Symmetries of Thirring Models on 3D Lattices
Abstract
1. Introduction
2. Symmetries of Fermi Systems
- Charge conjugation:
- Parity:
2.1. Even Dimension
2.2. Odd Dimensions
2.3. Fierz-Identities
- One-flavor models in two and three dimensions: The hermitian matrices have determinant −1 and we concludeIt follows that the one-flavor Thirring model is equivalent to the one-flavor Gross–Neveu (GN) model. Thus the latter is not only invariant under but also under the larger symmetry group .
- A comparable simple relation does not exist for or . For example, the general Fierz identity in 3 dimensions implies that, for irreducible flavors,This means that the Thirring interaction is converted into a GN interaction plus a tensor-tensor coupling.
2.4. Hubbard–Stratonovich Transformation
3. Critical Flavor Number of 3D Thirring Models
Small and Large- Limit
4. Lattice Simulations with Chiral SLAC Derivative
- calculate the critical coupling of -theory to high precision [27];
- obtain an accurate value for the step scaling function in the two-dimensional nonlinear O(3) model;
SLAC Derivative
5. Dual Formulation and Effective Potentials
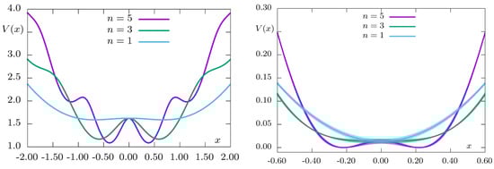
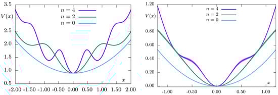
5.1. Effective Potential versus Condensates
5.2. Spontaneous Symmetry Breaking of Parity for Odd
5.3. Special Case:
5.4. No Spontaneous Symmetry Breaking for Any Even or
6. Banks–Casher Relations
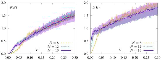
7. Spectrum of Low-Lying States
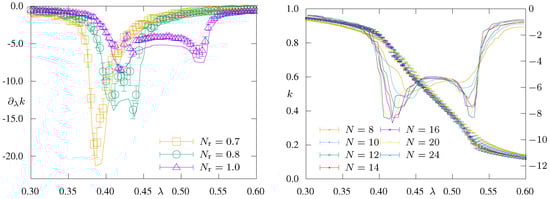
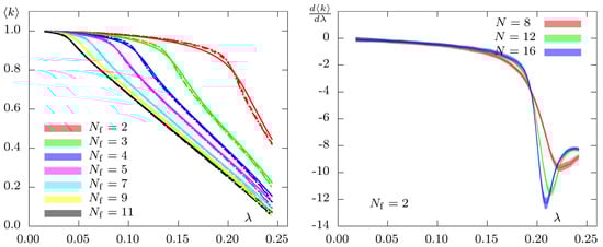
8. Estimating the Critical Flavor Number
9. Summary
Author Contributions
Funding
Acknowledgments
Conflicts of Interest
References
- Thirring, W. A soluble relativistic field theory. Ann. Phys. 1958, 3, 91–112. [Google Scholar] [CrossRef]
- Klaiber, B. The Thirring model. In Boulder 1967; Lecture notes in Physics XA; Gordon and Breach: New York, NY, USA, 1968. [Google Scholar]
- Sachs, I.; Wipf, A. Generalized Thirring models. Ann. Phys. 1996, 249, 380–429. [Google Scholar] [CrossRef][Green Version]
- Gies, H.; Janssen, L. UV fixed-point structure of the three-dimensional Thirring model. Phys. Rev. D 2010, 82, 085018. [Google Scholar] [CrossRef]
- Wipf, A. Statistical Approach to Quantum Field Theory, 2nd ed.; Lecture Notes in Physics; Springer: Berlin/Heidelberg, Germany, 2021. [Google Scholar]
- Gehring, F.; Gies, H.; Janssen, L. Fixed-point structure of low-dimensional relativistic fermion field theories: Universality classes and emergent symmetry. Phys. Rev. D 2015, 92, 085046. [Google Scholar] [CrossRef]
- Senechal, D.; Tremblay, A.M.; Bourbonnais, C. (Eds.) Theoretical Methods for Strongly Correlated Electrons; CMR Series in Mathematical Physics; Springer: New York, NY, USA, 2013. [Google Scholar]
- Troyer, M.; Wiese, U.J. Computational Complexity and Fundamental Limitations to Fermionic Quantum Monte Carlo Simulations. Phys. Rev. Lett. 2005, 94, 170201. [Google Scholar] [CrossRef]
- Hoefling, F.; Nowak, C.; Wetterich, C. Phase transition and critical behaviour of the d = 3 Gross-Neveu model. Phys. Rev. B 2002, 66, 205111. [Google Scholar] [CrossRef]
- Gomes, M.; Mendes, R.S.; Ribeiro, R.F.; da Silva, A.J. Gauge structure, anomalies, and mass generation in a three-dimensional Thirring model. Phys. Rev. D 1991, 43, 3516. [Google Scholar] [CrossRef]
- Hong, D.K.; Park, S.H. Large-N analysis of (2+1)-dimensional Thirring model. Phys. Rev. D 1994, 49, 5507. [Google Scholar] [CrossRef]
- Itoh, T.; Kim, Y.; Sugiura, M.; Yamawaki, K. Thirring model as a gauge theory. Progr. Theor. Phys. 1995, 93, 417–439. [Google Scholar] [CrossRef]
- Sugiura, M. Fermion mass generation in the d-dimensional Thirring models as a gauge theory. Progr. Theor. Phys. 1997, 97, 311–326. [Google Scholar] [CrossRef]
