Next Article in Journal
Modeling Irrigation of Tomatoes with Saline Water in Semi-Arid Conditions Using Hydrus-1D
Next Article in Special Issue
From Reading to Design of the “[entra]mar”: The Role of Urban Morphology in Architectural Pedagogy and Design
Previous Article in Journal
Investigating Endemic Species Conservation Hotspots Based on Species Distribution Models in Swat Region, Hindu Kush Pakistan
Previous Article in Special Issue
Urban Texture Identification and Characteristic Analysis Based on Percolation Theory—A Case Study of the Second Ring Road Area in Wuhan City
 
 
Font Type:
Arial Georgia Verdana
Font Size:
Aa Aa Aa
Line Spacing:
Column Width:
Background:
Article

Study on the Morphological Analysis and Evolution of the Street Network in the Historic Urban Area of Changsha City from 1872–2023

1
School of Architecture and Art, Central South University, Changsha 410011, China
2
Changsha Urban Planning Information Service Center, Changsha 410221, China
3
College of Architecture and Urban Planning, Guizhou University, Guiyang 550025, China
*
Author to whom correspondence should be addressed.
Land 2024, 13(6), 738; https://doi.org/10.3390/land13060738
Submission received: 22 March 2024 / Revised: 18 May 2024 / Accepted: 21 May 2024 / Published: 24 May 2024
(This article belongs to the Special Issue Urban Morphology: A Perspective from Space)

Abstract

This study focuses on the streets and spatial networks of the historic urban area in Changsha, the capital of Hunan Province, China, by mainly investigating the evolution of their geometric and topological characteristics. It draws on the theories and methods of urban morphology and space syntax, combines the digital historical maps at different times, and uses methods such as historical map spatial interpretation, geographic information system (GIS), sDNA tools, and urban morphological parameter analysis to explore and sort out the evolutionary process of the street and alley network in Changsha from the early modern period to the present. The paper constructs a parameter system for analyzing the street and alley network of historic urban areas from a geometric and topological perspective. It introduces the indicators of road density, road orientation, intersection density, and approaches such as closeness, betweenness, and intelligibility in space syntax into the parameter analysis framework of street and alley network morphology and spatial characteristics evolution. By comparing the changes in various parameters at different spatial scales, the process of the spatial order evolution of the street and alley network in the historic urban area is analyzed, and the evolutionary rules of the various periods’ morphological characteristics are extracted.

1. Introduction

Urban transportation roads are an important texture element that reflects the urban form and structure and are considered the dominant factor affecting the current urban form changes in China. In the study of urban form and road network evolution, utilizing digital means to conduct research has become the mainstream research method and means. By analyzing the composition patterns and evolution trends of urban spatial forms at different scales, we can understand the coupling relationship between road patterns and urban vitality spaces (especially commercial spaces) and help better carry out planning and design and implement planning strategies.
The parameterization and quantification of urban morphology, as well as the formulation of its metrics, represent significant tools for characterizing urban evolution dynamics and changes in urban form features. With the emergence of the space syntax theory and its analytical software in the 1970s, space syntax analysis gradually became an essential tool and methodology for scholars in studying urban spatial structure and form. The maturation of this technology has made it possible to digitize historical maps using GIS software and extract elements through spatial interpretation. This has led to a shift in related research from qualitative descriptions to quantitative analyses, primarily focusing on the quantitative characteristics of different urban street networks over time.
The dominant research themes mainly revolve around the analysis of topological features in these networks. Representative research outcomes include the following two categories: ① Researching all urban street networks across different eras and analyzing the topological morphology of the overall network. For example, Emanuele Strano analyzed the evolution of the road network in Milan, Italy, over the past 200 years by utilizing parameters such as morphological factors, intersection count, and road segment length. The study discovered two fundamental processes in the growth of the road network: “densification” and “exploration”. Strano also examined the relationship between road length and population growth, as well as the diachronic changes in street block shape factors [1]. After digitizing the road network in the historical map, Hanae El Gouj et al. analyzed the road patterns of three French cities in three historical periods (18th, 19th, and 20th centuries) by calculating their topological and geometric characteristics and compared their topological and central characteristics [2]. Zhang He studied the use of the compactness index, spatial integration index, fractal index, and other parameters to carry out digital analysis of historical maps. Through GIS, space syntax, and other technical methods, he carried out quantitative digital simulation analysis on the spatial evolution process of typical systems such as the scope of urban built-up areas, road network structure, and block texture. He explored the self-organization law nodes in the evolution of urban spatial characteristics [3]. Shiguang Wang established a general framework and analysis process for the temporal evolution analysis of urban road networks based on network theory, analyzing the trend of urban road networks spreading and densifying in Changchun, China from 1912 to 2017. He also distilled and summarized the evolution and growth patterns of urban road networks [4]. ② This kind of research mainly focuses on Chinese scholars, focusing on the historic urban areas of historic cities as the research scope, and exploring the evolution of the internal street network. The reason is that, unlike foreign historic urban road networks, which have strong stability and continuity, most cities in China have undergone great changes in their historic urban texture and roads due to the transformation of the planning paradigm and the impact of modernization. Zhou Lin examined the evolution process of Beijing’s historic city street network at various scales using the theory of space syntax. By analyzing the integration and traversal structures of different periods from three aspects, street network overture, “local–global” hierarchical relationship, and operational efficiency, the author also discusses the “local–global” hierarchical relationship between sub-areas such as the Imperial City and the Outer City with the entire historic urban core [5]. Danjie Shen utilized space syntax, ArcGIS, and historical map interpretation techniques, among other technical tools, to analyze the evolution of the urban form of the historic city area of Chongqing from two perspectives: the perceivable urban space and map information. This study investigates the changes in the urban form of Chongqing from the late 19th century to the present, based on the urban form and land use patterns of the historic city area [6]. Zhu Shaoqing posits that the fractal connectivity of city streets should be evaluated from the perspective of humanized urban transportation. Three analytical methods were applied to calculate the fractal dimension of the urban road network in Xi’an City during four periods: 1735, 1893, 1949, and 2014. This revealed the fractal evolution trend as well as the fractal characteristics of the road network at different periods. The evolutionary reasons were explored, and three stages were determined in the process of fractal evolution [7]. Studies employing these methodologies have been conducted in a variety of cities around the world, including London [8], Zurich [9], Manhattan and Barcelona [10], Como [11], Hohhot [12], Shantou [13], Paris [14], etc. In terms of the research subject of Changsha, its historic urban area and built-up area in recent years have also been the subjects of some articles that have utilized Space Syntax from various perspectives such as urban design, historical geography, and urban image perception. For instance, Lu Zheng utilized the subjective evaluation method of combined cognitive imagery from cognitive maps and cognitive understandability of Space Syntax to analyze the spatial composition mechanism of the historic urban area of Changsha from the aspects of “depth” and “understandability” [15]. Jinyu Fan employed the method of complex network analysis to explore the evolution characteristics of the accessibility of the road network in the historic urban area of Changsha City during the four historical periods, utilizing metrics such as network degree centrality, node density, and k-core to investigate the intrinsic driving forces behind these changes [16].
Corresponding to the research on the topological characteristics of road networks, quantitative studies on the geometric characteristics of urban street networks have also gradually increased in recent years. Various parameters for analyzing road networks have also emerged continuously, providing a rich set of indicators for the characterization and quantification of urban form features. Martin Fleischmann’s article systematically and comprehensively reviews the 364 parameters that can measure urban form characteristics, elaborating in detail on the 364 parameters for characterizing road networks, plots or blocks, and buildings [17]. Apart from topological shape indices, common metrics used to characterize street network geometry also include aspects such as the height-to-width ratio [18], fractal dimension [19], intersection type ratio [20], orientation of road network [21], scale hierarchy [22], and so on. Chinese scholars have likewise proposed novel metric parameters such as network density [23], interface density [24], and access structure [25] in their recent research.
In general, the existing literature is primarily focused on the evolution of urban morphology and expansion at a macroscopic level at the overall city scale. The analysis tools, parameter algorithms, and overall frameworks all exhibit a relatively consistent pattern. Specifically, the classic techniques of space syntax and their integration, choice, and depth are employed as network analysis parameters to investigate and compare the evolution process of street networks across different historical periods. The overall description of the topological characteristics of the road network space is the primary focus, emphasizing the representation of urban morphology changes. However, the evolution process of urban morphology at a historic urban scale or a smaller scale within the city is not fully explored. Additionally, the underlying driving elements and interactive logic behind the spatial changes in different historical periods are inadequately analyzed and investigated. Similarly, there are certain shortcomings in the research on the evolution of urban morphology in Changsha. For example, the exploration of historical maps is not sufficiently comprehensive, covering only a limited range of historical periods. Also, the digitization process of historical map road information has not been performed for spatial alignment, leading to inconsistencies in the scale of various maps analyzed. This results in the final analysis being less precise.
Therefore, based on the research mentioned above, this paper focuses on the evolution process of the road network at the meso- and microscale in the historic urban area of Changsha City, Hunan Province, China, by digitalizing and spatially decoding representative historical maps since the Qing Dynasty till today. The study employs the sDNA software (Version 4.1.1) in the space syntax as well as GIS as analysis tools, to conduct a comprehensive analysis and measurement on the evolution characteristics of street patterns from both geometric and topological perspectives. Furthermore, it summarizes the evolution process of the urban form in the historic urban area of Changsha City, and the socio-economic interaction driving force behind it, providing a reference for the construction of streets in the historic urban area, as well as the formulation of related policies and guidelines. This will help to further understand the deep relationship between historical spatial structure changes and socio-economic activities. Moreover, this study, through multi-scale analysis of the spatial reproduction process in the historic urban area, and the summarization of the evolution characteristics of urban form, provides significant insights into the context of rapid urbanization in China. This contributes to promoting more sustainable urban renewal and historic city conservation. Figure 1 shows the overall framework and technical path of the entire article.
This study has some limitations. First of all, due to the lack of accurate historical maps, even after spatial registration and vectorization, the length, position, and orientation of the road network still have certain deviations or lead to certain errors in the analysis results. Secondly, multi-scale is an important link in the application of space syntax. Many scholars prefer to set different analysis radii when calculating the closeness degree and betweenness degree. However, this paper only analyzes the historic urban scale and pedestrian scale and should cause an increase in the discussion of the neighborhood scale and global scale in the follow-up research and compare the differences in the evolution process of global scale and neighborhood scale. Finally, the discussion of this study is mainly focused on the road network structure and lacks a discussion on land use and function, which can be further analyzed and discussed in the follow-up study.

