Next Article in Journal
Design of Thrust Vectoring Vertical/Short Takeoff and Landing Aircraft Stability Augmentation Controller Based on L1 Adaptive Control Law
Previous Article in Journal
Three-Dimensional Printing Component Used in Rehabilitation Exoskeleton
Previous Article in Special Issue
Aeroelastic Topology Optimization of Wing Structure Based on Moving Boundary Meshfree Method
 
 
Font Type:
Arial Georgia Verdana
Font Size:
Aa Aa Aa
Line Spacing:
Column Width:
Background:
Article

Optimization Design of Unbonded Areas Layout in Titanium Alloy Laminates for Fatigue Performance

1
College of Transportation Engineering, Dalian Maritime University, Dalian 116026, China
2
State Key Laboratory of Structural Analysis for Industrial Equipment, Department of Engineering Mechanics, Dalian University of Technology, Dalian 116024, China
*
Author to whom correspondence should be addressed.
Symmetry 2022, 14(9), 1836; https://doi.org/10.3390/sym14091836
Submission received: 26 July 2022 / Revised: 29 August 2022 / Accepted: 2 September 2022 / Published: 4 September 2022

Abstract

:
This paper proposed a new type of unbonded areas which are preset in diffusion bonding titanium alloy laminates (DB-TAL). A group of DB-TAL specimens with symmetric striped unbonded areas were prepared, and the fatigue experiments under symmetric tension–tension cyclic loading were conducted. The fatigue crack growth behavior was studied from the fracture surface. The results show that this kind of unbonded area can toughen the DB-TAL based on a new mechanism. For the new toughening mechanism, we extracted the key factors in the DB-TAL specimens with symmetric striped unbonded areas and built a simplified model to analyze the key parameters. The results show that the size and location of the unbonded areas are the key factors for the toughening design, and the model we built can efficiently give the optimization design for the DB-TAL specimens with striped unbonded areas.

1. Introduction

Titanium alloy is one of the main structural materials of contemporary aircraft and engines due to its excellent material properties [1,2,3,4]. However, the damage tolerance performance of titanium alloy is its Achilles’ heel [5,6,7,8]. Titanium ally structures have a short residual crack growth life after a crack occurs. Therefore, it is important to research how to increase structural toughness through structural design.
It is an important way to prolong the life of the structure by controlling the crack growth path in the structure. Nowadays, a type of diffusion bonding laminates is receiving much attention because of the good controllability of crack growth. Diffusion bonding (DB) is a solid-state bonding technique without the presence of a liquid phase, which is a commonly used process in machining titanium alloys [9,10,11,12]. Titanium alloy laminates are made by diffusion welding several titanium sheets under a certain time, pressure, and temperature. This makes it more flexible to adapt to different structural requirements by using the thickness and number of layers of the diffusion bonding sheet as design parameters.
In Reference [13], it is found that some specimens with low bonding rate have longer crack growth life. Based on this discovery, they proposed the diffusion bonding titanium alloy laminates preset circular unbonded areas (DBTALCUA). For this kind of laminates, a series of studies were constructed. For instance, in Reference [14], the parameters affecting the crack growth life of DBTALCUA are analyzed numerically, and the proper design parameters can prolong the crack growth life by more than 100 percent. Reference [15] studied the surface crack growth process in the DBTALCUA based on an experimental method. Reference [16] studied the titanium alloy connector made of DBTALCUA using an experimental method, and that indicates that the structure works at the component level.
The research above showed that DBTALPCUA has well damage tolerance performance, but there is a noteworthy crack growth characteristic in DBTALPCUA to be observed. Although the circular unbonded areas can lead the crack growth path to prolong crack growth life, when the crack grows to the boundary of the unbonded areas, it will continue to penetrate the laminates and bypass the circular unbonded areas. Ideally, by keeping the integrality of the laminates, the fatigue crack grows in the sub-laminate, and the rest of the laminates can continue to carry the load even if the sub-laminate fails. In this situation, the unbonded areas lead the crack growth path and stop the crack from penetrating the thickness of laminates.
Based on the above considerations, one group of DB-TAL specimens with symmetric striped unbonded areas was prepared, and the fatigue experiments under symmetric tension-tension cyclic loading were conducted. The fatigue crack growth behavior was studied from the fracture surface. We extracted the key factors in the DB-TAL specimens with symmetric striped unbonded areas and built a simplified model to analyze the key parameters. The results show that the size and location of the unbonded areas are the key factors for the toughening design, and the model we built can efficiently give the optimization design for the DB-TAL specimens with symmetric striped unbonded areas.

