You are currently viewing a new version of our website. To view the old version click .
Land
  • Article
  • Open Access

20 October 2024

A Simulation-Based Prediction of Land Use Change Impacts on Carbon Storage from a Regional Imbalance Perspective: A Case Study of Hunan Province, China

,
,
and
School of Architecture and Art, Central South University, Changsha 410083, China
*
Authors to whom correspondence should be addressed.
This article belongs to the Special Issue Sustainable Land Use under the Target of Carbon Peaking and Carbon Neutralization

Abstract

Land use imbalances are a critical driving factor contributing to regional disparities in carbon storage (CS). As a significant component of China’s Yangtze River Economic Belt, Hunan Province has undergone substantial shifts in land use types, resulting in an uneven distribution of ecosystem CS and sequestration capacity. Therefore, within the framework of the “dual carbon” strategy, examining the effects of land use changes driven by regional resource imbalances on CS holds practical importance for advancing regional sustainable development. This study focuses on Hunan Province, utilizing the PLUS-InVEST model to assess the spatiotemporal evolution of CS under land use changes from 1990 to 2020. Additionally, multiple scenario-based development modes were employed to predict county-level CS. The results indicate the following: (1) From 1990 to 2020, Hunan Province experienced continuous urban expansion, with forest land and cultivated land, which are core ecological land types, being converted into construction land. (2) Over these 30 years, the province’s total CS increased by 2.47 × 108 t, with significant spatial differentiation. High-value zones were concentrated in bands along the province’s borders, while lower values were observed in the central and northern regions. The highest CS values were recorded in forested areas at the province’s periphery, whereas the lowest values were observed in the northern water bodies. (3) The scenario-based predictions revealed notable differences, with the ecological protection scenario demonstrating a substantial carbon sink effect. By prioritizing forest and cultivated land, CS could be maximized. This research provides valuable insights for enhancing CS and optimizing land use structures in regions facing resource imbalances.

