Abstract
This paper addresses the cooperative output tracking control problem for a class of leader-following linear heterogeneous networked multi-agent systems subject to random network delays and packet dropouts in the feedback and forward channels of each agent. A state observer is established at the plant side of each agent, and an event-triggering transmission mechanism is introduced to decide which state estimate is transmitted to the corresponding controller so as to save the network resources of the feedback channel. To further compensate for the negative effects of those random communication constraints and the event trigger, a cooperative predictive control scheme with proportional and integral actions is proposed. Then, a necessary and sufficient condition is derived for the stability of the resulting closed-loop system. Finally, simulation results are given to show the effectiveness of the proposed scheme.
1. Introduction
In the last few decades, the cooperative control of networked multi-agent systems (NMASs) composed of multiple agents communicating with each other through networks has a very wide practical application in various fields, for example, satellite formation [1], multiple unmanned aerial vehicles [2], and mobile robots [3]. For example, in [3], multiple robots communicate through a connected undirected graph and then achieve a formation control to track a trajectory gradually. Most existing works focused on the cooperative output control of NMASs under ideal communication conditions [4,5,6,7,8]. However, in practical applications, the introduction of networks inevitably leads to communication constraints between multiple agents and within agents, such as random network delays and packet dropouts [9,10]. These communication constraints can not only affect system control performance but also seriously damage the closed-loop stability of NMASs.
Therefore, several control methods have been presented to deal with these communication constraints, such as the time-delay system method [11,12], robust control method [13], and stochastic control method [14]. In addition to the methods mentioned above, networked predictive control (NPC) is an effective approach to actively compensate for network communication constraints [15,16,17,18,19,20,21,22]. Furthermore, with accurate models of controlled plants, NPC methods can obtain almost the same control performance as that of the case without communication constraints. In [15,16,17,18,19,20,21], the output consensus problems of NMASs were investigated, where network delays were assumed to be constant. In [22], only random communication constraints in the feedback channel of each agent were considered. However, in practice, network delays and packet dropouts occur randomly due to bandwidth limitation and network congestion, and they also generally exist in both the feedback and forward channels, which thus motivate this study.
In addition, for NPC methods of NMASs in [15,16,17,18,19,20,21,22], a state observer is usually established and placed at the controller side of each agent, which thus needs to transmit a packet composed of multiple system outputs at the current time instant and previous time instants to the controller through the feedback channel of each agent. Moreover, due to the use of the time-triggered transmission mechanism, such a packet is needed to be sent at every sampling instant. These two factors would consume more network resources and thus further aggravate network congestion. In order to reduce the data transmission times in the feedback channel of each agent, an event-triggering mode is an alternative choice [23,24]. Especially in [25,26,27,28], the cooperative control problems for NMASs based on dynamic event triggering strategies were studied.
Therefore, in this paper, an event-triggered networked predictive control method is proposed for the cooperative output tracking problem of a linear heterogeneous NMAS with random network delays and packet dropouts in the feedback and forward channels of each agent. The main contributions of this paper are summarized as follows.
- (i)
- An event-triggering transmission mechanism is introduced in the feedback channel of each agent to reduce data transmission times. Furthermore, the state observer is placed at the plant side of each agent, and thus, only a single state estimate is needed to be transmitted to the controller. The effect of the network on the state estimates is eliminated.
- (ii)
- A novel cooperative output tracking predictive control protocol with proportional and integral actions is designed, where predicted system estimate increments and output tracking errors are used, and a necessary and sufficient condition is obtained for the stability of the resulting closed-loop system.
- (iii)
- Numerical simulation is carried out for an NMAS consisting of three DC motor systems, and four cases of simulation results are provided and compared, which illustrate the effectiveness of the proposed control scheme.
Notation 1.
and represent the n-dimensional Euclidean space and the set of real matrices with dimension , respectively. The superscript “T” stands for the transposition of a matrix. denotes a diagonal matrix.
