Agricultural Terraced Areas in the Tuscan Archipelago (Italy): Mapping, Consistency, and Territorial Analysis
Abstract
1. Introduction
2. Materials and Methods
2.1. Study Area
2.2. Digital Mapping
2.3. Hardware: Matrice 300 RTK
2.4. Software: QGIS e 3DF Zephyr
2.5. Analysis Methodology
3. Results
3.1. Morphological Parameter Results
3.1.1. Slope
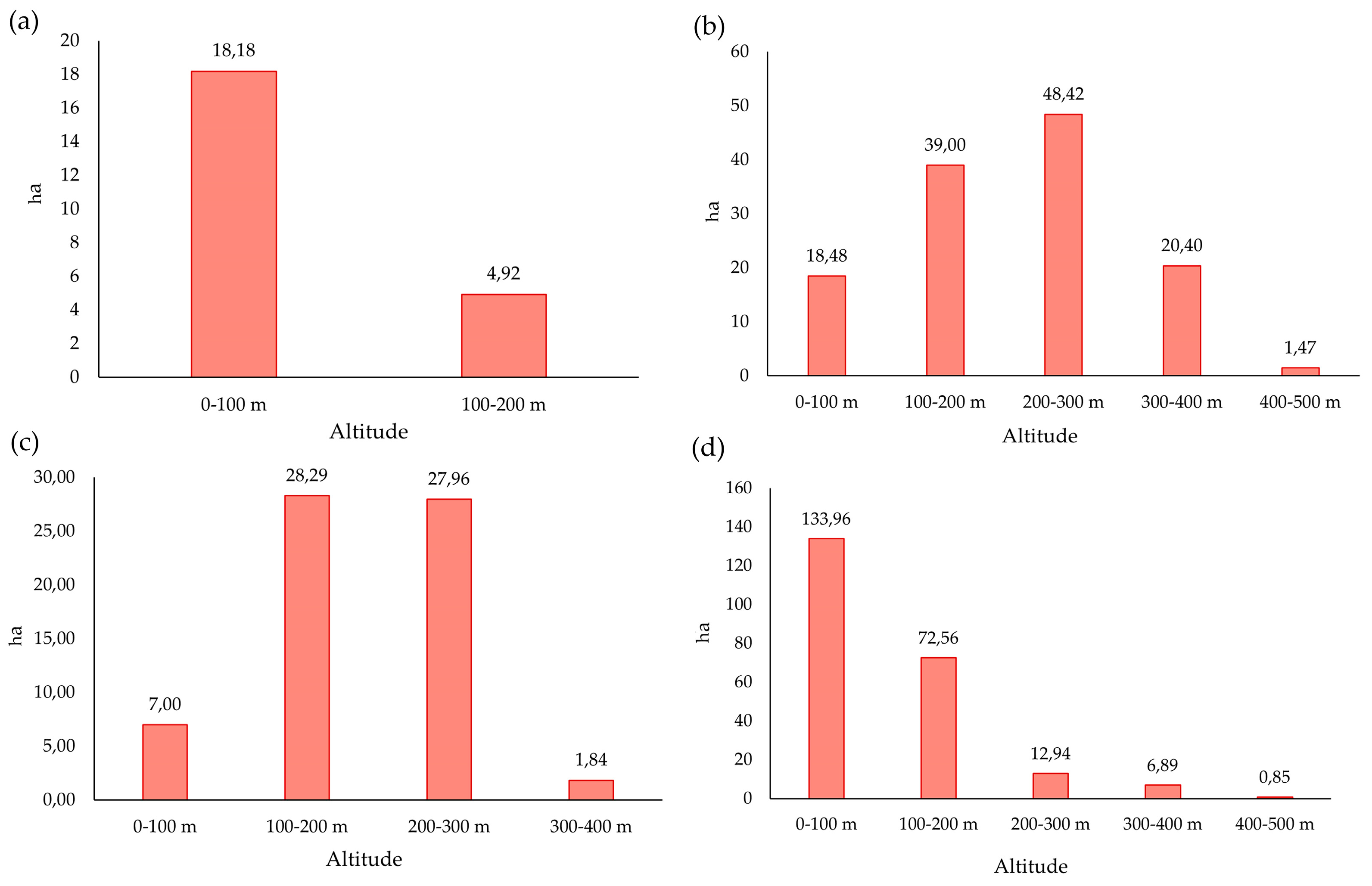
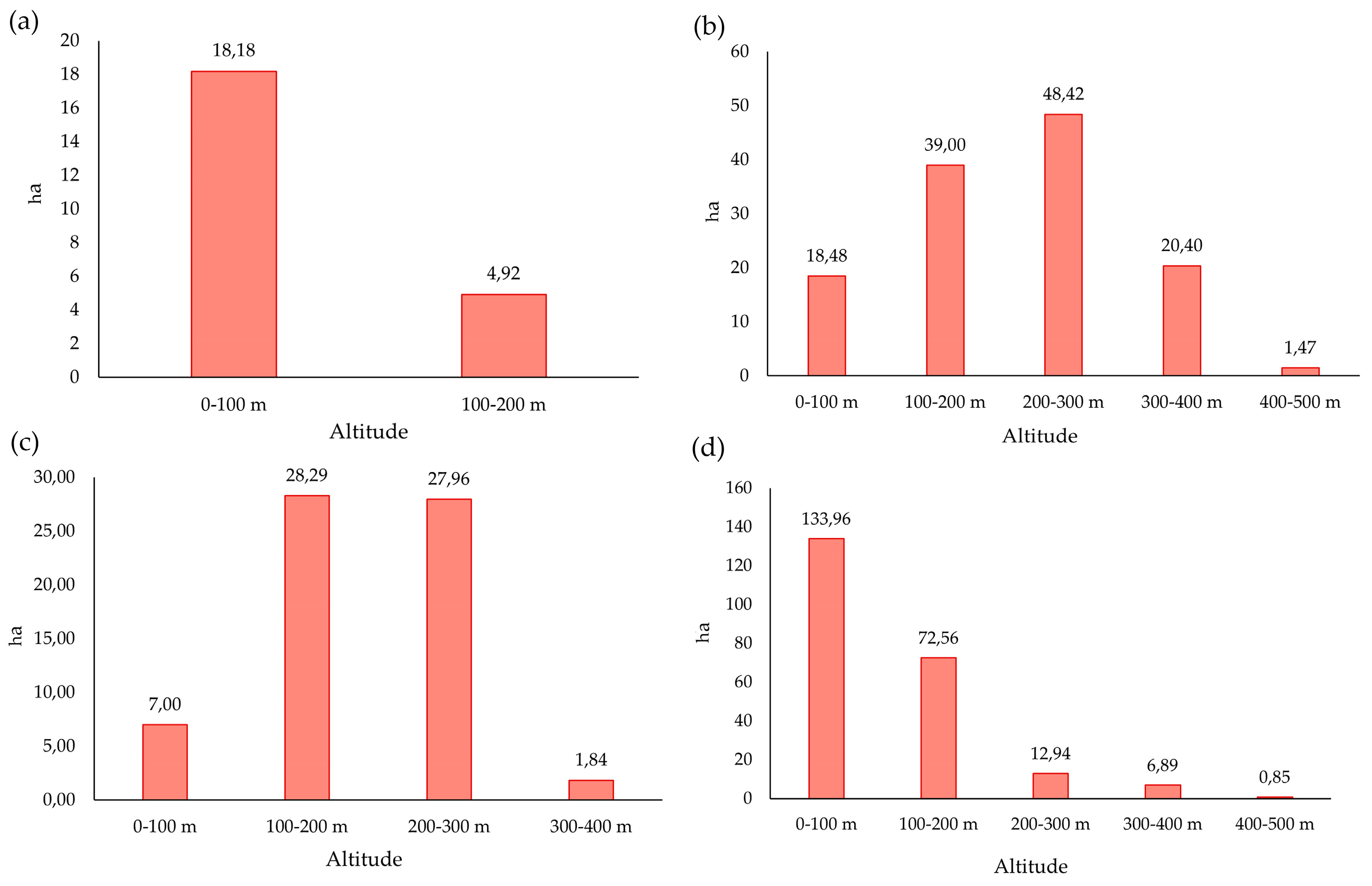
3.1.2. Altitude
3.1.3. Aspect
3.2. Anthropic Parameters Results
3.2.1. Road Network Analysis
3.2.2. Particles Analysis
4. Discussion
4.1. Morphological Parameter Discussion
4.2. Anthropic Parameters Discussion
4.3. Which Management Strategies Should Be Adopted for the Conservation of Terraced Landscapes?
5. Conclusions
Author Contributions
Funding
Data Availability Statement
Conflicts of Interest
References
- Bonardi, L. Terraced Vineyards in Europe: The Historical Persistence of Highly Specialised Regions. In World Terraced Landscapes: History, Environment, Quality of Life; Varotto, M., Bonardi, L., Tarolli, P., Eds.; Environmental History; Springer: Cham, Switzerland, 2019; Volume 9. [Google Scholar] [CrossRef]
- Agnoletti, M.; Conti, L.; Frezza, L.; Santoro, A. Territorial Analysis of the Agricoltural Terraced Landscapes of Tuscany (Italy): Preliminary Result. Sustainability 2015, 7, 4564–4581. [Google Scholar] [CrossRef]
- Brancucci, G.; Paliaga, G. The Hazard Assessment in a Terraced Landscape: Preliminary Result of the Liguria (Italy) Case Study in the Interreg III Alpter Project; Nadim, F., Pöttler, R., Einstein, H., Klapperich, H., Kramer, S., Eds.; ECI Conference on Geohazards: Lillehammer, Norway, 2006. [Google Scholar]
- Corrieri, F.; Piras, F.; Abou Assi, M.; Focacci, M.; Conti, L. Terraced landscapes of the Shouf Biosphere Reserve (Lebanon): Analysis of geomorphological variables. Biodivers. Conserv. 2021, 31, 2421–2433. [Google Scholar] [CrossRef]
- Bevan, A.; Conolly, J. Terraced fields and Mediterranean landscape structure: An analytical case study from Antikythera, Greece. Ecol. Model. 2011, 222, 1303–1314. [Google Scholar] [CrossRef]
- Ore, G.; Bruins, H.J. Design features of ancient agricultural terrace walls in the Negev desert: Human-made geodiversity. Land Degrad. Dev. 2012, 23, 409–418. [Google Scholar] [CrossRef]