2. Experimental Details

2.1. Specimens

Titanium alloy Ti-6Al-4V was employed, and Table 1 gives the composition.
The manufacturing process of the DB-TAL specimens with striped unbonded areas mainly includes the following steps:
(1)
The Ti-6Al-4V titanium alloy sheets were chosen to make the specimens. Two kinds of titanium alloy sheets were prepared with a thickness of 1 mm and 4 mm;
(2)
The solder-resistant was designed to be set between the sheets before the diffusion bonding process, which constituted the unbonded areas between sheets;
(3)
Five Ti-6Al-4V titanium alloy sheets were utilized to manufacture a titanium alloy laminate using diffusion bonding technology at 900 °C/1.5 MPa/1.5 h under protective gas. The laminates have a thickness of T = 8 mm with four 1 mm sheets and one 4 mm sheet, symmetric distribution in thickness direction;
(4)
Machining of the specimens was carried out according to design drawing. To easily study the crack growth process, a notch was made by electro-discharge machining, as shown in Figure 1.
The specimen has a length L = 180 mm, width W = 40 mm, and thickness T = 8 mm. The specimen is shown in Figure 2.
The specimen is set in 5 layers with a total of 8 mm in the thickness direction, and the distribution is 1/1/4/1/1 mm, as shown in Figure 2. The current research showed that although the titanium alloy laminates with circular unbonded areas have longer fatigue crack growth life, the crack still can penetrate the laminates, bypassing the circular unbonded area. Ideally, the fatigue crack grows in the sub-laminate, and the rest of the laminates can continue to carry the load even if the sub-laminate fails. If there are no diffusion bonding interfaces between the sub-laminates, the failure of the sub-laminate cannot affect the rest of the laminates. However, the whole performance of the laminates will be degraded in that situation. Therefore, the key problem is how to design the unbonded areas’ distribution. Based on this idea the layout of the unbonded area was designed here. The total width of the unbonded area, which is between the two unbonded boundaries in Figure 2, is 24 mm, and the diffusion bonded connection areas with a width of 1 mm are preset in the unbonded area, which is shown in orange in Figure 2. In interfaces 1 and 4 in Figure 2, starting from the center line of the hole, a 1 mm wide bonding area is set every 8 mm until the edge. In interfaces 2 and 3 in Figure 2, starting from the center of the hole, a 1 mm wide bonding area is set every 6 mm to the edge. This design has a simple layout of the unbonded area and can focus on the influence of the crack on the lower layer when it passes through the interlayer bonding area, which is convenient for analyzing the conditions affecting the failure.

2.2. Test Conditions and Procedures

An Mts-810 1000 kN fatigue test machine was employed to finish the experiments at room temperature. In this paper, the crack growth process in the laminates is the main fatigue performance focused on. Therefore, a 2 mm pre-crack from the notch was made by tensile–tensile cyclic loading before the formal loading. Since the unbonded area is set inside the specimen, the benchmarking method was employed to study the crack growth process. TestStarIIs control system is employed to program the load spectrum which is shown in Figure 3. The loading part R = 0.1 with the frequency of 8 Hz is the formal load, and the loading part R = 0.7 with the frequency of 20 Hz is the marker load. The maximum tensile load of the cyclic loading was 73.6 kN.

