Sign in to use this feature.

Years

Between: -

Subjects

remove_circle_outline
remove_circle_outline
remove_circle_outline
remove_circle_outline
remove_circle_outline
remove_circle_outline
remove_circle_outline
remove_circle_outline
remove_circle_outline

Journals

remove_circle_outline
remove_circle_outline
remove_circle_outline

Article Types

Countries / Regions

remove_circle_outline
remove_circle_outline
remove_circle_outline
remove_circle_outline

Search Results (372)

Search Parameters:
Keywords = LHC

Order results
Result details
Results per page
Select all
Export citation of selected articles as:
51 pages, 20151 KB  
Review
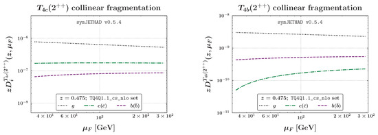
Tetraquark-Jet Systems at the High-Luminosity LHC
by Francesco Giovanni Celiberto
Universe 2026, 12(1), 13; https://doi.org/10.3390/universe12010013 - 2 Jan 2026
Viewed by 129
Abstract
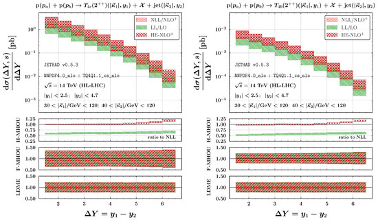
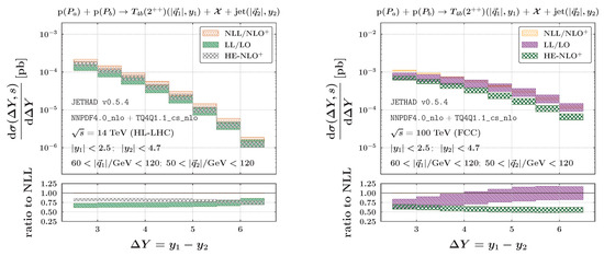
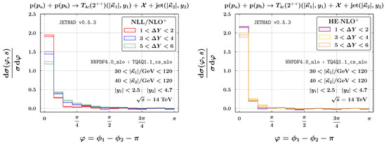
We investigate the high-energy production of tetraquark-jet systems at the LHC and its forthcoming high-luminosity upgrade. In this review, we examine the leading–power fragmentation of fully heavy tetraquarks (T4Q) in hadronic collisions, highlighting their relevance as novel probes of [...] Read more.
We investigate the high-energy production of tetraquark-jet systems at the LHC and its forthcoming high-luminosity upgrade. In this review, we examine the leading–power fragmentation of fully heavy tetraquarks (T4Q) in hadronic collisions, highlighting their relevance as novel probes of multiquark dynamics in QCD. Our analysis relies on the hadron–structure–oriented TQ4Q1.1 fragmentation functions, built within a nonrelativistic QCD framework that incorporates both gluon- and heavy-quark-initiated channels. Threshold-consistent DGLAP evolution is performed through the HF-NRevo scheme, enabling a unified treatment of mass thresholds and scale variations. We also provide a systematic discussion of uncertainties arising from color-composite long-distance matrix elements (LDMEs) and from perturbative hard- and fragmentation-scale inputs (H- and F-MHOUs). Phenomenological predictions are obtained using the (sym)Jethad framework at NLL/NLO+ accuracy for semi-inclusive tetraquark-jet production at the LHC and beyond. This review connects the emerging spectroscopy of fully heavy exotics with modern fragmentation-based approaches to hadron structure and high-energy QCD. Full article
(This article belongs to the Section High Energy Nuclear and Particle Physics)
Show Figures