2. Materials and Methods

2.1. Research Scope

Located in the central Hunan Province of China, the capital city of Changsha is a typical hilly city, with its advantageous geographical location and water transport making it a significant commercial city in the Yangtze River basin since ancient times. It is also a historically and militarily important city. As one of the earliest Chinese cities with a continuous history of over 2600 years and a complex urban evolution process, Changsha’s urban construction can be traced back to the Spring and Autumn Period in the Warring States Era (6th century BCE), with a history of over 2600 years and a profusion of layers of construction during different periods. From the early feudal era’s closed-loop evolution to the urban development influenced by Western municipal planning under modernization; from socialist construction influenced by the Soviet Union since 1949 to the marketization of real estate after the reform and opening up, which brought a transformation and impact on the city structure and its development mode, the historic urban area of Changsha has experienced ups and downs over two millennia and the accumulation of multi-faceted historical development traces and urban textures (Figure 2).
In China, the Law on the Protection of Cultural Relics stipulates that a “historic and cultural city” refers to a city with particularly rich cultural relics and great historical and cultural value and revolutionary significance. At present, China has approved and announced four batches of 143 national historic and cultural cities approved by the State Council, and Changsha is one of the first batch of national historic and cultural cities announced in 1982. In the protection system related to historic and cultural cities, the practice of demarcating different protected areas is mainly adopted to protect and control at the planning level. Historic urban areas are those that encapsulate the evolution of their towns or represent the distinctive character of a particular era. These areas, particularly within renowned historical and cultural cities, possess a well-defined historical context and retain a relatively intact layout and architectural features that warrant comprehensive protection and management. Their boundaries encompass what we commonly refer to as the ancient city centers and older urban districts. Historic districts are areas where historical and cultural relics are relatively abundant, can more completely and truly reflect the traditional features or local characteristics of a certain historical period, and retain certain cultural relics, historic buildings, or traditional buildings, while historic and cultural areas are historical districts that should be protected by the government, and there are relatively specific requirements for the number and area of heritage.
Based on the scope delineation in the “Plan for the Protection of Historic and Cultural Heritages in Changsha City”, the boundary of the historic city area in Changsha is determined as north to Xiangchun Road, southeast to Jianxiang Road, Furong Road, and Baisha Road (former railway line during the Republic of China), west to the Xiang River. The entire area covers the built-up areas of Changsha during the Ming Dynasty, Qing Dynasty, and the major urban areas during the Republic of China, with a total area of about 5.6 square kilometers. Within this area, there are also two historic districts and three historical and cultural areas (Figure 3) [26]. Throughout multiple historical periods of urban construction and renovation since the Han Dynasty, the historic urban area is the most extensive region of historic cityscape with the longest history, frequent updates, and the most obvious and dramatic changes, in the city of Changsha. Therefore, this study focuses on the range of the historic city area in Changsha.

2.2. Stage of Research Division

Historical events play a pivotal role in the transformation of urban form and structure. This study, by reviewing prior research, historical documents, and historical maps, and dividing the stages of the development of the historic urban area in Changsha based on major historical events, has categorized the following four phases:
  • Feudal Period (from the founding of Changsha during the Chu-Han period toward the end of the Qing Dynasty)
During the feudal period, Changsha mainly served political and military functions, with a limited scale of urban development. The architectural style was dominated by traditional Chinese buildings, reflecting the typical characteristics of ancient cities such as city walls, administrative offices, temples, etc. The city spread in a concentric manner, with the city wall serving as the boundary for urban development, indicating an expansion style based on the convenience of water transportation facilitated by the Xiangjiang waterway and the Yangtze River. Changsha benefited from its convenient access to the Xiangjiang River and relied on water transportation on the Xiangjiang River as its primary external communication and economic support.
2.
The Republican era (1911–1949)
During the period of the Republic of China, the urban construction of Changsha began to have the embryonic form of modernization, with the emergence of new government institutions, schools, and commercial buildings. At the same time, the city suffered devastating damage due to the war and the Historical Wenxi Fire. Changsha’s modern industry is rising gradually, but its development is slow, and its economy is still dominated by agriculture, handicraft industry, and commerce. Although the development of Railways and highways had played a certain role in promoting Changsha’s economy, and the urban area had expanded, the spatial structure and shape of the central area of the City have not changed much from that of the Ming and Qing Dynasties due to the restrictions of the Xiangjiang River, the ancient city walls and railways. This also caused some damage to the traditional urban landscape, including the demolition of city walls and gates and the disappearance of some streets and alleys. Western-style buildings and buildings of the Republic of China style have gradually replaced traditional buildings.
3.
The initial stage of socialism (1949–1978)
After the founding of the People’s Republic of China, the historic urban area of Changsha entered an active period of development focusing on the construction of socialist places. During this period, Changsha’s urban construction mainly focused on industrial development. The city gradually broke through the construction scope of the historic urban area and expanded rapidly to the surrounding areas, with the emergence of new industrial areas and residential areas. Urban construction gradually got rid of the traditional mode and began to move toward modernization. The main urban area was still limited by the old railway line and Xiangjiang River in the space of the old urban area. Although the relocation of the new Beijing Guangzhou railway line and the construction of the new Changsha railway station have expanded the whole urban structure eastward, the whole society is still in the era of planned economy, and the development of infrastructure has not greatly changed the spatial structure and morphology of the city.
4.
The Reform and Opening-up Era (1978 to present)
With the advent of reform and opening up, Changsha’s economy and society have developed rapidly. Urban construction and planning have also entered a new historical stage. The construction of roads, bridges, subways, and other transportation facilities had accelerated. The commercial function and central position of historic urban areas have been continuously strengthened, and large-scale and modern urban renewal has been ushered in after the reform of the land system and tax-sharing system. The contradiction between historic and cultural protection and urban renewal has further intensified. The preparation and revision of the master plan for the new period and the protection plan for famous historical and cultural cities have made the historical urban areas gradually open and inclusive in the game of protection and development.

2.3. Data

For the study of urban evolution, historical maps serve as a critical source of information, offering rich geographic elements such as terrain, waterways, and man-made landforms such as buildings and roads. Based on the aforementioned development stages and factors such as the accuracy of historical maps, the study utilizes historical maps from the years 1872, 1912, 1935, 1986, and 2023 as a foundation, and employs sDNA to create space syntax line diagrams. Streets are considered the fundamental geographic units for analysis.

2.4. Method

To gain a deeper insight into the inherent urban spatial organization and the patterns of road network evolution within the road networks of the historic urban core, we chose five distinct historical maps, each from a different epoch. These maps serve as our analytical specimens, embodying snapshots of the road network during varying socioeconomic eras and under divergent planning and design philosophies. We used the interpretation method based on historical maps for spatial vectorization and utilized the ArcGIS software (Version 10.3) and its NetworkGT (Version 0.1) and sDNA(Version 4.1.1), two open-source toolboxes, for geometric and topological analysis, respectively. We also calculated several indicators that reflect the spatial order and entropy change of the road networks, respectively.

