , single top, , , , and production are included in our analysis.
We require:
- Exactly one signal lepton and no other baseline leptons,
- Exactly one signal -jet,
- The charges of the signal lepton and the -jet must be OS (opposite-sign),
- .
Examination of the resultant signal and background distributions leads us to the following additional analysis cuts:
- GeV,
- GeV,
- ,
- ,
- , where is the leading baseline b-jet,
- , where the b loops over all baseline b-jets in the event.
The resultant distribution is shown in Figure 6. The dominant BG at low again comes from production. At high , then the various signal histograms can cause a noticeable increase in the expected distribution beyond SM expectations, albeit with a rather low event rate.
Figure 6.
Distribution in from followed by decay and also decay. We also show dominant SM backgrounds.
5.4. LHC Reach in Channel
Using the analysis cuts for the various signal channels delineated above, we can now make plots to illustrate the LHC14 discovery sensitivity or exclusion limits for production in the vs. plane. We use the level to claim the discovery of a charged Higgs boson, assuming that the true distribution one observes experimentally corresponds to signal-plus-background. Our aim here is to compare this distribution against the background-only distribution in order to see if the background-only hypothesis can be rejected at the level. Specifically, we use the binned transverse mass distributions (bin width of 25 GeV) from each signal channel as displayed above to obtain the discovery (and also exclusion) limits.
For our studies of what experiments at the LHC might rule out should they not see a significant signal above the standard model backgrounds, we adopt 95% CL as the limit for exclusion, assuming that the true distribution in experiment corresponds to background-only. We then compute the limits using a modified frequentist method [47] where the profile likelihood ratio is the test statistic. For both the exclusion and discovery planes, we use the asymptotic approximation for obtaining the median significance [48].
In Figure 7, we plot our result for the discovery/exclusion regions via the channel for the HL-LHC with TeV and 3000 fb of integrated luminosity in the vs. plane using our benchmark scenario. In frame (a), we plot the discovery reach using the combined three channels discussed previously. The channel discussed in Section 5.1 is by far the largest contributor to the significance that yields this reach, with the channel of Section 5.3 making up most of the remainder. The channel of Section 5.2 constributes only a tiny amount to the significance. Above the dashed black line, experiments at the HL-LHC should be able to discover at the LHC operating at TeV, assuming an integrated luminosity of 3000 fb. The green and yellow bands display the and uncertainties in our mapping of the discovery region. The region above the dashed blue line is excluded by ATLAS searches for events, albeit in a scenario with decoupled superpartners [44]. From the plot, we see that a discovery region does indeed emerge, starting around GeV and and extends out to TeV for where both the and the branching fraction for decays are enhanced. The discovery region pinches off below where the branching ratio becomes too small.

Figure 7.
In (a) (upper), we show the discovery region of the vs. plane for followed by decay for HL-LHC with 3000 fb. In (b) (lower), we plot the corresponding 95% CL exclusion region. The region above the dashed blue curve is excluded by ATLAS searches for events.
In frame (b), we plot the 95% CL exclusion limit for HL-LHC for our combined three signal channels. The exclusion limit now extends out to beyond TeV for large . We also see that the exclusion contour extends to about for relatively light ; however, this part of the plane is already excluded by ATLAS searches.
6. Search for
In this section, we examine the capability of HL-LHC to discover charged Higgs bosons in the decay channel. Recent limits have been placed within this search channel by the ATLAS collaboration using 139 fb of data [31]. Our analysis proceeds similarly to Section 5 except now we place an emphasis on the presence of high- top-jets in the final state.
In the following, we will use lower case letters such as j (b) to denote the small radius jets (tagged b-jets) while upper case letters such as J (T) denote large radius jets (top-jets).
The parameters for baseline reconstructed particles are, for charged lepton l:
- ,
- GeV, GeV.
For small radius jet j:
- Jet reconstruction with the anti- algorithm,
- Cone size ,
- GeV,
- .
For a tagged baseline b-jet:
- Satisfy the above small radius jet requirements,
- Tagged b-jet by Delphes.
For a large radius jet J:
- Jet reconstruction using the Cambridge/Aachen algorithm (CA) [49,50],
- Cone size ,
- GeV,
- .
