Synergistic Promotion of Particulate and Mineral-Associated Organic Carbon Within Soil Aggregates After 10 Years of Organic Fertilization in Wheat-Maize Systems
Abstract
1. Introduction
2. Materials and Methods
2.1. Field Site Description
2.2. Experimental Design
2.3. Aggregate Sieving and Physical Fractionation
2.4. SOC Analysis and Calculations
2.5. Statistical Analysis
3. Results
3.1. SOC Sequestration
3.2. Aggregate Size Distribution and Aggregate-Associated SOC
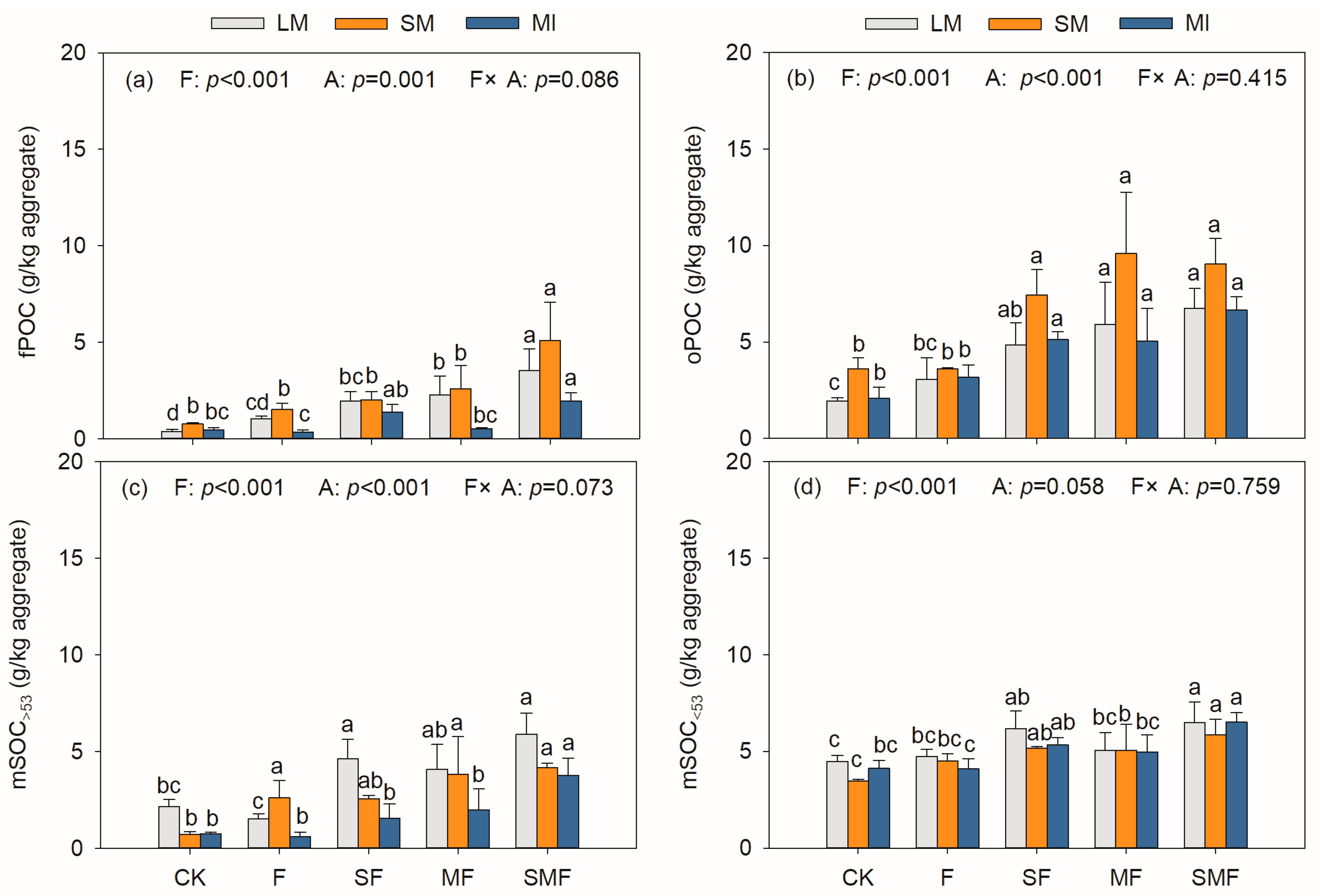
3.3. Intra-Aggregate SOC Fractions
3.4. Relationships Among SOC Fractions
4. Discussion
4.1. Organic Fertilization Increases SOC Sequestration
4.2. Size Distribution of Soil Aggregates and Aggregate-Associated SOC Under Different Fertilization Strategies
4.3. Organic Fertilization Increased SOC Contents of Physical Fractions in Aggregates
5. Conclusions
Supplementary Materials
Author Contributions
Funding
Data Availability Statement
Conflicts of Interest
Correction Statement
References
- Paustian, K.; Six, J.; Elliott, E.T.; Hunt, H.W. Management Options for Reducing CO2 Emissions from Agricultural Soils. Biogeochemistry 2000, 48, 147–163. [Google Scholar] [CrossRef]
- Lal, R. Soil Carbon Sequestration Impacts on Global Climate Change and Food Security. Science 2004, 304, 1623–1627. [Google Scholar] [CrossRef] [PubMed]
- Minasny, B.; Malone, B.P.; McBratney, A.B.; Angers, D.A.; Arrouays, D.; Chambers, A.; Chaplot, V.; Chen, Z.; Cheng, K.; Das, B.S.; et al. Soil Carbon 4 Per Mille. Geoderma 2017, 292, 59–86. [Google Scholar] [CrossRef]
- Wei, W.; Yan, Y.; Cao, J.; Christie, P.; Zhang, F.; Fan, M. Effects of Combined Application of Organic Amendments and Fertilizers on Crop Yield and Soil Organic Matter: An Integrated Analysis of Long-term Experiments. Agr. Ecosyst. Environ. 2016, 225, 86–92. [Google Scholar] [CrossRef]
- Pan, G.; Smith, P.; Pan, W. The Role of Soil Organic Matter in Maintaining the Productivity and Yield Stability of Cereals in China. Agr. Ecosyst. Environ. 2009, 129, 344–348. [Google Scholar] [CrossRef]
- Zhang, Z.; Nie, J.; Liang, H.; Wei, C.; Wang, Y.; Liao, Y.; Lu, Y.; Zhou, G.; Gao, S.; Cao, W. The Effects of Co-utilizing Green Manure and Rice Straw on Soil Aggregates and Soil Carbon Stability in a Paddy Soil in South China. J. Integr. Agric. 2023, 22, 1529–1545. [Google Scholar] [CrossRef]
- Ridgeway, J.R.; Morrissey, E.M.; Brzostek, E.R. Plant Litter Traits Control Microbial Decomposition and Drive Soil Carbon Stabilization. Soil Biol. Biochem. 2022, 175, 108857. [Google Scholar] [CrossRef]
- Panagea, I.S.; Apostolakis, A.; Berti, A.; Bussell, J.; Čermak, P.; Diels, J.; Elsen, A.; Kusá, H.; Piccoli, I.; Poesen, J.; et al. Impact of Agricultural Management on Soil Aggregates and Associated Organic Carbon Fractions: Analysis of Long-term Experiments in Europe. Soil 2022, 8, 621–644. [Google Scholar] [CrossRef]
- Liu, X.; Song, X.; Li, S.; Liang, G.; Wu, X. Understanding How Conservation Tillage Promotes Soil Carbon Accumulation: Insights into Extracellular Enzyme Activities and Carbon Flows between Aggregate Fractions. Sci. Total Environ. 2023, 897, 165408. [Google Scholar] [CrossRef]