2. Control Scheme
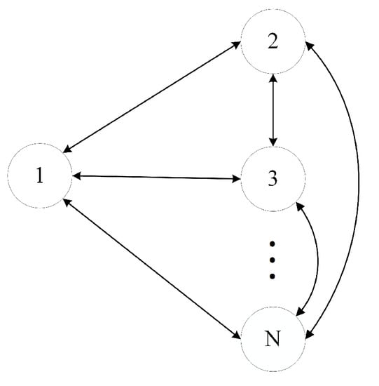
In NMASs, graph theory is generally used as a tool to analyze them, and the communication topology between NMASs can be modeled as a directed graph , in which each agent is seen as a node. The symbol represents a collection of all nodes, the symbol denotes the communication channel between nodes i and j, and the symbol is the adjacency matrix of P, where if agent i can receive the data from agent j; otherwise, .
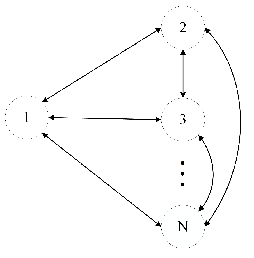
A leader-following linear heterogeneous NMAS is considered, which consists of one leader agent and following agents. The communication topology of the system is symmetric and shown in Figure 1. Each agent is a linear discrete-time system as follows:
where , , and are the system state, control input, and system output of agent i, respectively; , , and are matrices with suitable dimensions; is the mark of agents. It is assumed that is controllable, and is observable. Agent 1 and the remaining agents are defined as the leader agent and the following agents, respectively.
Figure 1.
Communication topology.
Suppose that there exist random network delays and packet dropouts in the feedback (sensor-to-controller) and forward (controller-to-actuator) channels of each agent. It is assumed that the sensor, controller, and actuator of each agent system are time-driven and synchronous, and the packets transmit through networks with timestamps. By using the way described in [29], the two-channel network delays and packet dropouts are uniformly treated as random time delays of each channel, which are denoted by and , respectively. It is assumed that and , where and are all positive integers. Our purpose is to track the reference signal and make the output tracking error of each agent , where
where is the reference signal of the leader agent.
To achieve the aforementioned purpose, an event-triggered networked cooperative predictive control scheme is designed, as shown in Figure 2. The state observer is performed as
where is the observer gain to be determined, and it can be designed by the pole assignment method.
Figure 2.
Event-triggered networked cooperative predictive control.
For the sake of the reduction of unnecessary packet transmission in the feedback channel, an event-triggered mechanism is used, and the triggering condition is given as
where is the last triggering instant of agent i, denotes , is a scalar, and is a positive definite matrix. Furthermore, in order to avoid the case that the trigger is not triggered for a long time, it is required that , where is the maximum triggering interval. When condition (5) is satisfied, the state estimate is transmitted to the predictive controller via the feedback channel; otherwise, is not transmitted so as to save network resources. It is obvious that an additional time delay will be introduced by the event trigger, which is denoted by . The total time delay in the feedback channel is defined as , where , and with .
In the predictive controller, when the delayed state estimate is received, the predictions of the system state can be obtained based on (1):
for with . Then, the prediction of the output tracking error is obtained based on (2) as
where
Then, the following incremental control law is designed:
where and are controller gain matrices, and . Thus, the future control input at time is
In order to compensate the random time delays in the feedback and forward channels of each agent, at each time instant, the predictive controller sends the control prediction sequence and its timestamp to the actuator. Based on the latest control prediction sequence available in the actuator, the -th control signal is applied to the controlled plant.
Remark 1.
The first novelty of this paper is that two-channel random communication constraints of each agent are considered simultaneously, and then, they are separately compensated according to their different features (see (6)). That is, the feedback channel delay , including the adverse effect of the event trigger introduced, can be accurately obtained in the predictive controller and thus is real-time compensated. Since the forward channel delay cannot be calculated in advance, it is compensated according to its upper bound.
Remark 2.
The second novelty of this paper lies in the design of cooperative control protocol (10). It is easy to see that the first term of (10) is used to make track and track , and the second term is used to achieve the cooperative output consensus of the NMAS. Furthermore, with the usage of , the control law is the combination of proportional and integral actions.
Remark 3.
The selection of is determined by the precision of the available model of each agent. In practice, a certain plant–model mismatch is inevitable. It can be seen from (6) that with the plant–model mismatch, a large delay would lead to a large state prediction error and then affect the system performance. In the total delay , only the impact of the event trigger, i.e., , can be tuned as needed by choosing . Therefore, considering the trade-off of saving network resource and prediction accuracy, a large value of can be chosen for a high model accuracy and vice versa.
