Abstract
In order to solve the energy efficiency optimization problem in the uplink multi-cell massive MIMO system, this paper constructs the system transmission model, of which the channel is symmetry, based on user and base station, and deduces the expression of data transmission rate of each user. Then, we establish a model of the spectral and energy efficiency of multi-cell massive MIMO system by analyzing the pilot transmission and channel estimation. We also derive the nonconvex function for the energy efficiency optimization, which is difficult to solve directly. Therefore, we propose an improved particle swarm optimization algorithm to obtain the suboptimal solution, under low complexity, by optimizing the distribution of user power. To demonstrate the advantages of our proposed algorithm, we simulate the energy efficiency performance of the algorithm. The results show that the proposed algorithm can effectively improve the energy efficiency of the system.
1. Introduction
With the rapid development of communication systems, the explosive growth of wireless communication devices has brought dramatic energy consumption, which has become a major factor in global warming. Therefore, the important direction of communication development has turned into green communication. In order to be compatible with that, energy efficiency has become an important technical indicator of the fifth-generation communication system (5G) [1,2]. As one of those, massive multiple-input, multiple-output (MIMO) technology is equipped with a large number of antennas. Combined with spatial multiplexing technology, it can effectively improve the spectral efficiency, energy efficiency, and link reliability of the system, without additional bandwidth and power, which enables it to become a research hotspot in the field of communication [3].
In recent years, researchers have paid more attention to the energy efficiency optimization of massive MIMO system [4]. It mainly includes pilot power allocation, data power allocation, cell coverage area size, base station density, antenna selection, and user selection. In massive MIMO systems, the more antennas on the transmitter and receiver, the higher the gain brought by system diversity and multiplexing. Unfortunately, radio frequency (RF) chains and energy consumption will both increase simultaneously with increases in the number of antennas. Therefore, power consumption has become an unignorable factor in the development of MIMO systems [5,6], and various power allocation strategies have been proposed to improve energy efficiency [7,8,9,10,11,12]. Primarily, the existing methods usually maximize the channel capacity under a fixed total transmission power. According to Shannon’s capacity formula, the capacity gain has an ideal limit range, which means the capacity increase, caused by the increase of power, is limited when the transmission power reaches a certain level. Therefore, it is critically important to find the optimal power point.
In [7], the author studied the energy efficiency optimization of a multi-cell, massive MIMO system with zero forcing (ZF) reception. A brand-new method was utilized to improve the energy efficiency. Specifically, by transforming the fractional programming problem into a parameter form that can be solved via discrete monotone optimization problem and poly-block outer approximation, the number of active antennas of the base station could be optimized and energy efficiency could be enhanced. However, the mutual interference between cells was neglected. In the literature [8], the authors studied the power allocation problem for maximizing the energy efficiency of massive MIMO systems, derived a closed-form expression for the user rate, in the case of inter-cell interference caused by pilots multiplexing. The authors transformed the original problem into the subtractive form of an approximate convex problem and proposed a two-layer iterative algorithm to improve the energy efficiency. However, the proposed algorithm has limitations, which depend heavily on the value of the minimum rate constraint. The energy efficiency optimization problem for the downlink distributed massive MIMO system was studied in the literature [9]. By deriving a closed expression for the system ergodic achievable rate, the author established an energy efficiency optimization model, where optimization parameters were users, antennas, and transmit power. Using hierarchical decomposition and successive convex approximation, the author proposed an effective iterative algorithm to substantially improve the system energy efficiency. However, the optimization parameters are too many, resulting in an algorithm that is overly complex to apply. The literature [10] investigated the energy efficiency optimization problem of multicell massive MIMO system, and the authors reduced the power consumption of channel estimation by obtaining comprehensive information on the large-scale fading of the channel. Meanwhile, the authors proposed an iterative low-complexity algorithm, based on Newton’s method and Lagrange multipliers, for the joint optimization of the number of antennas, transmit power, and user selection, with minimization of the pilot multiplexing sequence. In reference [11], the author applied the deep learning (DL) to power allocation in massive MIMO systems and proposed a new iterative algorithm and new DL network, where the user location and predicted optimized power are the input and output of the DL network, respectively. However, the optimal DL network parameters, such as the optimal layers, optimal nodes, and optimal deviation, required further research. In addition, it is unavoidable, for DL-based power allocation, to generate a large number of samples training the DL network. In reference [12], the author studied the spectral and energy efficiency of uplink massive MIMO systems, with imperfect CSI in the Rayleigh fading channel, and proposed an approximate optimal power allocation scheme, based on the concave–convex process method. The performance of this scheme is close to the optimal performance of exhaustive search algorithm, but it has a large number of iterations and high computational complexity.