Figure 1

32 pages, 13923 KB  
Article
Design of a Hermetic Centrifugal Pump Impeller Using RSM and Evolutionary Algorithms with Application of SLS Technology
by Viorel Bostan, Andrei Petco, Dmitrii Croitor, Nadejda Proca and Vadim Zubac
Processes 2026, 14(1), 152; https://doi.org/10.3390/pr14010152 - 1 Jan 2026
Viewed by 366
Abstract
This study presents the development and validation of a comprehensive numerical optimisation methodology used to improve the energy efficiency of a pump with normal characteristics: volume flow rate, Q nom = 6.3 m3/h, and head, H = 20 mH2O. [...] Read more.
This study presents the development and validation of a comprehensive numerical optimisation methodology used to improve the energy efficiency of a pump with normal characteristics: volume flow rate, Q nom = 6.3 m3/h, and head, H = 20 mH2O. The methodology was implemented in ANSYS Workbench using ANSYS CFX and optiSLang. The optimisation process is based on data from 853 RANS (SST) calculations on a sample generated by the LHC method, varying the parameters of the blades and flow path. Response surfaces (RSM) were constructed using anisotropic and classical kriging, which were optimised using an Evolutionary Algorithm (EA). The optimised geometry was verified numerically by URANS SST and experimentally. For physical validation, the wheel was manufactured using SLS technology from PA-12 Industrial powder, a strength assessment FSI was performed, and the geometry was checked by 3D scanning. 3D scanning showed a high manufacturing accuracy (deviations of 0.1–0.3 mm). The result is a geometry that increases efficiency while maintaining head, which has been confirmed by experimental validation. Full article
(This article belongs to the Section AI-Enabled Process Engineering)
Show Figures

Figure 1

49 pages, 1451 KB  
Review
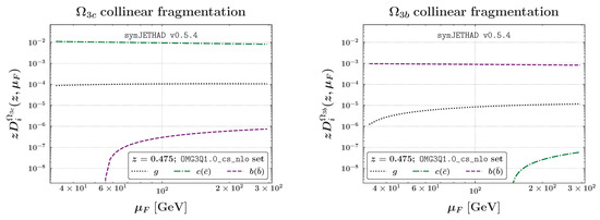
Triply Heavy Ω Baryons with Jethad: A High-Energy Viewpoint
by Francesco Giovanni Celiberto
Symmetry 2026, 18(1), 29; https://doi.org/10.3390/sym18010029 - 23 Dec 2025
Cited by 1 | Viewed by 207
Abstract
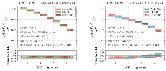
We investigate the leading-power fragmentation of triply heavy Ω baryons in high-energy hadronic collisions. Extending our previous work on the Ω3c sector, we release the full OMG3Q1.0 family of collinear fragmentation functions by completing the description of the charm channel and [...] Read more.
We investigate the leading-power fragmentation of triply heavy Ω baryons in high-energy hadronic collisions. Extending our previous work on the Ω3c sector, we release the full OMG3Q1.0 family of collinear fragmentation functions by completing the description of the charm channel and delivering novel Ω3b functions. These hadron-structure-oriented functions are constructed from improved proxy-model calculations for heavy-quark and gluon fragmentation, matched to a flavor-aware DGLAP evolution based on the HF-NRevo scheme. For phenomenological applications, we employ the (sym)Jethad multimodular interface to compute and analyze NLL/NLO+ semi-inclusive Ω3Q plus jet distributions at the HL-LHC and FCC. This work consolidates the link between hadron structure, rare baryon production, and resummed QCD at the energy frontier. Full article
(This article belongs to the Special Issue Symmetry and Quantum Chromodynamics)
Show Figures