3. Stability Analysis
In this section, the stability of the closed-loop NMAS is analyzed. Without loss of generality, let the reference signal .
It is obtained from (6) that
where , , and . It follows from (1) that
Subtracting (14) from (15) yields
By subtracting (7) from (2), we obtain
From (10), we have
From (1) and (2), we get
where
From (19), (20), and (21), we have
where
For , substituting (22) into the first equation of (23) gives
where , and . Substituting (26) into the second equation of (23) leads to
From (29), we know that the matrix is an upper triangular matrix, where time-varying matrix is not related to the stability of the closed-loop system and thus is omitted here. Therefore, we have the following theorem.
Theorem 1.
The closed-loop NMAS (29) is asymptotically stable if and only if the eigenvalues of the matricesandare within the unit circle.
4. Simulation Results
In this section, we use the actual models of three DC motor systems for numerical simulation to verify the effectiveness of the proposed method. The sampling period of the three motor systems is , and the model parameters are identified as follows:
Using the pole assignment method, the gain matrices of the observer (4) for the three motors respectively are
The controller gain matrices in (10) are chosen as
The communication topology is deployed with . In addition, random network delays in the feedback and forward channels are chosen as and . The parameters of the three event triggers are given as , , , , and .
For comparison, the following four simulation cases are considered.
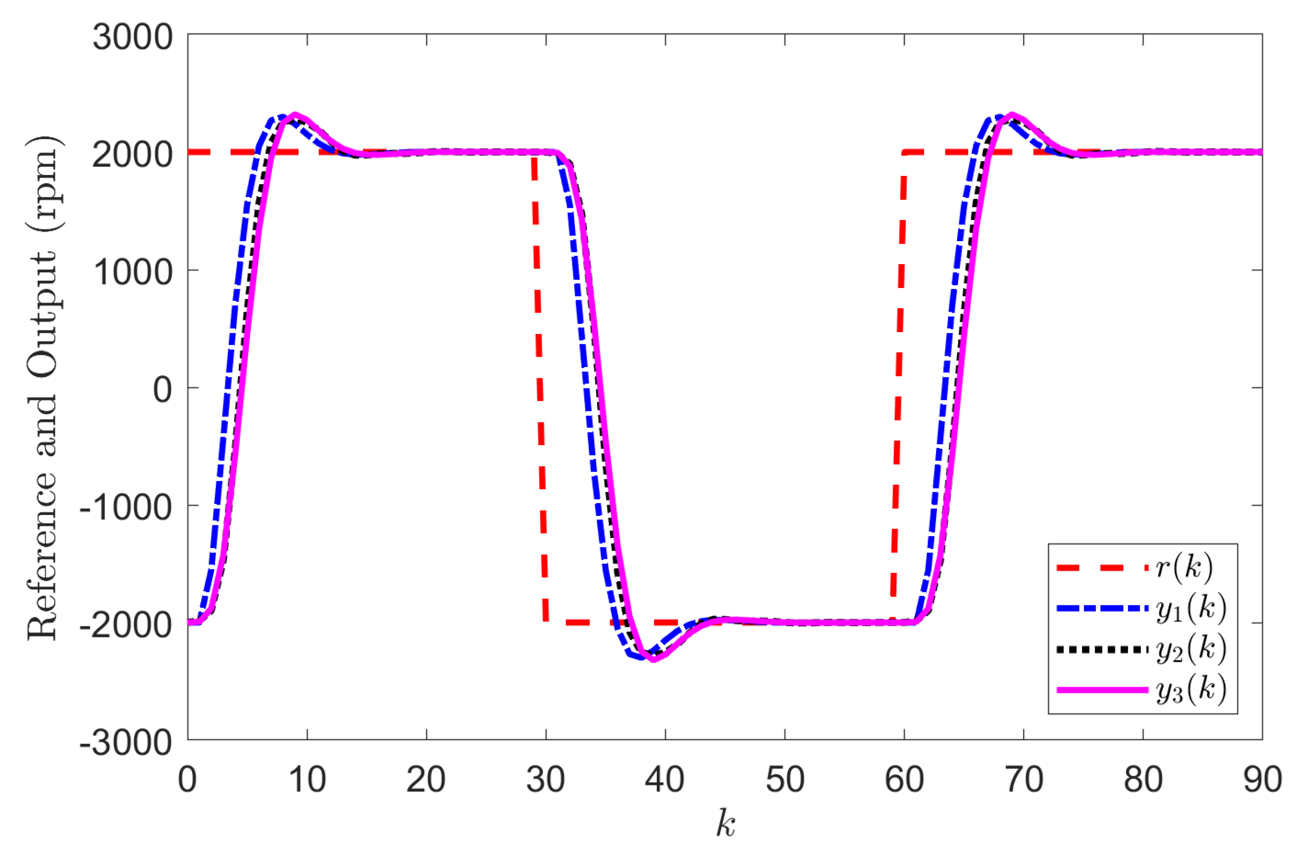
Case 1 (without delays): In this case, the communication in the NMAS is ideal, and the event trigger is not used. The simulation result is shown in Figure 3. It can be seen from Figure 3 that all the three motors have good output tracking control performance.