For a tagged top-jet T:
- Satisfy the above large radius jet (J) requirements,
- T is tagged by the HEPTopTagger2 algorithm [50,51].
Also, for candidate events with an isolated lepton or a signal b-jet, we further require
- , and .
The analysis is then separated into four orthogonal channels depending on whether or not the final state does or does not contain a tagged T-jet, and whether or not it contains an isolated lepton.
In all cases, the small radius b-jet (denoted as below) arising directly from the decay is determined by the following procedure.
- We require GeV,
- ,
- (so this means must be outside the cone of the fat jet top candidate).
- cannot be in the top mass range GeV, where j, are any small radius jet pairs in the event.
- If multiple candidates satisfying these conditions are found, the one with the hardest is taken as .
- Events are vetoed if no b-jets satisfy these conditions.
Then, is used to reconstruct the mass of the in all cases. Note that in the channels where the HEPTopTagger2 has positively tagged a top-jet, i.e., the channels, it is the four vector reconstructed by the algorithm that is taken as . But in the channels where HEPTopTagger2 fails to identify a top-jet, then it is the fat jet itself that is taken as the . The distributions are then shown as the final results for each signal channel.
The background samples being considered for the hadronic channels are (with truth bs removed to avoid double counting with events that are separately simulated), single top, and . The backgrounds for the semileptonic channels are (again with truth bs removed), and . We have not simulated events as we require at least three b-jets, which have been shown to be very small [52].
6.1. Single Tagged Top Channel without Signal Leptons
In this channel, we search for with decay. The primary t-quark in the final state tends to be non-central, and so rarely produces a tagged top-jet, but does more often produce a tagged b-jet. So, for this channel, we focus on reconstructing the decay-produced top jet from , where TeV-scale charged Higgs decay gives rise to a well-collimated T-jet. Thus,
- The HEPTopTagger2 algorithm that we use has tagged exactly one top from the large radius boosted (, GeV) jet . (This fat jet is denoted as below).
The top-jet four vector reconstructed by the HEPTopTagger2 is used as . The four vector for the subject b reconstructed by the tagger is denoted as . We further require the following.
- At least 3 b-jets: , of which at least two of them must satisfy the signal b-jet requirements listed above.
- At least 6 jets: .
- No isolated leptons: .
Based on examination of various signal/background distributions, we also require
- GeV,
- GeV, where the b and are the b-jet pair with the max in the events,
- , where the are any b-jets in events that are not and . The is reconstructed from , ,
- , where are any b-jets in the events.
At this point, we are able to construct the distribution shown in Figure 8. The dominant background distributions are shown as solid colored histograms whilst several signal benchmark models are shown as dashed histograms. From the plot, we see that the signal distributions roughly reconstruct while the background is dominated by production at low mass, and by at high invariant mass. The goal then is to search for resonant signal bumps against the continuum of expected backgrounds. If this bump is buried under the SM background, this channel will make a negligible contribution to the significance when combined with other channels.
Figure 8.
Distribution in from followed by decay. These events include a top-jet tagged by HEPTopTagger2. We also show dominant SM backgrounds.
6.2. Single Top (No Tag) Channel without Signal Leptons
In this channel, the HEPTopTagger2 fails to tag any tops. However,
- There is at least one large radius boosted (, GeV) jet with trimmed mass [53] GeV, and at least one small radius () b-jet within the cone of the large radius jet J. Then, the fat Jet with the hardest is taken as the top candidate arising directly from the charged Higgs decay (denoted as ). The hardest b within cone is taken as .
- At least 3 b jets: , of which at least two of them must satisfy the signal b-jet requirements listed above.
- At least 6 jets: ,
- No isolated leptons: .
We then require:
- GeV,
- GeV, where the b are the b-jet pairs with the max in the events,
- , where the are any b-jets in events that are not and . The is reconstructed from , ,
- , where the are any b-jets in the events.
The distribution , reconstructed from and , is shown in Figure 9 where again the roughly reconstructs and where again the and are the dominant backgrounds.
Figure 9.
Distribution in from followed by decay, but no fat jet tagged as top by HEPTopTagger2. We also show dominant SM backgrounds.