- Ghimire, R.; Adhikari, K.R.; Chen, Z.; Shah, S.C.; Dahal, K.R. Soil Organic Carbon Sequestration as Affected by Tillage, Crop Residue, and Nitrogen Application in Rice–wheat Rotation System. Paddy Water Environ. 2012, 10, 95–102. [Google Scholar] [CrossRef]
- Li, J.; Wu, X.; Gebremikael, M.T.; Wu, H.; Cai, D.; Wang, B.; Li, B.; Zhang, J.; Li, Y.; Xi, J. Response of Soil Organic Carbon Fractions, Microbial Community Composition and Carbon Mineralization to High-input Fertilizer Practices under an Intensive Agricultural System. PLoS ONE 2018, 13, e0195144. [Google Scholar] [CrossRef] [PubMed]
- Gong, W.; Yan, X.; Wang, J. The Effect of Chemical Fertilizer on Soil Organic Carbon Renewal and CO2 Emission-a Pot Experiment with Maize. Plant Soil 2012, 353, 85–94. [Google Scholar] [CrossRef]
- Xiang, Y.; Cheng, M.; Wen, Y.; Darboux, F. Soil Organic Carbon Sequestration under Long-term Chemical and Manure Fertilization in a Cinnamon Soil, Northern China. Sustainability 2022, 14, 5109. [Google Scholar] [CrossRef]
- Li, T.; Zhang, Y.; Bei, S.; Li, X.; Reinsch, S.; Zhang, H.; Zhang, J. Contrasting Impacts of Manure and Inorganic Fertilizer Applications for Nine Years on Soil Organic Carbon and Its Labile Fractions in Bulk Soil and Soil Aggregates. Catena 2022, 194, 104739. [Google Scholar] [CrossRef]
- Yang, F.; Tian, J.; Fang, H.; Xu, M.; Lou, Y.; Zhou, B.; Kuzyakov, Y. Functional Soil Organic Matter Fractions, Microbial Community, and Enzyme Activities in a Mollisol under 35 Years Manure and Mineral Fertilization. J. Soil Sci. Plant Nutr. 2019, 19, 430–439. [Google Scholar] [CrossRef]
- Dou, X.; He, P.; Zhu, P.; Zhou, W. Soil Organic Carbon Dynamics under Long-term Fertilization in a Black Soil of China: Evidence from Stable C Isotopes. Sci. Rep. 2016, 6, 21488. [Google Scholar] [CrossRef]
- Manna, M.C.; Swarup, A.; Wanjari, R.H.; Mishra, B.; Shahi, D.K. Long-term Fertilization, Manure and Liming Effects on Soil Organic Matter and Crop Yields. Soil Tillage Res. 2007, 94, 397–409. [Google Scholar] [CrossRef]
- Sleutel, S.; De Neve, S.; Németh, T.; Tóth, T.; Hofman, G. Effect of Manure and Fertilizer Application on the Distribution of Organic Carbon in Different Soil Fractions in Long-term Field Experiments. Eur. J. Agron. 2006, 25, 280–288. [Google Scholar] [CrossRef]
- Lin, Z.; Lu, X.; Xu, Y.; Sun, W.; Yu, Y.; Zhang, W.; Mishra, U.; Kuzyakov, Y.; Wang, G.; Qin, Z. Increased Straw Return Promoted Soil Organic Carbon Accumulation in China’s Croplands over the Past 40 Years. Sci. Total Environ. 2024, 945, 173903. [Google Scholar] [CrossRef]
- Gross, A.; Glaser, B. Meta-analysis on How Manure Application Changes Soil Organic Carbon Storage. Sci. Rep. 2021, 11, 5516. [Google Scholar] [CrossRef]
- Kan, Z.; Ma, S.; Liu, Q.; Liu, B.; Virk, A.L.; Qi, J.; Zhao, X.; Lal, R.; Zhang, H. Carbon Sequestration and Mineralization in Soil Aggregates under Long-term Conservation Tillage in the North China Plain. Catena 2020, 188, 104428. [Google Scholar] [CrossRef]