- Petit, C.; Konold, W.; Höchtl, F. Historic terraced vineyards: Impressive witnesses of vernacular architecture. Landsc. Hist. 2012, 33, 5–28. [Google Scholar] [CrossRef]
- Gibson, S. Agricultural terraces and settlement expansion in the highlands of early Iron Age Palestine: Is there any correlation between the two? In Studies in the Archaeology of the Iron Age in Israel and Jordan; A&C Black: London, UK, 2001; pp. 113–146. [Google Scholar]
- Cots-Folch, R.; Martínez-Casasnovas, J.A.; Ramos, M.C. Land terracing for new vineyard plantations in the north-eastern Spanish Mediterranean region: Landscape effects of the EU Council Regulation policy for vineyards restructuring. Agric. Ecosyst. Environ. 2006, 115, 88–96. [Google Scholar] [CrossRef]
- Borejsza, A.; Rodríguez López, I.; Frederick, C.H.D.; Bateman, M.D. Agricultural slope management and soil erosion at La Laguna, Tlaxcala, Mexico. J. Archaeol. Sci. 2008, 35, 1854–1866. [Google Scholar] [CrossRef]
- Posthumus, H.; de Graaff, J. Cost–benefit analysis of bench terraces, a case study in Peru. Land Degrad. Dev. 2005, 16, 1–11. [Google Scholar] [CrossRef]
- Jiang, Y.; Li, S.; Chen, W.; Cai, D.; Liu, Y. The evolution of crop cultivation and paleoenvironment in the Longji Terraces, southern China: Organic geochemical evidence from paleosols. J. Environ. Manag. 2017, 202, 524–531. [Google Scholar] [CrossRef]
- Cao, Y.; Wu, Y.; Zhang, Y.; Tian, J. Landscape pattern and sustainability of a 1300-year-old agricultural landscape in subtropical mountain areas, Southwestern China. Int. J. Sustain. Dev. World Ecol. 2013, 20, 349–357. [Google Scholar] [CrossRef]
- Gardner, R.; Gerrard, J. Runoff and soil erosion on cultivated rainfed terraces in the Middle Hills of Nepal. Appl. Geogr. 2003, 23, 23–45. [Google Scholar] [CrossRef]
- Amsalu, A.; de Graff, J. Determinants of adoption and continued use of stone terraces for soil and water conservation in an Ethiopian highland watershed. Ecol. Econ. 2007, 61, 249–302. [Google Scholar] [CrossRef]
- Tarolli, P.; Preti, F.; Romano, N. Terraced landscapes: From an old best practice to a potential hazard for soil degradation due to land abandonment. Anthropocene 2014, 6, 10–25. [Google Scholar] [CrossRef]
- Chapagain, T.; Raizada, M.N. Agronomic Challenges and Opportunities for Smallholder Terrace Agriculture in Developing Countries. Front. Plant Sci. 2017, 8, 331. [Google Scholar] [CrossRef] [PubMed]