Figure 1

21 pages, 2267 KB  
Article
An External Validation Study on Two Pre-Trained Large Language Models for Multimodal Prognostication in Laryngeal and Hypopharyngeal Cancer: Integrating Clinical, Treatment, and Radiomic Data to Predict Survival Outcomes with Interpretable Reasoning
by Wing-Keen Yap, Shih-Chun Cheng, Chia-Hsin Lin, Ing-Tsung Hsiao, Tsung-You Tsai, Wing-Lake Yap, Willy Po-Yuan Chen, Chien-Yu Lin and Shih-Ming Huang
Bioengineering 2025, 12(12), 1345; https://doi.org/10.3390/bioengineering12121345 - 10 Dec 2025
Viewed by 623
Abstract
Background: Laryngeal and hypopharyngeal cancers (LHCs) exhibit heterogeneous outcomes after definitive radiotherapy (RT). Large language models (LLMs) may enhance prognostic stratification by integrating complex clinical and imaging data. This study validated two pre-trained LLMs—GPT-4o-2024-08-06 and Gemma-2-27b-it—for outcome prediction in LHC. Methods: Ninety-two patients [...] Read more.
Background: Laryngeal and hypopharyngeal cancers (LHCs) exhibit heterogeneous outcomes after definitive radiotherapy (RT). Large language models (LLMs) may enhance prognostic stratification by integrating complex clinical and imaging data. This study validated two pre-trained LLMs—GPT-4o-2024-08-06 and Gemma-2-27b-it—for outcome prediction in LHC. Methods: Ninety-two patients with non-metastatic LHC treated with definitive (chemo)radiotherapy at Linkou Chang Gung Memorial Hospital (2006–2013) were retrospectively analyzed. First-order and 3D radiomic features were extracted from intra- and peritumoral regions on pre- and mid-RT CT scans. LLMs were prompted with clinical variables, radiotherapy notes, and radiomic features to classify patients as high- or low-risk for death, recurrence, and distant metastasis. Model performance was assessed using sensitivity, specificity, AUC, Kaplan–Meier survival analysis, and McNemar tests. Results: Integration of radiomic features significantly improved prognostic discrimination over clinical/RT plan data alone for both LLMs. For death prediction, pre-RT radiomics were the most predictive: GPT-4o achieved a peak AUC of 0.730 using intratumoral features, while Gemma-2-27b reached 0.736 using peritumoral features. For recurrence prediction, mid-RT peritumoral features yielded optimal performance (AUC = 0.703 for GPT-4o; AUC = 0.709 for Gemma-2-27b). Kaplan–Meier analyses confirmed statistically significant separation of risk groups: pre-RT intra- and peritumoral features for overall survival (for both GPT-4o and Gemma-2-27b, p < 0.05), and mid-RT peritumoral features for recurrence-free survival (p = 0.028 for GPT-4o; p = 0.017 for Gemma-2-27b). McNemar tests revealed no significant performance difference between the two LLMs when augmented with radiomics (all p > 0.05), indicating that the open-source model achieved comparable accuracy to its proprietary counterpart. Both models generated clinically coherent, patient-specific rationales explaining risk assignments, enhancing interpretability and clinical trust. Conclusions: This external validation demonstrates that pre-trained LLMs can serve as accurate, interpretable, and multimodal prognostic engines for LHC. Pre-RT radiomic features are critical for predicting mortality and metastasis, while mid-RT peritumoral features uniquely inform recurrence risk. The comparable performance of the open-source Gemma-2-27b-it model suggests a scalable, cost-effective, and privacy-preserving pathway for the integration of LLM-based tools into precision radiation oncology workflows to enhance risk stratification and therapeutic personalization. Full article
Show Figures

Figure 1

25 pages, 23143 KB  
Article
Experimental Characterization of Miniature DC Motors for Robotics in High Magnetic Field Environments
by Francesco Mazzei, Luca Bernardi, Paolo Francesco Scaramuzzino, Corrado Gargiulo and Fabio Curti
Robotics 2025, 14(12), 172; https://doi.org/10.3390/robotics14120172 - 21 Nov 2025
Viewed by 819
Abstract
The deployment of robotic systems in hazardous and magnetically intense environments requires careful assessment of their performance under external disturbances. In particular, electromagnetic motors used for actuation may interact with strong magnetic fields, potentially impairing their functionality. This study investigates the behaviour of [...] Read more.
The deployment of robotic systems in hazardous and magnetically intense environments requires careful assessment of their performance under external disturbances. In particular, electromagnetic motors used for actuation may interact with strong magnetic fields, potentially impairing their functionality. This study investigates the behaviour of miniature brushed coreless Direct Current (DC) motors for small Unmanned Aerial Vehicle (UAV) applications in magnetically harsh environments, such as underground accelerator facilities like the Large Hadron Collider (LHC) at CERN. Experimental tests were conducted measuring four main physical quantities: the torque components acting along the axes orthogonal to the shaft, the torque about the shaft axis, variations in angular speed, and electrical current consumption. The results showed that the motors were able to operate under external magnetic field intensities up to 0.4 T, although measurable torques acted on the internal permanent magnet and on the ferromagnetic housing material. Some discrepancies and speed fluctuations were observed during operation and were attributed to mobility of the internal permanent magnet. Overall, the findings demonstrate that the tested miniature motors exhibit resilience in high magnetic fields but suffer from manufacturing variability, suggesting that higher-quality motors with more consistent characteristics would be preferable for reliable robotic operation in harsh environments. Full article
(This article belongs to the Section Intelligent Robots and Mechatronics)
Show Figures

