Adaptive Sliding Mode Control Anticipating Proportional Degradation of Actuator Torque in Uncertain Serial Industrial Robots
Abstract
1. Introduction
2. Proportional Degradation of the Actuator Torque in a Robot Model
3. Adaptive Sliding Mode Controller
4. Quasi-Physical Model of the Serpent 1 Robot
5. Simulation Results
5.1. Position Trajectory Response Analysis
5.2. Translational Velocity and Acceleration Response Analysis
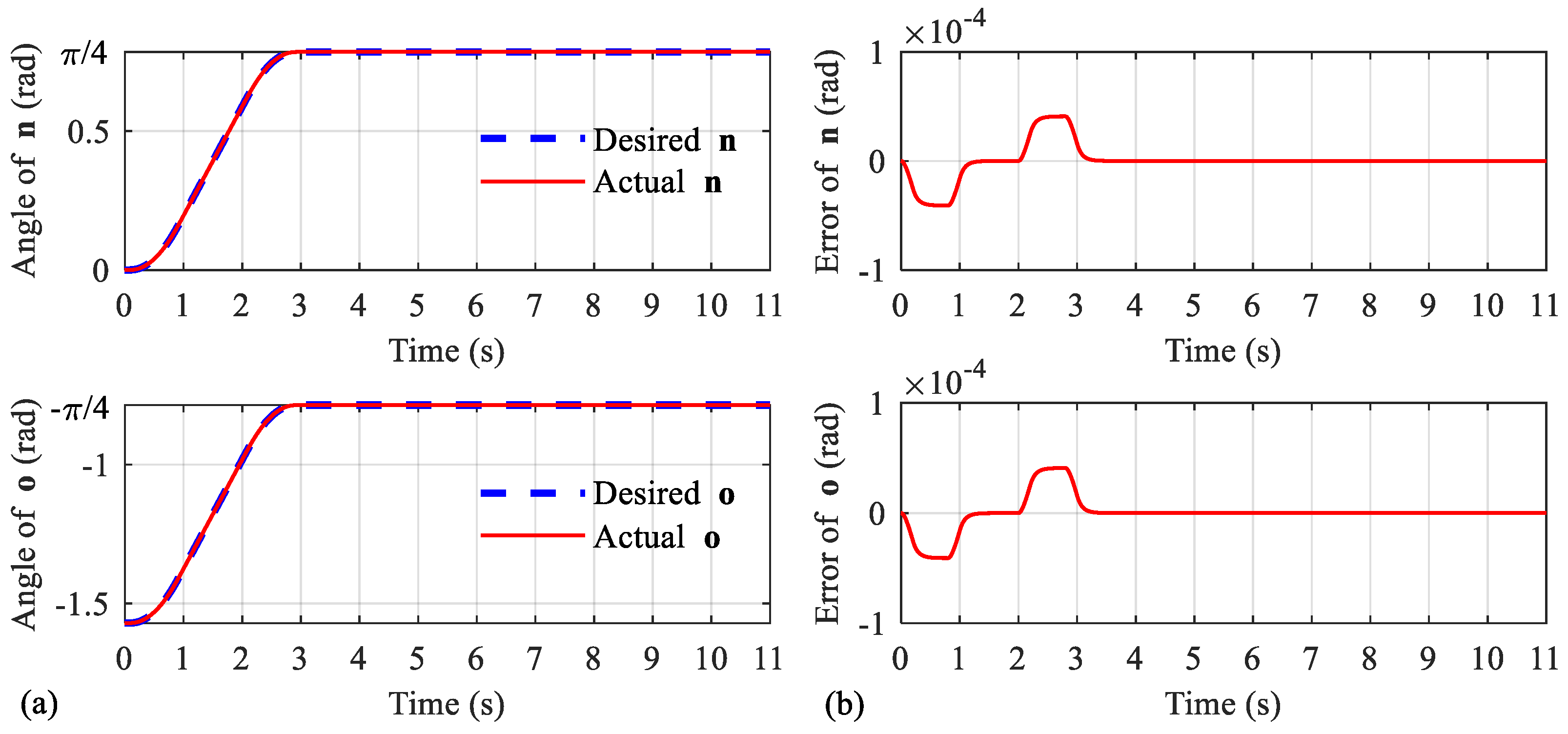
5.3. Orientation Responses Analysis
6. Conclusions
Author Contributions
Funding
Institutional Review Board Statement
Informed Consent Statement
Data Availability Statement
Acknowledgments
Conflicts of Interest
References
- Bi, M. Control of Robot Arm Motion Using Trapezoid Fuzzy Two-Degree-of-Freedom PID Algorithm. Symmetry 2020, 12, 665. [Google Scholar] [CrossRef]
- Elawady, W.M.; Bouteraa, Y.; Elmogy, A. An Adaptive Second Order Sliding Mode Inverse Kinematics Approach for Serial Kinematic Chain Robot Manipulators. Robotics 2020, 9, 4. [Google Scholar] [CrossRef]
- Mourtzis, D.; Angelopoulos, J.; Panopoulos, N. Closed-Loop Robotic Arm Manipulation Based on Mixed Reality. Appl. Sci. 2022, 12, 2972. [Google Scholar] [CrossRef]
- Sathish, V.; Ramaswamy, S.; Butail, S. Training data selection criteria for detecting failures in industrial robots. IFAC-PapersOnLine 2016, 49, 385–390. [Google Scholar] [CrossRef]
- Caccavale, F.; Cilibrizzi, P.; Pierri, F.; Villani, L. Actuators fault diagnosis for robot manipulators with uncertain model. Control Eng. Pract. 2009, 17, 146–157. [Google Scholar] [CrossRef]
- Muradore, R.; Fiorini, P. A PLS-based statistical approach for fault detection and isolation of robotic manipulators. IEEE Trans. Ind. Electron. 2012, 59, 3167–3175. [Google Scholar] [CrossRef]
- McIntyre, M.; Dixon, W.; Dawson, D.; Walker, I. Fault identification for robot manipulators. IEEE Trans. Robot. 2005, 21, 1028–1034. [Google Scholar] [CrossRef]
- De Luca, A.; Mattone, R. An identification scheme for robot actuator faults. In Proceedings of the 2005 IEEE/RSJ International Conference on Intelligent Robots and Systems, IROS, Edmonton, AB, Canada, 2–6 August 2005; pp. 2613–2617. [Google Scholar] [CrossRef]
- Caccavale, F.; Marino, A.; Muscio, G.; Pierri, F. Discrete-time framework for fault diagnosis in robotic manipulators. IEEE Trans. Control. Syst. Technol. 2013, 21, 1858–1873. [Google Scholar] [CrossRef]
- Zeng, Y.; Xing, Y.R.; Ma, H.J.; Yang, G.H. Adaptive fault diagnosis for robot manipulators with multiple actuator and sensor faults. In Proceedings of the 27th Chinese Control and Decision Conference (CCDC), Qingdao, China, 23–25 May 2015; pp. 6569–6574. [Google Scholar] [CrossRef]