1. Introduction

Carbon storage, a key indicator of carbon sequestration efficiency, plays a vital role in the contribution of terrestrial ecosystems to the global energy cycle. As global environmental issues become increasingly prominent, CS has become a central focus, serving as a critical metric of ecosystem health and stability [1,2]. In this context, China has set clear targets to reach peak carbon emissions by 2030 and achieve carbon neutrality by 2060. As a result, reducing carbon emissions and enhancing carbon sequestration has become pressing research priorities for scholars [3,4], aiming to optimize and increase regional CS. The uneven distribution of regional resources is a primary driver of land use change, which, in turn, influences the carbon cycle within ecosystems by modifying their structure, functions, microclimate conditions, and physicochemical properties. This leads to spatial differentiation in regional CS [5,6]. Thus, it is imperative to understand the spatiotemporal evolution of CS and regional land use differences, explore the underlying mechanisms, and predict future changes. These efforts are essential for developing policies and measures for ecological protection and restoration and for promoting the harmonious development of both natural and social systems [7].
In recent years, significant progress has been made in studying the relationship between land use change and CS. Quantitative assessment methods for CS are foundational to carbon cycle research. Traditional approaches such as plot surveys, biomass estimation, and accumulation methods have gradually shifted towards remote-sensing models, which address issues related to limited research scales, challenges in cross-temporal and spatial analysis, and difficulties in visualization [8]. Among these models, the Integrated Valuation of Ecosystem Services and Tradeoffs (InVEST) model has gained widespread application in CS studies across various countries and regions owing to its low data requirements, fast processing capabilities, and high data accuracy [9,10,11,12,13]. In the simulation and prediction of future land use and land cover, research often employs models such as the CA-Markov, CBM-CFS3, FLUS, and CLUE-S models. For example, Shaw et al. [3] utilized the Carbon Budget model (CBM-CFS3) to project changes in CS within Canada’s forests. Similarly, Liang et al. [14] applied a combination of the SD-CLUE-S and InVEST models to simulate land use and CS changes in the Zhangye Oasis across various scenarios and scales. Their findings indicated that the strict protection scenario yielded the highest CS within the oasis. However, these models exhibit limitations in simulating the spatiotemporal evolution of different land use types at the patch scale and struggle to capture the complex relationships between land use types [15]. Furthermore, these models are constrained by their inadequate representation of patch landscape evolution and inability to accurately assess the potential drivers of land cover changes [16]. The advanced land use simulation model, PLUS (Patch-generating Land Use Simulation) [17], combines the strengths of the TAS and PAS approaches. It employs an innovative multi-type random patch seeding mechanism based on threshold descent, enabling comprehensive exploration of various land use drivers. It enhances the accuracy of land use evolution simulations, enabling more precise predictions of land use and land cover patches, thus addressing some of the limitations of earlier models. Subsequently, CS assessment methods combining models with RS and GIS technologies have increasingly emerged. Wang et al. conducted a historical analysis of current land use and CS, while Liu et al. examined land use changes over a 20-year period [18,19,20,21]. However, existing studies largely focus on evaluating historical CS capacity, with room for further development in constructing multi-scenario CS models for the future.
Most studies investigating the effects of future land use spatial patterns under different development modes on ecosystem CS have been conducted at the global scale [22], regional scale [14,23,24], provincial scale [25,26,27], and urban scale [19,28,29]. However, there is a notable lack of research examining land use change from a county-level perspective, particularly regarding how land use spatial patterns under various future scenarios and development modes impact ecosystem CS. Exploring the spatiotemporal distribution of CS at the district and county levels is crucial to enhancing such studies’ practical significance and applicability. This approach would provide more granular and actionable recommendations for ecosystem management and restoration at the county scale. In summary, although existing research has addressed the relationship between land use change and CS from multiple perspectives, several challenges still need to be addressed: (1) Commonly used models exhibit significant inaccuracies, underscoring the need for composite models to improve the precision of land use and CS assessments. (2) Current studies predominantly focus on macro-scale analyses, needing more micro-scale exploration of land use differentiation and its effects on CS. This is essential for generating detailed insights to support ecosystem management and restoration. (3) Striking a balance between enhancing CS and addressing regional development disparities continues to be challenging.
In response to the above challenges, this study selects Hunan Province, China, as the research area. Hunan Province, a core province in China’s Yangtze River Ecological Region, is a critical central city in achieving the “dual carbon” goals [30]. Under the drive of rapid urbanization and industrialization, the land use types in Hunan Province have undergone significant changes, exacerbated ecological encroachment and posing a threat to green and sustainable development [31,32]. This study explores the spatiotemporal evolution of land use in Hunan Province at the county level while simulating and predicting future land use changes and CS. The study’s objectives are as follows: (1) To quantitatively analyze the spatiotemporal evolution characteristics of land use and CS in Hunan Province from 1990 to 2020 and identify the driving factors of regional resource imbalance. (2) To simulate and predict land use and CS characteristics in Hunan Province for 2030 and 2040 under four scenarios. (3) To provide guidance and recommendations for county-level planning and protection based on enhancing regional CS.

2. Materials and Methods

2.1. Study Area

Hunan Province is in central China, in the middle reaches of the Yangtze River, between latitudes 24°38′ N and 30°08′ N and longitudes 108°47′ E and 114°15′ E (Figure 1). The province has a total of 122 county-level administrative divisions and covers an area of 211,800 km2. Hunan has abundant land resources, alternating semi-high mountains, low mountains, hills, plains, and lakes [33]. Additionally, in 2023, the GDP disparity among cities in Hunan reached a maximum of CNY 1.3718 trillion. The province’s diverse geographical conditions and significant economic disparities have led to uneven development. In recent years, due to climate change and localized high-intensity human activities, the region has faced accelerated changes in land use types and a decline in biodiversity, which have further contributed to regional ecological fragility and sensitivity [34].
Figure 1. Elevation and county distribution map of the study area.

2.2. Data Source and Processing

The data used in this study primarily include four periods of land use data for Hunan Province (1990, 2000, 2010, and 2020), natural factors data, socio-economic data, and accessibility data (Table 1). The land use data for 1990, 2000, 2010, and 2020 were obtained from the Resource and Environment Data Center of the Chinese Academy of Sciences. These data were reclassified based on the actual conditions in Hunan Province into six categories: cultivated land, forest land, grassland, water bodies, construction land, and unused land, with a resolution of 30 m × 30 m. Considering the impact of the natural environment and socio-economic conditions on land use in the study area [35], 13 driving factors, such as elevation and GDP, were selected to analyze land use patterns in Hunan Province. To ensure spatial precision consistency, ArcGIS10.8 was used to clip and unify the coordinate systems of the relevant data, and the projection was redefined as CGCS2000_3_Degree_GK_CM_108E.
Table 1. Data sources.