Figure 1

31 pages, 827 KB  
Article
Asymptotic Freedom and Vacuum Polarization Determine the Astrophysical End State of Relativistic Gravitational Collapse: Quark–Gluon Plasma Star Instead of Black Hole
by Herman J. Mosquera Cuesta, Fabián H. Zuluaga Giraldo, Wilmer D. Alfonso Pardo, Edgardo Marbello Santrich, Guillermo U. Avendaño Franco and Rafael Fragozo Larrazabal
Universe 2025, 11(11), 375; https://doi.org/10.3390/universe11110375 - 12 Nov 2025
Viewed by 887
Abstract
A general relativistic model of an astrophysical hypermassive extremely magnetized ultra-compact self-bound quark–gluon plasma (QGP: ALICE/LHC) object that is supported against its ultimate gravitational implosion by the simultaneous action of the vacuum polarization driven by nonlinear electrodynamics (NLED: ATLAS/LHC: light-by-light scattering)—the vacuum “awakening”—and [...] Read more.
A general relativistic model of an astrophysical hypermassive extremely magnetized ultra-compact self-bound quark–gluon plasma (QGP: ALICE/LHC) object that is supported against its ultimate gravitational implosion by the simultaneous action of the vacuum polarization driven by nonlinear electrodynamics (NLED: ATLAS/LHC: light-by-light scattering)—the vacuum “awakening”—and the asymptotic freedom, a key feature of quantum chromodynamics (QCD), is presented. These QCD stars can be the final figures of the equilibrium of collapsing stellar cores permeated by magnetic fields with strengths well beyond the Schwinger threshold due to being self-bound, and for which post-supernova fallback material pushes the nascent remnant beyond its stability, forcing it to collapse into a hybrid hypermassive neutron star (HHMNS). Hypercritical accretion can drive its innermost core to spontaneously break away color confinement, powering a first-order hadron-to-quark phase transition to a sea of ever-freer quarks and gluons. This core is hydro-stabilized by the steady, endlessly compression-admitting asymptotic freedom state, possibly via gluon-mediated enduring exchange of color charge among bound states, e.g., the odderon: a glueball state of three gluons, or either quark-pairing (color superconductivity) or tetraquark/pentaquark states (LHCb Coll.). This fast—at the QGP speed of sound—but incremental quark–gluon deconfinement unbinds the HHMNS’s baryons so catastrophically that transforms it, turning it inside-out, into a neat self-bound QGP star. A solution to the nonlinear Tolman–Oppenheimer–Volkoff (TOV) equation is obtained—that clarifies the nonlinear effects of both NLED and QCD on the compact object’s structure—which clearly indicates the occurrence of hypermassive QGP/QCD stars with a wide mass spectrum (0MStarQGP 7 M and beyond), for star radii (0RStarQGP24 km and beyond) with B-fields (1014BStarQGP1016 G and beyond). This unexpected feature is described by a novel mass vs. radius relation derived within this scenario. Hence, endowed with these physical and astrophysical characteristics, such QCD stars can definitively emulate what the true (theoretical) black holes are supposed to gravitationally do in most astrophysical settings. This color quark star could be found through a search for its eternal “yo-yo” state gravitational-wave emission, or via lensing phenomena like a gravitational rainbow (quantum mechanics and gravity interaction), as in this scenario, it is expected that the light deflection angle—directly influenced by the larger effective mass/radius (MStarQGP(B), RStarQGP(B)) and magnetic field of the deflecting object—increases as the incidence angle decreases, in view of the lower values of the impact parameter. The gigantic—but not infinite—surface gravitational redshift, due to NLED photon acceleration, makes the object appear dark. Full article
(This article belongs to the Section Cosmology)
Show Figures

