Spin Symmetry Breaking: Superparamagnetic and Spin Glass-Like Behavior Observed in Rod-Like Liquid Crystalline Organic Compounds Contacting Nitroxide Radical Spins
Abstract
1. Introduction
2. Super-Para-Magnetism
3. Spin Glass
3.1. What Is a Spin Glass?—General Experimental Features
- Long-time scale dynamics.
- AC magnetic susceptibility sensitive to the frequency of the external magnetic fields near the spin freezing temperature.
- A broad peak in magnetic specific heat around the spin freezing temperature.
3.2. Theoretical Key Ingredients in Canonical SGs
3.3. Character of the Magnetism
3.3.1. Hysteresis
3.3.2. Impurity Effect
3.3.3. Long Time Scale Dynamics
3.4. Non-Canonical SG-Like Behavior
4. Positive Magneto-LC Effect
4.1. Magnetic Hysteresis by a Thermal Effect
4.1.1. Monoradical trans-1
4.1.2. Biradical (S,S,S,S)-2
4.1.3. Diradical (R,S)-3
4.1.4. Monoradical trans-4
4.2. Impurity Effect—Diradical (R,S)-3
4.3. Magneto-Electric (ME) Effect
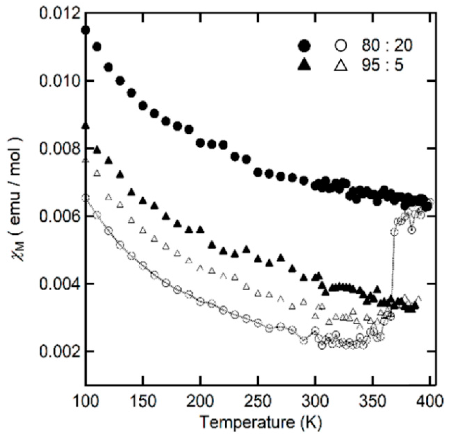
- The superparamagnetic components considerably grow with the increasing impurity content or inhomogeneity (Figure 17).
5. Proposed Mechanism
6. Conclusions and Prospects
Author Contributions
Funding
Conflicts of Interest
References
- Lightman, A. The Discoveries; Vintage Books: New York, NY, USA, 2005. [Google Scholar]
- Prigogine, I. The End of Certainty; The Free Press: New York, NY, USA, 1977. [Google Scholar]
- Prigogine, I.; Stengers, I. Order out of Chaos: Man’s New Dialogue with Nature; Bantam Books: New York, NY, USA, 1984. [Google Scholar]
- Anderson, P.W. More is different. Science 1972, 177, 393–396. [Google Scholar] [CrossRef] [PubMed]
- Waldrop, M.M. Complexity; Simon &Schuster Paperbacks: New York, NY, USA, 1992. [Google Scholar]
- Kauffman, S.A. At Home in the Universe; Oxford University Press: New York, NY, USA, 1992. [Google Scholar]
- Kauffman, S.A. Investigations; Oxford University Press: New York, NY, USA, 2000. [Google Scholar]
- Mainzer, K. Symmetry and Complexity: The Sprit and Beauty of Nonlinear Science; World Scientific: Singapore, 2005. [Google Scholar]
- Mainzer, K. Thinking in Complexity; Springer: Berlin, Germany, 2007. [Google Scholar]
- Kuramoto, Y. Chemical Oscillations, Waves, and Turbulence; Springer: Berlin, Germany, 2003. [Google Scholar]
- Di Bella, S.; Ratner, M.A.; Marks, T.J. Design of chromophoric molecular assemblies with large second-order optical nonlinearities. A theoretical analysis of the role of intermolecular interactions. J. Am. Chem. Soc. 1992, 114, 5842–5849. [Google Scholar] [CrossRef]
- Bustamante, C.; Liphardt, J.; Ritort, F. The nonequilibrium thermodynamics of small systems. Phys. Today 2005, 58, 43–48. [Google Scholar] [CrossRef]
- Kwak, H.Y.; Panton, R.L. Gas bubble formation in nonequilibrium water-gas solutions. J. Chem. Phys. 1983, 7, 5795–5799. [Google Scholar] [CrossRef]