2.4.1. Historical Map Interpretation

To accurately depict the spatiotemporal characteristics of road networks, we need to perform digital spatial interpretation of the road segments on historical maps. This process involves overlaying mapped segments from different areas that have been digitized and aligning them spatially to systemically track their morphological evolution over time. Specifically, historical map interpretation refers to the process of extracting historical spatial information elements from traditional, paper-based historical maps through digital processing and converting them into digital maps that can be identified and utilized by modern Geographic Information Systems (GIS). This involves not only the digitization of maps but also the accurate interpretation and reproduction of historical geographic information, as well as providing a new approach for analyzing and understanding the spatial patterns of historical elements and the urban socio-economic development process (the transfer of commercial centers and the relationship between urban road grid bureaus and the transformation of transportation modes). It provides powerful technical support for reconstructing the spatiotemporal distribution patterns of historical elements at different times and locations. Since historical maps differ from modern topographic maps in terms of drawing methods, scales, and so on, this study adopts three steps for historical map interpretation: the first step involves the collection and sorting out of historical maps at different stages; the second step involves the spatial calibration of historical maps in GIS, and the third step involves utilizing historical documents and other spatial information to verify and correct the calibrated maps, improving the accuracy and reliability of the translated maps. This study utilizes GIS as the technical platform, integrating data such as ancient gazetteer maps from historical records, modern surveying maps, and remote sensing imagery, to spatially align and digitally interpret the road information from five representative historical maps. Quantitative and qualitative analysis is conducted on the evolution process and morphological characteristics of the streets in the study area over the past century and more using this information. Table 1 shows the origin of historical maps and spatial interpretation results of the map at different times.

2.4.2. The Parameter Selection for Geometric Morphological Characteristics

The geometric characteristics of road networks mainly manifest in their structure and layout, reflecting the history, function, and planning ideology of urban transportation planning. Specifically, the geometric characteristics of road networks include the spatial distribution characteristics of point, line, and surface types, as well as the quantity characteristics of different geometric forms. Point-type characteristics refer to the types, numbers, and spatial distribution of intersections of different types in the road network. Line-type features are mainly determined by the length, density, and form factor of the road network. Surface-type features are formed by a combination of multiple roads that form a neighborhood, residential area, or administrative management zone. These surface structures have a significant impact on the functional zoning, land use, and traffic organization of the city. This paper will primarily focus on the proportion of intersection types, the line density of the road network, the distribution of orientation, and the form factor of the street block as four quantitative parameters for the analysis of the geometric characteristics of road networks at different scales (Table 2).

2.4.3. Space Syntax and Variable Parameters for Topological Morphology Based on sDNA

As early as the late 70s of the last century, Bill Hillier proposed the concept of space syntax, after three stages of theoretical development, methodological development, and extended application, space syntax derived and developed a set of mature theoretical and quantitative analysis methodological frameworks and specialized spatial analysis software technology, which has become a very important and international research field in the study of urban morphology [27]. At the theoretical level, space syntax believes that space is not only the background of socio-economic activities but also an important part of socio-economic activities. It is concerned with the laws or characteristics of the composition of the space itself, and how these characteristics affect people’s activities. The basic concept of space syntax is that the diachronic process of creating, transforming, and using space reflects the laws or characteristics of space itself, and the way space itself is built reflects the laws or characteristics of the socio-economic culture of a certain time and place. At the methodological level, the core of the space syntax methodology is to treat the architectural space as a network, in which the nodes represent the spatial units (such as rooms, halls, etc.), and the edges represent the connections between these spatial units (such as doors, corridors, etc.). In addition to the spatial analysis of the building, the space syntax constructs a set of computational methods and parameter systems for road networks based on the principles of topology and graph theory, aiming to quantify and explain the impact of spatial layout on human behavior and social interaction. By quantifying the topological properties of space, such as accessibility, centrality, connectivity, etc., researchers can evaluate and predict how spatial design affects people’s flow patterns, frequency of interactions, and efficiency of space use. These attributes are essential for understanding the function and efficiency of a space.
Space syntax, having evolved over many years, has given rise to a variety of models, among which the axial model and the line segment model are extensively utilized in urban scale modeling and analysis. The emergence of new models and algorithm improvements for urban morphology space syntax analysis, as well as the diversification of parameter systems, provides support for more accurate predictions and evaluations of road network accessibility and the relationship between morphology and socio-economics. In recent years, the advantages of the line segment model based on road center network have gradually emerged. This model considers factors such as actual distance and street deviation angle, enabling it to better capture the changes in geometric forms, and it exhibits a higher modeling efficiency.
Traditional space syntax analysis relies primarily on the Depthmap series software developed by the University of London in the UK. However, this software is not compatible with GIS and has relatively weaker stability when analyzing large-scale data. sDNA, similar to traditional space syntax, is based on mathematical concepts such as graph theory and analyzes the interaction between objects from the perspectives of geometry and relatedness. The sDNA software model improves its analysis methods and software algorithms through iteration and improvement, making the software more user-friendly, compatible, stable, and efficient (Table 3). Additionally, it sets the search radius in terms of spatial morphology parameters, while also considering the impact of distance and angle weights on the network. This software exhibits relative advantages and superior fitting results, which facilitate a deeper understanding and analysis of urban space (Figure 4) [28]. Therefore, this paper selects sDNA as the analysis tool, utilizing the three major parameters in spatial road network analysis—closeness, betweenness, and intelligibility—for analysis.
  • Closeness
Closeness represents the difficulty of a road network to access other road networks within a search radius, and high closeness networks typically have a higher level of accessibility and centrality, attracting more traffic flows in the area. The closeness measure in the sDNA model is similar to the integration degree in the spatial grammar segment model, which reflects the relative position and connection density of spatial elements within a given range or radius. In other words, it measures the overall or local level of traffic accessibility. In the traditional spatial grammar segment model, the closeness is calculated by the total topological depth of nodes in the network within the specified range, while in the sDNA algorithm, the calculation method has been substantially improved. Although the complexity of computation is higher, the results obtained using continuous spatial analysis are more rigorous. The sDNA recommends using NQPD (Network Quantity Penalized for Distance) to measure the closeness index. The advantage of the calculation formula is that it simultaneously considers both the quality and quantity of the network:
N Q P D A ( x ) = y R x W ( y ) P ( y ) d ( x , y )
where x represents the segment to be computed; Rx is the set of other segments within a given radius R that can be reached from segment x; W(y) represents the weight of segment y, which can be represented by segment length or the number of interest points, etc. The distance d(x, y) represents the distance between the segment x and y, including Euclidean distance or angle distance, etc. P(y) represents the proportion of the segment y in segment Rx. In a discrete space, P(y) = 1, when y ϵ Rx; P(y) = 0, when y ϵ Rx. In a continuous space, P(y) represents the proportion of the segment y within a radius R.
2.
Betweenness
The Betweenness index is typically used to measure the likelihood of traffic flow passing through a road network within a search radius. The higher the permeability, the stronger the viability of the road network, and correspondingly, it bears a relatively large number of traffic flows passing through. On the other hand, the lower the permeability the lesser the likelihood of the traffic flow passing through the network. The possibility of choosing a particular segment in a certain search radius is usually calculated based on the minimum travel time. This method is similar to the standardized permeability parameter (NAchoice) proposed by Hillier (2012) [29]. The calculation of the shortest travel path typically uses physical distance or angle distance as measurement methods. In the sDNA algorithm, the parameter is standardized using the number of nodes within the search radius. The two-phase permeability (TPBt) parameter is obtained. This paper utilizes the angle distance as a weight for the selection degree. The selection degree is defined as follows:
T P B t ( x ) = y N z R y O D ( y , z , x ) W ( z ) P ( z ) t o t a l   w e i g h t ( y )
where n is the collection of all road sections in the study area; Ry is the set of other road sections that can be reached within a given radius r starting from road section y; W (z) is the weight of road section Z; P (z) is the proportion of section Z in Ry; Total weight (y) represents the total weight of all sections within a given radius r starting from section y; OD (y, z, x) is the assignment rule of the shortest path under different conditions.
3.
Intelligibility
In space syntax, “Intelligibility” (or “Understandability”) refers to the clarity and ease of understanding of a space’s structure. It measures the ease with which one can grasp the spatial structure of a single space, and whether it contributes to establishing a coherent picture of the entire spatial system. Intelligibility is typically measured using a single street line segment as the analysis unit, with the global accessibility value being the X-axis and the local accessibility value being the Y-axis. After performing a regression analysis, the R-square value is taken as the characterization parameter, and the degree of difficulty in comprehending and understanding the local space in relation to the overall network is obtained. Since the sDNA model cannot perform linear regression analysis, the parameters obtained from the analysis of X and Y need to be imported into Excel for further regression analysis. The scatter plot is then used to illustrate and calculate the R2 value. A larger R2 value indicates a higher level of matching and compatibility between the local space and the overall network, indicating a clearer structure that allows for easy understanding of the layout and relationships between different parts of the space. Conversely, a smaller R2 value indicates a complex or chaotic structure, making it difficult to comprehend.