Figure 1

10 pages, 514 KB  
Article
Multiplicity Distributions and the Frontier Between Soft and Hard Physics
by Henrique R. Martins-Fontes and Fernando S. Navarra
Physics 2025, 7(4), 57; https://doi.org/10.3390/physics7040057 - 11 Nov 2025
Viewed by 419
Abstract
The multiplicity distributions measured in proton–proton collisions at the LHC exhibit appealing new features. One of them is the appearance of a substructure—the so-called “shoulder”—at relatively large multiplicities. The most natural interpretation of this behavior is the existence of two particle-production mechanisms. The [...] Read more.
The multiplicity distributions measured in proton–proton collisions at the LHC exhibit appealing new features. One of them is the appearance of a substructure—the so-called “shoulder”—at relatively large multiplicities. The most natural interpretation of this behavior is the existence of two particle-production mechanisms. The final result is then a superposition of two distributions. In our recent paper, we assumed that the two production mechanisms are soft and semihard partonics scatterings. In this paper, we further discuss this assumption, and, in particular, we study the dependence of the results on the scale that separates soft from hard events. Full article
(This article belongs to the Special Issue Complexity in High Energy and Statistical Physics)
Show Figures

Figure 1

69 pages, 84358 KB  
Review
Advances and Prospects of Lignin-Derived Hard Carbons for Next-Generation Sodium-Ion Batteries
by Narasimharao Kitchamsetti and Sungwook Mhin
Polymers 2025, 17(20), 2801; https://doi.org/10.3390/polym17202801 - 20 Oct 2025
Cited by 2 | Viewed by 2177
Abstract
Lignin-derived hard carbon (LHC) has emerged as a highly promising anode material for sodium-ion batteries (SIBs), owing to its renewable nature, structural tunability, and notable electrochemical properties. Although considerable advancements have been made in the development of LHCs in recent years, the absence [...] Read more.
Lignin-derived hard carbon (LHC) has emerged as a highly promising anode material for sodium-ion batteries (SIBs), owing to its renewable nature, structural tunability, and notable electrochemical properties. Although considerable advancements have been made in the development of LHCs in recent years, the absence of a comprehensive and critical review continues to impede further innovation in the field. To address this deficiency, the present review begins by examining the intrinsic characteristics of lignin and hard carbon (HC) to elucidate the underlying mechanisms of LHC microstructure formation. It then systematically categorizes the synthesis strategies, structural attributes, and performance influences of various LHCs, focusing particularly on how feedstock characteristics and fabrication parameters dictate final material behavior. Furthermore, optimization methodologies such as feedstock pretreatment, controlled processing, and post-synthesis modifications are explored in detail to provide a practical framework for performance enhancement. Finally, informed recommendations and future research directions are proposed to facilitate the integration of LHCs into next-generation SIB systems. This review aspires to deepen scientific understanding and guide rational design for improved LHC applications in energy storage. Full article
(This article belongs to the Special Issue Advances in Polymer Applied in Batteries and Capacitors, 2nd Edition)
Show Figures

Figure 1

13 pages, 2995 KB  
Article
Gluon Condensation as a Unifying Mechanism for Special Spectra of Cosmic Gamma Rays and Low-Momentum Pion Enhancement at the Large Hadron Collider
by Wei Zhu, Jianhong Ruan, Xurong Chen and Yuchen Tang
Symmetry 2025, 17(10), 1664; https://doi.org/10.3390/sym17101664 - 6 Oct 2025
Viewed by 554
Abstract
Gluons within the proton may accumulate near a critical momentum due to nonlinear QCD effects, leading to a gluon condensation. Surprisingly, the pion distribution predicted by this gluon distribution could answer two puzzles in astronomy and high-energy physics. During ultra-high-energy cosmic ray collisions, [...] Read more.
Gluons within the proton may accumulate near a critical momentum due to nonlinear QCD effects, leading to a gluon condensation. Surprisingly, the pion distribution predicted by this gluon distribution could answer two puzzles in astronomy and high-energy physics. During ultra-high-energy cosmic ray collisions, gluon condensation may abruptly produce a large number of low-momentum pions, whose electromagnetic decays have the typical broken power law. On the other hand, the Large Hadron Collider (LHC) shows weak but recognizable signs of gluon condensation, which had been mistaken for BEC pions. Symmetry is one of the fundamental laws in natural phenomena. Conservation of energy stems from time symmetry, which is one of the most central principles in nature. In this study, we reveal that the connection between the above two apparently unrelated phenomena can be fundamentally explained from the fundamental principle of conservation of energy, highlighting the deep connection and unifying role symmetry plays in physical processes. Full article
(This article belongs to the Section Physics)
Show Figures