Figure 3.
Simulation result of Case 1.
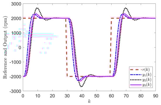
Case 2 (with delays but without compensation): In this case, random network delays and are considered, but the proposed delay compensation scheme is not used. The simulation result is given in Figure 4. It is clear from Figure 4 that the random network delays lead to the instability of the closed-loop NMAS.
Figure 4.
Simulation result of Case 2.
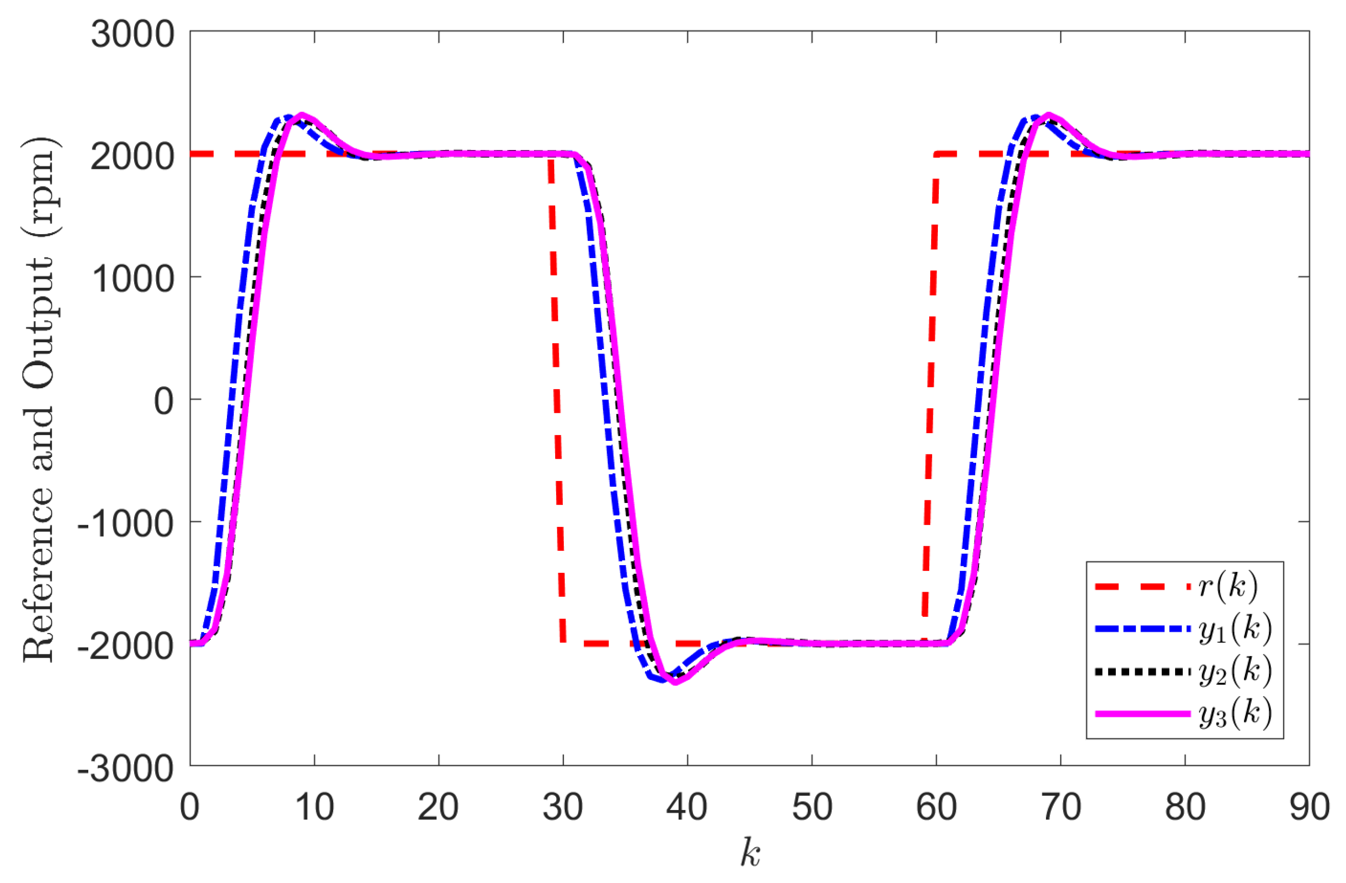
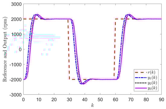
Case 3 (with delays and with compensation): This case considers the same random network delays as in Case 2, and they are actively compensated by the proposed scheme. The simulation result is shown in Figure 5. It can be seen that from Figure 5 that the control performance is greatly improved compared with Figure 4, which even approaches the performance of local control case without network delays in Case 1. Furthermore, zero steady-state output tracking errors are also achieved.
Figure 5.
Simulation result of Case 3.
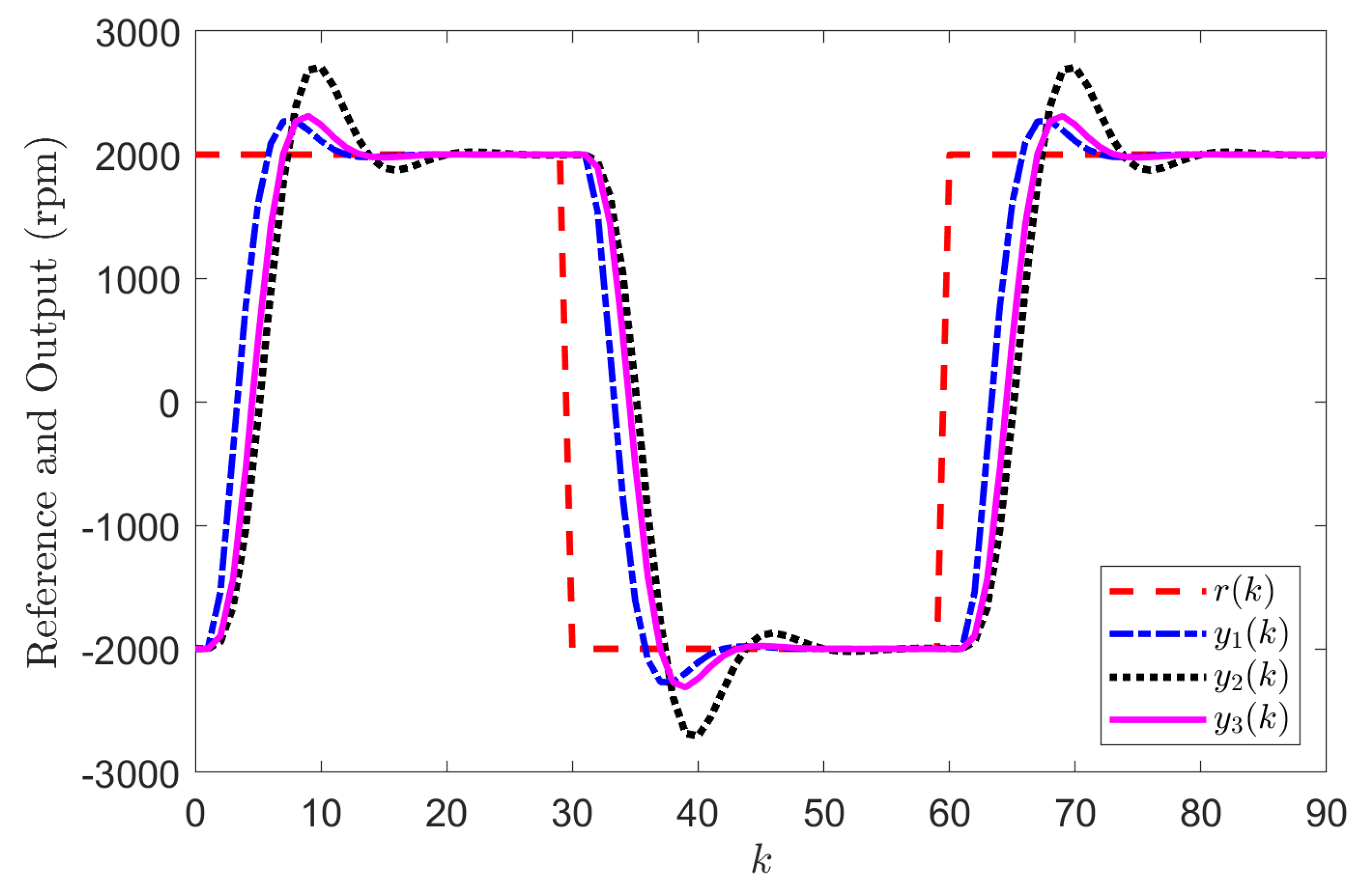
Case 4 (with delays and compensation but without coordination): In this case, the same network environment as in Cases 2 and 3 is considered, and the proposed compensation scheme is used, but the second term of the control law (10) is not used, i.e., . The output responses of the three motors are shown in Figure 6. It is obvious that agents 2 and 3 have poor coordination performance.