Currently, various intelligent evolutionary algorithms are emerging, among which, the more typical one is the particle swarm algorithm. The particle swarm optimization algorithm [13] is a population-based heuristic global optimization algorithm that originated from modeling the social behavior of flocks of birds and schools of fish. Due to the advantages of the algorithm, in terms of computational complexity, convergence speed, and accuracy, more researchers are applying particle swarm algorithms to solve various optimization problems, especially in the field of communication. In literature [14], authors introduced the particle swarm optimization algorithm to the multi-objective optimization problem of massive MIMO networks, using an improved self-organizing map particle swarm optimizer (SOMPSO) algorithm, in terms of user transmission rate, system energy efficiency, system frequency efficiency, and the average area throughput rate of the network, in order to find a balance between four conflicting objectives, which improve the performance of the system. In the literature [15], the authors outlined a collaborative particle swarm algorithm by improving the traditional particle swarm optimization algorithm and applied it to channel estimation in MIMO systems, which has a faster convergence rate and lower overall complexity than the traditional particle swarm algorithm. In the literature [16], the authors used a particle swarm optimization algorithm to find a routing solution for the XG router; since the particle swarm algorithm itself cannot be applied to discrete optimization problems, the authors proposed a discrete particle swarm algorithm for the optimization of the distribution real-time fault tolerance problem in wireless sensor networks. Based on the above inspiration, this paper proposes an improved adaptive particle swarm optimization algorithm for solving the power allocation scheme of the energy efficiency optimization problem for large-scale MIMO systems.
In reference [17], in order to achieve high quality communication, the author comprehensively considered the pilot and data power allocation in the uplink massive MIMO cognitive wireless networks and proposed an alternating iterative method, based on gradient adaptive and sub-gradient methods. Additionally, the joint optimization of antenna selection and power allocation for downlink single-cell massive MIMO systems, with total power constraints and user QoS requirements, was studied [18]. According to the Lagrange duality method, an effective two-layer iterative algorithm for maximizing energy efficiency was put forward. Note that the above schemes were implemented on the premise that the perfect CSI is known. However, in practice, due to the non-negligible channel estimation error, it is impractical for the massive MIMO system to obtain the perfect CSI in physical implementation [19]. Therefore, this paper focuses on the power allocation problem of maximizing the uplink energy efficiency of multi-user massive MIMO systems with imperfect CSI.
Based on the above analysis, this paper mainly studies the energy efficiency resource allocation for the uplink of a multi-cell massive MIMO system. Firstly, assuming that the receiver knows the imperfect CSI, the ergodic reachability sum rate of the uplink of the system are obtained by using the maximum ratio combination scheme. Energy efficiency, calculated by combining the system power consumption model, under the condition of the maximum transmission power and minimum rate of the user, could be maximized by optimizing the transmission power of each user. Because the derived energy efficiency problem is non-convex, it is too complex to obtain the optimal solution by the exhaustive method. Therefore, this paper proposes an adaptive particle swarm optimization algorithm to obtain the suboptimal solution of the system with low complexity. Finally, simulation results show that the performance of the proposed algorithm is improved by more than 10%, compared with the other two classical power allocation algorithms, demonstrating its effectiveness.
The rest of the paper is structured as follows. The second part constructs the system model and derives a mathematical expression of the data rate for each user. In the third section, a realistic power consumption model is presented, and the energy efficiency optimization function of multi-cell multi-user massive MIMO system is derived. The fourth part proposes a power allocation scheme, based on adaptive particle swarm optimization. The last part presents the simulation results of the algorithm and its conclusion, respectively.
Notation: In this paper, matrices and vectors are denoted by bold capital and lowercase letters; denotes the transpose of matrix A, and denotes the conjugate transpose of matrix A; denotes a unit matrix of order M; and denotes the Euclidean norm of a vector and the Euclidean norm of a scalar, respectively; denotes the diagonal matrix, whose main diagonal element is an element in vector b; and denotes the mathematical expectation.
2. System Model
The model studied in this paper could be used in various practical scenarios, such as urban areas and college campuses with high users’ traffic demand, large data rates, and exceptional coverage quality; it also could be used in residential areas and CBD areas with large height drop. In addition, this model is also promising in scenarios with crowd users and limited uplink signals, such as large-scale concerts and competitions. Although some areas with complex wireless environments and high interference have been troubled by different frequency bands and network standards, this model can demonstrate superior performance.
This paper considers a typical square layout multi-cell uplink multi-user massive MIMO system. The system consists of L cells. In each cell, a base station, with M antennas, is set up in the center of the cell. The base station simultaneously serves K single antenna mobile users (M > > K), randomly distributed in the cell at the same time-frequency resource block. Without losing generality, the channel gain h from the i-th user in cell l to cell base station can be expressed as:
where represents the column vector with dimension m, and the m-th element represents the small-scale fading from the ith user in cell l to the mth antenna of base station j, which obeys the circular symmetric complex Gaussian distribution, i.e., CN (0, ). In addition, duo to the model is time division duplexing (TDD), the channel is symmetrical about the user and base station, and both know the CSI. Large-scale fading represents the geometric attenuation and shadow fading from the i-th user in cell l to base station j. Because the distance between the user and base station is much greater than that between the antennas, for the whole antenna array, we can regard the massive fading coefficient as a constant term, which can be expressed as:
represents shadow fading and follows lognormal distribution CN (0, represents the distance from the i-th user in cell l to base station j, R represents the cell radius, and α represents the path loss index.