- Petanidou, T.; Kizos, T.; Soulakellis, N. Socioeconomic dimensions of changes in the agricultural landscape of the Mediterranean basin: A case study of the abandonment of cultivation terraces on Nisyros Island, Greece. Environ. Manag. 2008, 41, 250–266. [Google Scholar] [CrossRef] [PubMed]
- García-Ruiz, J.M.; Lana-Renault, N. Hydrological and erosive consequences of farmland abandonment in Europe, with special reference to the Mediterranean region—A review. Agric. Ecosyst. Environ. 2011, 140, 317–338. [Google Scholar] [CrossRef]
- Wilkinson, T.J. Archaeological Landscapes of the Near East; University of Arizona Press: Tucson, AZ, USA, 2003. [Google Scholar] [CrossRef]
- Sandor, J.A. Ancient agricultural terraces and soils. In Footprints in the Soil: People and Ideas in Soil History; Warkentin, P.B., Ed.; Elsevier: Amsterdam, The Netherlands, 2006; pp. 505–553. [Google Scholar]
- Price, S.; Nixon, L. Ancient Greek agricultural terraces: Evidence from texts and archaeological survey. Am. J. Arch. 2005, 109, 665–694. [Google Scholar] [CrossRef]
- Galletti, C.S.; Ridder, E.; Falconer, S.E.; Fall, P.L. Maxent modeling of ancient and modern agricultural terraces in the Troodos foothills. Cyprus. Appl. Geogr. 2013, 39, 46–56. [Google Scholar] [CrossRef]
- Spencer, J.E.; Hale, G.A. The nature, origin and distribution of agricoltural terracing. In Pacific Viewpoint; Victoria University of Wellington: Wellington, New Zealand; John Wiley & Sons Australia, Ltd.: Hoboken, NJ, USA, 1961; Volume 2. [Google Scholar] [CrossRef]
- Agnoletti, M.; Conti, L.; Frezza, L.; Monti, M.; Santoro, A. Features Analysis of Dry Stone Walls of Tuscany (Italy). Sustainability 2015, 7, 13887–13903. [Google Scholar] [CrossRef]
- Wei, W.; Chen, D.; Wang, L.; Daryanto, S.; Chen, L.; Yu, Y.; Lu, Y.; Sun, G.; Feng, T. Global synthesis of the classifications, distributions, benefits and issues of terracing. Earth Sci. Rev. 2016, 159, 388–403. [Google Scholar] [CrossRef]
- Arnáez, J.; Lana-Renault, N.; Lasanta, T.; Ruiz-Flaño, P.; Castroviejo, J. Effects of farming terraces on hydrological and geomorphological processes—A review. Catena 2015, 128, 122–134. [Google Scholar] [CrossRef]
- Agnoletti, M.; Errico, A.; Santoro, A.; Dani, A.; Preti, F. Terraced Landscapes and Hydrogeological Risk. Effects of Land Abandonment in Cinque Terre (Italy) during Severe Rainfall Events. Sustainability 2019, 11, 235. [Google Scholar] [CrossRef]
