Design of Thrust Vectoring Vertical/Short Takeoff and Landing Aircraft Stability Augmentation Controller Based on L1 Adaptive Control Law
Abstract
:1. Introduction
2. Dynamic Equation Modeling
2.1. Whole Vehicle Dynamics Model
2.2. Kinematic Equations and Moment Equation
3. L1 Stabilization Controller Design
3.1. Inner Loop Controller Design
3.1.1. NDI Controller Design of Roll Loop
3.1.2. L1 Adaptive Controller Design of Roll Angular Velocity Loop
- State predictor:
- Law of adaptation:
- Control law:
3.2. Control Allocation
4. Inner Loop Controller Simulation Experiment
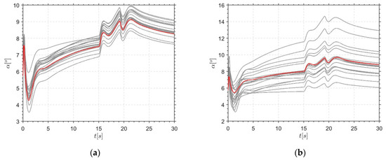
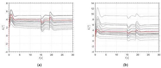
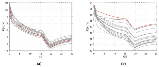
4.1. Monte Carlo Targeting at Nominal State
4.2. Target Shooting Monte Carlo Approach in Level Flight
5. Conclusions
- (1)
- This paper introduced the composition of the power system of the thrust vectoring V/STOL aircraft and established the dynamic equation of the F35B scale model prototype.
- (2)
- For the thrust vector V/STOL aircraft with strong coupling and nonlinearity, based on the conventional dynamic inverse control in the outer loop, an L1 adaptive stabilization controller was designed on the inner loop to compensate for the mismatch uncertainty. The designed control structure integrates the fixed-wing mode and the VTOL mode.
- (3)
- The uncertainty of modeling and possible input disturbances were fully considered and compared with the PID controller. It was verified by simulation that the controller quickly responds to the command and has good robustness when there is a large parameter perturbation.
Author Contributions
Funding
Data Availability Statement
Conflicts of Interest
References
- Su, W.; Gao, Z.H.; Xia, L. Multiobjective optimization design of aerodynamic configuration constrained by stealth performance. Acta Aerodyn. Sin. 2006, 24, 137–140. [Google Scholar]
- Jacobson, S.; Britt, R.; Freim, D.; Kelly, P. Residual pitch oscillation (rpo) flight test and analysis on the b-2 bomber. ICES J. Mar. Sci. 2003, 67, 1260–1271. [Google Scholar]
- Britt, R.T.; Arthurs, T.D.; Jacobson, S.B. Aeroservoelastic analysis of the B-2 bomber. J. Aircr. 2000, 37, 745–752. [Google Scholar] [CrossRef]
- Ma, S.; Wang, W. The Longitudinal Modeling of a New Concept V/STOL UAV in Transition Flight by Using the Method of System Identification. In Proceedings of the 2018 10th International Conference on Intelligent Human-Machine Systems and Cybernetics (IHMSC), Hangzhou, China, 25–26 August 2018. [Google Scholar]
- Zhang, X.; Wang, W. Dynamic modelling of the hovering phase of a new V/STOL UAV and verification of the PID control strategy. IOP Conf. Ser. Mater. Sci. Eng. 2018, 408, 12–17. [Google Scholar] [CrossRef]
- Wang, X.; Zhu, J.; Zhang, Y. Dynamics modeling and analysis of thrust-vectored V/STOL aircraft. In Proceedings of the 32nd Chinese Control Conference, IEEE, Xi’an, China, 26–28 July 2013. [Google Scholar]
- Nagabhushan, B.L.; Faiss, G.D. Thrust vector control of a v/stol airship. J. Aircr. 1984, 21, 408–413. [Google Scholar] [CrossRef]
- Yang, X.; Fan, Y.; Zhu, J. Transition flight control of two vertical/short takeoff and landing aircraft. J. Guid. Control. Dyn. 2008, 31, 371–385. [Google Scholar]
- Walker, G.; Allen, D. X-35B STOVL Flight Control Law Design and Flying Qualities. In Proceedings of the 2002 Biennial International Powered Lift Conference and Exhibit, Williamsburg, VA, USA, 5–7 November 2002. [Google Scholar]
- Wang, X.; Zhu, B.; Zhu, J.; Cheng, Z. Thrust vectoring control of vertical/short takeoff and landing aircraft. Sci. China 2020, 63, 218–220. [Google Scholar] [CrossRef]
- Cheng, Z.; Zhu, J.; Yuan, X.; Wang, X. Design of optimal trajectory transition controller for thrust-vectored v/stol aircraft. Sci. China Inf. Sci. 2021, 64, 139201. [Google Scholar] [CrossRef]
- Mallikarjunan, S.; Nesbitt, B.; Kharisov, E. L1 adaptive controller for attitude control of multirotors. In Proceedings of the Guidance, Navigation, and Control Conference, Minneapolis, MN, USA, 13–16 August 2012. [Google Scholar]
- Chiang, R.Y.; Safonov, M.G.; Haiges, K.; Madden, K.; Tekawy, J. A fixed H∞ controller for a supermaneuverable fighter performing the herbst maneuver. Automatic 1993, 29, 111. [Google Scholar] [CrossRef]