3. Results

3.1. Geometric Characteristics of Street Network Evolution Based on Morphological Parameters

3.1.1. Road Length and Density Characteristics

Table 4 shows the Road Link Length and Density change of the whole area in the four periods, the length of streets increased the most in more than 20 years from 1912 to 1935, and the length of new streets was 40.41 km. This period is a period of rapid urbanization and urban sprawl development, so the number of streets in the study area had soared due to the large-scale expansion and reconstruction of the urban area. By 1935, this figure had increased to 108.56 km, an increase of 64.16 km over the end of the Qing Dynasty. The total length, width and construction quality of the road had been improved. The street density was 19.39 km/km2, about 2.45 times that of the end of the Qing Dynasty. The streets changed slowly from 1935 to 1986. In the late Republic of China, due to the devastating destruction of urban construction caused by the Wenxi fire in 1938 and the overall unstable social environment, urban construction almost stagnated and was in a state of reconstruction and repair for a long time. After the founding of New China in 1949, with the restoration of urban construction in the primary stage of socialism and the increase in population, the density of streets and alleys within the scope of the study further increased. During this period, the urban population gradually increased, and the scope of urban construction began to break through the original railway boundary and expand rapidly to the east and south.
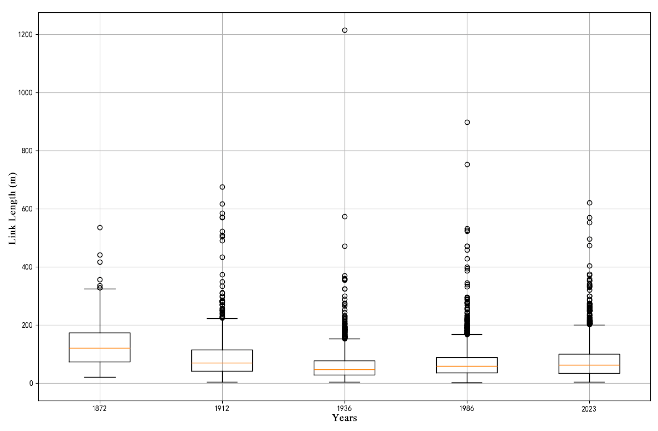
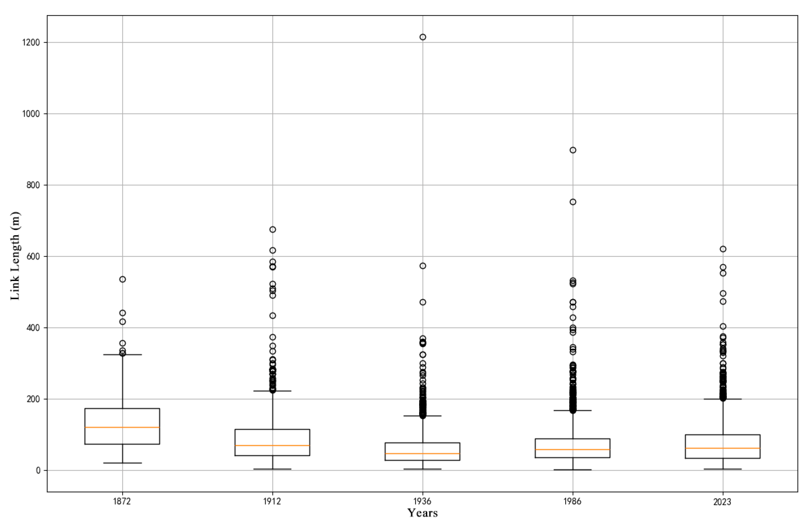
However, in terms of the historic urban area, the length of the road network increased slightly, and the road length increased by only 21.4 km during this period. After the reform and opening up in the 1990s, the preparation of the new overall urban planning was started and the requirements of the new road design specifications were issued. The pace of urban road construction and reconstruction was accelerated. The newly planned road system was constructed according to the system of trunk roads, secondary trunk roads, and branch roads. Therefore, affected by the construction of a modern urban road network, many curved and narrow streets and lanes in the historic urban area were replaced by main roads and secondary roads from 1986 to 2023; the existing street and lane system was transformed, widened, and straightened; and the total length of the road decreased by 14.44 km compared with that in 1986. We also analyzed the length of all road links (Figure 5). On the whole, with the continuous evolution of the road network, the changing trend of the overall length shows a law of first decreasing and then increasing, which is just opposite to the change in the number of road intersections.
Since we cannot visually observe the changes in local density from the overall data, we also conducted a smaller scale level data analysis and its spatial distribution. By constructing a 100 × 100 m fishing net grid within the study area, we measured and statistically analyzed the road density within each grid across different years and within four periods (Table 5). The results indicate that road density had increased and decreased in all four periods, with the first three periods showing net positive values, indicating that road density had generally maintained an increasing trend, while the last period shows a net negative value, suggesting that the overall trend is one of decreased road density. Additionally, Figure 6 reveals that the median values of road density changes across the first period are generally close to 0, with the median values of the middle two periods remaining positive, while the median values of road density changes in the last period are negative.
Figure 7 illustrates the spatial variation of the changes in road density and their inter-period density increments. From the perspective of the spatial distribution of road density changes, the first period is characterized by a central decrease in road density and an increase in the periphery, which is primarily associated with the adjustment of roads in the central area and the gradual formation of roads, docks, and connections between the city and the inner city. The second period is mainly concentrated on the southern part of the research area, indicating an increase in population and urbanization expansion to the south. The third period mainly follows the east side of the railway line for road expansion, while the area within the original city wall presents a difference between the east and west sides, with the west side displaying a dominant increase in density and the east side a dominant decrease in density. This characteristic is related to the large-scale cluster-style development construction brought about by the construction of public buildings and residential complexes on the east side after the establishment of the country. In the fourth period, the spatial representation shows a significant contrast with the changes in the third period. Most grids present a decrease in density, with the grids with relatively large changes mainly concentrated on the two sides of the grid road system composed of main roads at the city block level. Here, many high-rise and super-high-rise commercial and office buildings were densely built, gradually replacing the road network of low-rise and multi-story buildings.
Overall, significant changes have occurred in both urban landscapes and road infrastructures across the four periods, with the cumulative absolute value distribution largely centering on the western bank area of the river and the central and peripheral areas of the main urban road network (Figure 7c1–c3). Overall, there were 631 grids with relatively small changes in absolute density, with the green, yellow, orange, and red grids comprising 149, 310, 143, and 29 grids, respectively, accounting for 23.61%, 49.13%, 22.66%, and 4.60% of the total grids. It is evident that the spatial distribution of green and yellow grids aligns somewhat with the current locations of historically designated areas or historic districts.

3.1.2. Number and Spatial Characteristics of Road Intersections

From the number and spatial distribution of different types of intersections (see Table 6; Figure 8), the numbers of different types of intersections during the first two periods (1872–1935) maintained an increasing trend. At the same time, the roads around Imperial City were gradually densified in different street profiles, which reflects the densification process under the property right plot to some extent and represents the bottom-up self-organizing property right plot subdivision and delimitation mode. In the latter two periods (1935–2023), the number of Y-type intersections basically remained unchanged and decreased by 15.7% in the later period, while the number of broken end roads decreased by about 51.3%, and the number of X-type intersections showed a trend of first increasing and then decreasing. The road network structure at this stage began to consciously transform into grid roads, trying to connect with the internal closed roads. This also reflects the process of replacing informal land under the top-down cluster development mode, resulting in the gradual reduction of the number of broken-end roads.
From the perspective of quantity proportion, the proportion of y-intersections had been occupying a large portion and rapid increment in the whole evolution process (Figure 9). Some studies show that many y-intersections seem to have the typical characteristics of self-organized or “organic” urban networks while the grid layout has the unique characteristic of cities such as Barcelona or New York, and its urban shape is the result of large-scale top-down planning [1]. Therefore, we can draw a conclusion that the historic urban area of Changsha presents a process of mutual coupling, embedding, and game between the self-organization system from the bottom up and the spatial planning system from the top down.