6.3. Single Top (Tagged) Plus Lepton Channel
In this signal channel, we again require a tagged top-jet, but now also require the presence of an isolated lepton arising from the semileptonic decay of one of the tops.
We require
- The HEPTopTagger2 has tagged exactly one top from the large radius boosted (, GeV) jet .As before, the top four vectors reconstructed by the HEPTopTagger2 are denoted as . The four vectors for the sub-jet b reconstructed by the tagger are denoted as .
- At least 3 b-jets: , of which at least two of them must satisfy the signal b-jet requirements listed above.
- At least 4 jets: .
- Exactly one signal isolated leptons: .
We further require
- GeV,
- GeV, where the b, are the b pairs with the max in the events,
- , where are any b-jets in the events that are not and . The is reconstructed from and .
- , where the are any b-jets in the events, and
- .
The invariant mass distribution from the signal BM models and backgrounds, again constructed by combining and , are shown in Figure 10. In this case, the background is dominant in the range where reconstructs .
Figure 10.
Distribution in from followed by decay, a fat jet tagged as a top-jet by HEPTopTagger2, and an isolated lepton from the decay of one of the top quarks. We also show dominant SM backgrounds.
6.4. Single Top (No Tag) Plus Lepton Channel
In this channel, we examine events where the HEPTopTagger2 fails to tag any top jets but there is a lepton from the decay of one of the tops. We require,
- There is at least one large radius boosted (, GeV) jet with trimmed mass [53] GeV, and at least one small radius () b-jet within the cone of the large radius jet J. Then, the fat jet is taken as the hardest top candidate directly from the charged Higgs decay (denoted as ). The hardest b-jet within is taken as .
- At least 3 b-jets: , of which at least two of them must satisfy the signal b-jet requirements listed above.
- At least 6 jets: .
- Exactly one signal isolated lepton: .
We also require
- GeV,
- GeV, where the b, are the b pairs with the max in the events,
- , where are any b-jets in the events that are not and . is reconstructed from and ,
- , where are any b-jets in the events and
- .
The distribution (again constructed by combining and ) for signal and background events with non-tagged top-jets and an isolated lepton is shown in Figure 11.
Figure 11.
Distribution in from followed by decay. We also require that there is no fat jet tagged as a top-jet by HEPTopTagger2 but that there is an isolated lepton from the decay of one of the top quarks. We also show dominant SM backgrounds.
6.5. LHC Reach in Channel
As in the analysis, after adopting the cuts listed above for the various signal channels, we can now create reach plots for the LHC discovery sensitivity or exclusion limits from followed by in the vs. plane. In this case, we use the binned distributions (bin width of 25 GeV) from each signal channel as displayed above to obtain the discovery/exclusion limits.
In Figure 12, we show our results for the discovery/exclusion regions via the channel for the HL-LHC with TeV and 3000 fb of integrated luminosity in the vs. plane using our benchmark scenario. In frame (a), we plot the discovery reach using the combined four signal channels listed above. The dashed black line denotes the computed reach while the green and yellow bands display the and uncertainty. From the plot, we see that a discovery region is indeed found, starting around GeV and . For these combined signal channels, the discovery region extends out to TeV for . The discovery region pinches off below where the signal, after analysis cuts, becomes too small relative to the standard model background. Unfortunately, the entire discovery region lies within the portion of the plane that already appears to be excluded by the ATLAS search for decays [44].
Figure 12.
In (a), we plot the discovery region of the vs. plane for followed by decay for HL-LHC with 3000 fb. In (b), we plot the corresponding 95% CL exclusion region. The dashed blue line shows the boundary of the region excluded at the 95% confidence level in Ref. [44].
In frame (b), we plot the 95% CL exclusion limit for HL-LHC for our combined four signal channels. The exclusion limit now extends out to TeV for large , and well outside the ATLAS excluded region denoted by the dashed blue line. We also see that the exclusion contour extends somewhat below for lighter TeV. Also, a small exclusion region has now appeared at low , which has also appeared in the ATLAS analysis [31].