2.3. Research Methods

First, based on land use data from Hunan Province for 1990, 2000, 2010, and 2020, ArcGIS10.8 was employed to calculate the transition matrix, allowing for the analysis of trends and correlations between different land use types, thereby revealing the patterns of land use evolution. Next, land expansion data from 1990 and 2020 were input into the LEAS module of the PLUS model 1.40 to identify areas where land type changes occurred. The random forest algorithm was then applied to determine the contribution values of driving factors for expanding different land use types. Subsequently, land use simulations for 2020 were conducted using the PLUS model 1.40, incorporating land use driving factors. The model’s reliability was validated by comparing the simulation results with actual data. The model was then applied to predict land use patterns for Hunan Province in 2030 and 2040 under four development scenarios: natural development, rapid development, farmland protection, and ecological protection. Finally, the InVEST model 3.14.2 was used to estimate ecosystem CS for 2000–2030 and 2040, based on revised carbon density data, and to analyze the spatiotemporal changes in CS under the four development scenarios. The technical framework of this study is illustrated in Figure 2.
Figure 2. Technical Roadmap.

2.3.1. Land Use Transition Matrix

The land use transition matrix is a tool that employs a matrix to represent the direction and magnitude of conversions between different land use types during the study period [36]. This matrix analysis can uncover trends and patterns in land use changes, offering critical insights for the development of informed land use policies and planning strategies. The calculation formula is as follows:
C x y = A x y k × 10 + A x y k + 1
In the formula: C x y represents the value of the new pixel in the land use change map from period k to period k + 1 in row x, column y; A x y k represents the pixel value in row x, column y of the land use map at period k; A x y k + 1 represents the pixel value in row x, column y of the land use map at period k + 1.

2.3.2. Ecosystem CS Assessment Based on the InVEST Model

(1)
Estimation of CS
This study employs the CS module within the InVEST model 3.14.2 to evaluate changes in CS across Hunan Province. In the InVEST model 3.14.2, CS in ecosystems is divided into four components: aboveground vegetation CS, belowground vegetation CS, soil CS, and dead organic matter CS [37]. The calculation formula is as follows:
C t o t a l = C d e a d + C a b o v e + C b e l o w + C s o i l
In Equation: Ctotal represents the total CS; Cdead refers to the CS of dead organic matter; Cabove denotes the aboveground biomass CS; Cbelow signifies the belowground biomass CS; and Csoil indicates the soil CS.
(2)
Estimation of Carbon Density Values
The CS module of the InVEST model 3.14.2 requires land use data and a carbon density table specific to the study area. Due to variations in climate, soil properties, and land use practices, carbon density coefficients differ across regions. Therefore, when estimating CS in a specific area, it is necessary to adjust the carbon density coefficients for the selected region to obtain more accurate results [38]. The precipitation factor was adjusted using the formula from Alam et al. [39], while the average temperature and biomass carbon density were corrected using the formulas from Giardina et al. [40] and Chen Guangshui et al. [41].
C S P = 3.3968 × P + 3996.1 R 2 = 0.11
C B P = 6.7981 e 0.0054 P R 2 = 0.70
C B T = 28 × T + 398 R 2 = 0.47 , P < 0.01
K B P = C B P C B P
K B T = C B T C B T
K B = K B T × K B P
K S = C S P C S P
In the equation, CSP represents the soil carbon density (Mg·ha−1) of a particular land use type in the study area under the influence of annual average precipitation. CBP and CBT, respectively, denote the biomass carbon density (Mg·ha−1) of the same land use type under the effects of annual average precipitation and temperature. P and T represent the average precipitation (mm) and average temperature (°C) during the corresponding study period. KBP and KBT are the adjustment coefficients for the biomass carbon density related to precipitation and temperature, respectively, while KB is the composite adjustment coefficient for biomass carbon density under the combined effects of both precipitation and temperature factors. KS represents the soil carbon density adjustment coefficient. C′ and C″, respectively, refer to the carbon density data of the study area and the national carbon density data.
In calculating carbon density values, due to the lack of studies specifically on ecosystem carbon density for Hunan Province and considering its location within the mid-to-upper basin of Dongting Lake, this paper applies model adjustment methods based on existing research to estimate the carbon densities for various ecosystems. Carbon densities for farmland, grassland, forest ecosystems, and water bodies are derived from the results of Zhou Wenqiang et al. [35]; in this study, water bodies include rivers, lakes, and wetlands. Urban and unused lands are predominantly impervious surfaces and bare soil, exhibiting minimal aboveground vegetation carbon sequestration potential. Additionally, factors such as degradation, pollution, and high compaction substantially weaken and stabilize soil carbon sequestration capacity [42]. Therefore, the biomass carbon density for these two ecosystem types is set to zero, while soil surface carbon density is estimated based on the findings of Xi Xiaohuan et al. [43], assuming a soil depth of 1.8 m. The corrected carbon density values are shown in Table 2.
Table 2. Carbon density values for Hunan Province from 1990 to 2020 (Mg·ha−1).