- Mann, S.; Heywood, B.R.; Rajam, S.; Birchall, J.D. Controlled crystallization of CaCO3 under stearic acid monolayers. Nature 1988, 334, 692–695. [Google Scholar] [CrossRef]
- Dierking, I. Textures of Liquid Crystals; Wiley-VCH: Weinheim, Germany, 2003. [Google Scholar]
- Goodby, J.W.; Collings, P.J.; Kato, T.; Tschierske, C.; Gleeson, H.F.; Raynes, P. (Eds.) Handbook of Liquid Crystals, 2nd ed.; Wiley-VCH: Weinheim, Germany, 2014; Volume 1–8. [Google Scholar]
- Eerenstein, W.; Mathur, N.D.; Scott, J.F. Multiferroic and magnetoelectric materials. Nature 2006, 442, 759–765. [Google Scholar] [CrossRef]
- Rao, C.N.R.; Serrao, C.R. New routes to multiferroics. J. Mater. Chem. 2007, 17, 4931–4938. [Google Scholar] [CrossRef]
- Felser, C.; Fecher, G.H.; Balke, B. Spintronics: A challenge for materials science and solid-state chemistry. Angew. Chem. Int. Ed. 2007, 46, 668–699. [Google Scholar] [CrossRef]
- Seki, S. Magnetoelectric Response in Low-Dimensional Frustrated Spin Systems; Springer: Tokyo, Japan, 2012. [Google Scholar]
- Rikken, G.L.J.A.; Raupch, E. Observation of magneto-chiral dichroism. Nature 1997, 390, 493–494. [Google Scholar] [CrossRef]
- Rikken, G.L.J.A.; Raupch, E. Enantioselective magnetochiral photochemsitry. Nature 2000, 405, 932–935. [Google Scholar] [CrossRef]
- Train, C.; Gheorghe, R.; Krisic, V.; Chamoreau, L.-M.; Ovanesyan, N.S.; Rikken, G.L.J.A.; Grussele, M.; Verdaguer, M. Strong magneto-chiral dichroism in enantiopure chiral ferromagnets. Nat. Mater. 2008, 7, 729–734. [Google Scholar] [CrossRef] [PubMed]
- Binnemans, K.; Gröller-Walrand, C. Lanthanide-containing liquid crystals and surfactants. Chem. Rev. 2002, 102, 2302–2345. [Google Scholar] [CrossRef] [PubMed]
- Tamura, R.; Uchida, Y.; Suzuki, K. Magnetic Properties of Organic Radical Liquid Crystals and Metallomesogens. In Handbook of Liquid Crystals, 2nd ed.; Goodby, J.W., Collings, P.J., Kato, T., Tschierske, C., Gleeson, H.F., Raynes, P., Eds.; Wiley-VCH: Weinheim, Germany, 2014; Volume 8, pp. 837–864. [Google Scholar]
- Kaszyński, P. Liquid Crystalline Radicals: An Emerging Class of Organic Magnetic Materials. In Magnetic Properties of Organic Materials; Lahti, P.M., Ed.; Marcel Dekker: New York, NY, USA, 1999; pp. 325–344. [Google Scholar]
- Kaszyński, P.; Kapuscinski, S.; Ciastek-Iskrzycka, S. Liquid crystalline derivtives of heterocyclic radicals. Adv. Hetero Chem. 2019, 128, 263–331. [Google Scholar]
- Ikuma, N.; Tamura, R.; Shimono, S.; Kawame, N.; Tamada, O.; Sakai, N.; Yamauchi, J.; Yamamoto, Y. Magnetic properties of all-organic liquid crystals containing a chiral five-membered cyclic nitroxide unit within the rigid core. Angew. Chem. Int. Ed. 2004, 43, 3677–3682. [Google Scholar] [CrossRef] [PubMed]
- Ikuma, N.; Tamura, R.; Shimono, S.; Uchida, Y.; Masaki, K.; Yamauchi, J.; Aoki, Y.; Nohira, H. Ferroelectric properties of paramagnetic, all-organic, chiral nitroxyl radical liquid crystals. Adv. Mater. 2006, 18, 477–480. [Google Scholar] [CrossRef]