7. Search for SUSY at HL-LHC
In Ref. [3], we examined s-channel production of heavy neutral SUSY Higgs bosons followed by decays to SUSY particles, where in natural SUSY was the dominant decay mode (when kinematically open) except where was very large. The heavier higgsinos decay to soft visible particles plus whilst the gauginos decay via . This led to the discovery channels of at HL-LHC, with accessible parameter regions mapped out in the vs. plane for natSUSY in Ref. [3]. The number of signal events after cuts were typically in the range of tens of events at best at HL-LHC with 3000 fb of integrated luminosity.
The question here is then: are there lucrative charged Higgs decay channels available for HL-LHC? We saw in Figure 3 that for moderate and that the SUSY decay modes also become the dominant decay channels for charged Higgs bosons. And like their neutral Higgs counterparts, the final state configurations for end up being according to the various charged Higgs and sparticle branching fractions from Isajet [35].
Thus, we have also examined the prospects for at HL-LHC. An essential difference of compared to at LHC is that for a given heavy Higgs mass, the top-quark plus charged Higgs cross-section is typically suppressed by an order of magnitude or more from s-channel neutral heavy Higgs production. A plot of charged Higgs production cross-section times in fb in the vs. plane is shown in Figure 13 for the scenario. From the plot, for where decays to SUSY particles begin to become important, the cross-sections lie in the sub-fb regime. In addition, one typically tries to tag the spectator t- or b- jet in production which also leads to a reduction in signal level. Then one must factor in further SUSY decay branching fractions to along with branching fractions into observable final states. The upshot is: the reduced signal channels compared to SM backgrounds , , , , etc. did not lead to any compelling discovery channels that we could find.
Figure 13.
Plot of charged Higgs production cross-section times in fb in the vs. plane for the scenario.
8. Regions of the vs. Plane Accessible to HL-LHC via Charged and Neutral Higgs Boson Searches in natSUSY
We have found so far that a charged Higgs boson signal should be accessible to the HL-LHC in two different channels: and, to a lesser degree, via . The regions of the vs. plane, which are available to HL-LHC via discovery and CL exclusion have been mapped out. At this point, it is worthwhile to compare the reach of HL-LHC via charged Higgs boson searches to the reach which can be achieved via s-channel H and A signals as delineated for natSUSY in Refs. [2,3].
In Figure 14, we plot out the reach of HL-LHC with 3000 fb in the vs. plane for heavy charged and neutral Higgs boson signals in the natSUSY scenario. The red dashed contour shows the computed discovery reach via the channel. Of all channels assessed so far, this provides the maximal discovery reach due to higher production cross-sections , lower backgrounds in the ditau decay channel and the capability to reconstruct the ditau invariant mass using the ability to roughly reconstruct the missing neutrino momentum. The discovery region lies above the contour which extends from for TeV to for TeV. The decay branching fraction for is of course enhanced by the well-known factor .
Figure 14.
Plot of discovery projections for heavy SUSY Higgs boson searches at HL-LHC in the vs. plane for the scenario.
Next most important is the yellow-dashed contour for with . These combined channels determine the ultimate reach and only turn on for TeV where becomes kinematically accessible in the natSUSY scenario. The reach via SUSY decays is comparable with the reach for TeV, but for TeV, the reach via SUSY decays drops off more quickly for larger values mainly because the H and A decays to SM fermions are enhanced by large Yukawa couplings, suppressing the branching fractions for decays to SUSY particles. The green-dashed contour denotes the HL-LHC discovery reach via followed by decay. For a given , the cross section is well below the resonantly enhanced and furthermore one cannot reconstruct a charged Higgs invariant mass via the channel: as a result, the reach via the charged Higgs channel is substantially less than the the reach via . The blue dashed contour denotes the discovery reach for with . This discovery region is mainly applicable at large . Within the model, a substantial region of parameter space is accessible to HL-LHC via several discovery channels, but we should keep in mind that portions of this plane is excluded by the ATLAS search, albeit in a model with decoupled superpartners [44].
In Figure 15, we show all four contours, but now as 95% CL exclusion limits, should no signal appear at the HL-LHC. For TeV, the main exclusion would come from not discovering while for lower TeV the main exclusion come from not discovering , where the exclusion contour dips to very low (where becomes lighter than 125 GeV). The charged Higgs exclusion contours are contained within the exclusion contour.