3.1.3. Road Orientation Characteristics

Drawing on the synchronic comparative study of the orientation differentiation and orientation entropy of road networks in different cities by Boeing, we analyze the diachronic changes and evolution laws of the orientation of road networks in historic urban areas (Figure 10). The original road data were interrupted at the break point, and the orientation angles of all road segments were calculated and counted by GIS. The rose chart in Figure 4 provides another perspective on the analysis of the growth and change in the overall street network. Each polar histogram represents the direction of the street segment (compass direction), and each box in the front and back groups of diagrams represents 10 degrees and 5 degrees on the compass (in order to better compare the relationship between the two, two different standards are used here for visual comparison). The strip length represents the superposition statistics with the road length and the number of road segments as the cumulative weight. In the rose chart of the historic urban area of Changsha in five periods, we can see the changes in the growth and disappearance of the overall road network and the cumulative number of road segments. The growth of roads mainly depends on the orthogonal vertical east-west and north-south road expansion, which basically conforms to the above orthogonal development trend, and the total proportion of the cumulative number and length of non-orthogonal roads is always small. In addition, the comparison of the area occupied by the circle in the two figures in the same period can also roughly reflect the change in the average length of the road route. There are fewer branch roads and dead-end roads, and the average length of the North-South roads of the road network in the late Qing Dynasty is longer. With the development of the road densification process, the number of branch roads and intersections gradually increases, making the number of roads gradually increase and finally maintain a relatively balanced state.

3.1.4. Morphological Characteristics of Road Block

We conducted area statistics for each year of the block and performed a diversity analysis of morphological factors. Figure 11 indicates a transition trend from large-area blocks to small-area blocks. This trend is consistent with the trend of road length change. The underlying reason is the densification process of the road network and the relative stability of property plots.
From the diversity analysis of morphological factors, a greater value of shape index corresponds to a block with a larger number of polygon edges and a more circular shape, whereas a smaller value represents a block with fewer polygon edges and a more triangular or elongated linear shape. Figure 12 shows that the shape index curves for street grids formed from 1872 to 1986 all have their peak values at the 0.4–0.6 range, indicating that street grids are primarily rectangular, which aligns with the results of road orientation analysis. The street grids in 2023 are slightly different from the 486 street grids in 1986, with the number of street grids decreasing from 486 to 421. The number of street grids in the 0.3–0.6 range is decreasing by 96, while the number of street grids in the two extremes ranges (0.0–0.3; 0.6–0.9) is increasing by 30. These morphological changes reflect the impact of hierarchical new urban road networks integrated with the old road networks on morphological factors of street grids.

3.2. Analysis of the Evolution of Space Syntax-Based Street Network Topological Characteristics

3.2.1. Closeness Analysis

Firstly, we conduct an analysis of the topological characteristics of the street network in the historic urban district, focusing on its spatial evolution of accessibility structure (Figure 13). To present the process of the evolution of topological characteristics of the street network more objectively in the historic urban district and reflect the related syntactic parameters of integration and cross-through structure at different periods, the parameters are recorded (Table 7). In terms of approachability, the reform of the market economy in the 1990s marks the turning point of the parameters’ changes. During the period from 1872 to 1986, the maximum and average values of approachability increased from 0.81 and 0.69 to 3.84 and 2.84. The overall accessibility of the street network significantly increased with the introduction of Western modern urban planning concepts and road municipal construction, making it more open, integrated, and accessible. After the 1990s, the historic urban district began to update, large-scale modern buildings were implanted, and the modern road system was integrated into the existing network. The original network system was disrupted and disconnected, and the parameters further decreased.
In 1872, Changsha was in the late Qing Dynasty and basically continued the road grid Bureau of the Ming and Qing Dynasties. Based on the space syntax of sDNA in 1912, the entire road network is in a closed state due to the existence of the city wall. The highly accessible roads in the city form a square ring and a central axis connecting the north and South gates. In the local accessibility analysis, the road network where the high accessibility is located roughly reflects the location and road of the former Ming Dynasty Jiwangfu Palace, which is located in the geometric center of the whole city. After the demolition of the Ming Dynasty imperial city by the Qing Dynasty, the accessibility of the original inner city road network improved, and it still maintained the central position of the whole city. It can be seen that the construction of the Ming Dynasty imperial city had a far-reaching impact on the overall centrality of the city during the Ming and Qing Dynasties.
In 1912, the revolution of 1911 led to the collapse of the Qing Dynasty, and Changsha entered the period of the Republic of China, opening the process of urban modernization. This map is also the earliest modern map of Changsha. Compared with the road network in 1872, the road network in the whole city had been further densified and increased. From the analysis results of global closeness, the distribution of high-accessibility roads is not different from that before. The difference is that the original high accessibility road network expanded northward, the accessibility of East-West roads in the north-south direction of the city was strengthened, and the accessibility of the original Jiwangfu Palace began to weaken. From the perspective of local accessibility, the location of the pedestrian accessibility center began to shift from the center to the south of the city. Currently, the city still retains the city wall and the moat outside the wall as the boundary. At the same time, the east side of the city on the map is marked with the words “scheduled Guangdong Hankou railway”. The city began to survey and build the external railway from Changsha to Hankou, which was opened to traffic in September 1918, becoming a new urban development boundary. In 1920, the Changsha City Hall was established and became a specialized agency for urban planning and management. It began to prepare for the demolition of the ancient city wall and the construction of the ring road until the demolition was completed in 1924.
In 1935, the original city wall was demolished and the road around the city was built. The 17 m wide Zhongshan Road, completed in 1929, became the earliest east-west trunk road and the first asphalt road in Changsha and achieved a high degree of closeness. The accessibility of many roads connected with it also greatly improved. The overall accessibility of the road network had been improved a lot, especially for the north-south roads along the river near the wharf. The relatively balanced and symmetrical accessibility core had obviously shifted to the west. From the perspective of local accessibility analysis, the walking accessibility center of the overall network returns to the west of the original geometric center. The city began to develop to the south, but the accessibility was not highly limited by the railway. The Guangdong Han railway had become a new urban boundary.
In 1986, the historic urban area of Changsha had experienced more than 30 years of socialist construction since the founding of New China in 1949, and the area and population size of the urban built-up area increased significantly. The biggest change in the topological characteristics of the street network is the construction of the cross-shaped trunk road running through the East-West Wuyi Road and the North-South Huangxing Road in the whole city. Combined with Zhongshan Road to form the most accessible trunk road, the highly accessible roads in the whole network began to gradually converge to the axis center formed by Wuyi Road and Huangxing Road. The Wuyi road with a width of 40 m is dotted with municipal administrative buildings and many landmark public buildings, which had become the new central axis of urban development. The results of local accessibility show that the range of accessibility centers is basically unchanged, and the whole center of gravity of local accessibility is still inclined to the west of the central axis. The difference lies in the fact that the high accessibility sections gradually converge to the center of the cross and extend southward along the north-south axis, and the accessibility of the southern part of the historic urban area is strengthened.
In 2023, large-scale urban renewal and the construction of modern main and secondary road networks will reduce the number of street sections in the historic urban area from 1809 to 1491, and the overall accessibility structure will also change significantly. First, the original Yuehan railway was demolished and built into a north-south Furong Road trunk road and Baisha road. The construction of several east-west roads forms an orthogonal network system with the original north-south roads, and the central structure with high accessibility based on the cross axis had been transferred to a grid structure composed of main roads. Secondly, the central scope of local accessibility analysis had shifted from the North-South equilibrium with Wuyi Road as the axis to the south of Wuyi Road, and the pedestrian attraction and street vitality in the area north of Wuyi Road have decreased (see Figure 13(b3–b5)). Compared with the local accessibility in 1986, the core area is more inclined to the east of the central axis. Looking at the local accessibility analysis charts over the years, it can be seen that the North-South Huangxing Road has been in the foreground network of local pedestrian accessibility for more than 100 years (see Figure 13(b2–b5)), carrying and continuing the flow of people and commercial places in the entire historic urban area. Therefore, this section was transformed into a Pedestrian Commercial Street in 2002 and became the core commercial center of Changsha. The ship logistics transportation function and transportation place carried by the wharf along the river in the city are gradually declining, and the vehicle-based transportation mode is gradually rising. Tunnels and bridges have become new river-crossing transportation channels at present.