Therefore, the M × 1 dimensional signal vector, received at the base station receiver, can be expressed as:
where the scalar p is the transmitted signal power, as described in Equation (1), denotes the channel matrix between the user and the base station, represents the transmitted signal, and is the additive white Gaussian noise vector with independent distribution.
For the model established in this paper, we assume that the area of 1 Km × 1 Km is divided into 16 cells, 250 m × 250 m in size, i.e., all cells are arranged in a square pattern of 4 × 4 arrangement, as shown in Figure 1. Each cell has a base station in the center, which is equipped with M antennas for transmission and reception, and the base station communicates with the user through antennas. In addition, we randomly arrange K single antenna users in a ring area, 35 m away from the base station in the cell. The transmission of non-orthogonal pilot sequences between adjacent cells usually causes pilot contamination, which affects the accuracy of channel estimation [20]. Therefore, in this paper, orthogonal pilot multiplexing sequences are applied to obtain channel state information, in order to eliminate the pilot contamination received by edge users, which can improve the quality of channel estimation and increase the achievable data rate of the system. We set the pilot multiplexing factor to 4, and the pilot allocation method is shown in Figure 1; different color squares represent cells using different orthogonal pilot sequences.
Figure 1.
Massive MIMO system model.
In this work, we describe the specific process of data transmission in detail, which is mainly divided into three stages. The first is the pilot training stage, which sends the pilot at the transmitting end and receives the transmitted pilot sequence at the receiving end. Then, the channel parameters in the communication process are estimated by processing the received pilot. After that, the signal is transmitted and maximum ratio detection are carried out at the receiving end.
2.1. Pilot Transmission
In this paper, the orthogonal pilot is preferred for the pilot transmission of users in the cell because the strong interference can be well-suppressed in the process of signal transmission, and the strongest interference commonly comes from users themselves. For channel estimation, pilot transmission is carried out before the coherence time. The reserved length in each coherent block is used for pilot signaling. Before signal transmission, each user sends these samples, where the pilot sequence of the kth user in cell j is defined as . At the same time, it is assumed that the pilot sequence elements are unit amplitude elements, in order to obtain a constant power level, i.e., . When transmitting the pilot, the k-th user in cell j will expand the power of the pilot to.
Therefore, without losing generality, the signals received in base station j are:
where is the pilot sequence transmitted by the kth user in cell j, represents the additive white Gaussian noise at the receiving end of the base station (which obeys the independent identically distributed CN (0, )), and is the pilot transmission signal of all users received by the base station.
In order to estimate the channel between a specific user and base station j, the base station needs to know the specific pilot sequence transmitted by the user. Due to the orthogonality of the pilot sequence, we can process the signal received by the base station to separate the pilot sequence of a specific user and multiply Equation (3) by ; the expression can be obtained as:
wherein, due to the orthogonality of the pilot, the= 0 (where ); therefore, the values of the second and third items are 0, and only the specific user transmission pilot signal of the first item and the base station noise of the last item are retained.
2.2. Channel Estimation
After the base station in the cell receives the pilot signal sent from the user, the base station can estimate the channel according to the received signal. In this paper, we use the minimum mean square error (MMSE) estimation method to estimate the channel between the user and base station.
From the mathematical knowledge in [1], we can know from the formula , and we can estimate the vector of N-dimensional covariance matrix with semi-positive definite , from which:
The estimation error covariance matrix of the estimator is:
The MSE of the estimator is:
We can see that Equation (5) is structurally similar to . Where , and the channel distribution obeys , so . According to , we can calculate . The MMSE statistics of channel estimation can be obtained by substituting the obtained q, R, and S into Equations (6) and (7):
2.3. Data Transmission
After the pilot is transmitted, the base station estimates the channel through the received signal. During the coherence time, the propagation parameters of the channel are considered to be constant. In the transmission phase of the uplink data, the k-th user in cell j starts to send the signal to the base station j, and the data received by base station j can be expressed as:
where represents the uplink data signal received by base station j, represents the transmission power of the signal transmitted by user k in cell j, is the channel estimation between all antennas of the base station and all cell users, and is the thermal noise at the base station receiver. User signal satisfies .
3. Optimization Function in Massive MIMO System Uplink
This section includes three parts: the spectral efficiency function of the system, electric power consumption model of the system, and energy efficiency model of the system.