Figure 15.
Plot of 95% CL exclusion projections for heavy SUSY Higgs boson searches at HL-LHC in the vs. plane for the scenario.
9. Conclusions
In this paper, we have investigated the ability of HL-LHC to discover the charged Higgs bosons of supersymmetric theories in the natural SUSY scenario. We believe that the natSUSY scenario is strongly motivated in that it naturally explains the measured magnitude of the weak scale which arises from a conspiracy of the weak scale soft terms: 100–400 GeV while is radiatively driven to rather small negative values at the weak scale (EW symmetry is barely broken). Other sparticle masses can be much larger, lying in the TeV or beyond region since their contributions to the weak scale are suppressed (at least) by loop factors. Unnatural SUSY models that predict much higher values for are regarded as rather implausible since they will require an unnatural conspiracy/finetuning of parameters in order to gain GeV.
The charged Higgs boson masses can range from their present lower limits from LHC searches up into the multi-TeV range (depending on ) with little cost to EW naturalness. Furthermore, once their masses exceed , then the decay to SUSY particles can become dominant. This reduces heavy Higgs decay to SM particle signals as expected in unnatural scenarios such as 2HDMs, but also opens up possible new avenues for heavy Higgs discovery. In this paper, we have delineated search strategies for charged Higgs bosons in both the and channels and have also computed the regions of vs. parameter space, which are accessible to HL-LHC as the and 95% CL contours. The HL-LHC reach for charged Higgs bosons is typically contained within the stronger reach via s-channel production of heavy neutrals H and A. For searches at the HL-LHC, decays of the charged Higgs boson to superpartners appear to be unimportant. Nonetheless, there do exist regions where all of , H and A may be discovered.
Author Contributions
Software, K.Z.; Writing—original draft, H.B.; Writing—review & editing, V.B. and X.T. All authors have read and agreed to the published version of the manuscript.
Funding
This material is based upon work supported by the U.S. Department of Energy, Office of Science, Office of High Energy Physics under Award Number DE-SC-0009956 and DE-SC-0017647.
Acknowledgments
We thank the US DoE Office of Science for funding support.
Conflicts of Interest
The authors declare no conflict of interest.
References
- Baer, H.; Tata, X. Weak Scale Supersymmetry: From Superfields to Scattering Events; Cambridge University Press: Cambridge, UK, 2006. [Google Scholar]
- Baer, H.; Barger, V.; Tata, X.; Zhang, K. Prospects for Heavy Neutral SUSY HIGGS Scalars in the hMSSM and Natural SUSY at LHC Upgrades. Symmetry 2022, 14, 2061. [Google Scholar] [CrossRef]
- Baer, H.; Barger, V.; Tata, X.; Zhang, K. Detecting Heavy Neutral SUSY Higgs Bosons Decaying to Sparticles at the High-Luminosity LHC. Symmetry 2023, 15, 548. [Google Scholar] [CrossRef]