3.2.2. Betweenness Analysis

The change of the betweenness degree parameter also shows a two-stage characteristic of first increasing and then decreasing. The structural characteristics of high closeness degree space and high betweenness degree space are also relatively consistent with the road, even highly coincident. From 1872 to 1935, the maximum value and average value of the betweenness degree continued to rise and reached a peak in 1935. This result shows that while the overall road network is densified, the carrying capacity of traffic flow and pedestrian flow and the traffic potential of the overall road network to attract traffic flow are continuously enhanced. This is also in line with the rapid growth of economic activity demand and the resulting traffic flow demand during the period of the Republic of China. After the construction of cities in the socialist period in 1949, the average and maximum values showed a decline. At this stage of the street network, the overall geometric grid shape and the grid characteristics of high and medium degrees are also increasingly prominent, indicating that the travel needs and links between regions are also increasingly close. It is worth noting that in the foreground network of the overall road network, although the structural representation of the high closeness degree and high closeness degree space before 1949 is similar in the spatial distribution, the number and scale of the former is significantly larger than that of the high closeness degree road network. After 1949, the structure and spatial distribution of the two became increasingly similar and convergent, both concentrated in the chessboard grid with the primary and secondary trunk roads as the network.
By comparing the results of the betweenness centrality analysis of different space syntaxes in different periods, it can be observed that the evolution trends and representation structure of high betweenness degree road networks are similar to those of high closeness networks with relatively high centrality. Before 1949, networks with high betweenness exhibited relatively central agglomeration characteristics, presenting a “ring-like” and “fishbone-like” network structure with respect to the core of the former royal city. Subsequently, networks constructed by the cross axis of Wuyi Road and Huangxing Road and the grid skeleton of main and secondary roads gradually emerged and assumed a relatively high proportion of walking frequency. The betweenness of these networks, on the other hand, displayed a uniformly dispersed characteristic. The original royal city was surrounded by roads on both the east and west sides, as well as the south, which maintained high betweenness. However, the east-west roads often experienced fluctuations in their betweenness due to changes in the functional areas and road locations. Overall, the perspective network of pedestrian activities in the historic area had experienced a transition from a central core, closed structure, and east-west symmetry to a decentralized, open, and uniformly dispersed grid structure. Simultaneously, with the implementation of the concept of road system construction centered around vehicles and the gradual shift from a network system with city walls as a closed boundary to a block-oriented, site-prioritized spatial mode, some road systems with good pedestrian space characteristics and reflecting the urban road texture have been forcibly segmented and interrupted. Consequently, the walkability of the whole area gradually declined.

3.2.3. Intelligibility Analysis

Finally, the evolution of the intelligibility of urban street networks is discussed based on the results from the sDNA model. Regression analysis was used to calculate the intelligibility of the road network in the historic urban area of Changsha from five historical periods, and the scatter plot results are shown in Figure 14. It can be observed from the figure that, in terms of the entire urban area, the intelligibility shows an “upward→upward→down→down” fluctuation process. Both the two declines occurred in the process of transforming the land system after the reform and opening up. In 1912, the city wall closure structure in the historic urban area was still in place, although the road length, number of segments, and intersection density had increased significantly. The total length of roads in the city was 1.5 times that of the road segments in 1872, but the majority of the new roads were short and crooked lanes, contributing little to the overall intelligibility. Consequently, the intelligibility value only experienced a slight increase. In 1935, following the demolition of the city wall and the construction of a ring road, the overall accessibility of riverfront roads and the global road network significantly increased. This led to a significant increase in the overall intelligibility. After 1949, the streets in the historic urban area began to prioritize the construction of urban main roads, and the embedding of a new road network system made the structure increasingly symmetrical and orthogonal. Although the road length and scale had increased significantly since 1935, the overall intelligibility value had risen slightly. However, the intelligibility of the overall road network in 1986 and 2023 decreased, even falling below the intelligibility of the road network structure in the late Qing Dynasty.

4. Discussion

By comparing the morphological characteristics and topological features of the street network in the historic urban area during the modern and contemporary periods, the spatial development process of the street can be analyzed. This region represents the most concentrated and dramatic area of urban accumulation in Changsha and traces the changes in this area since the modern era, providing a detailed study of the urban form change of Changsha’s street network.
The century-long evolution of the street space and its characteristics in the study area is the complex result of continuous changes and interactions of numerous driving factors, such as political, economic, cultural, ecological, technological, urban planning, and construction. The road system gradually formed through layer-by-layer accumulation and continuous change became the basic structure of the urban road system framework in the historic district. This area also became the commercial core and the urban center of the whole city of Changsha. However, there are still many valuable cultural sites and historic buildings with historic, artistic, and scientific value in this area, so how to balance commercial development and protection of historic neighborhoods and historic buildings remains an important conflict and relationship that needs to be properly addressed in the process of cultural heritage protection and construction.
The research attempts to put forward three suggestions for the development of historic urban areas:
On the one hand, the gridding and layering of the road network system has enhanced the accessibility of the vehicle-based behavior, attracting large-scale commercial buildings and high-rise office and residential buildings to be built along both sides of the high-accessibility roads, which have a great impact on the historic environment and the style of the historic district. On the other hand, the space of the streets and alleys dominated by walking has been separated into independent blocks by the main road, and the accessibility of the internal branches of the blocks has been further weakened, while the streets and alleys with high pedestrian accessibility are almost all concentrated around the Huangxing Road Pedestrian Street to the south of Wuyi Road. The commercial atmosphere and urban vitality in the areas north of Wuyi Road have gradually declined. Therefore, a suggestion is to control the height, scale, facade style, and other elements of buildings on both sides of the streets and lanes for the historic and cultural areas where the entropy of density change of the road network is small. To meet people’s coordination and unity of walkability and the overall historic environment and landscape quality, to avoid the impact on the entire historic environment, and maintain the continuity of the streets and lanes space, the proportion of commercial space in the area north of Wuyi Road should be appropriately reduced and controlled and other new functional formats should be introduced.
Another suggestion is to evaluate the collective memory and landscape value of the streets from the perspective of the integrity of heritage protection, based on the development process and continuity of the streets in the historic urban area. Then, the historic street system should be classified according to its value differences, and differentiated protection guidelines and measures should be formulated. The streets with concentrated historic landscapes and good continuity of historic buildings should be designated for protection as a linear historic street and cultural landscape line as a supplement to the current planning system based on building points and block faces. At the same time, urban design should take full account of the impact of the street layout on overall accessibility and pedestrian flow. By optimizing the line-spatial layout of the entire road system and creating a humanized space suitable for walking, the accessibility and walking comfort of lines with concentrated historic buildings and cultural landscapes should be improved.
Historic urban areas have experienced ups and downs and are facing urgent needs for renewal and restoration at this stage. It is suggested that when formulating planning strategies, we should focus on referring to the structure and evolution process of the street network, finding out the reasons for the rise and fall, and predicting the potential development direction. In addition, on the premise of ensuring the integrity of the historic texture of the area, the planning should consider the integration and quality improvement of dead-end roads in the network, increasing the perception of the internal roads of the block and the overall shape of the city, so as to improve the perceived accessibility and walkability of the area.

5. Conclusions

The evolution process of the street network in the historic urban area of Changsha can be divided into four stages, and the following patterns are presented: during the feudal period (before 1911), the city showed a closed expansion with city walls as the main boundary, and the vitality center and commercial center of the city continued the central agglomeration development structure with the original royal city as the core; during the period of the Republic of China (1912–1949), the demolition of city walls, construction of main roads, widening and connection of internal roads, and a series of changes in the road system promoted the accessibility structure of the historic urban street network, shifting from a closed structure centered on imperial power and imperial city to a commercial vitality zone with riverside dock roads as the main axis. With the growth of population, the road network began to undergo a process of densification. After the establishment of the People’s Republic of China in 1949, with the joint promotion of political needs, planning guidance, and urban renewal, the horizontal symmetry and geometric grid characteristics of historic urban area became increasingly apparent, forming a central development axis and commercial zone with the central crossroads as the core. After the reform and opening up, with the coupling of historic urban road networks and modern hierarchical grid road networks, isolated blocks of different sizes have been formed. The accessibility of the overall road network has been greatly enhanced and transferred to the grid road network, while the accessibility of buildings inside the block has gradually weakened. This structural change has attracted high-rise buildings to be built along the main roads and brought a lot of contradictions between old city reconstruction and conservation, and has had a significant impact on the architectural style and form integrity of the original historic urban area.
This paper, based on the theoretical correlation between space syntax and urban morphology, takes the street network of the historic urban area of Changsha City as the research object. By constructing a quantitative metric system for the geometric and topological features of the street network, we selected parameters to measure the process of change in the geometric and topological characteristics of the road network. We used historical maps of the urban area in Changsha City at five historical periods to create GIS data of historical streets. This allowed us to analyze the temporal and spatial evolution process, characteristics, and patterns of the street network in the historic urban area of Changsha City for nearly a century. This method can be applied to the analysis of road networks in other cities, providing a series of important empirical evidence for the evolution pattern of road networks, the relationship between geometric characteristics and topological features, and the update and preservation of historic urban areas. The main conclusions are as follows:
Throughout the evolution and development of streets in the study area in the past hundred years, the number, length, density, and spatial pattern of streets have changed significantly. In terms of geometric form, influenced by planning, urban construction, and war, the road density in the historic urban area has been continuously changing for more than 100 years, especially after the reform and opening up, the construction of high-rise buildings and large-scale commercial buildings had a great impact on the original urban form and density, while the growth and change of the direction during the road expansion had relatively maintained the continuity of the east-west and north-south directions. In terms of topology, the evolution of the structure and pattern of the street and lane system in Changsha’s historic urban area has experienced the characteristics and laws of the systematization and grading of the urban road network, the dramatic changes in the texture along the river and on both sides of the main road, the southward movement and diffusion of the pedestrian business center, and the increase in the overall complexity of the street network.