3.1. System Spectral Efficiency
After receiving the user’s data signal, the base station needs to detect the signal and restore it to the original signal transmitted by the user. In order to facilitate calculation, this paper uses a linear detector maximum ratio combination, i.e., . The channel is symmetrical about the user and base station, so we can directly obtain the signal detection vector through channel estimation. At the same time, under the condition of a low signal-to-noise ratio, this scheme has little impact on spectral efficiency, compared to ZF combined detection. Therefore, the user signal obtained after the maximum ratio processing can be expressed as:
We considered a discrete channel model, as follows:
where is the input of the system, is the output of the system, represents the random signal interference received by the system, and the noise distribution of the channel is . In addition, it is assumed that we know that the channel response , output signal, and input signal satisfy the power constraint
When the interference signal V satisfies the zero mean value, has a known variance , and is independent of the input signal, we can get the following lower bound of channel capacity [21]:
According to Equation (11), can be obtained; enter , and the output is . The variance of random signal is affected by the channel estimation value . The interference item V is:
Due to the fact that is not necessarily a variable subject to Gaussian distribution and its value is related to the realization of variable , the noise term is 0 (i.e ).
In the same coherent block, we believe that the channel state information is constant; that is, the value of and variance of remain unchanged, while, between different coherent blocks, the value of and variance of will change. The base station knows the channel between the user and base station, and , depends only on and , while is also a function of channel estimation value; so, as we assumed between us, is known to the base station. From this, we can find that the conditional variance of the interference signal [22] is:
The first step of simplification is based on the independence among signal and between signal and channel; the second step of simplification is to consider the independence between estimation error and channel estimation.
Therefore, by substituting Equation (16) into Equation (11), it can be obtained that the lower bound of the signal-to-interference noise ratio of user k in cell j and uplink ergodic channel capacity [5] of user k in cell j is:
Among them, represents the coherent block length for the orthogonal pilot sequence, and represents the length of the entire coherent block.
3.2. Power Consumption Model of System
The energy efficiency expression is in a fractional form that will be affected by both the numerator and denominator. Regarding the channel capacity, discussed in detail in Chapter 3, misleading conclusions caused by imperfect analysis of system energy efficiency should be avoided. We need to accurately model the power consumption function of energy efficiency denominator. The PC model of multi-cell multi-user massive MIMO system in this paper is as follows:
Among them, ETP is the effective transmission power, which is only related to the user’s transmission power and coefficient of the power amplifier, which can be expressed as:
where represents the transmission power of user k in cell j, and γ (0 < γ < 1) is the efficiency coefficient of the power amplifier.
The electric power consumption model circuit power (CP) mainly includes the following parts: the sum of transmission power consumed by the transceiver hardware between the base station and users, electric power consumption generated for channel estimation, and electric power consumption generated by digital signal processing, coding, and decoding. Therefore, the electrical power consumption CP is modeled as:
where is fixed electric power consumption, mainly including the consumption of control signaling and the independent load power of backhaul equipment and baseband processor, which occupies a large proportion of electric power; is the electric power consumed by the transceiver chains. It is the power required by the circuit components of each antenna of the base station, such as the digital-to-analog converter, analog-to-digital converter, mixer, and filter. Its value is related to the number of antennas that are configured by the base station; is the power consumed in the process of channel estimation. Since the number of channel estimation is related to the number of coherent blocks, the value of is related to the number of coherent blocks. is the electric power consumed by the channel coding and channel decoding unit, which is related to the throughput of the cell base station. is the electric power consumed in the signal processing process of the base station.
Therefore, based on the above relationship and previous experience, we can simplify CP to:
where the circuit power consumption is mainly the load independent circuit power consumption and electrical power consumption of the transceiver chains. The electrical power consumption of the transceiver chains is divided into two parts. The power consumed by the antenna chains at the base station is , and the power consumed by the communication chains at the user , while, for the specific energy consumption used by channel estimation, channel coding and channel decoding, and signal processing have nothing to do with the number of antennas and users; therefore, we use a fixed power consumption representation, i.e., =.
3.3. Proposed EE Maximization Problem
Energy efficiency is defined as the number of bits that can be transmitted per joule of energy. Therefore, the energy efficiency expression of multi-cell multi-user massive MIMO system can be expressed as:
This paper mainly considers the impact of transmission power on system energy efficiency and takes the maximization of system energy efficiency as the optimization goal. Therefore, we model the optimization problem is:
4. Power Allocation of PSO Algorithm
This section provides an algorithm for the suboptimal solution of the optimization problem (27). We first substitute Equations (24) and (25) into Equation (26) to obtain the following energy efficiency expression:
The system power consumption model we established is a monotonic increasing the function of the number of users and antennas. Here, we can use the function to express the power consumption of the system:
where denotes the user’s transmit power.