3. Experimental Results

Figure 4 is the fracture surface of specimen 1 with striped unbonded areas. There are 4 DB interfaces and 5 layers in specimen 1, and the distribution is 1/1/4/1/1 mm. Only 3 layers can be seen on the fracture surface because the last two layers cannot be observed due to the deviation of the instantaneous fracture angle from the main fracture surface. Due to the complicated processing technology, the unbonded area size of the actual specimen does not fully meet the requirements of the drawings, so here, the dimensions of each interlayer unbonded area and bonding area are re-measured from the fracture surface of specimen 1, as shown in Table 2. The data in the table correspond to Figure 4, and the rightmost column is the hole-edge location. It can be seen from the table that the design drawing of the bonding area is 1 mm, and the actual value measured from Figure 4 is about 0.6 ~ 1 mm, which is slightly different from the design, while the position of the unbonded area has a larger difference from the design.
Specimen 1 experienced a total of 278,525 cycles from loading to fracture. In each loading period, the stress radio R = 0.1 was loaded 1500 times, and R = 0.7 was loaded 5000 times, so a total of 42 complete loading periods were experienced. Analyzing the crack growth process from the fracture surface, first, the fatigue crack initiated and grew from the initial notch. When the crack front grew to the first bonding area, the crack began to grow in both the depth and width directions of the specimen. This double-direction growth process had a slow crack growth rate, and the trace lines on the fracture surface were very dense and difficult to distinguish accurately. The crack front can be divided into two parts, one part grew along the surface layer, and the other part grew towards the second layer through the bonding area. There was a total of 28 trace lines in the first sub-laminate of the specimen from the crack length of 1 mm, and the number of trace lines within 1 mm was estimated to be about 5 to 8 according to the previous test results. Therefore, when the first sub-laminate failed, the rest of the laminates also had some carrying capacity. There were 14 trace lines in the third layer of the specimen, and that means when the crack penetrated the first sub- laminate, the failure area of the specimen in the depth direction was already larger. From specimen 1, the designed local bonding laminates can produce a single-layer failure effect, but the interlayer bonding area will cause the crack to grow rapidly in the depth direction due to the excessive size.
Figure 5 is the fracture surface of specimen 2 with striped unbonded areas. The dimensions of the unbonded areas and the bonding areas between each layer are shown in Table 3. The specimen experienced a total of 336,686 cycles from loading to fracture. In each loading period, R = 0.1 was loaded 1500 times, and R = 0.7 was loaded 5000 times, so it experienced a total of 51 complete loading periods. The fracture surface in Figure 5 shows that there were 40 trace lines in layer 1 of the specimen, 11 trace lines in layer 3, and the number of trace lines in layer 2 is too dense to directly obtain the number of trace lines. Layers 4 and 5 are in the transient fracture zone, which is not considered here. Fatigue cracks start to grow from layer 1, and an instantaneous break occurs after the failure of layer 3. The total number of trace lines in these two parts is the same as the total number of loading periods of the specimen, indicating that when layer 1 was penetrated by a fatigue crack, the fatigue crack just propagated to layer 3 of the specimen, and the last 11 loading periods were mainly the growth of fatigue crack in layer 3. It can be seen from the fracture surface that the trace lines are very dense when the fatigue crack front grows from layer 1 to the first bonding area, which indicates that the fatigue crack growth rate is very low at this time. Here, the number of trace lines in layer 2 can be obtained through the fatigue crack growth process and trace line information. There are 15 trace lines in the fatigue crack growth from the notch to the first bonding area. At this time, the crack front begins to move toward layer 2. There are 11 trace lines on layer 3 of final fatigue failure, which means that the number of trace lines in the second layer is 51 − (11 + 15) = 25. The existence of this bonding area greatly reduces the fatigue crack growth rate. When layer 1 of this specimen fails, the main bearing part inside the specimen has not yet failed; there is still a certain residual bearing capacity, and the failure of the surface layer is very easy to detect and remedy in time.
Figure 6 is the fracture surface of specimen 3 with striped unbonded areas. The dimensions of the unbonded areas and the bonded areas between each layer are shown in Table 4. The specimen experienced a total of 284,734 cycles from loading to fracture. In each loading period, R = 0.1 was loaded 1500 times, and R = 0.7 was loaded 5000 times, so a total of 43 complete loading periods were experienced. The fatigue crack growth process of specimen 3 is consistent with that of specimen 2, but here it can be seen that specimen 3 is 8 periods less than specimen 2, which is mainly caused by the change in the position of the bonding areas. The width of the first unbonded area of layer 1 in the specimen is 2 about 4.72 mm, while the size of specimen 3 is only about 2.86 mm. From the three specimens, the toughening mechanism of the unbonded area can be seen clearly. The main area of fatigue crack growth is transferred from the high-stress area at the edge of the hole to the low-stress area far away from the edge of the hole, and the position of the first bonding area is crucial.