- Six, J.; Elliott, E.T.; Paustian, K. Soil Macroaggregate Turnover and Microaggregate Formation: A Mechanism for C Sequestration under No-tillage Agriculture. Soil Biol. Biochem. 2000, 32, 2099–2103. [Google Scholar] [CrossRef]
- Kamran, M.; Huang, L.; Nie, J.; Geng, M.; Lu, Y.; Liao, Y.; Zhou, F.; Xu, Y. Effect of Reduced Mineral Fertilization (NPK) Combined with Green Manure on Aggregate Stability and Soil Organic Carbon Fractions in a Fluvo-aquic Paddy Soil. Soil Tillage Res. 2021, 211, 105005. [Google Scholar] [CrossRef]
- Huang, T.; Yang, H.; Huang, C.; Ju, X. Effects of Nitrogen Management and Straw Return on Soil Organic Carbon Sequestration and Aggregate-associated Carbon. Eur. J. Soil Sci. 2018, 69, 913–923. [Google Scholar] [CrossRef]
- Wang, Y.; Hu, N.; Ge, T.; Kuzyakov, Y.; Wang, Z.; Li, Z.; Tang, T.; Chen, Y.; Wu, C.; Lou, Y. Soil Aggregation Regulates Distributions of Carbon, Microbial Community and Enzyme Activities after 23-Year Manure Amendment. Appl. Soil Ecol. 2017, 111, 65–72. [Google Scholar] [CrossRef]
- Sodhi, G.P.S.; Beri, V.; Benbi, D.K. Soil Aggregation and Distribution of Carbon and Nitrogen in Different Fractions under Long-term Application of Compost in Rice-wheat System. Soil Tillage Res. 2009, 103, 412–418. [Google Scholar] [CrossRef]
- Just, C.; Armbruster, M.; Barkusky, D.; Baumecker, M.; Diepolder, M.; Döring, T.F.; Heigl, L.; Honermeier, B.; Jate, M.; Merbach, I.; et al. Soil Organic Carbon Sequestration in Agricultural Long-term Field Experiments as Derived from Particulate and Mineral-associated Organic Matter. Geoderma 2023, 434, 116472. [Google Scholar] [CrossRef]
- Golchin, A.; Oades, J.M.; Skjemstad, J.O.; Clarke, P. Study of Free and Occluded Particulate Organic Matter in Soils by Solid State 13C CP/MAS NMR Spectroscopy and Scanning Electron Microscopy. Soil Res. 1994, 32, 285–309. [Google Scholar] [CrossRef]
- Steffens, M.; Kölbl, A.; Schörk, E.; Gschrey, B.; Kögel-Knabner, I. Distribution of Soil Organic Matter between Fractions and Aggregate Size Classes in Grazed Semiarid Steppe Soil Profiles. Plant Soil 2011, 338, 63–81. [Google Scholar] [CrossRef]
- Peng, X.; Huang, Y.; Duan, X.; Yang, H.; Liu, J. Particulate and Mineral-associated Organic Carbon Fractions Reveal the Roles of Soil Aggregates under Different Land-use Types in a Karst Faulted Basin of China. Catena 2023, 220, 106721. [Google Scholar] [CrossRef]
- Stewart, C.E.; Paustian, K.; Conant, R.T.; Plante, A.F.; Six, J. Soil Carbon Saturation: Concept, Evidence and Evaluation. Biogeochemistry 2007, 86, 19–31. [Google Scholar] [CrossRef]
- Das, R.; Purakayastha, T.J.; Das, D.; Ahmed, N.; Kumar, R.; Biswas, S.; Walia, S.S.; Singh, R.; Shukla, V.K.; Yadava, M.S.; et al. Long-term Fertilization and Manuring with Different Organics Alter Stability of Carbon in Colloidal Organo-mineral Fraction in Soils of Varying Clay Mineralogy. Sci. Total Environ. 2019, 684, 682–693. [Google Scholar] [CrossRef] [PubMed]