Author Contributions

Conceptualization, F.T. and B.Z.; Data curation, L.L. and J.F.; Formal analysis, F.T. and J.F.; Funding acquisition, F.T., J.F. and B.Z.; Investigation, F.T. and J.F.; Methodology, F.T.; Project administration, L.L.; Supervision, L.L.; Visualization, L.L. and J.F.; Writing—original draft, F.T.; Writing—review and editing, F.T., B.Z. and L.L. All authors have read and agreed to the published version of the manuscript.

Funding

This research was funded by the National Natural Science Foundation for Young Scientists of China (Grant No.52308057), the Hunan Provincial Social Science Achievement Evaluation Committee Key Project (Grant No.XSP20ZDI020), and supported by the Fundamental Research Funds for the Central Universities of Central South University (Grant No.2019zzts204).

Data Availability Statement

The raw data supporting the conclusions of this article will be made available by the authors on request.

Conflicts of Interest

The authors declare no conflicts of interest.

References

  1. Strano, E.; Nicosia, V.; Latora, V.; Porta, S.; Barthélemy, M. Elementary processes governing the evolution of road networks. Sci. Rep. 2012, 2, 296. [Google Scholar] [CrossRef] [PubMed]
  2. El Gouj, H.; Rincón-Acosta, C.; Lagesse, C. Urban morphogenesis analysis based on geohistorical road data. Appl. Netw. Sci. 2022, 7, 6. [Google Scholar] [CrossRef]
  3. Zhang, H.; Chen, T.; Cheng, G.; Zheng, J.; Li, W. Study on Urban Spacial Characteristic Based on Historic Map Digital Analysis. Urban Dev. Stud. 2013, 20, 143–148. [Google Scholar]
  4. Wang, S.; Yu, D.; Kwan, M.-P.; Zhou, H.; Li, Y.; Miao, H. The Evolution and Growth Patterns of the Road Network in a Medium-Sized Developing City: A Historical Investigation of Changchun, China, from 1912 to 2017. Sustainability 2019, 11, 5307. [Google Scholar] [CrossRef]
  5. Zhou, L.; Tian, L.; Zhang, Z.; Li, W. The street networks evolution in Beijing old city since the establishment of the Republic of China: A syntactical view. Acta Geogr. Sin. 2018, 73, 1433–1448. Available online: https://link.cnki.net/urlid/11.1856.P.20180727.1651.008 (accessed on 21 March 2024).
  6. Shen, D.; Dong, S. Transition of Urban Morphology in the Mountainous Areas Since Early-Modern Times from the Perspective of Urban Historic Landscape-A GIS Tools and Historical Map Translation Approach. Sustainability 2022, 14, 12896. [Google Scholar] [CrossRef]
  7. Zhu, S.; Dong, S.; Li, Z.; Li, F.; Yuan, L.; Zhang, P. A fractal dimension study of road networks in the ancient city of Xi’an. Geogr. Res. 2016, 35, 561–571. Available online: https://link.cnki.net/urlid/11.1848.p.20160323.1613.028 (accessed on 21 March 2024).
  8. Masucci, A.P.; Stanilov, K.; Batty, M. Limited Urban Growth: London’s Street Network Dynamics since the 18th Century. PLoS ONE 2013, 8, e69469. [Google Scholar] [CrossRef] [PubMed]
  9. Casali, Y.; Heinimann, H.R. A topological analysis of growth in the Zurich road network. Comput. Environ. Urban Syst. 2019, 75, 244–253. [Google Scholar] [CrossRef]
  10. Al Sayed, K.; Hanna, S.; Penn, A. Urban growth: Modelling street network growth in Manhattan (1642–2008) and Barcelona (1260–2008). Front. Built Environ. 2022, 8, 949441. [Google Scholar] [CrossRef]
  11. Yuan, S.; Zhang, Y. The Morphology of Urban Space after Long Term Natural Growth—Analysis of the Urban Space Network in the Como Development Process Based on the Space Syntax Theory and Methodology. New Archit. 2010, 5, 88–93. [Google Scholar]
  12. Wu, D.; Alateng, T.; Muxi, Y. Spatial and Temporal Evolution and Characteristics of Hohhot Street During Recent 100 Years Based on GIS. Sci. Geogr. Sin. 2019, 39, 987–996. [Google Scholar] [CrossRef]
  13. Zhou, L.; Jin, S.; Chen, K.; Wang, L. Multi-scale Morphological Evolution of Historic Centre: The Case Study of Small Park Open Port Area, Shantou. Mod. Urban Res. 2015, 07, 68–76. [Google Scholar]
  14. Barthelemy, M.; Bordin, P.; Berestycki, H.; Gribaudi, M. Self-organization versus top-down planning in the evolution of a city. Sci. Rep. 2013, 3, 2153. [Google Scholar] [CrossRef]
  15. Lu, Z. Spatial syntactic analysis of cognitivemaps. Acta Geogr. Sin. 2013, 68, 1401–1410. [Google Scholar]
  16. Fan, J.; Zheng, B.; Tang, Q.; Zhang, B.; Liu, N. The Changsha Historic Urban Area: A Study on the Changing Accessibility of the Road Network. Appl. Sci. 2022, 12, 2796. [Google Scholar] [CrossRef]
  17. Fleischmann, M.; Feliciotti, A.; Kerr, W. Evolution of Urban Patterns: Urban Morphology as an Open Reproducible Data Science. Geogr. Anal. 2022, 54, 536–558. [Google Scholar] [CrossRef]
  18. Schirmer, P.M.; Axhausen, K.W. A multiscale classification of urban morphology. J. Transp. Land Use 2015, 9, 101–130. [Google Scholar] [CrossRef]
  19. Ariza-Villaverde, A.B.; Jiménez-Hornero, F.J.; Ravé, E.G.D. Multifractal analysis of axial maps applied to the study of urban morphology. Comput. Environ. Urban Syst. 2013, 38, 1–10. [Google Scholar] [CrossRef]
  20. Song, Y.; Popkin, B.; Gordon-Larsen, P. A national-level analysis of neighborhood form metrics. Landsc. Urban Plan. 2013, 116, 73–85. [Google Scholar] [CrossRef]
  21. Boeing, G. Urban Spatial Order: Street Network Orientation, Configuration, and Entropy. Appl. Netw. Sci. 2019, 4, 67. [Google Scholar] [CrossRef]
  22. Bourdic, L.; Salat, S.; Nowacki, C. Assessing cities: A new system of cross-scale spatial indicators. Build. Res. Inf. 2012, 40, 592–605. [Google Scholar] [CrossRef]
  23. Yuan, S. Quantitative Analyses of Street Network Geometric Structure by Using Network Density Parameters. Archit. Cult. 2016, 6, 75–77. [Google Scholar]
  24. Zhou, Y.; Zhao, J.; Zhang, Y. Street Interface Density and Planning Control of Urban Form. City Plan. Rev. 2012, 36, 28–32. [Google Scholar]
  25. Song, Y.; Zhang, Y.; Han, D. Measurement Method of Urban Block Form Based on “Access Structure”. City Plan. Rev. 2024, 48, 98–106. [Google Scholar]
  26. Chen, Q.; Xie, C. Research on Urban Renewal Models and Planning Strategies in the Old City of Changsha. China Anc. City 2024, 38, 18–25. [Google Scholar] [CrossRef]
  27. Krenz, K. Developments in Space Syntax: Past, Present and Future. Urban Des. 2022, 4, 80–96. Available online: https://discovery.ucl.ac.uk/id/eprint/10165490 (accessed on 21 March 2024).
  28. Song, X.; Tao, Y.; Pan, J.; Xiao, Y. A Comparison of Analytical Methods for Urban Street Network: Taking Space Syntax, sDNA and UNA as Examples. Urban Plan. Forum 2020, 2, 19–24. [Google Scholar] [CrossRef]
  29. Hillier, W.R.G.; Yang, T.; Turner, A. Normalising least angle choice in Depthmap-and how it opens up new perspectives on the global and local analysis of city space. J. Space Syntax. 2012, 3, 155–193. Available online: https://discovery.ucl.ac.uk/id/eprint/1389938 (accessed on 21 March 2024).
Figure 1. The overall framework and technical path of the article.
Figure 1. The overall framework and technical path of the article.
Land 13 00738 g001
Figure 2. Map of the Historic Urban Area in Changsha City.
Figure 2. Map of the Historic Urban Area in Changsha City.
Land 13 00738 g002
Figure 3. The boundaries of the historic urban area in Changsha.
Figure 3. The boundaries of the historic urban area in Changsha.
Land 13 00738 g003
Figure 4. Diagram and topological relation comparison of four analytical methods (source: Reference [28]).
Figure 4. Diagram and topological relation comparison of four analytical methods (source: Reference [28]).
Land 13 00738 g004
Figure 5. Boxplot of road link lengths at different years.
Figure 5. Boxplot of road link lengths at different years.
Land 13 00738 g005
Figure 6. Gird change analysis diagram of road network density.
Figure 6. Gird change analysis diagram of road network density.
Land 13 00738 g006