- Uchida, Y.; Tamura, R.; Ikuma, N.; Shimono, S.; Yamauchi, J.; Aoki, Y.; Nohira, H. Synthesis and characterization of novel all-organic liquid crystalline radicals. Mol. Cryst. Liq. Cryst. 2007, 479, 213–221. [Google Scholar] [CrossRef]
- Uchida, Y.; Tamura, R.; Ikuma, N.; Yamauchi, J.; Aoki, Y.; Nohira, H. Synthesis and characterization of novel radical liquid crystals showing ferroelectricity. Ferroelectrics 2008, 365, 158–169. [Google Scholar] [CrossRef]
- Ikuma, N.; Uchida, Y.; Tamura, R.; Suzuki, K.; Yamauchi, J.; Aoki, Y.; Nohira, H. Preparation and properties of C2-symmetric organic radical compounds showing ferroelectric liquid crystal properties. Mol. Cryst. Liq. Cryst. 2009, 509, 108–117. [Google Scholar] [CrossRef]
- Ikuma, N.; Suzuki, K.; Uchida, Y.; Tamura, R.; Aoki, Y.; Nohira, H. Preparation and ferroelectric properties of new chiral liquid crystalline organic radical compounds. Heterocycles 2010, 80, 527–535. [Google Scholar]
- Uchida, Y.; Tamura, R.; Ikuma, N.; Yamauchi, J.; Aoki, Y.; Nohira, H. Unusual Intermolecular Magnetic Interaction Observed in an All- Organic Radical Liquid Crystal. J. Mater. Chem. 2008, 18, 2950–2952. [Google Scholar] [CrossRef]
- Uchida, Y.; Suzuki, K.; Tamura, R.; Ikuma, N.; Shimono, S.; Noda, Y.; Yamauchi, J. Anisotropic and inhomogeneous magnetic interactions observed in all-organic nitroxide radical liquid crystals. J. Am. Chem. Soc. 2010, 132, 9746–9752. [Google Scholar] [CrossRef] [PubMed]
- Suzuki, K.; Uchida, Y.; Tamura, R.; Shimono, S.; Yamauchi, J. Observation of positive and negative magneto-LC effects in all-organic nitroxide radical liquid crystals by EPR spectroscopy. J. Mater. Chem. 2012, 22, 6799–6806. [Google Scholar] [CrossRef]
- Suzuki, K.; Uchida, Y.; Tamura, R.; Noda, Y.; Ikuma, N.; Shimono, S.; Yamauchi, J. Influence of applied electric fields on the positive magneto-LC effects observed in the ferroelectric liquid crystalline phase of a chiral nitroxide radical compound. Soft Matter 2013, 9, 4687–4692. [Google Scholar] [CrossRef]
- Suzuki, K.; Uchida, Y.; Tamura, R.; Noda, Y.; Ikuma, N.; Shimono, S.; Yamauchi, J. Electric field dependence of molecular orientation and anisotropic magnetic interactions in the ferroelectric liquid crystalline phase of an organic radical compound by EPR spectroscopy. Adv. Sci. Tech. 2013, 82, 50–54. [Google Scholar] [CrossRef]
- Tamura, R.; Uchida, Y.; Suzuki, K. Advances in Organic Crystal Chemistry: Comprehensive Reviews 2015; Tamura, R., Miyata, M., Eds.; Springer: Tokyo, Japan, 2015; pp. 689–706. [Google Scholar]
- Takemoto, Y.; Uchida, Y.; Shimono, S.; Yamauchi, J.; Tamura, R. Preparation and magnetic properties of nitroxide radical liquid crystalline physical gels. Mol. Cryst. Liq. Cryst. 2017, 647, 279–289. [Google Scholar] [CrossRef]
- Suzuki, K.; Takemoto, Y.; Takaoka, S.; Taguchi, K.; Uchida, Y.; Mazhukin, D.G.; Grigor’ev, I.A.; Tamura, R. Chiral all-organic nitroxide biradical liquid crystals showing remarkably large positive magneto-LC effects. Chem. Commun. 2016, 52, 3935–3938. [Google Scholar] [CrossRef]