Figure 1

17 pages, 1009 KB  
Article
Physiological and Transcriptome Analysis of Drought-Tolerant Mutant ds-1 of Blue Fescue (Festuca glauca) Under Drought Stress
by Yong Zhang, Peng Han, Xuefeng Xiao, Wei Chen, Hang Liu, Hengfeng Zhang and Lu Xu
Int. J. Plant Biol. 2025, 16(4), 116; https://doi.org/10.3390/ijpb16040116 - 4 Oct 2025
Viewed by 686
Abstract
Blue fescue (Festuca glauca) is a widely used ornamental grass worldwide. Drought is an important limiting factor for the growth and development of blue fescue; therefore, cultivating new strains of blue fescue with a strong drought tolerance is of great significance [...] Read more.
Blue fescue (Festuca glauca) is a widely used ornamental grass worldwide. Drought is an important limiting factor for the growth and development of blue fescue; therefore, cultivating new strains of blue fescue with a strong drought tolerance is of great significance for its production practice. To investigate the drought tolerance mechanism of ds-1, this study subjected both ds-1 and “Festina” to a natural drought treatment and measured their physiological and biochemical indicators. A transcriptomic analysis was also conducted to explore the underlying molecular mechanisms. The results showed that, after the drought treatment, the relative water content (RWC), water use efficiency (WUE), and photosynthetic rate (Pn) of ds-1 leaves were significantly higher than those of “Festina”; in addition, the contents of H2O2 and O2, the relative electrical conductivity (REC), the malondialdehyde (MDA) content, the gas conductance (Gs), and the transpiration rate (Tr) were significantly lower than those of “Festina”. The peroxidase (POD) activity of ds-1 was significantly higher than that of “Festina”, while the superoxide dismutase (SOD) activity of ds-1 was significantly lower than that of “Festina”. The transcriptome data analysis showed that there were a total of 9475 differentially expressed genes (DEGs) between ds-1 and “Festina”. A Venn plot analysis showed 692 DEGs between ds-1—8d vs. “Festina”—8d and ds-1—16d vs. “Festina”—16d. A KEGG enrichment analysis showed that these 692 genes were mainly enriched in 86 pathways, including those related to the photosynthesis antenna protein, plant hormone signal transduction, MAPK signaling, starch and sucrose metabolism, and arginine and proline metabolism. Further screening identified genes that may be associated with drought stress, including PYL, PP2C, SnRK2, ABF, BRI1, JAZ, MYC2, Lhc, and MPK6. The qRT-PCR results indicated that the expression trends of the DEGs were consistent with the transcriptome sequencing results. Our research results can provide a basis for exploring candidate genes for drought tolerance in blue fescue. In addition, our research results provide valuable genetic resources for the development of drought-resistant ornamental grass varieties, which can help reduce water consumption in cities and decrease labor and capital investment. Full article
Show Figures