- Baer, H.; Barger, V.; Huang, P.; Mickelson, D.; Mustafayev, A.; Tata, X. Radiative natural supersymmetry: Reconciling electroweak fine-tuning and the Higgs boson mass. Phys. Rev. D 2013, 87, 115028. [Google Scholar] [CrossRef]
- Dedes, A.; Slavich, P. Two loop corrections to radiative electroweak symmetry breaking in the MSSM. Nucl. Phys. B 2003, 657, 333–354. [Google Scholar] [CrossRef][Green Version]
- Baer, H.; Barger, V.; Huang, P.; Mustafayev, A.; Tata, X. Radiative natural SUSY with a 125 GeV Higgs boson. Phys. Rev. Lett. 2012, 109, 161802. [Google Scholar] [CrossRef]
- Bae, K.J.; Baer, H.; Barger, V.; Mickelson, D.; Savoy, M. Implications of naturalness for the heavy Higgs bosons of supersymmetry. Phys. Rev. D 2014, 90, 075010. [Google Scholar] [CrossRef]
- Baer, H.; Barger, V.; Savoy, M. Upper bounds on sparticle masses from naturalness or how to disprove weak scale supersymmetry. Phys. Rev. D 2016, 93, 035016. [Google Scholar] [CrossRef]
- Bawa, A.C.; Kim, C.S.; Martin, A.D. Charged Higgs Production at Hadron Colliders. Z. Phys. C 1990, 47, 75–82. [Google Scholar] [CrossRef]
- Gunion, J.F. Detecting the tb decays of a charged Higgs boson at a hadron supercollider. Phys. Lett. B 1994, 322, 125–130. [Google Scholar] [CrossRef][Green Version]
- Barger, V.D.; Phillips, R.J.N.; Roy, D.P. Heavy charged Higgs signals at the LHC. Phys. Lett. B 1994, 324, 236–240. [Google Scholar] [CrossRef]
- Baer, H.; Tata, X. Implications of the t Quark Signal for Stop Squarks and Charged Higgs Bosons. Phys. Lett. B 1986, 167, 241–247. [Google Scholar] [CrossRef][Green Version]
- Kunszt, Z.; Zwirner, F. Testing the Higgs sector of the minimal supersymmetric standard model at large hadron colliders. Nucl. Phys. B 1992, 385, 3–75. [Google Scholar] [CrossRef][Green Version]
- Baer, H.; Dicus, D.; Drees, M.; Tata, X. Higgs Boson Signals in Superstring Inspired Models at Hadron Supercolliders. Phys. Rev. D 1987, 36, 1363. [Google Scholar] [CrossRef] [PubMed]
- Gunion, J.F.; Haber, H.E.; Drees, M.; Karatas, D.; Tata, X.; Godbole, R.; Tracas, N. Decays of Higgs Bosons to Neutralinos and Charginos in the Minimal Supersymmetric Model: Calculation and Phenomenology. Int. J. Mod. Phys. A 1987, 2, 1035. [Google Scholar] [CrossRef]
- Gunion, J.F.; Haber, H.E. Higgs Bosons in Supersymmetric Models. 3. Decays into Neutralinos and Charginos. Nucl. Phys. B 1988, 307, 445. [Google Scholar] [CrossRef]
- Baer, H.; Bisset, M.; Dicus, D.; Kao, C.; Tata, X. The Search for Higgs bosons of minimal supersymmetry: Impact of supersymmetric decay modes. Phys. Rev. D 1993, 47, 1062–1079. [Google Scholar] [CrossRef] [PubMed]
- Plehn, T. Charged Higgs boson production in bottom gluon fusion. Phys. Rev. D 2003, 67, 014018. [Google Scholar] [CrossRef]
- Berger, E.L.; Han, T.; Jiang, J.; Plehn, T. Associated production of a top quark and a charged Higgs boson. Phys. Rev. D 2005, 71, 115012. [Google Scholar] [CrossRef]
- Zhu, S.H. Complete next-to-leading order QCD corrections to charged Higgs boson associated production with top quark at the CERN large hadron collider. Phys. Rev. D 2003, 67, 075006. [Google Scholar] [CrossRef]