We focus on the relationship between user transmit power and energy efficiency in this paper, so we only have the user transmit power as unknown in the above equation, and all other parameters are considered as known. In order to apply the particle swarm algorithm to find the power allocation vector for the maximum energy efficiency, we need to determine the evaluation function. For Equation (30), we can transform it from fractional to decremental form, according to fractional programming theory, as in [23]:
where represents the evaluation function that is used to evaluate the performance of the power allocation vector obtained the particle swarm algorithm. It is obvious that, when the energy efficiency reaches the optimal value, comparing Equation (31) with Equation (27), we can find that the evaluation value of the power allocation vector obtained at this time is the smallest, which is 0. That is, we optimize the power allocation by continuously selecting the particle with the smallest fitness as the initial value of the next iteration, until the maximum number of iterations is reached or fitness difference reaches the threshold value. Thus, the problem of maximizing energy efficiency is transformed into the problem of finding the minimum value of the fitness function .
The specific implementation process of the algorithm is shown in Figure 2. The specific operation steps of Algorithm 1 are as follows:
Figure 2.
Work flow chart of adaptive particle swarm optimization algorithm.
- (a)
- The rand function and upper and lower bounds of user data power are set to initialize the particle parameters, , where the superscript is the number of iterations, and the subscript is the particle number. The first number in represents the cell number, and the second number represents the user number in the cell.
- (b)
- Initialize inertia weight coefficient ω. Particle swarm mainly searches locally in the initial period. When the ω value is large, it is conducive for particles to jump out of the local minimum and conduct a global search. The later particle swarm optimization mainly aims at the accurate search in the local range, and the search step should be as small as possible. So, the inertia factor ω is set very small, which is conducive to accurate local search. Combined with the above analysis, we focus on the inertia weight coefficient of particle swarm optimization algorithm ω, making the following settings:
Algorithm 1. particle swarm optimization algorithm for solving energy efficiency optimization model. Input: , , , , Output: , , /* initialization */ for all j = 1,2,…,L, k = 1,2,…, K , Set the power constraint as the search space for particles Sets the search step constraint for particles Step 1 /* Particle swarm optimization for energy efficiency optimization */ Calculate the fitness () of each particle by Equation (32); Step 2 /* Particle global optimization */ /* Particle individual optimization */ Step 3 Use Equations (34) and (35) to update the position of particles and the speed of particles; Use Equations (36) and (37) to process the boundary of particle search speed and position; 20% mutation operation is adopted to avoid particles falling into local extreme value; Calculate the fitness () ()of each particle by Equation (32); Repeat step 2; End End
- (c)
- Taking the energy efficiency function EE as the fitness function, the fitness of all initialized particles is calculated, and the local optimal P of particle position is selected: = and global optimal .
- (d)
- Update the speed and position of particles and perform boundary processing:
Taking the energy efficiency function EE as the fitness function, the fitness of all initialized particles is calculated, and the local optimal solution is updated = and the global optimal solution .
- (e)
- In the iterative process, we need to take the power constraint as the boundary condition of the particle position to bind the particle motion within a certain range. At the same time, for the traversal search of the particle for the whole solution space, we limit the particle speed to a certain direction. Therefore, the following procedure is necessary:
- (f)
- It may lead to a loss of diversity, due to the fast convergence of the particle swarm optimization algorithm. In order to avoid the particle swarm optimization algorithm falling into the local extremum, this scheme combines the mutation operation of the genetic algorithm and uses 20% mutation probability to process the position of the particles:
Equation (38) is used to confirm the position of the particle parameter variation, and Equation (39) reassigns the parameter to the position of the particle variation. It is possible to ensure the diversity of particles in the solution space by these two operations.
- (g)
- When the iteration termination condition is reached, the global optimal value is the optimal user data power allocation vector we want to select.
5. Results and Discussion
5.1. Simulation Parameters
The simulation parameters are showed in Table 1.
Table 1.
Simulation parameters.
5.2. Analysis of Simulation Results
In this section, simulation results are given to verify the performance of the user power optimization scheme. We study the power allocation scheme for maximizing the energy efficiency of a symmetric multi-cell MIMO system composed of 16 square cells, in which the coverage edge of each cell is 250 m, and assume that the data communication is carried out in 3 GHz band and 20 MHz bandwidth.
In Figure 3, the relationship between power consumption and number of users (K) or the number of antennas (M) is analyzed, respectively. In Figure 4 and Figure 5, we compare the energy efficiency level of the proposed adaptive particle swarm optimization power allocation scheme with the other two power allocation schemes.
Figure 3.