- Domski, W.; Mazur, A. Emergency control of a space 3R manipulator in case of one joint failure. In Proceedings of the 22nd International Conference on Methods and Models in Automation and Robotics (MMAR), Miedzyzdroje, Poland, 28–31 August 2017; pp. 384–389. [Google Scholar] [CrossRef]
- Mu, Z.; Han, L.; Xu, W.; Li, B.; Liang, B. Kinematic analysis and fault-tolerant trajectory planning of space manipulator under a single joint failure. Robot. Biomimetics 2016, 3, 16. [Google Scholar] [CrossRef]
- Truc, L.N.; Nghia, N.T.; Thanh, N.T.; Thien, N.M.; Nguyen, T.L. Effect of Actuator Torque Degradation on Behavior of a 6-DOF Industrial Robot. Univers. J. Mech. Eng. 2020, 8, 114–128. [Google Scholar] [CrossRef]
- Truc, L.N.; Quang, N.P.; Nguyen, H.Q. Impact Analysis of Actuator Torque Degradation on the IRB 120 Robot Performance using Simscape-Based Model. Int. J. Electr. Comput. Eng. (IJECE) 2021, 11, 4850–4864. [Google Scholar] [CrossRef]
- Liu, G. Control of robot manipulators with consideration of actuator performance degradation and failures. In Proceedings of the 2001 IEEE International Conference on Robotics & Automation, Seoul, Korea, 21–26 May 2001; pp. 2566–2571. [Google Scholar] [CrossRef]
- Lei, R.h.; Chen, L. Adaptive fault-tolerant control based on boundary estimation for space robot under joint actuator faults and uncertain parameters. Def. Technol. 2019, 15, 964–971. [Google Scholar] [CrossRef]
- Jin, X. Adaptive finite-time tracking control for joint position constrained robot manipulators with actuator faults. In Proceedings of the 2016 American Control Conference (ACC), Boston, MA, USA, 6–8 July 2016; pp. 6018–6023. [Google Scholar] [CrossRef]
- Lopac, N.; Bulic, N.; Vrkic, N. Sliding Mode Observer-Based Load Angle Estimation for Salient-Pole Wound Rotor Synchronous Generators. Energies 2019, 12, 1609. [Google Scholar] [CrossRef]
- Aljarbouh, A.; Fayaz, M.; Qureshi, M.S.; Boujoudar, Y. Hybrid Sliding Mode Control of Full-Car Semi-Active Suspension Systems. Symmetry 2021, 13, 2442. [Google Scholar] [CrossRef]
- Vu, M.T.; Le, T.H.; Thanh, H.L.N.N.; Huynh, T.T.; Van, M.; Hoang, Q.D.; Do, T.D. Robust Position Control of an Over-actuated Underwater Vehicle under Model Uncertainties and Ocean Current Effects Using Dynamic Sliding Mode Surface and Optimal Allocation Control. Sensors 2021, 21, 747. [Google Scholar] [CrossRef]
- Nguyen, N.; Hong, S. Fault Diagnosis and Fault-Tolerant Control Scheme for Quadcopter UAVs with a Total Loss of Actuator. Energies 2019, 12, 1139. [Google Scholar] [CrossRef]
- Zheng, B.; Wu, Y.; Li, H.; Chen, Z. Adaptive Sliding Mode Attitude Control of Quadrotor UAVs Based on the Delta Operator Framework. Symmetry 2022, 14, 498. [Google Scholar] [CrossRef]
- Goel, A.; Mobayen, S. Adaptive nonsingular proportional–integral–derivative-type terminal sliding mode tracker based on rapid reaching law for nonlinear systems. J. Vib. Control 2021, 27, 2669–2685. [Google Scholar] [CrossRef]