- Takemoto, Y.; Zaytseva, E.; Suzuki, K.; Yoshioka, N.; Takanishi, Y.; Funahashi, M.; Uchida, Y.; Akita, T.; Park, J.; Sato, S.; et al. Unique superparamagnetic-like behavior observed in non-π-delocalized nitroxide diradical compounds showing discotic liquid crystalline phase. Chem. Eur. J. 2018, 24, 17293–17302. [Google Scholar] [CrossRef]
- Uchida, Y.; Suzuki, K.; Rui, T. Magneto-LC effects in hydrogen-bonded all-organic radical liquid crystal. J. Phys. Chem. B 2012, 116, 9791–9795. [Google Scholar] [CrossRef]
- Nakagami, S.; Akita, T.; Kiyohara, D.; Uchida, Y.; Tamura, R.; Nishiyama, N. Molecular mobility effect on magnetic interactions in all-organic paramagnetic liquid crystal with nitroxide radical as a hydrogen bonding acceptor. J. Phys. Chem. B 2018, 122, 7409–7415. [Google Scholar] [CrossRef]
- Uchida, Y.; Tamura, R.; Ikuma, N.; Shimono, S.; Yamauchi, J.; Shimbo, Y.; Takezoe, H.; Aoki, Y.; Nohira, H. Magnetic-field-induced molecular alignment in an achiral liquid crystal spin-labeled by a nitroxyl group in the mesogen core. J. Mater. Chem. 2009, 19, 415–418. [Google Scholar] [CrossRef]
- Vorobiev, A.K.; Chumakova, N.A.; Pomogailo, D.A.; Uchida, Y.; Suzuki, K.; Noda, Y.; Tamura, R. Determination of structure characterizaton of all-organic radical liquid crystals based on analysis of the dipole-dipole broadened EPR spectra. J. Phys. Chem. B 2014, 118, 1932–1942. [Google Scholar] [CrossRef] [PubMed]
- Uchida, Y.; Watanabe, G.; Akita, T.; Nishiyama, N. Thermal molecular motion can amplify intermolecular magnetic interactions. J. Phys. Chem. B 2020, 124, 6175–6180. [Google Scholar] [CrossRef]
- Bean, C.P.; Livingston, J.D. Superparamagnetism. J. Appl. Phys. 1959, 30, S120–S129. [Google Scholar] [CrossRef]
- Fischer, K.H.; Hertz, J.A. Spin Glasses; Cambridge Univeristy Press: Cambridge, UK, 1991. [Google Scholar]
- Cannella, V.; Mydosh, J.A. Magnetic ordering in gold-iron alloys. Phys. Rev. B 1972, 6, 4220–4237. [Google Scholar] [CrossRef]
- Nagata, S.; Keesom, P.H.; Harrison, H.R. Low-dc-field susceptibility of Cu Mn spin glass. Phys. Rev. B 1979, 19, 1633–1638. [Google Scholar] [CrossRef]
- Mydosh, J.A. Spin glasses: Redux: An updated experimental/materials survey. Rep. Prog. Phys. 2015, 78, 052501. [Google Scholar] [CrossRef]
- Sandlund, L.; Svedlindh, P.; Granberg, P.; Nordblad, P.; Lundgren, L. Experimental evidence for the existence of an overlap length in spin glasses. J. Appl. Phys. 1988, 64, 5616–5618. [Google Scholar] [CrossRef]
- Jain, R.; Kabir, K.; Gilroy, J.B.; Mitchell, K.A.R.; Wong, K.C.; Hicks, R.G. High-temperature metal-organic magnets. Nature 2007, 445, 291–294. [Google Scholar] [CrossRef]
- Kogo, R.; Araoka, F.; Uchida, Y.; Tamura, R.; Ishikawa, K.; Takezoe, H. Second harmonic generation in a paramagnetic all-organic chiral smectic liquid crystal. Appl. Phys. Express 2010, 3, 041701. [Google Scholar] [CrossRef]