- Radmilli, A.M. II Popolamento Umano Dell’arcipelago Toscano Prima Dell’età Romana; Tipo-lito Valbonesi: Forlì, Italy, 1975. [Google Scholar]
- Gambardella, A. Le Colonie Penali Nell’arcipelago Toscano; Tra l’Ottocento e il Novecento; Ibiskos Ulivieri: Empoli, Italy, 2009. [Google Scholar]
- Camilleri, A.; Colombini, I.; Chelazzi, L. Evolution and management of landscapes on Mediterranean minor islands: Case studies from the Tuscan Archipelago (Italy) and Comino (Malta). In Evolution and Management of Landscapes on Mediterranean Minor Islands, 2012th ed.; Cassar, E.C.L., Ed.; Institute of Earth Systems, University of Malta: Msida, Malta, 2012; Chapter 13; pp. 169–204. [Google Scholar]
- Toscana, R. Ministero dei beni e delle attività culturali e del turismo. In Piano di Indirizzo Territoriale con Valenza di Piano Paesaggistico—Scheda Ambito di Paesaggio; Colline Metallifere e Elba: Tuscany, Italy, 2015. [Google Scholar]
- Sakellariou, M.; Psiloglou, B.E.; Giannakopoulos, C.; Mylona, P.V. Integration of Abandoned Lands in Sustainable Agriculture: The Case of Terraced Landscape Re-Cultivation in Mediterranean Island Conditions. Land 2021, 10, 457. [Google Scholar] [CrossRef]
- Cicinelli, E.; Caneva, G.; Savo, V. A Review on Management Strategies of the Terraced Agricultural Systems and Conservation Actions to Maintain Cultural Landscapes around the Mediterranean Area. Sustainability 2021, 13, 4475. [Google Scholar] [CrossRef]
- Moreno-de-las-Heras, M.; Lindenberger, F.; Latron, J.; Lana-Renault, N.; Llorens, P.; Arnáez, J.; Romero-Díaz, A.; Gallart, F. Hydro-geomorphological consequences of the abandonment of agricultural terraces in the Mediterranean region: Key controlling factors and landscape stability patterns. Geomorphology 2019, 333, 73–91. [Google Scholar] [CrossRef]
- Tarolli, P.; Rizzo, D.; Brancucci, G. Terraced landscapes: Land abandonment, soil degradation, and suitable management. In World Terraced Landscapes: History, Environment, Quality of Life; Springer: Berlin/Heidelberg, Germany, 2019; pp. 195–210. [Google Scholar] [CrossRef]
- Modica, G.; Praticò, S.; Di Fazio, S. Abandonment of traditional terraced landscape: A change detection approach (a case study in Costa Viola, Calabria, Italy). Land. Degrad. Dev. 2017, 28, 2608–2622. [Google Scholar] [CrossRef]