Figure 1

35 pages, 11521 KB  
Article
Multifunctional Electrospun Materials from Poly(Vinyl Alcohol)/Chitosan and Polylactide Incorporating Rosmarinic Acid and Lidocaine with Antioxidant and Antimicrobial Properties
by Milena Ignatova, Dilyana Paneva, Selin Kyuchyuk, Nevena Manolova, Iliya Rashkov, Milena Mourdjeva and Nadya Markova
Polymers 2025, 17(19), 2657; https://doi.org/10.3390/polym17192657 - 30 Sep 2025
Viewed by 733
Abstract
Novel multifunctional fibrous materials were prepared by simultaneous dual spinneret electrospinning of two separate solutions differing in composition. This technique allowed for the preparation of materials built of two types of fibers: fibers from poly(vinyl alcohol) (PVA), chitosan (Ch), and rosmarinic acid (RA), [...] Read more.
Novel multifunctional fibrous materials were prepared by simultaneous dual spinneret electrospinning of two separate solutions differing in composition. This technique allowed for the preparation of materials built of two types of fibers: fibers from poly(vinyl alcohol) (PVA), chitosan (Ch), and rosmarinic acid (RA), and poly(L-lactide) (PLA) fibers containing lidocaine hydrochloride (LHC). Confocal laser scanning microscopy (CLSM) analyses showed that both types of fibers are present on the surface and in the bulk of the new materials. The presence of all components and some interactions between them were proven by attenuated total reflectance Fourier transform infrared (ATR-FTIR) spectroscopy. RA and LHC were in an amorphous state in the fibers, and their presence affected the temperature characteristics and the crystallinity, as detected by differential scanning calorimetry (DSC) and X-ray diffraction analyses (XRD). The presence of PVA/Ch/RA fibers enabled the hydrophilization of the surface of the multifunctional fibrous materials (the water contact angle value was 0°). The newly developed materials demonstrated adequate mechanical properties, making them suitable for use in wound dressing applications. The RA-containing fibrous mats possessed high radical-scavenging activity (ca. 93%), and the combining with LHC led to an enhancement of this effect (ca. 98.5%). RA-containing fibrous mats killed all the pathogenic bacteria S. aureus and E. coli and decreased the titer of fungi C. albicans by ca. 0.4 log for a contact time of 24 h. Therefore, the new materials are prospective as antibacterial and atraumatic functional wound dressings, as systems for local drug delivery, and in medical skincare. Full article
(This article belongs to the Special Issue Electrospinning of Polymer Systems)
Show Figures

Graphical abstract

42 pages, 11490 KB  
Review
Experimental Review of the Quarkonium Physics at the LHC
by Yiyang Zhao, Jinfeng Liu, Xing Cheng, Chi Wang and Zhen Hu
Symmetry 2025, 17(9), 1521; https://doi.org/10.3390/sym17091521 - 12 Sep 2025
Cited by 2 | Viewed by 1386
Abstract
We review recent heavy quarkonium measurements in pp, pPb, and PbPb collisions at the LHC by the ALICE, ATLAS, CMS, and LHCb collaborations using Run-2 and early Run-3 data. Production studies include present differential cross-sections and polarization measurements [...] Read more.
We review recent heavy quarkonium measurements in pp, pPb, and PbPb collisions at the LHC by the ALICE, ATLAS, CMS, and LHCb collaborations using Run-2 and early Run-3 data. Production studies include present differential cross-sections and polarization measurements of charmonium and bottomonium, providing precise tests of QCD theoretical calculations and unveiling symmetry relations among spin and orbital configurations. Notably, a tt¯ quasi-bound-state has been observed at the LHC recently. Suppression analyses quantify the sequential melting of bottomonium states in PbPb collisions, serving as a probe of the deconfined quark–gluon plasma. Cold nuclear matter effects are constrained through comparisons of quarkonium yields in pPb and pp collisions. Furthermore, multi-quarkonium investigations observe di- and tri-quarkonium production processes and resonances, exploring multi-parton interactions and the symmetry structure underlying exotic hadron states. Full article
(This article belongs to the Special Issue Symmetry in Hadron Physics)
Show Figures

Figure 1

33 pages, 19093 KB  
Article
An Interferometric Multi-Sensor Absolute Distance Measurement System for Use in Harsh Environments
by Mateusz Sosin, Juan David Gonzalez Cobas, Mohammed Isa, Richard Leach, Maciej Lipiński, Vivien Rude, Jarosław Rutkowski and Leonard Watrelot
Sensors 2025, 25(17), 5487; https://doi.org/10.3390/s25175487 - 3 Sep 2025
Viewed by 1542
Abstract
Fourier transform-based frequency sweeping interferometry (FT-FSI) is an interferometric technique that enables absolute distance measurement by detecting the beat frequencies from the interference of reflected signals. This method allows robust, simultaneous distance measurements to multiple targets and is largely immune to variations in [...] Read more.
Fourier transform-based frequency sweeping interferometry (FT-FSI) is an interferometric technique that enables absolute distance measurement by detecting the beat frequencies from the interference of reflected signals. This method allows robust, simultaneous distance measurements to multiple targets and is largely immune to variations in the reflected optical signal intensity. As a result, FT-FSI maintains accuracy even when measuring reflectors with low reflectance. FT-FSI has recently been integrated into the full remote alignment system (FRAS) developed for the High-Luminosity Large Hadron Collider (HL-LHC) project at CERN. Designed to operate in harsh environments with electromagnetic interference, ionizing radiation and cryogenic temperatures, FRAS employs FT-FSI for the precise monitoring of the alignment of accelerator components. The system includes specialized interferometers and a range of sensors, including inclinometers, distance sensors, and leveling sensors. This paper presents a comprehensive review of the challenges associated with remote measurement and monitoring systems in harsh environments such as those of particle accelerators. It details the development and validation of the FT-FSI-based measurement system, emphasizing its critical role in enabling micrometric alignment accuracy. The developments and results presented in this work can be readily translated to other demanding metrology applications in harsh environments. Full article
(This article belongs to the Special Issue Feature Papers in Optical Sensors 2025)
Show Figures