4. The Optimization Design of the Striped Unbonded Areas

It can be seen from the experiments in the previous section that the position and size of the unbonded areas are important factors for the toughening design. Particularly, the position and size of the first bonding area crack passed is the key factor. To design this parameter, we simplified the model as shown in Figure 7. There is only one DB interface in the laminates, and we set one bonded area in this interface. The shape of the specimen is the same as that of the previous specimen. It is a tensile specimen with an open hole, and the tensile stress on the end face is σ. The width is W, the total thickness is T, and the radius of the open hole is R. The length of the specimen is not designed here, and only the section of the specimen is analyzed. Assuming that there is only one layer of unbonded area, the thickness of the surface layer is t, the size of the bonded area from the hole edge is L1, the size of the bonded area is 2a, and the section width is W/2-R. It is assumed that the initial crack initiation position is located on the upper surface of the hole edge. When the crack front grows through the bonded area between layers, it is assumed that the shape of the crack front left in the lower layer is a semi-ellipse, the length of the short semi-axis of the ellipse is b, and the length of the major semi-axis is a. When the crack front passes through the bonded area in the surface layer, the lower part can be approximated as a three-dimensional surface crack growth problem on a uniformly stretched plate, and the stress intensity factor of the crack front can be calculated by following Reference [17].
To facilitate the investigation of the relationship between the position and size of the bonded area and the stress intensity factor of the crack front, the size and load of the specimen in the previous section are selected for the default analysis, and the specific values are shown in Table 5.
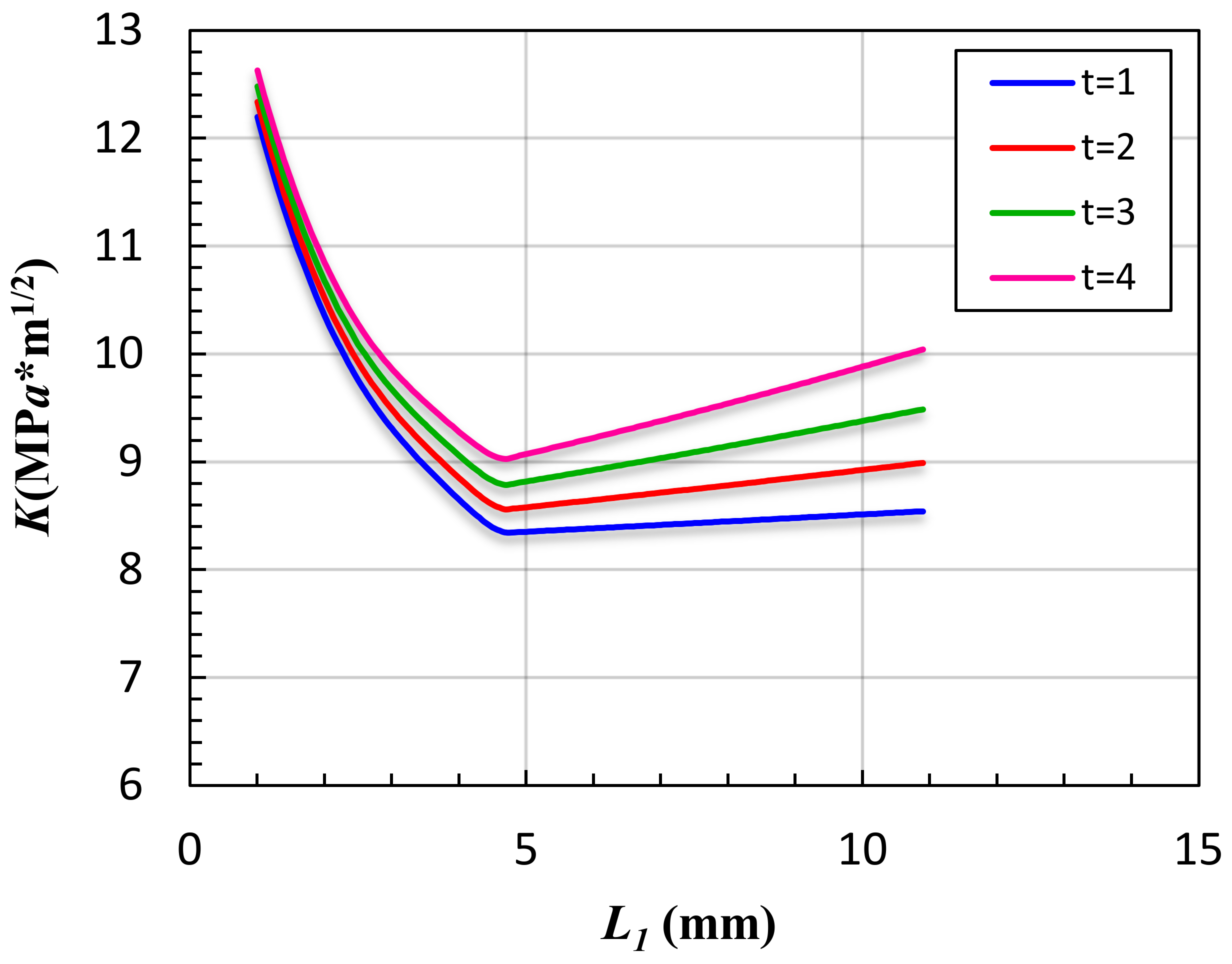
According to the observation in the experiments in Section 3, the crack surface formed when the fatigue crack grew through the bonded area is a flat ellipse. In this case, at the lowest point of the crack, that is, the intersection of the short axis and the crack front, the stress intensity factor is the largest. The investigation of this crack front in this section aims to examine the stress intensity factor change at this point. Here, we first assume b/a = 1/4 to investigate the variation of the stress intensity factor at the crack front with L1 under different sub-layer thicknesses, as shown in Figure 8. It can be seen from the