- Van Der Sluis, T.; Kizos, T.; Pedroli, B. Landscape change in Mediterranean farmlands: Impacts of land abandonment on cultivation terraces in Portofino (Italy) and Lesvos (Greece). J. Landsc. Ecol. Repub. 2014, 7, 22. [Google Scholar] [CrossRef]
- Schönbrodt-Stitt, S.; Behrens, T.; Schmidt, K.; Shi, X.; Scholten, T. Degradation of cultivated bench terraces in the Three Gorges Area: Fieldmapping and datamining. Ecol. Indic. 2013, 34, 478–493. [Google Scholar] [CrossRef]
- Chen, S.K.; Liu, C.W.; Chen, Y.R. Assessing soil erosion in a terraced paddy field using experimental measurements and universal soil loss equation. Catena 2012, 95, 131–141. [Google Scholar] [CrossRef]
- Ghanem, O.; Jazem, A.; Djili, K. Causes of agricultural terraces degradation in Al-Kimmah watershed (Yemen). Aust. J. Basic Appl. Sci. 2011, 5, 136–144. [Google Scholar]
- Lasanta, T.; Vicente-Serrano, S.M.; Cuadrat, J.M. Mountain Mediterranean landscape evolution caused by the abandonment of traditional primary activities: A study of the Spanish Pyrenees. Appl. Geogr. 2005, 25, 47–65. [Google Scholar] [CrossRef]
- MacDonald, D.; Crabtree, J.R.; Wiesinger, G.; Dax, T.; Stamou, N.; Fleury, P.; Gutiérrez-Lazpita, J.; Gibon, A. Agricultural abandonment in mountain areas of Europe: Environmental consequences and policy response. J. Environ. Manag. 2000, 59, 47–69. [Google Scholar] [CrossRef]
- Asins Velis, S.; Arnau-Rosalen, E.; Romero-Gonzalez, J.; Calvo-Cases, A. Analysis of the consequences of the european union criteria on slope gradient for the delimitation of “areas facing natural constraints” with agricultural terraces. Ann. Annal. Istrian Mediter. Stud. Ser. Hist. Sociol. 2016, 26, 433–448. [Google Scholar]
- Lomba, A.; Guerra, C.; Alonso, J.; Pradinho Honrado, J.; Jongman, R.; McCracken, D. Mapping and monitoring High Nature Value farmlands: Challenges in European landscapes. J. Environ. Manag. 2014, 143, 140–150. [Google Scholar] [CrossRef] [PubMed]
- Van Der Ploeg, J.D.; Renting, H.; Brunori, G.; Knickel, K.; Mannion, J.; Marsden, T.; De Roest, K.; Sevilla-Guzmán, E.; Ventura, F. Rural Development: From Practices and Policies towards Theory. Sociol. Rural. 2000, 40, 391–408. [Google Scholar] [CrossRef]
- UNESCO Intanglible Cultural Heritage List. Available online: https://ich.unesco.org/en/lists (accessed on 13 September 2024).