- Gunina, A.; Ryzhova, I.; Dorodnikov, M.; Kuzyakov, Y. Effect of Plant Communities on Aggregate Composition and Organic Matter Stabilisation in Young Soils. Plant Soil 2015, 387, 265–275. [Google Scholar] [CrossRef]
- Wang, R.; Song, J.; Feng, Y.; Zhou, J.; Xie, J.; Khan, A.; Che, Z.; Zhang, S.; Yang, X. Changes in Soil Organic Carbon Pools Following Long-term Fertilization under a Rain-fed Cropping System in the Loess Plateau, China. J. Integr. Agric. 2021, 20, 2512–2525. [Google Scholar] [CrossRef]
- Mustafa, A.; Xu, H.; Abrar, M.M.; Shah, S.A.A.; Sun, N.; Saeed, Q.; Kamran, M.; Naveed, M.; Conde-Cid, M.; Gao, H.; et al. Long-term Fertilization Enhanced Carbon Mineralization and Maize Biomass Through Physical Protection of Organic Carbon in Fractions under Continuous Maize Cropping. Appl. Soil Ecol. 2021, 165, 103971. [Google Scholar] [CrossRef]
- Gulde, S.; Chung, H.; Amelung, W.; Chang, C.; Six, J. Soil Carbon Saturation Controls Labile and Stable Carbon Pool Dynamics. Soil Sci. Soc. Am. J. 2008, 72, 605–612. [Google Scholar] [CrossRef]
- Xie, J.; Hou, M.; Zhou, Y.; Wang, R.; Zhang, S.; Yang, X.; Sun, B. Carbon Sequestration and Mineralization of Aggregate-associated Carbon in an Intensively Cultivated Anthrosol in North China as Affected by Long term Fertilization. Geoderma 2017, 296, 1–9. [Google Scholar] [CrossRef]
- Yang, X.; Sun, B.; Zhang, S. Trends of Yield and Soil Fertility in a Long-term Wheat-maize system. J. Integr. Agric. 2014, 13, 402–414. [Google Scholar] [CrossRef]
- Zhao, H.; Shar, A.G.; Li, S.; Chen, Y.; Shi, J.; Zhang, X.; Tian, X. Effect of Straw Return Mode on Soil Aggregation and Aggregate Carbon Content in an Annual Maize-wheat Double Cropping System. Soil Tillage Res. 2018, 175, 178–186. [Google Scholar] [CrossRef]
- Yousaf, M.; Li, J.; Lu, J.; Ren, T.; Cong, R.; Fahad, S.; Li, X. Effects of Fertilization on Crop Production and Nutrient-supplying Capacity under Rice-oilseed Rape Rotation System. Sci. Rep. 2017, 7, 1270. [Google Scholar] [CrossRef]
- Cai, Z.; Wang, B.; Xu, M.; Zhang, H.; He, X.; Zhang, L.; Gao, S. Intensified Soil Acidification from Chemical N Fertilization and Prevention by Manure in an 18-year Field Experiment in the Red Soil of Southern China. J. Soils Sediments 2015, 15, 260–270. [Google Scholar] [CrossRef]
- Sun, B.; Zhang, L.; Yang, L.; Zhang, F.; Norse, D.; Zhu, Z. Agricultural Non-Point Source Pollution in China: Causes and Mitigation Measures. AMBIO 2012, 41, 370–379. [Google Scholar] [CrossRef] [PubMed]
- Fan, J.; Ding, W.; Xiang, J.; Qin, S.; Zhang, J.; Ziadi, N. Carbon Sequestration in an Intensively Cultivated Sandy Loam Soil in the North China Plain as Affected by Compost and Inorganic Fertilizer Application. Geoderma 2014, 230–231, 22–28. [Google Scholar] [CrossRef]
- Gunina, A.; Kuzyakov, Y. Pathways of Litter C by Formation of Aggregates and SOM Density Fractions: Implications from 13C Natural Abundance. Soil Biol. Biochem. 2014, 71, 95–104. [Google Scholar] [CrossRef]
- Yamashita, T.; Flessa, H.; John, B.; Helfrich, M.; Ludwig, B. Organic Matter in Density Fractions of Water-stable Aggregates in Silty Soils: Effect of Land Use. Soil Biol. Biochem. 2006, 38, 3222–3234. [Google Scholar] [CrossRef]