Figure 7. (a1a5) Gird net density of roads at different times; (b1b4) Gird density variatioin analysis of roads in different peoriods; (c1c3) Cumulative value of gird density variation in all periods.
Figure 7. (a1a5) Gird net density of roads at different times; (b1b4) Gird density variatioin analysis of roads in different peoriods; (c1c3) Cumulative value of gird density variation in all periods.
Land 13 00738 g007aLand 13 00738 g007b
Figure 8. Spatial distribution of different types of intersections.
Figure 8. Spatial distribution of different types of intersections.
Land 13 00738 g008aLand 13 00738 g008b
Figure 9. Number of different types of intersections in each year.
Figure 9. Number of different types of intersections in each year.
Land 13 00738 g009
Figure 10. (a1a5) Length cumulative weight analysis diagram of road orientation at different times; (b1b5) Cumulative weight analysis diagram of the number of line segments facing the road at different times.
Figure 10. (a1a5) Length cumulative weight analysis diagram of road orientation at different times; (b1b5) Cumulative weight analysis diagram of the number of line segments facing the road at different times.
Land 13 00738 g010
Figure 11. Area box map of road profile in each year.
Figure 11. Area box map of road profile in each year.
Land 13 00738 g011
Figure 12. Shape index analysis of road profile shape in different years.
Figure 12. Shape index analysis of road profile shape in different years.
Land 13 00738 g012
Figure 13. Analysis diagram of global closeness degree (a1a5), local closeness degree (b1b5), and global betweenness degree (c1c5) of road network in each year.
Figure 13. Analysis diagram of global closeness degree (a1a5), local closeness degree (b1b5), and global betweenness degree (c1c5) of road network in each year.
Land 13 00738 g013aLand 13 00738 g013b
Figure 14. (ae) Scatter analysis of road network intelligibility in each year.
Figure 14. (ae) Scatter analysis of road network intelligibility in each year.
Land 13 00738 g014aLand 13 00738 g014b
Table 1. Schematic map of historical maps of Changsha City and its spatial alignment and digitalized road network after interpretation.
Table 1. Schematic map of historical maps of Changsha City and its spatial alignment and digitalized road network after interpretation.
Qing Dynasty
(1872)
Early Republic of China
(1912)
Middle Republic of China
(1935)
Early Stage of Reform and Opening Up (1986)Late Stage of Reform and Opening Up
(2023)
Land 13 00738 i001Land 13 00738 i002Land 13 00738 i003Land 13 00738 i004Land 13 00738 i005
Land 13 00738 i006Land 13 00738 i007Land 13 00738 i008Land 13 00738 i009Land 13 00738 i010
Table 2. Geometric morphological feature parameter system.
Table 2. Geometric morphological feature parameter system.
Geometric FeaturesParameter NameInterpretation and Calculation Formula
Punctate elementsProportion of road intersectionsBased on the number of streets connected to road network nodes, intersections are classified into Y-type, X-type, and dead-end roads. The number of intersections and their spatial distribution are visualized.
Linear elementsRoad linear densityThe total length of roads within the Historic Urban Area and the ratio of the same to the entire scope, reflect the overall changes in road density.
Road grid densityOn a 100 × 100 m grid scale, statistical analysis was conducted to observe the changes in road density within the grid over different years, and the results were visualized spatially. The cumulative changes within each grid were also analyzed to reflect the density changes at the local scale.
Road orientation distributionBy statistically analyzing the orientation of different road segments, we can reflect the overall directional changes and continuity of the road through the application of length weighting and quantity weighting [21].
Area elementsBlock shape factorThe diversity of the street outline shape can be quantitatively characterized by the shape factor W, whose formula is W = A / ( π D 2 / 4 ), where a is the ratio of the street outline area and the maximum circumscribed circle area around the street outline (circle diameter d). [1]
Table 3. Comparison between traditional space syntax and sDNA software.
Table 3. Comparison between traditional space syntax and sDNA software.
Features/SoftwareDepthmapsDNA
ArcGIS CompatibilityPoorGood
Modeling EfficiencySlow (axis model)More convenient (line model), simplified process
3D AnalysisNoYes
Operational StabilityRelatively weakRelatively stable
Measurement parameter systemLessRelatively rich, with a variety of weight and distance measurement methods
Table 4. Road link length and density characteristics statistics.
Table 4. Road link length and density characteristics statistics.
YearNumber of Road LinkTotal Road Length (km)Average Road Length (m)Road Linear Density (km/km2)
187234444.4129.077.93
191274168.1591.9712.17
19351781108.5660.9519.39
19861809129.9671.8423.21
20231491115.5277.4820.62
Table 5. Cumulative value of density change and grid number in four periods.
Table 5. Cumulative value of density change and grid number in four periods.
PeriodAccumulated Density Reduction (m/ha)Reduced Grid Number (pcs)Accumulated Density Increase (m/ha)Increased Grid Number (pcs)Accumulated Net Value (m/ha)Accumulated Absolute Value (m/ha)Accumulated Change Grid Number (pcs)
1912–1872−10,020.714033,756.6433023,735.9443,777.34470
1935–1912−5294.8112544,809.5543839,514.7450,104.36563
1986–1935−15,384.8824436,595.0837521,210.251,979.96619
2023–1986−33,601.0336720,257.04256−13,343.9953,858.07623
Table 6. Statistical table of quantity characteristics of road intersections.
Table 6. Statistical table of quantity characteristics of road intersections.
YearY Type IntersectionsX Type IntersectionsDead-End RoadOther IntersectionsTotal
187215047402239
1912366601391566
193589112338221398
198688916226671324
202375112918651071
Table 7. Evolution of topological parameters at different times.
Table 7. Evolution of topological parameters at different times.
YearMaximum of Global ClosenessAverage of Global ClosenessMaximum of Global BetweennessAverage of Global Betweenness
18720.810.6957.6312.12
19121.601.21165.8018.37
19353.602.68461.1330.42
19863.842.84348.8326.96
20233.442.62233.0022.84
Disclaimer/Publisher’s Note: The statements, opinions and data contained in all publications are solely those of the individual author(s) and contributor(s) and not of MDPI and/or the editor(s). MDPI and/or the editor(s) disclaim responsibility for any injury to people or property resulting from any ideas, methods, instructions or products referred to in the content.

Share and Cite

MDPI and ACS Style

Zheng, B.; Tian, F.; Lin, L.; Fan, J. Study on the Morphological Analysis and Evolution of the Street Network in the Historic Urban Area of Changsha City from 1872–2023. Land 2024, 13, 738. https://doi.org/10.3390/land13060738

AMA Style

Zheng B, Tian F, Lin L, Fan J. Study on the Morphological Analysis and Evolution of the Street Network in the Historic Urban Area of Changsha City from 1872–2023. Land. 2024; 13(6):738. https://doi.org/10.3390/land13060738

Chicago/Turabian Style

Zheng, Bohong, Fangzhou Tian, Li Lin, and Jinyu Fan. 2024. "Study on the Morphological Analysis and Evolution of the Street Network in the Historic Urban Area of Changsha City from 1872–2023" Land 13, no. 6: 738. https://doi.org/10.3390/land13060738

APA Style

Zheng, B., Tian, F., Lin, L., & Fan, J. (2024). Study on the Morphological Analysis and Evolution of the Street Network in the Historic Urban Area of Changsha City from 1872–2023. Land, 13(6), 738. https://doi.org/10.3390/land13060738

Note that from the first issue of 2016, this journal uses article numbers instead of page numbers. See further details here.

Article Metrics

Back to TopTop