Figure 6.
Simulation result of Case 4.
To show the effect of the event trigger, the network delay and the total time delay in the feedback channel, i.e., and , are given in Figure 7, and the triggering instants are shown in Figure 8 for the simulation result of the proposed method in Figure 5, where “1(0)” means that the event trigger is (not) triggered. It can be seen from Figure 8 that among the 90 sampling instants, the event triggers of agents 1, 2, and 3 are triggered 24 times and 66 packets are not transmitted, which leads to the total time delay far greater than the original network delays (see Figure 7), but the cooperative output tracking performance is not affected under the proposed compensation scheme. Furthermore, since a large amount of packets are not transmitted, the network resources of the NMAS are largely saved.
Figure 7.
and for .
Figure 8.
Triggering instants of motors 1, 2, and 3.
5. Conclusions
In this paper, an event-triggered cooperative output tracking predictive control scheme has been proposed for a class of linear heterogeneous NMASs with random network delays and packet dropouts in both the feedback and forward channels of each agent, and these communication constraints can be actively compensated. At the same time, the introduction of an event-triggering transmission mechanism and a state observer placed at the plant side have greatly saved the network resources of each feedback channel. The effectiveness of the proposed scheme has been demonstrated by the simulation results of cooperative control of three motor systems. In our future work, the secure control issues of NMASs subject to sensor/actuator faults and cyber attacks as well as random communication constraints will be further investigated [30,31,32,33], although they are more challenging.
Author Contributions
Conceptualization, C.L.; Formal analysis, T.D.; Funding acquisition, Z.P.; Investigation, T.D. and C.L.; Methodology, Z.P.; Supervision, Z.P. and C.L.; Validation, T.D. and C.Z.; Visualization, C.Z.; Writing—original draft, T.D.; Writing—review & editing, Z.P. All authors have read and agreed to the published version of the manuscript.
Funding
This research was funded by National Natural Science Foundation of China under Grant 62173002, Beijing Natural Science Foundation under Grant 4222045, Youth Talent Support Program of Beijing Municipality, and NCUT Yujie Talent Training Program.
Institutional Review Board Statement
Not applicable.
Informed Consent Statement
Not applicable.
Data Availability Statement
Not applicable.
Conflicts of Interest
The authors declare no conflict of interest.