figure that when L1 < 5 mm, the stress intensity factor of the crack front is very high, and the intensity factor decreases sharply with the increase of L1, which shows that the high-stress concentration at the hole edge has a great influence on the stress intensity factor of the crack front. As L1 continues to increase, the stress intensity factor at the crack front starts to rise again. This is because as L1 increases, the failure area of the structure increases when the crack grows through the bonded area, so the stress intensity factor increases. In the figure, it can be seen that the tendencies of the curves are consistent, and the positions of the turning points of the curves are nearly the same. Several curves are very close when L1 < 3 mm, which indicates that the effect of stress concentration at the edge of the hole is dominant. It can be seen from the figure that there is a most suitable L1 for different thicknesses of sub-layer to minimize the stress intensity factor.
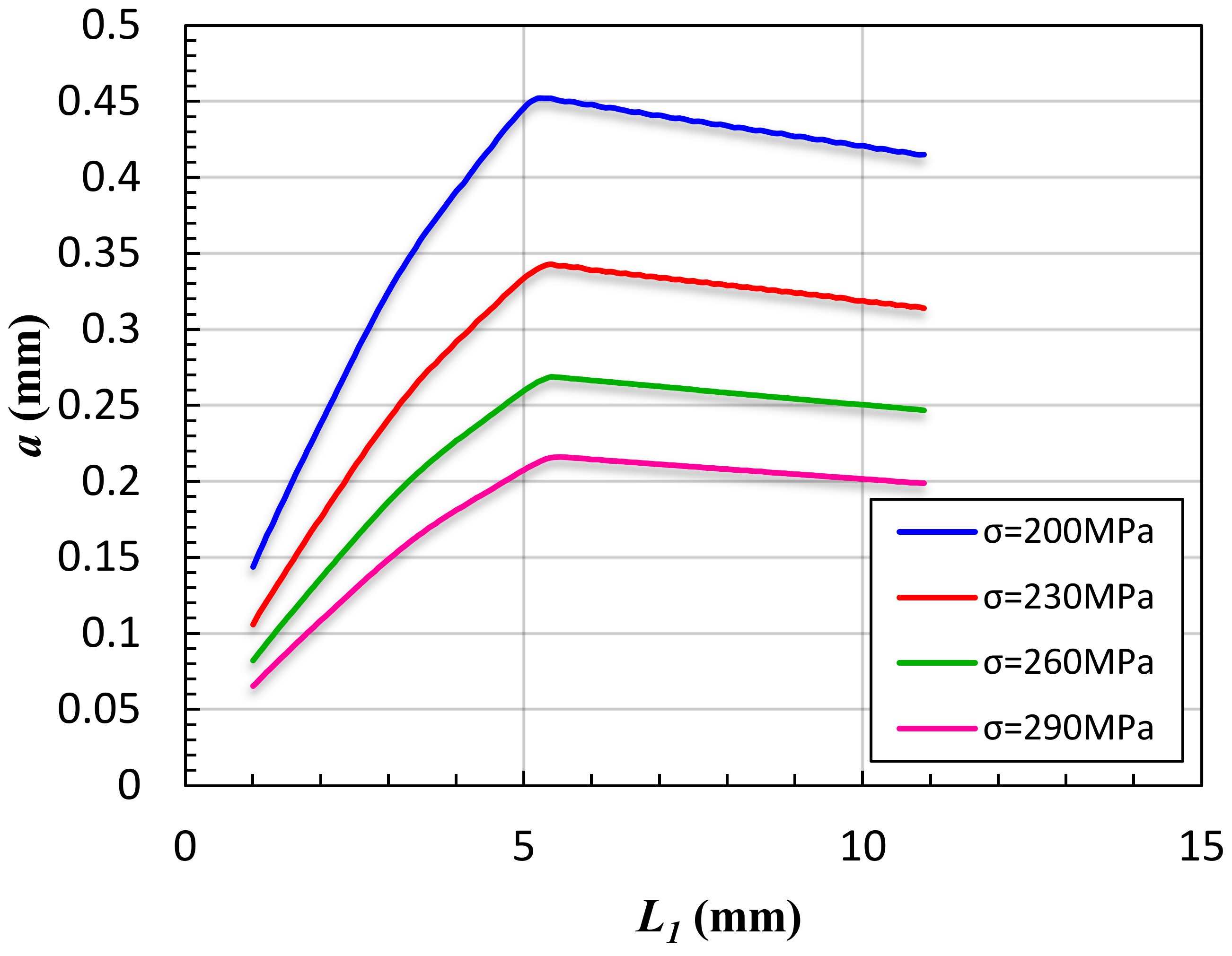
When the crack grows through the bonded area, the size of the remaining crack surface is difficult to determine. Therefore, the variation law of the stress intensity factor with the size of the bonded area under different ratios of major and minor axes is investigated here. Here, t = 2 mm, and L1 is the curve calculated before. The position of the inflection point is 4.7 mm, and the obtained variation law is shown in Figure 9. It can be seen from the figure that with the increase of the bonded size, the level of the stress intensity factor on the crack front increases sharply. Several curves are close when the bonded area is smaller than 0.2 mm. The smaller the value of b/a, the slower the change of the stress intensity factor.
The influence law of the position and size of the bonded area on the stress intensity factor of the crack front is obtained above. In the actual design process, we hope that the stress intensity factor of the crack front left in the bonded area is less than a specific value or threshold. By formula K I K o b j < ε , the arrangement curve of the size and position of the bonded area under different load conditions can be further obtained, as shown in Figure 10, where ε is a small amount of characterization accuracy and is taken as 0.001 here. KI is the stress intensity factor at the crack front, and Kobj is the crack growth threshold. The curve in the figure is the layout curve of the bonded area when Kobj =5 MPa m 1 / 2 . Through this curve, the optimal relationship between the position and size of the connection area under different loads can be obtained, where t = 2 mm, b/a = 1/4.