- Kondo, K.-I. Thirring model as a gauge theory. Nucl. Phys. B 1995, 450, 251–266. [Google Scholar] [CrossRef]
- Ahn, Y.M.; Park, Q.H. Spontaneous breaking of generalized parity in 2+1-dimensional four-Fermi interactions. J. Korean Phys. Soc. 1998, 33, 655–658. [Google Scholar]
- Hyun, S.J.; Lee, G.H.; Yee, J.H. Gaussian approximation of the (2+1) dimensional Thirring model in the functional Schrödinger picture. Phys. Rev. D 1994, 50, 6542. [Google Scholar] [CrossRef] [PubMed]
- Janssen, L.; Gies, H. Critical behavior of the (2+1)-dimensional Thirring model. Phys. Rev. D 2012, 86, 105007. [Google Scholar] [CrossRef]
- Dabelow, L.; Gies, H.; Knorr, B. Momentum dependence of quantum critical Dirac systems. Phys. Rev. D 2019, 99, 125019. [Google Scholar] [CrossRef]
- del Debbio, L.; Hands, S.J.; Mehegan, J.C. The three dimensional Thirring model for small Nf. Nucl. Phys. B 1997, 502, 269–308. [Google Scholar] [CrossRef]
- del Debbio, L.; Hands, S.J. The three-dimensional Thirring model for Nf = 4 and Nf = 6. Nucl. Phys. B 1999, 552, 339–362. [Google Scholar] [CrossRef]
- Hands, S.; Lucini, B. The phase diagram of the three dimensional Thirring model. Phys. Lett. B 1999, 461, 263–269. [Google Scholar] [CrossRef][Green Version]
- Christofi, S.; Hands, S.; Strouthos, C. Critical flavor number in the three dimensional Thirring model. Phys. Rev. D 2007, 75, 101701. [Google Scholar] [CrossRef]
- Wellegehausen, B.; Schmidt, D.; Wipf, A. Critical flavour number of the Thirring model in three dimensions. Phys. Rev. D 2017, 96, 094504. [Google Scholar] [CrossRef]
- Lenz, J.J.; Wipf, A.; Wellegehausen, B. Absence of chiral symmetry breaking in Thirring models in 1 + 2 dimensions. Phys. Rev. D 2019, 100, 054501. [Google Scholar] [CrossRef]
- Hands, S. Critical flavor number in the 2 + 1D Thirring model. Phys. Rev. D 2019, 99, 034504. [Google Scholar] [CrossRef]
- Hands, S.; Mesiti, M.; Worthy, J. Critical behavior in the single flavor Thirring model in 2 + 1D. Phys. Rev. D 2020, 102, 094502. [Google Scholar] [CrossRef]
- Wozar, C.; Wipf, A. Supersymmetry breaking in low dimensional models. Ann. Phys. 2012, 327, 774–807. [Google Scholar] [CrossRef]
- Bergner, G.; Kaestner, T.; Uhlmann, S.; Wipf, A. Low-dimensional supersymmetric lattice models. Ann. Phys. 2008, 323, 946–988. [Google Scholar] [CrossRef]
- Schmidt, D. Three-Dimensional Four-Fermion Theories with Exact Chiral Symmetry on the Lattice. Ph.D. Thesis, Friedrich-Schiller-University Jena, Jena, Germany, 2018. [Google Scholar] [CrossRef]
- Lang, T.C.; Läuchli, A.M. Quantum Monte Carlo Simulation of the Chiral Heisenberg Gross-Neveu-Yukawa Phase Transition with a Single Dirac Cone. Phys. Rev. Lett. 2019, 123, 137602. [Google Scholar] [CrossRef]
- Lenz, J.; Pannullo, L.; Wagner, M.; Wellegehausen, B.; Wipf, A. Inhomogeneous phases in the Gross-Neveu model in 1 + 1 dimensions. Phys. Rev. D 2020, 101, 094512. [Google Scholar] [CrossRef]
- Lenz, J.; Mandl, M.; Wipf, A. Inhomogeneities in the 2-Flavor Chiral Gross-Neveu Model. arXiv 2021, arXiv:2109.05525. [Google Scholar]
- Karsten, L.H.; Smit, J. The vacuum polarization with SLAC lattice fermions. Phys. Lett. B 1979, 85, 100–102. [Google Scholar] [CrossRef]
- Hanada, M.; Nishimura, J.; Takeuchi, S. Non-lattice simulation for supersymmetric gauge theories in one dimension. Phys. Rev. Lett. 2007, 99, 161602. [Google Scholar] [CrossRef]
- Chandrasekharan, S. Fermion bag approach to lattice field theories. Phys. Rev. D 2010, 82, 025007. [Google Scholar] [CrossRef]
- Lenz, J.J. Spontaneous Symmetry Breaking in Four Fermion Theories. Master’s Thesis, Friedrich-Schiller-University Jena, Jena, Germany, 2018. Available online: http://www.tpi.uni-jena.de/qfphysics/homepage/wipf/theses.html (accessed on 22 December 2021).