- Roy, D.P. The Hadronic τ decay signature of a heavy charged Higgs boson at LHC. Phys. Lett. B 1999, 459, 607–614. [Google Scholar] [CrossRef]
- Assamagan, K.A.; Coadou, Y. The hadronic tau decay of a heavy H+- in ATLAS. Acta Phys. Polon. B 2002, 33, 707–720. [Google Scholar]
- Drees, M.; Guchait, M.; Roy, D.P. Signature of charged to neutral Higgs boson decay at the LHC in SUSY models. Phys. Lett. B 1999, 471, 39–44. [Google Scholar] [CrossRef]
- Moretti, S.; Roy, D.P. Detecting heavy charged Higgs bosons at the LHC with triple b tagging. Phys. Lett. B 1999, 470, 209–214. [Google Scholar] [CrossRef][Green Version]
- Miller, D.J.; Moretti, S.; Roy, D.P.; Stirling, W.J. Detecting heavy charged Higgs bosons at the CERN LHC with four b quark tags. Phys. Rev. D 2000, 61, 055011. [Google Scholar] [CrossRef]
- Carena, M.; Garcia, D.; Nierste, U.; Wagner, C.E.M. Effective Lagrangian for the bH+ interaction in the MSSM and charged Higgs phenomenology. Nucl. Phys. B 2000, 577, 88–120. [Google Scholar] [CrossRef]
- Denegri, D.; Drollinger, V.; Kinnunen, R.; Lassila-Perini, K.; Lehti, S.; Moortgat, F.; Nikitenko, A.; Slabospitsky, S.; Stepanov, N. Summary of the CMS Discovery Potential for the MSSM SUSY Higgses. arXiv 2021. [Google Scholar]
- Assamagan, K.A.; Coadou, Y.; Deandrea, A. ATLAS discovery potential for a heavy charged Higgs boson. Eur. Phys. J. direct 2002, 4, 9. [Google Scholar] [CrossRef][Green Version]
- Aaboud, M.; Aad, G.; Abbott, B.; Abeloos, B.; Abhayasinghe, D.K.; Abidi, S.H.; AbouZeid, O.S.; Abraham, N.L.; Abramowicz, H.; Abreu, H.; et al. Search for charged Higgs bosons decaying via H±→τ±ντ in the τ+jets and τ+lepton final states with 36 fb−1 of pp collision data recorded at = 13 TeV with the ATLAS experiment. JHEP 2018, 9, 139. [Google Scholar] [CrossRef]
- CMS Collaboration. Search for charged Higgs bosons in the H±→τ±ντ decay channel in proton-proton collisions at = 13 TeV. JHEP 2019, 7, 142. [Google Scholar] [CrossRef]
- Akeroyd, A.G.; Aoki, M.; Arhrib, A.; Basso, L.; Ginzburg, I.F.; Guedes, R.; Hernandez-Sanchez, J.; Huitu, K.; Hurth, T.; Kadastik, M.; et al. Search for charged Higgs bosons decaying into a top quark and a bottom quark at = 13 TeV with the ATLAS detector. JHEP 2021, 6, 145. [Google Scholar] [CrossRef]
- Arhrib, A.; Benbrik, R.; Harouiz, H.; Moretti, S.; Rouchad, A. A Guidebook to Hunting Charged Higgs Bosons at the LHC. Front. Phys. 2020, 8, 39. [Google Scholar] [CrossRef]
- Akeroyd, A.G.; Aoki, M.; Arhrib, A.; Basso, L.; Ginzburg, I.F.; Guedes, R.; Hernandez-Sanchez, J.; Huitu, K.; Hurth, T.; Kadastik, M.; et al. Prospects for charged Higgs searches at the LHC. Eur. Phys. J. C 2017, 77, 276. [Google Scholar] [CrossRef]
- Ellis, J.R.; Falk, T.; Olive, K.A.; Santoso, Y. Exploration of the MSSM with nonuniversal Higgs masses. Nucl. Phys. B 2003, 652, 259–347. [Google Scholar] [CrossRef]
- Paige, F.E.; Protopopescu, S.D.; Baer, H.; Tata, X. ISAJET 7.69: A Monte Carlo Event Generator for pp, anti-p p, and e+e- Reactions. 2003. Available online: https://arxiv.org/abs/hep-ph/0312045 (accessed on 15 June 2023).