5. Summary

In this paper, a new type of symmetric striped unbonded areas which preset in diffusion bonding titanium alloy laminates was proposed. Three specimens with symmetric striped unbonded areas were experimentally analyzed. Based on the experimental results, a simplified model was employed to analyze the key parameters of the toughening effect. Through the analysis of the experiment and the simplified model, several conclusions can be given as follows:
(1)
The symmetric striped unbonded areas preset in DB-TAL can effectively lead the crack growth path to prolong the crack growth life;
(2)
The size and location of the bonded areas between unbonded areas are the key parameters to the toughening effect. The crack growth life of Specimen 2 is about 20% longer than that of Specimen 1 because of the difference in the key parameters;
(3)
The simplified model proposed in this paper can effectively give the optimization layout of the striped unbonded areas preset in DB-TAL.

Author Contributions

Conceptualization, S.L.; methodology, Y.L.; validation, S.L. and Y.L.; formal analysis, Y.L.; investigation, Yang Li; resources, S.L.; data curation, Y.L.; writing—original draft preparation, Y.L.; writing—review and editing, S.L. and Y.L.; visualization, Y.L.; supervision, S.L.; project administration, S.L.; funding acquisition, S.L. All authors have read and agreed to the published version of the manuscript.

Funding

This research was funded by the National Natural Science Foundation of China (Grant Nos. U1808215) and the 111 Project (B14013).

Conflicts of Interest

The authors declare no conflict of interest.