- Decreto Legislativo 3 Aprile 2018, n. 34. Testo Unico in Materia di Foreste e Filiere Forestali. (18G00060) (GU Serie Generale n.92 del 20-04-2018). Available online: https://www.gazzettaufficiale.it/eli/id/2018/04/20/18G00060/s (accessed on 13 September 2024).
- Agnoletti, M. Italian Historical Rural Landscapes. In Cultural Values for the Environment and Rural Development; Springer: Berlin/Heidelberg, Germany, 2012; pp. 1–549. [Google Scholar] [CrossRef]
- Varotto, M.; Bonardi, L.; Tarolli, P. Introduction. In World Terraced Landscapes: History, Environment, Quality of Life; Varotto, M., Bonardi, L., Tarolli, P., Eds.; Environmental History; Springer: Cham, Switzerland, 2019; Volume 9. [Google Scholar] [CrossRef]
- Capolupo, A.; Kooistra, L.; Boccia, L. A novel approach for detecting agricultural terraced landscapes from historical and contemporaneous photogrammetric aerial photos. Int. J. Appl. Earth Obs. Geoinf. 2018, 73, 800–810. [Google Scholar] [CrossRef]
- Alberti, F.; Lodatti, L. Venetian Terraced Landscapes; Regione del Veneto: Venice, Italy, 2016. [Google Scholar]
- Barbera, G.; Cullotta, S. An inventory approach to the assessment of main traditional landscapes in Sicily (Central Mediterranean Basin). Landsc. Res. 2012, 37, 539–569. [Google Scholar] [CrossRef]
- Benetti, G.; Patassini, D. Principles and Laws of Protection, Conservation and Restoration for the Terracing of the Canale di Brenta. In Terraced Landscapes of the Alps. Projects in Progress; Fontanari, E., Patassini, D., Eds.; Marsilio: Venice, Italy, 2008; pp. 104–108. [Google Scholar]
- Bonardi, L.; Varotto, M. Paesaggi Terrazzati d’Italia: Eredità Storiche e Nuove Prospettive; Franco Angeli: Milan, Italy, 2016; ISBN 9788891743435. [Google Scholar]
- Gravagnuolo, A. Valutazione e mappatura dei servizi culturali nei paesaggi terrazzati. II Caso Studio Della Costiera Amalfitana Territ. Ital. 2016, 1, 107–132. [Google Scholar] [CrossRef]
- Brandolini, P.; Faccini, F.; Pescetto, C. I terrazzamenti della Liguria: Un bene culturale e del paesaggio a rischio. L’Universo 2008, 88, 204–221. [Google Scholar]
- Marçal Gonçalves, M.; Prates, G.; Pérez-Cano, M.T.; Rosendahl, S. Territory and Drystone Walls. Comparative of Case Studies in Central and Southern Portugal. In Proceedings of the REHABEND2020 8th Euro-American Congress on Construction Pathology, Rehabilitation Technology and Heritage Management, Granada, Spain, 24–27 March 2020; Universidad de Cantabria: Santander, Spain, 2020. [Google Scholar]
- Andlar, G.; Šrajer, F.; Trojanović, A. Classifying the Mediterranean terraced landscape: The case of Adriatic Croatia. Acta Geogr. Slov. 2017, 57, 111–129. [Google Scholar] [CrossRef]