- Zhang, H.; Ding, W.; Yu, H.; He, X. Carbon Uptake by a Microbial Community during 30-day Treatment with 13C-glucose of a Sandy Loam Soil Fertilized for 20 Years with NPK or Compost as Determined by a GC–C–IRMS Analysis of Phospholipid Fatty Acids. Soil Biol. Biochem. 2013, 57, 228–236. [Google Scholar] [CrossRef]
- Zhu, C.; Zhong, W.; Han, C.; Deng, H.; Jiang, Y. Driving Factors of Soil Organic Carbon Sequestration under Straw Returning across China’s Uplands. J. Environ. Manag. 2023, 335, 117590. [Google Scholar] [CrossRef]
- Wang, Y.; Wu, P.; Mei, F.; Ling, Y.; Qiao, Y.; Liu, C.; Leghari, S.J.; Guan, X.; Wang, T. Does Continuous Straw Returning Keep China Farmland Soil Organic Carbon Continued Increase? A meta-analysis. J. Environ. Manag. 2021, 288, 112391. [Google Scholar] [CrossRef]
- Ghosh, A.; Bhattacharyya, R.; Meena, M.C.; Dwivedi, B.S.; Singh, G.; Agnihotri, R.; Sharma, C. Long-term Fertilization Effects on Soil Organic Carbon Sequestration in an Inceptisol. Soil Tillage Res. 2018, 177, 134–144. [Google Scholar] [CrossRef]
- Zhao, J.; Liu, Z.; Lai, H.; Yang, D.; Li, X. Optimizing Residue and Tillage Management Practices to Improve Soil Carbon Sequestration in a Wheat-peanut Rotation System. J. Environ. Manag. 2022, 306, 114468. [Google Scholar] [CrossRef]
- Ma, Z.; Liang, T.; Fu, H.; Ma, Q.; Chang, D.; Zhang, J.; Che, Z.; Zhou, G.; Cao, W. Long-term Green Manuring Increases Soil Carbon Sequestration Via Decreasing qCO2 Caused by Lower Microbial Phosphorus Limitation in a Dry Land Field. Agr. Ecosyst. Environ. 2024, 374, 109142. [Google Scholar] [CrossRef]
- Liang, Z.; Li, Y.; Wang, J.; Hao, J.; Jiang, Y.; Shi, J.; Meng, X.; Tian, X. Effects of the Combined Application of Livestock Manure and Plant Residues on Soil Organic Carbon Sequestration in the Southern Loess Plateau of China. Agr. Ecosyst. Environ. 2024, 368, 109011. [Google Scholar] [CrossRef]
- Bertora, C.; Zavattaro, L.; Sacco, D.; Monaco, S.; Grignani, C. Soil Organic Matter Dynamics and Losses in Manured Maize-based Forage Systems. Eur. J. Agron. 2009, 30, 177–186. [Google Scholar] [CrossRef]
- Lu, X.; Hou, E.; Guo, J.; Gilliam, F.S.; Li, J.; Tang, S.; Kuang, Y. Nitrogen Addition Stimulates Soil Aggregation and Enhances Carbon Storage in Terrestrial Ecosystems of China: A Meta-analysis. Glob. Chang. Biol. 2021, 27, 2780–2792. [Google Scholar] [CrossRef]
- Zhang, Q.; Cheng, L.; Feng, J.; Mei, K.; Zeng, Q.; Zhu, B.; Chen, Y. Nitrogen Addition Stimulates Priming Effect in a Subtropical Forest Soil. Soil Biol. Biochem. 2021, 160, 108339. [Google Scholar] [CrossRef]
- Poulton, P.; Johnston, J.; Macdonald, A.; White, R.; Powlson, D. Major Limitations to Achieving “4 per 1000” Increases in Soil Organic Carbon Stock in Temperate Regions: Evidence from Long-term Experiments at Rothamsted Research, United Kingdom. Glob. Chang. Biol. 2018, 24, 2563–2584. [Google Scholar] [CrossRef]