References

  1. Williams, J.C. Titanium Alloys: Production, Behavior and Application; Springer: Berlin/Heidelberg, Germany, 1995. [Google Scholar]
  2. Oguma, H.; Nakamura, T. Fatigue crack propagation properties of Ti–6Al–4V in vacuum environments. Int. J. Fatigue 2013, 50, 89–93. [Google Scholar] [CrossRef]
  3. Ambu, R.; Morabito, A.E. Porous Scaffold Design Based on Minimal Surfaces: Development and Assessment of Variable Architectures. Symmetry 2018, 10, 361. [Google Scholar] [CrossRef]
  4. Yu, F.; Liu, Y. First-Principles Calculations of High-Pressure Physical Properties of Ti0.5Ta0.5 Alloy. Symmetry 2020, 12, 796. [Google Scholar] [CrossRef]
  5. Makabe, C.; Murdani, A.; Kuniyoshi, K.; Irei, Y.; Saimoto, A. Crack-growth arrest by redirecting crack growth by drilling stop holes and inserting pins into them. Eng. Fail. Anal. 2009, 16, 475–483. [Google Scholar] [CrossRef]
  6. Oguma, H.; Nakamura, T. The effect of microstructure on very high cycle fatigue properties in Ti–6Al–4V. Scr. Mater. 2010, 63, 32–36. [Google Scholar] [CrossRef]
  7. Campbell, J.; Ritchie, R. Mixed-mode, high-cycle fatigue-crack growth thresholds in Ti–6Al–4V: II. Quantification of crack-tip shielding. Eng. Fract. Mech. 2000, 67, 229–278. [Google Scholar] [CrossRef]
  8. Gunderson, A.; Gegel, H.; Lyon, S. Fatigue Behavior of Diffusion Bonded Ti-6A1-4V Having Very Small Defects. In Titanium Science and Technology; Springer: Berlin/Heidelberg, Germany, 1973; pp. 649–659. [Google Scholar]
  9. Kaibyshev, O.A.; Safiullin, R.V.; Lutfullin, R.; Valiakhmetov, O.R.; Galeyev, R.M.; Dutta, A.; Raghu, T.; Saha, G.G. Advanced superplastic forming and diffusion bonding of titanium alloy. Mater. Sci. Technol. 2006, 22, 343–351. [Google Scholar] [CrossRef]
  10. Derby, B.; Wallach, E. Theoretical model for diffusion bonding. Met. Sci. 1982, 16, 49–56. [Google Scholar] [CrossRef]
  11. Kazakov, N.F. Diffusion Bonding of Materials; Elsevier: Amsterdam, The Netherlands, 2013. [Google Scholar]
  12. Dunford, D.V.; Wisbey, A. Diffusion Bonding of Advanced Aerospace Metallics; MRS Online Proceedings Library Archive: San Francisco, CA, USA, 1993. [Google Scholar]
  13. Wang, X.; Liu, W. Design and Application of Aircraft Titanium Alloy Structure; National Defense Industry Press: Beijing, China, 2010. (In Chinese) [Google Scholar]
  14. Liu, Y.; Zhang, Y.; Liu, S.; Xiao, S.; Sun, Y.; Wang, X. Effect of unbonded areas around hole on the fatigue crack growth life of diffusion bonded titanium alloy laminates. Eng. Fract. Mech. 2016, 1, 176–188. [Google Scholar] [CrossRef]
  15. He, X.; Dong, Y.; Li, Y.; Wang, X. Fatigue crack growth in diffusion-bonded Ti-6Al-4V laminate with unbonded zones. Int. J. Fatigue 2018, 106, 1–10. [Google Scholar] [CrossRef]
  16. Xiao, S.; Bi, J.; Sun, Y. XFEM-based analysis for crack growth characteristic of diffusion bonded laminate of titanium-alloy. Aeronaut Manuf. Technol. 2015, 17, 86–89. (In Chinese) [Google Scholar]
  17. Liu, Y.; Liu, S. An analytical model for predicting the stress intensity factor of single-hole-edge crack in diffusion bonding laminates with preset unbonded area. Metals 2020, 10, 1526. [Google Scholar] [CrossRef]
Figure 1. The pre-notch shape and location.
Figure 1. The pre-notch shape and location.
Symmetry 14 01836 g001
Figure 2. The diffusion bonding titanium alloy laminates with preset striped unbonded areas (DBTALPSUA) specimens.
Figure 2. The diffusion bonding titanium alloy laminates with preset striped unbonded areas (DBTALPSUA) specimens.
Symmetry 14 01836 g002
Figure 3. The loading spectrum.
Figure 3. The loading spectrum.
Symmetry 14 01836 g003
Figure 4. The fracture surface of specimen 1 with striped unbonded areas.