Figure 1

11 pages, 1464 KB  
Article
Effects of Polymerization Initiators on Plastic Scintillator Light Output
by Mustafa Kandemir and Bora Akgün
Instruments 2025, 9(3), 19; https://doi.org/10.3390/instruments9030019 - 22 Aug 2025
Viewed by 1359
Abstract
Polymerization initiators are commonly used to lower the processing temperatures and accelerate the synthesis of plastic scintillators. However, these additives can reduce light output. Since plastic scintillator tiles, fibers, and bars are used in countless radiation detection instruments, from PET scanners to LHC [...] Read more.
Polymerization initiators are commonly used to lower the processing temperatures and accelerate the synthesis of plastic scintillators. However, these additives can reduce light output. Since plastic scintillator tiles, fibers, and bars are used in countless radiation detection instruments, from PET scanners to LHC calorimeters, any loss in light output immediately degrades the timing and energy resolution of the whole system. Understanding how the initiators alter scintillation performance is therefore important. In this study, five different plastic scintillator samples were produced with varying concentrations of two initiators, 2,2-Azobis(2-methylpropionitrile) (AIBN) and benzoyl peroxide (BPO), along with a reference sample containing no initiators. The relative light yield (RLY) was measured using four different gamma sources. Analyzing the Compton edges revealed that higher initiator concentrations consistently decrease the light output. This study shows that keeping the initiator concentration at 0.2% limits the reduction to 8%, whereas 0.5–1% loadings can lower the yield by 20–35%, providing realistic bounds on initiator levels for future plastic scintillator productions. Full article
Show Figures

Figure 1

18 pages, 1981 KB  
Article
Enrichment of the HEPscore Benchmark by Energy Consumption Assessment
by Taras V. Panchenko and Nikita D. Piatygorskiy
Technologies 2025, 13(8), 362; https://doi.org/10.3390/technologies13080362 - 15 Aug 2025
Viewed by 819
Abstract
The HEPscore benchmark, widely used for evaluating computational performance in high-energy physics, has been identified as requiring energy consumption metrics to address the increasing importance of energy efficiency in large-scale computing infrastructures. This study introduces an energy measurement extension for HEPscore, designed to [...] Read more.
The HEPscore benchmark, widely used for evaluating computational performance in high-energy physics, has been identified as requiring energy consumption metrics to address the increasing importance of energy efficiency in large-scale computing infrastructures. This study introduces an energy measurement extension for HEPscore, designed to operate across diverse hardware platforms without requiring administrative privileges or physical modifications. The extension utilizes the Running Average Power Limit (RAPL) interface available in modern processors and dynamically selects the most suitable measurement method based on system capabilities. When RAPL access is unavailable, the system automatically switches to alternative measurement approaches. To validate the accuracy of the software-based measurements, external hardware monitoring devices were used to collect reference data directly from the power supply circuit. Obtained results demonstrate a significant correlation across multiple test platforms running standard HEP workloads. The developed extension integrates energy consumption data into standard HEPscore reports, enabling the calculation of energy efficiency metrics such as HEPscore/Watt. This implementation meets the requirements of the HEPiX Benchmarking Working Group, providing a reliable and portable solution for quantifying energy efficiency alongside computational performance. The proposed method supports informed decision making in resource planning and hardware acquisition for HEP computing environments. Full article
(This article belongs to the Section Information and Communication Technologies)
Show Figures

Figure 1

Back to TopTop