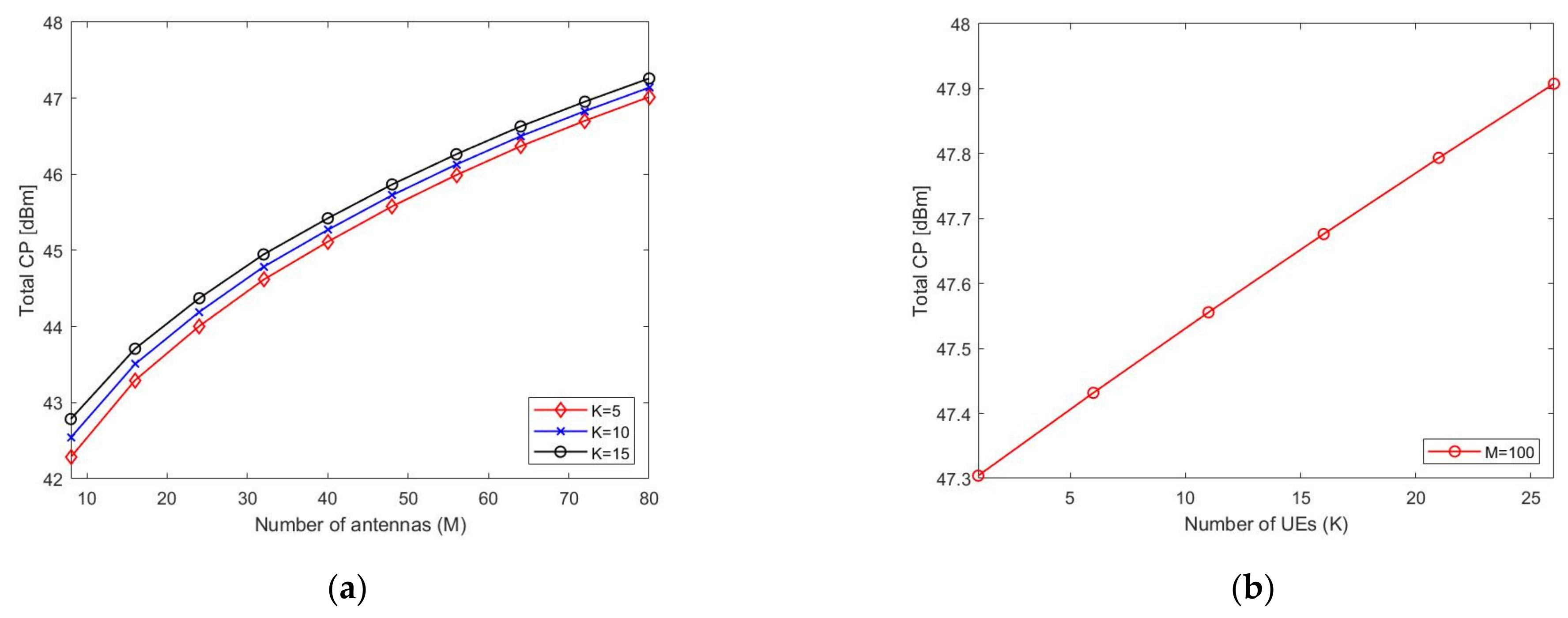
(a) Total CP for K = 5, 10, 15, and varying M; (b) Total CP for M = 100 and varying K.
Figure 4.
Graph of spectral efficiency vs. the number of base station antennas.
Figure 5.
Relationship between energy efficiency and number of base station antennas.
Figure 3 shows the variation of CP, with the number of cell users and antennas in base station. CP will increase with the increase of the number of antennas in the uplink scenario of massive MIMO system, as shown in Figure 3a. When the number of users in the cell reaches 15, the total CP increases, relative to that at 5 and 10. Therefore, we can find that the system CP will increase with the growing number of users, which can be clearly seen in Figure 3b.
Figure 4 shows the relationship between the average cell spectral efficiency of the uplink of the multi-cell massive MIMO system and number of base station antennas, when the pilot multiplexing factor F = 4 and five users are configured in each cell. Obviously, the adaptive particle swarm optimization power allocation algorithm proposed in this paper has the best performance among the three, followed by the classical water filling power algorithm, and the spectral efficiency obtained by maximizing the product of signal-to-interference noise ratio is the worst. When the number of antennas is small, the difference in spectral efficiency obtained by the particle swarm optimization power allocation and water filling power allocation algorithms is tiny. With the number of antennas growing, the advantages of the particle swarm optimization algorithm become more and more obvious. When the number of antennas reaches 80, the spectral efficiency obtained by the particle swarm optimization algorithm is 18.2 bit/s/Hz/cell, which is 20.4% higher than the spectral efficiency value of 14.6 bit/s/Hz/cell obtained by the water filling power algorithm.
Additionally, the spectral efficiency obtained by maximizing signal-to-interference noise ratio product method is only 12.8 bit/s/Hz/cell. Moreover, it can be seen from the figure that the spectral efficiency obtained by the three algorithms increases with the number of antennas, and the growth rate of spectral efficiency slows down when the number of antennas increases, to a certain extent.