- Alattas, K.A.; Mostafaee, J.; Sambas, A.; Alanazi, A.K.; Mobayen, S.; Vu, M.T.; Zhilenkov, A. Nonsingular Integral-Type Dynamic Finite-Time Synchronization for Hyper-Chaotic Systems. Mathematics 2021, 10, 115. [Google Scholar] [CrossRef]
- Nasiri, M.; Mobayen, S.; Member, S.; Arzani, A. PID-type terminal sliding mode control for permanent magnet synchronous generator based enhanced wind energy conversion systems. CSEE J. Power Energy Syst. 2021, 1–10. [Google Scholar] [CrossRef]
- Shao, K.; Zheng, J.; Tang, R.; Li, X.; Man, Z.; Liang, B. Barrier Function Based Adaptive Sliding Mode Control for Uncertain Systems With Input Saturation. IEEE/ASME Trans. Mechatronics 2022, 1–11. [Google Scholar] [CrossRef]
- Shao, K.; Tang, R.; Xu, F.; Wang, X.; Zheng, J. Adaptive sliding mode control for uncertain Euler–Lagrange systems with input saturation. J. Frankl. Inst. 2021, 358, 8356–8376. [Google Scholar] [CrossRef]
- Sami, I.; Ullah, S.; Ali, Z.; Ullah, N.; Ro, J.S. A Super Twisting Fractional Order Terminal Sliding Mode Control for DFIG-Based Wind Energy Conversion System. Energies 2020, 13, 2158. [Google Scholar] [CrossRef]
- Bing, X.; Yin, S. An fast reconstruction approach for actuator fault in robot manipulators. In Proceedings of the 14th International Workshop on Variable Structure Systems (VSS), Nanjing, China, 1–4 June 2016; pp. 414–419. [Google Scholar] [CrossRef]
- Freddi, A.; Longhi, S.; Monteriù, A.; Ortenzi, D.; Proietti Pagnotta, D. Fault Tolerant Control Scheme for Robotic Manipulators Affected by Torque Faults. IFAC-PapersOnLine 2018, 51, 886–893. [Google Scholar] [CrossRef]
- Yoo, S.J. Actuator fault detection and adaptive accommodation control of flexible-joint robots. IET Control. Theory Appl. 2012, 6, 1497–1507. [Google Scholar] [CrossRef]
- Shin, J.H.; Lee, J.J. Fault detection and robust fault recovery control for robot manipulators with actuator failures. In Proceedings of the 1999 IEEE International Conference on Robotics and Automation, Detroit, MI, USA, 10–15 May 1999; pp. 861–866. [Google Scholar] [CrossRef]
- She, Y.; Xu, W.; Su, H.; Liang, B.; Shi, H. Fault-tolerant analysis and control of SSRMS-type manipulators with single-joint failure. Acta Astronaut. 2016, 120, 270–286. [Google Scholar] [CrossRef]
- Azmi, H.; Khosrowjerdi, M.J. Robust adaptive fault tolerant control for a class of Lipschitz nonlinear systems with actuator failure and disturbances. Proc. Inst. Mech. Eng. Part I J. Syst. Control. Eng. 2015, 230, 13–22. [Google Scholar] [CrossRef]
- Mirkin, B.; Gutman, P.O.; Shtessel, Y. Adaptive continuous control with sliding mode for plants under nonlinear perturbations, external disturbances and actuator failures. In Proceedings of the 11th International Workshop on Variable Structure Systems, Mexico City, Mexico, 26–28 June 2010; pp. 250–255. [Google Scholar] [CrossRef]