- Georgiou, K.; Jackson, R.B.; Vindušková, O.; Abramoff, R.Z.; Ahlström, A.; Feng, W.; Harden, J.W.; Pellegrini, A.F.; Polley, H.W.; Soong, J.L.; et al. Global Stocks and Capacity of Mineral-associated Soil Organic Carbon. Nat. Commun. 2022, 13, 3797. [Google Scholar] [CrossRef]
- Kong, A.; Six, J.; Bryant, D.C.; Denison, R.F.; Kessel, C.V. The Relationship between Carbon Input, Aggregation, and Soil Organic Carbon Stabilization in Sustainable Cropping Systems. Sci. Soc. Am. J. 2005, 69, 1078–1085. [Google Scholar] [CrossRef]
- Wang, Y.; Hu, N.; Xu, M.; Li, Z.; Lou, Y.; Chen, Y.; Wu, C.; Wang, Z. 23-year Manure and Fertilizer Application Increases Soil Organic Carbon Sequestration of a Rice-barley Cropping System. Biol Fertil Soils 2015, 51, 583–591. [Google Scholar] [CrossRef]
- Qi, J.; Jing, Z.; He, C.; Liu, Q.; Wang, X.; Kan, Z.; Zhao, X.; Xiao, X.; Zhang, H. Effects of Tillage Management on Soil Carbon Decomposition and its Relationship with Soil Chemistry Properties in Rice Paddy Fields. J. Environ. Manag. 2020, 279, 111–595. [Google Scholar] [CrossRef]
- Xiao, L.; Zhang, W.; Hu, P.; Xiao, D.; Yang, R.; Ye, Y.; Wang, K. The Formation of Large Macroaggregates Induces Soil Organic Carbon Sequestration in Short-term Cropland Restoration in a Typical Karst Area. Sci. Total Environ. 2021, 801, 149588. [Google Scholar] [CrossRef] [PubMed]
- Hati, K.M.; Jha, P.; Dalal, R.C.; Jayaraman, S.; Dang, Y.; Kopittke, P.M.; Krichhof, G.; Menzies, N.W. 50 Years of Continuous No-tillage, Stubble Retention and Nitrogen Fertilization Enhanced Macro-aggregate Formation and Stabilisation in a Vertisol. Soil Tillage Res. 2021, 214, 105163. [Google Scholar] [CrossRef]
- Tian, S.; Zhu, B.; Yin, R.; Wang, M.; Jiang, Y.; Zhang, C.; Li, D.; Chen, X.; Kardol, P.; Liu, M. Organic fertilization promotes crop productivity through changes in soil aggregation. Soil Biol. Biochem. 2022, 165, 108533. [Google Scholar] [CrossRef]
- Huang, X.; Jia, Z.; Guo, J.; Li, T.; Shen, Q. Ten-year Long-term Organic Fertilization Enhances Carbon Sequestration and Calcium-mediated Stabilization of Aggregate-associated Organic Carbon in a Reclaimed Cambisol. Geoderma 2019, 355, 113880. [Google Scholar] [CrossRef]
- Denef, K.; Six, J.; Merckx, R.; Paustian, K. Short-term Effects of Biological and Physical Forces on Aggregate Formation in Soils with Different Clay Mineralogy. Plant Soil 2002, 246, 185–200. [Google Scholar] [CrossRef]
- Mustafa, A.; Xu, M.; Shah, S.A.A.; Abrar, M.M.; Sun, N.; Wang, B.; Cai, Z.; Saeed, Q.; Naveed, M.; Mehmood, K.; et al. Soil Aggregation and Soil Aggregate Stability Regulate Organic Carbon and Nitrogen Storage in a Red Soil of Southern China. J. Environ. Manag. 2020, 270, 110894. [Google Scholar] [CrossRef]
- Lavelle, P.; Spain, A.; Fonte, S.; Bedano, J.C.; Blanchart, E.; Galindo, V.; Grimaldi, M.; Jimenez, J.J.; Velasquez, E.; Zangerlé, A. Soil Aggregation, Ecosystem Engineers and the C Cycle. Acta Oecol. 2020, 105, 103561. [Google Scholar] [CrossRef]
- Huang, X.; Jia, Z.; Jiao, X.; Wang, J.; Huang, X. Long-term Manure Applications to Increase Carbon Sequestration and Macroaggregate-stabilized Carbon. Soil Biol. Biochem. 2022, 174, 108827. [Google Scholar] [CrossRef]