Figure 5 shows the relationship between the average energy efficiency of the uplink of the multi-cell massive MIMO system and number of base station antennas, when the pilot multiplexing factor F = 4 and coherent block length is 200. We can clearly see that, among the three algorithms mentioned above, the particle swarm power allocation algorithm proposed in this paper has the best performance. With the increase of the number of antennas, the gap among the energy efficiency values obtained by the three algorithms is gradually narrowing. When the number of antennas is 8, the energy efficiency gap is the largest. The maximum energy efficiency value obtained by the adaptive particle swarm optimization algorithm proposed in this paper is 5.4 bit/J/cell, which is 22.7% higher than the 4.4 bit/J/cell of water filling power algorithm and near twice the energy efficiency value of 2.9 bit/J/cell obtained by maximizing the signal-to-interference noise ratio product method. When the number of antennas grows to 80, the difference between the energy efficiency values obtained by the particle swarm algorithm and other two classical algorithms is very small, only 0.5 and 0.7 bit/J/cell. In addition, the energy efficiency of the massive MIMO systems falls with the number of antennas. The increase in the number of antennas leads to the increase in the number of RF chains, thus generating more circuit power consumption, while the spectral efficiency increases with the number of antennas are not enough to meet the linear relationship with growing power consumption, making the system energy efficiency decrease with the number of antennas.
6. Conclusions
In this paper, we proposed a power allocation algorithm based on an adaptive particle swarm optimization algorithm. In the multi-cell, multi-user massive MIMO system, with a maximum ratio detector, the data transmission power of each user in the cell is optimized under a fixed total transmission power, in order to maximize the energy efficiency of uplink data transmission. In order to make the scheme more practical, we fully consider the channel estimation error caused by pilot contamination at the base station, as well as the impact of the static circuit power consumption of the base station and user terminal on energy efficiency. Taking the maximum power of the base station and minimum transmission rate of the user into consideration, a new power allocation algorithm is used to obtain the suboptimal solution of the original polynomial problem. Specifically, the original problem is transformed into the subtraction form of polynomial, and then the improved particle swarm optimization algorithm is elected to conduct the step-by-step iterative solution. Compared with the two classical power allocation algorithms, the performance of this one is enormously improved, without complicating the computational process.
However, the biggest disadvantage of a massive MIMO system is that the RF chains will increase with the growing number of antennas. This results in a significant increase in hardware design difficulty and energy consumption. Therefore, for a massive MIMO network, finding the optimal number of antennas configured by the base station and optimizing the RF chains of the base station have critical research value, in order to maximize energy efficiency. Note that throughput can be sacrificed to obtain the optimal energy efficiency in many special scenarios. Therefore, the compromise between energy and spectral efficiency is also of great research significance, in order to improve the overall performance of the whole system.
Author Contributions
Conceptualization, J.Z. and H.D.; data curation, J.Z. and G.L.; formal analysis, J.Z., Y.L. and H.L.; project administration, J.Z.; resources, H.D.; software, J.Z., Y.L., Z.Z. and H.L.; supervision, H.D. and G.L.; writing—original draft, J.Z. and Z.Z.; writing—review and editing, J.Z. All authors have read and agreed to the published version of the manuscript.
Funding
This research received no external funding.
Institutional Review Board Statement
Not applicable.
Informed Consent Statement
Not applicable.
Data Availability Statement
Not applicable.
Conflicts of Interest
The authors declare no conflict of interest.
References
- Wang, Z.; Yang, X.; Wan, X.; Yang, X.; Fan, Z. Energy Efficiency Optimization for Wireless Power Transfer Enabled Massive MIMO Systems WITH Hardware Impairments. IEEE Access 2019, 7, 113131–113140. [Google Scholar] [CrossRef]
- Choi, T.; Ito, M.; Kanno, I.; Gomez-Ponce, J.; Bullard, C.; Ohseki, T.; Yamazaki, K.; Molisch, A.F. Energy Efficiency of Uplink Cell-Free Massive MIMO With Transmit Power Control in Measured Propagation Channel. IEEE Open J. Circuits Syst. 2021, 2, 792–804. [Google Scholar] [CrossRef]