- Haldane, F.D.M. Model for a Quantum Hall Effect without Landau Levels: Condensed-Matter Realization of the “Parity Anomaly”. Phys. Rev. Lett. 1988, 61, 2015. [Google Scholar] [CrossRef] [PubMed]
- Verbaarschot, J.J.M.; Wettig, T. Random Matrix Theory and Chiral Symmetry in QCD. Ann. Rev. Nucl. Part. Sci. 2000, 50, 343–410. [Google Scholar] [CrossRef]
- Catterall, S.; Schaich, D. Novel phases in strongly coupled four-fermion theories. Phys. Rev. D 2017, 96, 034506. [Google Scholar] [CrossRef]
- Hands, S.; Mesiti, M.; Worthy, J. Critical Behaviour in the Single Flavor Planar Thirring Model. In Proceedings of the 38th International Symposium on Lattice Field Theory, Virtual Conference, Cambridge, MA, USA, 26–30 July 2021. [Google Scholar]









| Method | References | Years | ||
|---|---|---|---|---|
| SD equations | [10] | 1991 | ||
| ∞ | [11] | 1994 | ||
| [12,13] | 1995, 1997 | |||
| -expansion | [14] | 1995 | ||
| <3 | [15] | 1998 | ||
| Gaussian approximation | ∞ | ∞ | [16] | 1994 |
| FRG | [17] | 2012 | ||
| ⪅2 | [18] | 2019 | ||
| lattice (staggered) | [19,20] | 1997, 1999 | ||
| [21,22] | 1999, 2007 | |||
| lattice (slac) | ⪅9 odd | [23,24] | 2017, 2019 | |
| lattice (domain wall) | [25,26] | 2018, 2020 |
| N | 5 | 7 | 9 | 11 | |
|---|---|---|---|---|---|
| 8 | 0.098(2) | 0.073(2) | 0.058(2) | 0.048(2) | |
| 12 | 0.094(3) | 0.068(2) | 0.054(2) | 0.046(2) | |
| 16 | 0.091(2) | 0.068(2) | 0.054(2) | 0.046(2) |
| C | Symm. | |||
|---|---|---|---|---|
| U(2) | ||||
| U(1)× U(1) | ||||
Publisher’s Note: MDPI stays neutral with regard to jurisdictional claims in published maps and institutional affiliations. |
© 2022 by the authors. Licensee MDPI, Basel, Switzerland. This article is an open access article distributed under the terms and conditions of the Creative Commons Attribution (CC BY) license (https://creativecommons.org/licenses/by/4.0/).
Share and Cite
Wipf, A.W.; Lenz, J.J. Symmetries of Thirring Models on 3D Lattices. Symmetry 2022, 14, 333. https://doi.org/10.3390/sym14020333
Wipf AW, Lenz JJ. Symmetries of Thirring Models on 3D Lattices. Symmetry. 2022; 14(2):333. https://doi.org/10.3390/sym14020333
Chicago/Turabian StyleWipf, Andreas W., and Julian J. Lenz. 2022. "Symmetries of Thirring Models on 3D Lattices" Symmetry 14, no. 2: 333. https://doi.org/10.3390/sym14020333
APA StyleWipf, A. W., & Lenz, J. J. (2022). Symmetries of Thirring Models on 3D Lattices. Symmetry, 14(2), 333. https://doi.org/10.3390/sym14020333