- Yang, F.; Tian, J.; Meersmans, J.; Fang, H.; Yang, H.; Lou, Y.; Li, Z.; Liu, K.; Zhou, Y.; Blagodatskaya, E.; et al. Functional Soil Organic Matter Fractions in Response to Long-term Fertilization in Upland and Paddy Systems in South China. Catena 2018, 162, 270–277. [Google Scholar] [CrossRef]
- Xu, Z.; Tsang, D.C. Mineral-mediated Stability of Organic Carbon in Soil and Relevant Interaction Mechanisms. Eco-Environ. Health 2024, 3, 59–76. [Google Scholar] [CrossRef]
- Witzgall, K.; Vidal, A.; Schubert, D.I.; Hoschen, C.; Schweizer, S.A.; Buegger, F.; Pouteau, V.; Chenu, C.; Mueller, C.W. Particulate Organic Matter as a Functional Soil Component for Persistent Soil Organic Carbon. Nat. Commun. 2021, 12, 4115. [Google Scholar] [CrossRef] [PubMed]
- Feng, X.; Wang, S. Plant Influences on Soil Microbial Carbon Pump Efficiency. Glob. Chang. Biol. 2023, 29, 3854–3856. [Google Scholar] [CrossRef]
- Wang, C.; Wang, X.; Zhang, Y.; Morrissey, E.; Liu, Y.; Sun, L.; Qu, L.; Sang, C.; Zhang, H.; Li, G.; et al. Integrating Microbial Community Properties, Biomass and Necromass to Predict Cropland Soil Organic Carbon. ISME Commun. 2023, 3, 86. [Google Scholar] [CrossRef] [PubMed]
- Xiao, Q.; Huang, Y.; Wu, L.; Tian, Y.; Wang, Q.; Wang, B.; Xu, M.; Zhang, W. Long-term Manuring Increases Microbial Carbon Use Efficiency and Mitigates Priming Effect Via Alleviated Soil Acidification and Resource Limitation. Biol. Fertil. Soils 2021, 57, 925–934. [Google Scholar] [CrossRef]
- Zhang, M.; Li, S.; Wu, X.; Zheng, F.; Song, X.; Lu, J.; Wang, B.; Abdelrhmana, A.A.; Degre, A. Nitrogen Addition Mediates the Effect of Soil Microbial Diversity on Microbial Carbon Use Efficiency under Long-term Tillage Practices. Land Degrad. Dev. 2022, 33, 2258–2275. [Google Scholar] [CrossRef]
- Lan, X.; Lu, Z.; Liu, X.; Hou, H.; Ji, J.; Liu, Y. Effects of Long-term Fertilization on Contents and Chemical Compositions of Particle and Mineral-combined Organic Matter in Red Paddy Soils. Soils 2021, 53, 140–147, (In Chinese with an English Abstract). [Google Scholar]
- Yang, X.; Zhang, S.; Wu, D.; Huang, Y.; Zhang, L.; Liu, K.; Wu, H.; Guo, S.; Zhang, W. Recalcitrant Components Accumulation in Dissolved Organic Matter Decreases Microbial Metabolic Quotient of Red Soil under Long-term Manuring. Sci. Total Environ. 2024, 934, 173287. [Google Scholar] [CrossRef]
- NCATS. Chinese Organic Fertilizer Handbook; Chinese Agricultural Publisher: Beijing, China, 1999. [Google Scholar]
- Kumar, V.; Behl, R.K.; Narula, N. Establishment of Phosphate-solubilizing Strains of Azotobacter Chroococcum in the Rhizosphere and Their Effect on Wheat Cultivars under Greenhouse Conditions. Microbiol. Res. 2001, 156, 87–93. [Google Scholar] [CrossRef]







| Treatment | C input (Mg C/ha/yr) | N input (Mg N/ha/yr) | |||||||
|---|---|---|---|---|---|---|---|---|---|
| Manure | Straw | Root | Total C Input | Chemical Fertilizer | Manure | Straw | Root | Total N Input | |
| CK | 0 | 2.1 | 1.6 | 3.7 | 0 | 0 | 0.02 | 0.03 | 0.05 |
| F | 0 | 3.3 | 2.4 | 5.7 | 0.45 | 0 | 0.03 | 0.04 | 0.52 |