- Ažman Momirski, L. Slovenian Terraced Landscapes. In World Terraced Landscapes: History, Environment, Quality of Life; Varotto, M., Bonardi, L., Tarolli, P., Eds.; Environmental History; Springer: Cham, Switzerland, 2019; Volume 9. [Google Scholar] [CrossRef]
- Momirski, L.A.; Bercic, T. Ignored regions: Slovenian terraced landscapes. Ann. Annal. Istrian Mediter. Stud. Ser. Hist. Sociol. 2016, 26, 399–418. [Google Scholar]
- Bennett, J. Testing Terraces: Managing and Sustaining the Agrarian Environment in the Maltese Archipelago. Doctoral Dissertation, Apollo-University of Cambridge Repository, Cambridge, UK, 2022. [Google Scholar] [CrossRef]
- Dong, S.; Xin, L.; Li, S.; Xie, H.; Zhao, Y.; Wang, X.; Li, X.; Song, H.; Lu, Y. Extent and spatial distribution of terrace abandonment in China. J. Geogr. Sci. 2023, 33, 1361–1376. [Google Scholar] [CrossRef]
- Romero Martín, L.E.; Hernández Cordero, A.I.; Santana Cordero, A.; Vargas Negrín, C.; Palerm Salazar, J.M. Terraced Landscapes in the Canary Islands: La Gomera, “The Terrace Island”. In World Terraced Landscapes: History, Environment, Quality of Life; Springer: Berlin/Heidelberg, Germany, 2019; pp. 97–118. [Google Scholar]
- Camara, L.; de Mesquita, M.B. Terraced landscapes in Peru: Terraces and social water management. In World Terraced Landscapes: History, Environment, Quality of Life; Springer: Berlin/Heidelberg, Germany, 2019; pp. 119–137. [Google Scholar]
- Aringoli, D.; Coltorti, M.; D’Orefice, M.; Dramis, F.; Federici, P.R.; Foresi, L.M.; Tarchiani, U. Carta geomorfologica dell’Arcipelago Toscano. Mem. Descr. Della Carta Geol. D’italia 2009, 86, 7–107. [Google Scholar]
- D.P.R. 22 luglio 1996—Istituzione dell’Ente Parco Nazionale dell’Arcipelago Toscano (G.U. 11 dicembre 1996, n. 290). Available online: https://www.mase.gov.it/normative/dpr-22-luglio-1996-istituzione-dellente-parco-nazionale-dellarcipelago-toscano-gu-11 (accessed on 13 September 2024).
- Foggi, B.; Pancioli, V. Contributo alla conoscenza della vegetazione dell’Isola del Giglio (Arcipelago Toscano, Toscana meridionale). Webbia 2008, 63, 25–48. [Google Scholar] [CrossRef]
- Viciani, D.; Albanesi, D.; Dell’Olmo, L.; Foggi, B. Contributo alla conoscenza della vegetazione dell’Isola di Gorgona (Arcipelago Toscano). Fitosociologia 2011, 48, 45–64. [Google Scholar]
- Legge Regionale 10 Novembre 2014, n. 65. Norme Per Il Gov. Del Territ. (Boll. Uff. n. 53 Parte Prima Del 12.11.2014). 2014. Available online: https://www.regione.toscana.it/il-governo-del-territorio.-legge-regionale-65/2014 (accessed on 13 September 2024).