- Bisset, M.A. Detection of Higgs Bosons of the Minimal Supersymmetric Standard Model at Hadron Supercolliders. Ph.D. Thesis, University of Hawaii, Honolulu, HI, USA, 1995. [Google Scholar]
- Pierce, D.M.; Bagger, J.A.; Matchev, K.T.; Zhang, R.J. Precision corrections in the minimal supersymmetric standard model. Nucl. Phys. B 1997, 491, 3–67. [Google Scholar] [CrossRef]
- Carena, M.; Haber, H.E. Higgs Boson Theory and Phenomenology. Prog. Part. Nucl. Phys. 2003, 50, 63–152. [Google Scholar] [CrossRef]
- Aalbers, J.; Akerib, D.S.; Akerlof, C.W.; Al Musalhi, A.K.; Alder, F.; Alqahtani, A.; Alsum, S.K.; Amarasinghe, C.S.; Ames, A.; Anderson, T.J.; et al. First Dark Matter Search Results from the LUX-ZEPLIN (LZ) Experiment. arXiv 2022, arXiv:2207.03764. [Google Scholar]
- Bae, K.J.; Baer, H.; Barger, V.; Deal, R.W. The cosmological moduli problem and naturalness. JHEP 2022, 2, 138. [Google Scholar] [CrossRef]
- Gelmini, G.B.; Gondolo, P. Neutralino with the right cold dark matter abundance in (almost) any supersymmetric model. Phys. Rev. D 2006, 74, 023510. [Google Scholar] [CrossRef]
- Sjostrand, T.; Mrenna, S.; Skands, P.Z. A Brief Introduction to PYTHIA 8.1. Comput. Phys. Commun. 2008, 178, 852–867. [Google Scholar] [CrossRef]
- Dicus, D.A.; Hewett, J.L.; Kao, C.; Rizzo, T.G. W+- H-+ Production at Hadron Collider. Phys. Rev. D 1989, 40, 787. [Google Scholar] [CrossRef]
- Franconi, L.; Haug, S.; Weber, M.; Anders, J.K.; Fehr, A.; Beck, H.P.; Ereditato, A.; Lehmann, N.; Miucci, A.; Weston, T.D. Search for heavy Higgs bosons decaying into two tau leptons with the ATLAS detector using pp collisions at = 13 TeV. Phys. Rev. Lett. 2020, 125, 051801. [Google Scholar] [CrossRef]
- Alwall, J.; Herquet, M.; Maltoni, F.; Mattelaer, O.; Stelzer, T. MadGraph 5: Going Beyond. JHEP 2011, 6, 128. [Google Scholar] [CrossRef]
- De Favereau, J.; Delaere, C.; Demin, P.; Giammanco, A.; Lemaître, V.; Mertens, A.; Selvaggi, M. DELPHES 3, A modular framework for fast simulation of a generic collider experiment. JHEP 2014, 2, 57. [Google Scholar] [CrossRef]
- Read, A.L. Presentation of search results: The CLs technique. J. Phys. G 2002, 28, 2693. [Google Scholar] [CrossRef]
- Cowan, G.; Cranmer, K.; Gross, E.; Vitells, O. Asymptotic formulae for likelihood-based tests of new physics. Eur. Phys. J. C 2011, 71, 1–19. [Google Scholar] [CrossRef]
- A Cambridge-Aachen (C-A) Based Jet Algorithm for Boosted Top-Jet Tagging, CMS Report Number CMS-PAS-JME-09-001. 2009. Available online: https://inspirehep.net/literature/925377 (accessed on 15 June 2023).
- Anders, C.; Bernaciak, C.; Kasieczka, G.; Plehn, T.; Schell, T. Benchmarking an even better top tagger algorithm. Phys. Rev. D 2014, 89, 074047. [Google Scholar] [CrossRef]
- Plehn, T.; Spannowsky, M.; Takeuchi, M. How to Improve Top Tagging. Phys. Rev. D 2012, 85, 034029. [Google Scholar] [CrossRef]
- Abazov, V.M.; Abbott, B.; Abolins, M.; Acharya, B.S.; Adams, M.; Adams, T.; Aguilo, E.; Ahsan, M.; Alexeev, G.D.; Alkhazov, G.; et al. Search for charged Higgs bosons decaying into top and bottom quarks at = 13 TeV with the ATLAS detector. JHEP 2018, 11, 85. [Google Scholar] [CrossRef]
- Krohn, D.; Thaler, J.; Wang, L.T. Jet Trimming. JHEP 2010, 2, 84. [Google Scholar] [CrossRef]
Disclaimer/Publisher’s Note: The statements, opinions and data contained in all publications are solely those of the individual author(s) and contributor(s) and not of MDPI and/or the editor(s). MDPI and/or the editor(s) disclaim responsibility for any injury to people or property resulting from any ideas, methods, instructions or products referred to in the content. |
© 2023 by the authors. Licensee MDPI, Basel, Switzerland. This article is an open access article distributed under the terms and conditions of the Creative Commons Attribution (CC BY) license (https://creativecommons.org/licenses/by/4.0/).