| SF | 0 | 6.8 | 2.5 | 9.3 | 0.45 | 0 | 0.09 | 0.04 | 0.59 |
| MF | 4.2 | 3.6 | 2.6 | 10.4 | 0.45 | 0.36 | 0.03 | 0.05 | 0.89 |
| SMF | 4.2 | 7.4 | 2.8 | 14.4 | 0.45 | 0.36 | 0.10 | 0.05 | 0.96 |
| Layer (cm) | Treatment | SOC Concentration (g/kg) | SOCstock (Mg C/ha) | SOCSR (Mg C/ha/yr) | SOCIR (%) |
|---|---|---|---|---|---|
| 0–10 | CK | 7.44 (0.75) c | 10.96 (1.08) c | ||
| F | 9.03 (0.46) c | 13.16 (0.61) c | |||
| SF | 12.68 (1.24) b | 17.10 (2.29) b | |||
| MF | 15.86 (2.90) ab | 22.26 (3.63) ab | |||
| SMF | 17.37 (3.65) a | 22.69 (5.14) a | |||
| 10–20 | CK | 7.2 (0.38) c | 10.66 (0.67) c | ||
| F | 8.37 (0.24) bc | 12.53 (0.33) b | |||
| SF | 9.32 (0.03) ab | 14.24 (0.44) ab | |||
| MF | 8.72 (0.5) ab | 13.14 (0.68) ab | |||
| SMF | 9.77 (1.05) a | 15.01 (1.56) a | |||
| 0–20 | CK | 21.61 (1.11) c | −0.25 (0.11) c | −1.05 (0.32) c | |
| F | 25.7 (0.91) c | 0.15 (0.09) c | 0.64 (0.42) c | ||
| SF | 31.33 (1.9) b | 0.72 (0.19) b | 2.97 (0.63) b | ||
| MF | 35.40 (2.95) ab | 1.13 (0.29) ab | 4.47 (1.36) ab | ||
| SMF | 37.71 (3.63) a | 1.36 (0.36) a | 5.63 (1.71) a |
Disclaimer/Publisher’s Note: The statements, opinions and data contained in all publications are solely those of the individual author(s) and contributor(s) and not of MDPI and/or the editor(s). MDPI and/or the editor(s) disclaim responsibility for any injury to people or property resulting from any ideas, methods, instructions or products referred to in the content. |
© 2024 by the authors. Licensee MDPI, Basel, Switzerland. This article is an open access article distributed under the terms and conditions of the Creative Commons Attribution (CC BY) license (https://creativecommons.org/licenses/by/4.0/).
Share and Cite
Li, J.; Wu, H.; Song, X.; Li, S.; Wu, X.; Han, Y.; Liu, Z.; Yang, N.; Wang, K.; Yang, Z.; et al. Synergistic Promotion of Particulate and Mineral-Associated Organic Carbon Within Soil Aggregates After 10 Years of Organic Fertilization in Wheat-Maize Systems. Land 2024, 13, 1722. https://doi.org/10.3390/land13101722
Li J, Wu H, Song X, Li S, Wu X, Han Y, Liu Z, Yang N, Wang K, Yang Z, et al. Synergistic Promotion of Particulate and Mineral-Associated Organic Carbon Within Soil Aggregates After 10 Years of Organic Fertilization in Wheat-Maize Systems. Land. 2024; 13(10):1722. https://doi.org/10.3390/land13101722
Chicago/Turabian StyleLi, Jing, Huijun Wu, Xiaojun Song, Shengping Li, Xueping Wu, Ya Han, Zhiping Liu, Na Yang, Ke Wang, Zhiguo Yang, and et al. 2024. "Synergistic Promotion of Particulate and Mineral-Associated Organic Carbon Within Soil Aggregates After 10 Years of Organic Fertilization in Wheat-Maize Systems" Land 13, no. 10: 1722. https://doi.org/10.3390/land13101722
APA StyleLi, J., Wu, H., Song, X., Li, S., Wu, X., Han, Y., Liu, Z., Yang, N., Wang, K., Yang, Z., & Zhang, J. (2024). Synergistic Promotion of Particulate and Mineral-Associated Organic Carbon Within Soil Aggregates After 10 Years of Organic Fertilization in Wheat-Maize Systems. Land, 13(10), 1722. https://doi.org/10.3390/land13101722