- Koulouri, M.; Giourga, C. Land abandonment and slope gradient as key factors of soil erosion in Mediterranean terraced lands. Catena 2007, 69, 274–281. [Google Scholar] [CrossRef]
- Varotto, M.; Ferrarese, F.; Pappalardo, S.E. Italian Terraced Landscapes: The Shapes and the Trends. In World Terraced Landscapes: History, Environment, Quality of Life; Varotto, M., Bonardi, L., Tarolli, P., Eds.; Environmental History; Springer: Cham, Switzerland, 2019; Volume 9. [Google Scholar] [CrossRef]
- Santoro, A.; Venturi, M.; Agnoletti, M. Agricultural Heritage Systems and Landscape Perception among Tourists. The Case of Lamole, Chianti (Italy). Sustainability 2020, 12, 3509. [Google Scholar] [CrossRef]
- Gowlland, G. Rebuilding Biodiversity One Stone at a Time: Ecology and Intangible Heritage in Dry Stone Walling Practices. Anthropol. J. Eur. Cult. 2024, 33, 72–84. [Google Scholar] [CrossRef]
- Pepe, G.; Mandarino, A.; Raso, E.; Scarpellini, P.; Brandolini, P.; Cevasco, A. Investigation on Farmland Abandonment of Terraced Slopes Using Multitemporal Data Sources Comparison and Its Implication on Hydro-Geomorphological Processes. Water 2019, 11, 1552. [Google Scholar] [CrossRef]
- Armanasco, P.; Conti, L.; Moretta, M.; Masoni, A.; Camiciottoli, S.; Palchetti, E. Agricultural terraced systems of the Tuscan archipelago: Typological analysis and recovery possibilities of dry stone walls. In Proceedings of the Tenth International Symposium “Monitoring of Mediterranean Coastal Areas: Problems and Measurement Techniques”, Livorno, Italy, 11–13 June 2024; FUP Firenze University Press: Firenze, Italy, 2025; pp. 339–352. [Google Scholar]










| Informative Layer | Year | Type | Scale | Source |
|---|---|---|---|---|
| Regional Technical Cartography (RTC) | 2010 | raster | 1:10,000 | Geoscope Observatory in Tuscany |
| RGB Aerial orthophoto (OPC) | 2021 | raster | 1:5000 | Geoscope Observatory in Tuscany |
| Terraced areas dataset | 2019 | raster | 1:2000–1:5000 | Geoscope Observatory in Tuscany |
| UCS Terracing dataset | 2019 | raster | 1:10,000 | Geoscope Observatory in Tuscany |
| Landscape character map | 2019 | raster | 1:50,000 | Geoscope Observatory in Tuscany |
| Digital Terrain Model (DTM) | 2010 | raster | 1:10,000 | Geoscope Observatory in Tuscany |
| Cadastral Register | 2015 | raster | 1:5000 | Geoscope Observatory in Tuscany |
| Road Network | 2022 | vector | - | Geoscope Observatory in Tuscany |
| Analysed Islands | Total Number of Terraced Parcels | Total Extension of Terraced Parcels | Mean Extension of Terraced Parcels | Mean Number of Particles per Terraced Area |
|---|---|---|---|---|
| Gorgona | 17 | 28.42 ha | 1.671 ha | 2.428 |
| Giglio | 2230 | 144.58 ha | 0.064 ha | 11.736 |
| Capraia | 74 | 103.41 ha | 1.397 ha | 2.846 |
| Elba | 2924 | 345.77 ha | 0.118 ha | 7.945 |
Disclaimer/Publisher’s Note: The statements, opinions and data contained in all publications are solely those of the individual author(s) and contributor(s) and not of MDPI and/or the editor(s). MDPI and/or the editor(s) disclaim responsibility for any injury to people or property resulting from any ideas, methods, instructions or products referred to in the content. |
© 2025 by the authors. Licensee MDPI, Basel, Switzerland. This article is an open access article distributed under the terms and conditions of the Creative Commons Attribution (CC BY) license (https://creativecommons.org/licenses/by/4.0/).
Share and Cite
Conti, L.; Armanasco, P.; Sottili, C.; Camiciottoli, S.; Liberto, D.; Moretta, M.; Masoni, A.; Palchetti, E. Agricultural Terraced Areas in the Tuscan Archipelago (Italy): Mapping, Consistency, and Territorial Analysis. Land 2025, 14, 822. https://doi.org/10.3390/land14040822
Conti L, Armanasco P, Sottili C, Camiciottoli S, Liberto D, Moretta M, Masoni A, Palchetti E. Agricultural Terraced Areas in the Tuscan Archipelago (Italy): Mapping, Consistency, and Territorial Analysis. Land. 2025; 14(4):822. https://doi.org/10.3390/land14040822
Chicago/Turabian StyleConti, Leonardo, Paolo Armanasco, Caterina Sottili, Stefano Camiciottoli, Donato Liberto, Michele Moretta, Alberto Masoni, and Enrico Palchetti. 2025. "Agricultural Terraced Areas in the Tuscan Archipelago (Italy): Mapping, Consistency, and Territorial Analysis" Land 14, no. 4: 822. https://doi.org/10.3390/land14040822
APA StyleConti, L., Armanasco, P., Sottili, C., Camiciottoli, S., Liberto, D., Moretta, M., Masoni, A., & Palchetti, E. (2025). Agricultural Terraced Areas in the Tuscan Archipelago (Italy): Mapping, Consistency, and Territorial Analysis. Land, 14(4), 822. https://doi.org/10.3390/land14040822