- Tao, G. Direct adaptive actuator failure compensation control: A tutorial. J. Control. Decis. 2014, 1, 75–101. [Google Scholar] [CrossRef]
- Zhang, J.X.; Yang, G.H. Robust Adaptive Fault-Tolerant Control for a Class of Unknown Nonlinear Systems. IEEE Trans. Ind. Electron. 2017, 64, 585–594. [Google Scholar] [CrossRef]
- Wang, W.; Wen, C. Adaptive actuator failure compensation control of uncertain nonlinear systems with guaranteed transient performance. Automatica 2010, 46, 2082–2091. [Google Scholar] [CrossRef]
- Yang, Q.; Ge, S.S.; Sun, Y. Adaptive actuator fault tolerant control for uncertain nonlinear systems with multiple actuators. Automatica 2015, 60, 92–99. [Google Scholar] [CrossRef]
- Xing, L.; Wen, C.; Liu, Z.; Su, H.; Cai, J. Adaptive compensation for actuator failures with event-triggered input. Automatica 2017, 85, 129–136. [Google Scholar] [CrossRef]
- Truc, L.N.; Quyen, N.; Quang, N.P. Dynamic model with a new formulation of Coriolis/centrifugal matrix for robot manipulators. J. Comput. Sci. Cybern. 2020, 36, 89–104. [Google Scholar] [CrossRef][Green Version]
- Truc, L.N.; Lam, N.T. Quasi-physical modeling of robot IRB 120 using Simscape Multibody for dynamic and control simulation. Turk. J. Electr. Eng. Comput. Sci. 2020, 28, 1949–1964. [Google Scholar] [CrossRef]






























| Joint i | ||||
|---|---|---|---|---|
| 1 | ||||
| 2 | ||||
| 3 |
Publisher’s Note: MDPI stays neutral with regard to jurisdictional claims in published maps and institutional affiliations. |
© 2022 by the authors. Licensee MDPI, Basel, Switzerland. This article is an open access article distributed under the terms and conditions of the Creative Commons Attribution (CC BY) license (https://creativecommons.org/licenses/by/4.0/).
Share and Cite
Truc, L.N.; Vu, L.A.; Thoan, T.V.; Thanh, B.T.; Nguyen, T.L. Adaptive Sliding Mode Control Anticipating Proportional Degradation of Actuator Torque in Uncertain Serial Industrial Robots. Symmetry 2022, 14, 957. https://doi.org/10.3390/sym14050957
Truc LN, Vu LA, Thoan TV, Thanh BT, Nguyen TL. Adaptive Sliding Mode Control Anticipating Proportional Degradation of Actuator Torque in Uncertain Serial Industrial Robots. Symmetry. 2022; 14(5):957. https://doi.org/10.3390/sym14050957
Chicago/Turabian StyleTruc, Le Ngoc, Le Anh Vu, Tran Van Thoan, Bui Trung Thanh, and Tung Lam Nguyen. 2022. "Adaptive Sliding Mode Control Anticipating Proportional Degradation of Actuator Torque in Uncertain Serial Industrial Robots" Symmetry 14, no. 5: 957. https://doi.org/10.3390/sym14050957
APA StyleTruc, L. N., Vu, L. A., Thoan, T. V., Thanh, B. T., & Nguyen, T. L. (2022). Adaptive Sliding Mode Control Anticipating Proportional Degradation of Actuator Torque in Uncertain Serial Industrial Robots. Symmetry, 14(5), 957. https://doi.org/10.3390/sym14050957