References
- Liu, G.-P.; Zhang, S. A survey on formation control of small satellites. Proc. IEEE 2018, 106, 440–457. [Google Scholar] [CrossRef]
- Liu, Y.; Montenbruck, J.M.; Zelazo, D.; Odelga, M.; Rajappa, S.; Bülthoff, H.H.; Allgöwer, F. A distributed control approach to formation balancing and maneuvering of multiple multirotor UAVs. IEEE Trans. Rob. 2018, 34, 870–882. [Google Scholar] [CrossRef]
- Saradagi, A.; Muralidharan, V.; Krishnan, V.; Menta, S.; Mahindrakar, A.D. Formation control and trajectory tracking of nonholonomic mobile robots. IEEE Trans. Control Syst. Technol. 2018, 26, 2250–2258. [Google Scholar] [CrossRef]
- Su, Y. Output feedback cooperative control for linear uncertain multiagent systems with nonidentical relative degrees. IEEE Trans. Autom. Control 2016, 61, 4027–4033. [Google Scholar] [CrossRef]
- Liu, T.; Huang, J. Adaptive cooperative output regulation of discrete-time linear multi-agent systems by a distributed feedback control law. IEEE Trans. Autom. Control 2018, 63, 4383–4390. [Google Scholar] [CrossRef]
- Han, T.; Zheng, W.X. Bipartite output consensus for heterogeneous multi-agent systems via output regulation approach. IEEE Trans. Circuits Syst. II Express Briefs 2021, 68, 281–285. [Google Scholar] [CrossRef]
- Pang, Z.-H.; Zheng, C.-B.; Sun, J.; Han, Q.-L.; Liu, G.-P. Distance-and velocity-based collision avoidance for time-varying formation control of second-order multi-agent systems. IEEE Trans. Circuits Syst. II Express Briefs 2021, 68, 1253–1257. [Google Scholar] [CrossRef]
- Hong, H.; Wang, H. Fixed-time formation control for second-order disturbed multi-agent systems under directed graph. Symmetry 2021, 13, 2295. [Google Scholar] [CrossRef]
- Liu, G.-P. Coordinated control of networked multiagent systems via distributed cloud computing using multistep state predictors. IEEE Trans. Cybern. 2022, 52, 810–820. [Google Scholar] [CrossRef] [PubMed]
- Pang, Z.-H.; Zheng, C.-B.; Li, C.; Liu, G.-P.; Han, Q.-L. Cloud-based time-varying formation predictive control of multi-agent systems with random communication constraints and quantized signals. IEEE Trans. Circuits Syst. II Express Briefs 2021. [Google Scholar] [CrossRef]
- Liu, Z.; Yan, W.; Li, H.; Small, M. Cooperative output regulation problem of multi-agent systems with stochastic packet dropout and time-varying communication delay. J. Franklin Inst. 2018, 355, 8664–8682. [Google Scholar] [CrossRef]
- Yang, Y.; Zhang, X.-M.; He, W.; Han, Q.-L.; Peng, C. Sampled-position states based consensus of networked multi-agent systems with second-order dynamics subject to communication delays. Inf. Sci. 2020, 509, 36–46. [Google Scholar] [CrossRef]
- Shariati, A.; Zhao, Q. Robust leader-following output regulation of uncertain multi-agent systems with time-varying delay. IEEE/CAA J. Autom. Sin. 2018, 5, 807–817. [Google Scholar] [CrossRef]
- Ma, L.; Wang, Y.-L.; Han, Q.-L. H∞ cluster formation control of networked multiagent systems with stochastic sampling. IEEE Trans. Cybern. 2021, 51, 5761–5772. [Google Scholar] [CrossRef]
- Liu, G.-P. Predictive control of networked multiagent systems via cloud computing. IEEE Trans. Cybern. 2017, 47, 1852–1859. [Google Scholar] [CrossRef]
- An, B.-R.; Liu, G.-P.; Tan, C. Group consensus control for networked multi-agent systems with communication delays. ISA Trans. 2018, 76, 78–87. [Google Scholar] [CrossRef] [PubMed]
- Tan, C.; Yin, X.; Liu, G.-P.; Huang, J.; Zhao, Y.-B. Prediction-based approach to output consensus of heterogeneous multi-agent systems with delays. IET Control Theory Appl. 2018, 12, 20–28. [Google Scholar] [CrossRef] [Green Version]
- Liu, Z.-Q.; Wang, Y.-L.; Wang, T.-B. Incremental predictive control-based output consensus of networked unmanned surface vehicle formation systems. Inf. Sci. 2018, 457, 166–181. [Google Scholar] [CrossRef]