- Marzetta, T.L. Noncooperative Cellular Wireless with Unlimited Numbers of Base Station Antennas. IEEE Trans. Wirel. Commun. 2010, 9, 3590–3600. [Google Scholar] [CrossRef]
- You, L.; Xiong, J.; Zappone, A.; Wang, W.; Gao, X. Spectral Efficiency and Energy Efficiency Tradeoff in Massive MIMO Downlink Transmission with Statistical CSIT. IEEE Trans. Signal Process. 2020, 68, 2645–2659. [Google Scholar] [CrossRef] [Green Version]
- Björnson, E.; Larsson, E.G.; Marzetta, T.L. Massive MIMO: Ten myths and one critical question. IEEE Commun. Mag. 2016, 54, 114–123. [Google Scholar] [CrossRef] [Green Version]
- Saatlou, O.; Ahmad, M.O.; Swamy, M.N.S. Joint Data and Pilot Power Allocation for Massive MU-MIMO Downlink TDD Systems. IEEE Trans. Circuits Syst. II Express Briefs 2019, 66, 512–516. [Google Scholar] [CrossRef]
- Prasad, K.N.R.S.V.; Bhargava, V.K. Energy-efficient multi-cell massive MIMO: How many antennas should we use? In Proceedings of the 2016 IEEE International Conference on Advanced Networks and Telecommunications Systems (ANTS), Bangalore, India, 6–9 November 2016; pp. 1–6. [Google Scholar] [CrossRef]
- Dao, H.T.; Kim, S. Power Allocation for Energy Efficiency Maximization in Massive MIMO Systems. IEEE Trans. Veh. Technol. 2021, 70, 10570–10579. [Google Scholar] [CrossRef]
- Dong, G.; Zhang, H.; Jin, S.; Yuan, D. Energy-Efficiency-Oriented Joint User Association and Power Allocation in Distributed Massive MIMO Systems. IEEE Trans. Veh. Technol. 2019, 68, 5794–5808. [Google Scholar] [CrossRef]
- Salh, A.; Audah, L.; Abdullah, Q.; Shah, N.S.M.; Shipun, A.H. Energy-efficient low-complexity algorithm in 5g massive mimo systems. Comput. Mater. Contin. 2021, 67, 3189–3214. [Google Scholar] [CrossRef]
- Van Chien, T.; Canh, T.N.; Bjornson, E.; Larsson, E.G. Power Control in Cellular Massive MIMO With Varying User Activity: A Deep Learning Solution. IEEE Trans. Wirel. Commun. 2020, 19, 5732–5748. [Google Scholar] [CrossRef]
- Asaad, S.; Rabiei, A.M.; Muller, R.R. Massive MIMO With Antenna Selection: Fundamental Limits and Applications. IEEE Trans. Wirel. Commun. 2018, 17, 8502–8516. [Google Scholar] [CrossRef]
- Kennedy, J.; Eberhart, R. Particle Swarm Optimization. In Proceedings of the ICNN’95—International Conference on Neural Networks, Perth, Australia, 27 November–1 December 1995; Volume 4, pp. 1942–1948. [Google Scholar] [CrossRef]
- Purushothaman, K.E.; Nagarajan, V. Multiobjective optimization based on self-organizing Particle Swarm Optimization algorithm for massive MIMO 5G wireless network. Int. J. Commun. Systems. 2021, 34, e4725. [Google Scholar] [CrossRef]
- Knievel, C.; Hoeher, P.A. On Particle Swarm Optimization for MIMO Channel Estimation. J. Electr. Comput. Eng. 2012, 2012, 614384. [Google Scholar] [CrossRef]
- Liu, G.; Guo, W.; Li, R.; Niu, Y.; Chen, G. XG Router: High-quality global router in X-architecture with particle swarm optimization. Front. Comput. Sci. 2015, 9, 576–594. [Google Scholar] [CrossRef]
- Li, H.; Cheng, J.; Wang, Z.; Wang, H. Joint Antenna Selection and Power Allocation for an Energy-efficient Massive MIMO System. IEEE Wirel. Commun. Lett. 2019, 8, 257–260. [Google Scholar] [CrossRef]
- Yu, X.; Du, Y.; Dang, X.-Y.; Leung, S.-H.; Wang, H. Power Allocation Schemes for Uplink Massive MIMO System in the Presence of Imperfect CSI. IEEE Trans. Signal Process. 2020, 68, 5968–5982. [Google Scholar] [CrossRef]
- Li, H.; Wang, Z.; Wang, H. Power Allocation for an Energy-Efficient Massive MIMO System with Imperfect CSI. IEEE Trans. Green Commun. Netw. 2020, 4, 46–56. [Google Scholar] [CrossRef]
- Salh, A.; Audah, L.; Shah, N.S.M.; Hamzah, S.A. Mitigating Pilot Contamination for Channel Estimation in Multi-cell Massive MIMO Systems. Wirel. Pers. Commun. 2020, 112, 1643–1658. [Google Scholar] [CrossRef]
- Liu, K.; Tao, C.; Liu, L.; Liu, Y.; Li, Y.; Lu, Y. Analytical Approximation for Capacity in Massive MIMO Systems. Wirel. Pers. Commun. 2017, 97, 4551–4561. [Google Scholar] [CrossRef]
- Liu, G.; Deng, H.; Qian, X.; Wang, W.; Peng, G. Joint Pilot Allocation and Power Control to Enhance Max-Min Spectral Efficiency in TDD Massive MIMO Systems. IEEE Access 2019, 7, 149191–149201. [Google Scholar] [CrossRef]
- Shen, K.; Yu, W. Fractional Programming for Communication Systems--Part I: Power Control and Beamforming. IEEE Trans. Signal Processing 2018, 66, 2616–2630. [Google Scholar] [CrossRef] [Green Version]
Publisher’s Note: MDPI stays neutral with regard to jurisdictional claims in published maps and institutional affiliations. |
© 2022 by the authors. Licensee MDPI, Basel, Switzerland. This article is an open access article distributed under the terms and conditions of the Creative Commons Attribution (CC BY) license (https://creativecommons.org/licenses/by/4.0/).