- Bloch, F. Nuclear induction. Phys. Rev. 1946, 70, 460–474. [Google Scholar] [CrossRef]
- Néel, L. Some New Results on Antiferromagnetism and Ferromagnetism. Rev. Mod. Phys. 1953, 25, 58–61. [Google Scholar] [CrossRef]
- Fennie, C.J. Ferroelectrically Induced Weak Ferromagnetism by Design. Phys. Rev. Lett. 2008, 100, 1–4. [Google Scholar] [CrossRef]
- Katsura, H.; Nagaosa, N.; Balatsky, A.V. Spin Current and Magnetoelectric Effect in Noncollinear Magnets. Phys. Rev. Lett. 2005, 95, 1–4. [Google Scholar] [CrossRef] [PubMed]
- Cross, L.E. Relaxor ferroelectrics: An overview. Ferroelectrics 1994, 151, 305–320. [Google Scholar] [CrossRef]
- Soda, M.; Matsuura, M.; Wakabayashi, Y.; Hirota, K. Superparamagnetism Induced by Polar Nanoregions in Relaxor Ferroelectric (1-x)BiFeO3-xBaTiO3. J. Phys. Soc. Jpn. 2011, 80, 2–5. [Google Scholar] [CrossRef][Green Version]
- Li, D.Y.; Zeng, Y.J.; Batuk, D.; Pereira, L.M.C.; Ye, Z.Z.; Fleischmann, C.; Menghini, M.; Nikitenko, S.; Hadermann, J.; Temst, K.; et al. Relaxor ferroelectricity and magnetoelectric coupling in ZnO-Co nanocomposite thin films: Beyond multiferroic composites. ACS Appl. Mater. Interfaces 2014, 6, 4737–4742. [Google Scholar] [CrossRef] [PubMed]
- Takae, K.; Onuki, A. Ferroelectric glass of spheroidal dipoles with impurities: Polar nanoregions, response to applied electric field, and ergodicity breakdown. J. Phys. Condens. Matter 2017, 29, 4–6. [Google Scholar] [CrossRef]


























Publisher’s Note: MDPI stays neutral with regard to jurisdictional claims in published maps and institutional affiliations. |
© 2020 by the authors. Licensee MDPI, Basel, Switzerland. This article is an open access article distributed under the terms and conditions of the Creative Commons Attribution (CC BY) license (http://creativecommons.org/licenses/by/4.0/).
Share and Cite
Sato, S.; Uchida, Y.; Tamura, R. Spin Symmetry Breaking: Superparamagnetic and Spin Glass-Like Behavior Observed in Rod-Like Liquid Crystalline Organic Compounds Contacting Nitroxide Radical Spins. Symmetry 2020, 12, 1910. https://doi.org/10.3390/sym12111910
Sato S, Uchida Y, Tamura R. Spin Symmetry Breaking: Superparamagnetic and Spin Glass-Like Behavior Observed in Rod-Like Liquid Crystalline Organic Compounds Contacting Nitroxide Radical Spins. Symmetry. 2020; 12(11):1910. https://doi.org/10.3390/sym12111910
Chicago/Turabian StyleSato, Shuichi, Yoshiaki Uchida, and Rui Tamura. 2020. "Spin Symmetry Breaking: Superparamagnetic and Spin Glass-Like Behavior Observed in Rod-Like Liquid Crystalline Organic Compounds Contacting Nitroxide Radical Spins" Symmetry 12, no. 11: 1910. https://doi.org/10.3390/sym12111910
APA StyleSato, S., Uchida, Y., & Tamura, R. (2020). Spin Symmetry Breaking: Superparamagnetic and Spin Glass-Like Behavior Observed in Rod-Like Liquid Crystalline Organic Compounds Contacting Nitroxide Radical Spins. Symmetry, 12(11), 1910. https://doi.org/10.3390/sym12111910