Figure 4. The fracture surface of specimen 1 with striped unbonded areas.
Symmetry 14 01836 g004
Figure 5. The fracture surface of specimen 2 with striped unbonded area.
Figure 5. The fracture surface of specimen 2 with striped unbonded area.
Symmetry 14 01836 g005
Figure 6. The fracture surface of specimen 3 with striped unbonded area.
Figure 6. The fracture surface of specimen 3 with striped unbonded area.
Symmetry 14 01836 g006
Figure 7. Parameter definition of single edge crack specimen.
Figure 7. Parameter definition of single edge crack specimen.
Symmetry 14 01836 g007
Figure 8. Stress intensity factor in crack front with different layout thickness.
Figure 8. Stress intensity factor in crack front with different layout thickness.
Symmetry 14 01836 g008
Figure 9. Stress intensity factor in crack front of single edge crack specimen with different b/a.
Figure 9. Stress intensity factor in crack front of single edge crack specimen with different b/a.
Symmetry 14 01836 g009
Figure 10. Stress intensity factor in crack front of single edge crack specimen with different fatigue load.
Figure 10. Stress intensity factor in crack front of single edge crack specimen with different fatigue load.
Symmetry 14 01836 g010
Table 1. The composition of the Ti-6Al-4V material.
Table 1. The composition of the Ti-6Al-4V material.
ElementAlVFeCONTi
Content (%)5.5–6.753.5–4.5≤0.5≤0.1≤0.2≤0.05Bal.
Table 2. Parameters marking of striped unbonded areas for specimen 1. (Units: mm).
Table 2. Parameters marking of striped unbonded areas for specimen 1. (Units: mm).
UnbondedBondedUnbondedBondedUnbondedBondedUnbondedHole-Edge
1.040.864.251.008.030.820.69Interface 1
————————9.980.735.57Interface 2
————————————InvalidInterface 3
————————————InvalidInterface 4
Table 3. Parameters marking of striped unbonded area for specimen 2. (Units: mm).
Table 3. Parameters marking of striped unbonded area for specimen 2. (Units: mm).
UnbondedBondedUnbondedBondedUnbondedHole-Edge
2.180.817.640.814.72Interface 1
5.840.746.080.672.81Interface 2
————————InvalidInterface 3
————————InvalidInterface 4
Table 4. Parameters marking of striped unbonded area for specimen 3. (Units: mm).
Table 4. Parameters marking of striped unbonded area for specimen 3. (Units: mm).
UnbondedBondedUnbondedBondedUnbondedHole-Edge
4.17 0.68 7.68 0.83 2.86 Interface 1
7.55 0.81 5.73 0.83 0.99 Interface 2
————————InvalidInterface 3
————————InvalidInterface 4
Table 5. Parameter of single edge crack specimen.
Table 5. Parameter of single edge crack specimen.
WTRσ
40 mm8 mm3 mm230 MPa
Publisher’s Note: MDPI stays neutral with regard to jurisdictional claims in published maps and institutional affiliations.

Share and Cite

MDPI and ACS Style

Liu, Y.; Liu, S. Optimization Design of Unbonded Areas Layout in Titanium Alloy Laminates for Fatigue Performance. Symmetry 2022, 14, 1836. https://doi.org/10.3390/sym14091836

AMA Style

Liu Y, Liu S. Optimization Design of Unbonded Areas Layout in Titanium Alloy Laminates for Fatigue Performance. Symmetry. 2022; 14(9):1836. https://doi.org/10.3390/sym14091836

Chicago/Turabian Style

Liu, Yang, and Shutian Liu. 2022. "Optimization Design of Unbonded Areas Layout in Titanium Alloy Laminates for Fatigue Performance" Symmetry 14, no. 9: 1836. https://doi.org/10.3390/sym14091836

APA Style

Liu, Y., & Liu, S. (2022). Optimization Design of Unbonded Areas Layout in Titanium Alloy Laminates for Fatigue Performance. Symmetry, 14(9), 1836. https://doi.org/10.3390/sym14091836

Note that from the first issue of 2016, this journal uses article numbers instead of page numbers. See further details here.

Article Metrics

Back to TopTop