- Wang, Z.; Mao, S.; Gong, Z.; Zhang, C.; He, J. Energy Efficiency Enhanced Landing Strategy for Manned eVTOLs Using L1 Adaptive Control. Symmetry 2021, 13, 21–25. [Google Scholar] [CrossRef]
- Seshagiri, S.; Promtun, E. Sliding mode control of F-16 longitudinal dynamics. In Proceedings of the 2008 American Control Conference, Seattle, WA, USA, 11–13 June 2008. [Google Scholar]
- Liu, N.; Cai, Z.; Wang, Y. Fast level-flight to hover mode transition and altitude control in tiltrotor’s landing operation. Chin. J. Aeronaut. 2020, 34, 181–193. [Google Scholar] [CrossRef]
- Min, B.M.; Kim, E.T.; Tahk, M.J. Application of Control Allocation Methods to SAT-II UAV. In Proceedings of the Aiaa Guidance, Navigation, & Control Conference & Exhibit, San Francisco, CA, USA, 15–18 August 2005. [Google Scholar]
- Tan, J.; Zhou, Z.; Zhu, X.; Xu, M. Attitude control of flying wing uav based on terminal sliding mode and control allocation. J. Northwestern Polytech. Univ. 2014, 32, 505–510. [Google Scholar]
- Shakarian, A. Application of Monte-Carlo Techniques to the 757/767 Autoland Dispersion Analysis by Simulation. Guid. Control Conf. 1983, 83, 181–194. [Google Scholar]
- Chao, Z.; Chen, L.; Chen, Z. Monte Carlo Simulation for Vision-based Autonomous Landing of Unmanned Combat Aerial Vehicles. J. Syst. Simul. 2010, 22, 2235–2240. [Google Scholar]
- Xargay, E.; Hovakimyan, N.; Dobrokhodov, V.; Statnikov, R.; Kaminer, I.; Cao, C.; Gregory, I. L1 Adaptive Flight Control System: Systematic Design and Verification and Validation of Control Metrics. In Proceedings of the AIAA Guidance, Navigation, and Control Conference, Toronto, ON, Canada, 2–5 August 2010. [Google Scholar]
- Leman, T.; Xargay, E.; Dullerud, G.; Hovakimyan, N.; Wendel, T. L1 Adaptive Control Augmentation System for the X-48b AircrafAIA Guidance. In Proceedings of the Navigation, and Control Conference, Chicago, IL, USA, 10–13 August 2009; AIAA, Urbana-Champaign: Champaign, IL, USA, 2009. [Google Scholar]
- Jiang, G.; Liu, G.; Yu, H. A Model Free Adaptive Scheme for Integrated Control of Civil Aircraft Trajectory and Attitude. Symmetry 2021, 13, 347. [Google Scholar] [CrossRef]
- Faruk, T.; Ali, A.; Naim, A.; Firas, A.; Basil Al, K.; Özyavaş, A. Robust Nonlinear Non-Referenced Inertial Frame Multi-Stage PID Controller for Symmetrical Structured UAV. Symmetry 2022, 14, 689. [Google Scholar] [CrossRef]
- Ma, J.; Xie, H.; Song, K.; Liu, H. Self-Optimizing Path Tracking Controller for Intelligent Vehicles Based on Reinforcement Learning. Symmetry 2022, 14, 31. [Google Scholar] [CrossRef]
- Zhong, C.Q.; Wang, L.; Xu, C.F. Path Tracking of Permanent Magnet Synchronous Motor Using Fractional Order Fuzzy PID Controller. Symmetry 2021, 13, 1118. [Google Scholar] [CrossRef]













| Effector | Position Limit | Rate Limit |
|---|---|---|
| Parameters | Perturbations |
|---|---|
Publisher’s Note: MDPI stays neutral with regard to jurisdictional claims in published maps and institutional affiliations. |
© 2022 by the authors. Licensee MDPI, Basel, Switzerland. This article is an open access article distributed under the terms and conditions of the Creative Commons Attribution (CC BY) license (https://creativecommons.org/licenses/by/4.0/).
Share and Cite
Zhou, Z.; Wang, Z.; Gong, Z.; Zheng, X.; Yang, Y.; Cai, P. Design of Thrust Vectoring Vertical/Short Takeoff and Landing Aircraft Stability Augmentation Controller Based on L1 Adaptive Control Law. Symmetry 2022, 14, 1837. https://doi.org/10.3390/sym14091837
Zhou Z, Wang Z, Gong Z, Zheng X, Yang Y, Cai P. Design of Thrust Vectoring Vertical/Short Takeoff and Landing Aircraft Stability Augmentation Controller Based on L1 Adaptive Control Law. Symmetry. 2022; 14(9):1837. https://doi.org/10.3390/sym14091837
Chicago/Turabian StyleZhou, Zan, Zian Wang, Zheng Gong, Xiong Zheng, Yang Yang, and Pengcheng Cai. 2022. "Design of Thrust Vectoring Vertical/Short Takeoff and Landing Aircraft Stability Augmentation Controller Based on L1 Adaptive Control Law" Symmetry 14, no. 9: 1837. https://doi.org/10.3390/sym14091837
APA StyleZhou, Z., Wang, Z., Gong, Z., Zheng, X., Yang, Y., & Cai, P. (2022). Design of Thrust Vectoring Vertical/Short Takeoff and Landing Aircraft Stability Augmentation Controller Based on L1 Adaptive Control Law. Symmetry, 14(9), 1837. https://doi.org/10.3390/sym14091837