- Tan, C.; Yue, L.; Li, Y.; Liu, G.-P. Group consensus control for discrete-time heterogeneous multi-agent systems with time delays. Neurocomputing 2020, 392, 70–85. [Google Scholar] [CrossRef]
- Chen, D.-L.; Liu, G.-P. A networked predictive controller for linear multi-agent systems with communication time delays. J. Frankl. Inst. 2020, 357, 9442–9446. [Google Scholar] [CrossRef]
- Yang, H.; Ju, S.; Xia, Y.; Zhang, J. Predictive cloud control for networked multiagent systems with quantized signals under doS attacks. IEEE Trans. Syst. Man Cybern. Syst. 2021, 51, 1345–1353. [Google Scholar] [CrossRef]
- Pang, Z.-H.; Luo, W.-C.; Liu, G.-P.; Han, Q.-L. Observer-based incremental predictive control of networked multi-agent systems with random delays and packet dropouts. IEEE Trans. Circuits Syst. II Express Briefs 2021, 68, 426–430. [Google Scholar] [CrossRef]
- Qi, W.; Zong, G.; Zheng, W. Adaptive event-triggered SMC for stochastic switching systems with semi-Markov process and application to boost converter circuit model. IEEE Trans. Circuits Syst. I Regul. Pap. 2021, 68, 786–796. [Google Scholar] [CrossRef]
- Jin, Y.; Qi, W.; Zong, G. Finite-time synchronization of delayed semi-Markov neural networks with dynamic event-triggered scheme. Int. J. Control Autom. Syst. 2021, 19, 2297–2308. [Google Scholar] [CrossRef]
- Nowzari, C.; Garcia, E.; Cortés, J. Event-triggered communication and control of networked systems for multi-agent consensus. Automatica 2019, 105, 1–27. [Google Scholar] [CrossRef] [Green Version]
- Yi, X.; Liu, K.; Dimarogonas, D.V.; Johansson, K.H. Dynamic event-triggered and self-triggered control for multi-agent systems. IEEE Trans. Autom. Control 2019, 64, 3300–3307. [Google Scholar] [CrossRef]
- He, W.; Xu, B.; Han, Q.-L.; Qian, F. Adaptive consensus control of linear multiagent systems with dynamic event-triggered strategies. IEEE Trans. Cybern. 2020, 50, 2996–3008. [Google Scholar] [CrossRef] [PubMed]
- Hu, W.; Yang, C.; Huang, T.; Gui, W. A distributed dynamic event-triggered control approach to consensus of linear multiagent systems with directed networks. IEEE Trans. Cybern. 2020, 50, 869–874. [Google Scholar] [CrossRef]
- Pang, Z.; Bai, C.; Liu, G.; Han, Q.; Zhang, X. A novel networked predictive control method for systems with random communication constraints. J. Syst. Sci. Complex. 2021, 34, 1364–1378. [Google Scholar] [CrossRef]
- Pang, Z.-H.; Xia, C.-G.; Zhai, W.-F.; Liu, G.-P.; Han, Q.-L. Networked active fault-tolerant predictive control for systems with random communication constraints and actuator/sensor faults. IEEE Trans. Circuits Syst. II Express Briefs 2021. [Google Scholar] [CrossRef]
- Pang, Z.-H.; Fan, L.-Z.; Sun, J.; Liu, K.; Liu, G.-P. Detection of stealthy false data injection attacks against networked control systems via active data modification. Inf. Sci. 2021, 546, 192–205. [Google Scholar] [CrossRef]
- Pang, Z.-H.; Fan, L.-Z.; Dong, Z.; Han, Q.-L.; Liu, G.-P. False data injection attacks against partial sensor measurements of networked control systems. IEEE Trans. Circuits Syst. II Express Briefs 2022, 69, 149–153. [Google Scholar] [CrossRef]
- Mustafa, A.; Modares, H. Attack analysis and resilient control design for discrete-time distributed multi-agent systems. IEEE Rob. Autom. Lett. 2020, 5, 369–376. [Google Scholar] [CrossRef]
Publisher’s Note: MDPI stays neutral with regard to jurisdictional claims in published maps and institutional affiliations. |
© 2022 by the authors. Licensee MDPI, Basel, Switzerland. This article is an open access article distributed under the terms and conditions of the Creative Commons Attribution (CC BY) license (https://creativecommons.org/licenses/by/4.0/).