2.3.3. PLUS Model and Scenario Setting

(1)
PLUS Model
The PLUS model 1.40 was employed to perform multi-scenario simulations of land use in Hunan Province. Initially, land use data from 2010 and 2020 were utilized as the baseline to identify areas of land expansion. Thirteen driving factors, including natural, socio-economic, and accessibility factors (Table 3), were then selected to investigate the relationships between land expansion and these driving factors. The random forest algorithm was used to derive transformation rules for the expansion patterns of various land use types. Using the random forest algorithm, the LEAS module generated a land use development potential map for Hunan Province. Subsequently, the 2010 land use data were input into the CARS module, along with parameters such as land use demand and neighborhood weights, to produce a simulated land use map for 2020, which was validated for accuracy. Finally, using 2020 land use data as the baseline and incorporating the land use transition matrix, the PLUS model 1.40 simulated the land use patterns for Hunan Province in 2030 and 2040 under four scenarios: rapid development, natural development, farmland protection, and ecological protection.
Table 3. Land use transition matrix for Hunan Province from 1990 to 2020.
(2)
Accuracy Assessment
Neighborhood weight represents the probability of conversion between different land use types. Values range from 0 to 1, with higher values indicating a stronger potential for expansion, while lower values indicate a weaker potential [44]. Due to variations in land conversion mechanisms across different study areas, the neighborhood weight settings differ accordingly [45]. Based on the work of Li Yiwen et al. [46], this study assigns the following weights to the respective land use categories: cultivated land (0.754), forest land (0.339), grassland (0.112), water bodies (0.306), construction land (1), and unused land (0.039).
To ensure the model’s reliability and stability, the Kappa coefficient was employed to assess the accuracy of the simulation results. The analysis yielded a Kappa value of 0.906 and an overall accuracy of 95.02%. Generally, when Kappa ≥ 0.75, the agreement between the actual data and the simulated results is considered high. Therefore, the high accuracy of the 2020 land use simulation confirms that the model is robust and suitable for projecting land use changes in Hunan Province for 2030 and 2040.
(3)
Simulation Scenario Setup
This study references the work of several scholars [46,47,48,49] and establishes four land use change simulation scenarios:
Natural Development Scenario: This scenario uses land use data from 1990, 2000, 2010, and 2020 to predict land use demand for various land types using a Markov chain model. It continues the historical trends of land use change in the study area without imposing functional restrictions or designated development zones.
Rapid Development Scenario: Under the rapid development goal, urbanization is expected to encroach upon agricultural land, forest and grassland, and water resources. Due to its irreversible nature in the short term, construction land is not permitted to be converted into other land use types. In this scenario, the probability of construction land converting to cultivated land, water bodies, forest land, grassland, or unused land is reduced by 40%. Conversely, the probability of cultivated land, forest land, grassland, water bodies, and unused land converting to construction land increases by 40%, 10%, 20%, 10%, and 50%, respectively.
Farmland Protection Scenario: This scenario prioritizes the preservation of high-quality, contiguous cultivated land. It emphasizes stabilizing and protecting prime farmland in Hunan Province. By overlaying the cultivated land data from 1990, 2000, 2010, and 2020, areas consistently used as cultivated land across all four years are identified as long-term stable farmland. Additionally, based on previous research [50], cultivated land with a slope of less than 6° is considered high-quality farmland. The stable and high-quality farmland is combined to form a restricted conversion zone. To protect farmland, the probability of cultivated land converting to construction land is reduced by 70%, while the probability of conversion to forest land and grassland is reduced by 40%. The probability of other land use types (excluding unused land and water bodies) converting to cultivated land is increased by 50%.
Ecological Protection Scenario: This scenario incorporates natural reserves as restricted conversion zones, building upon the linear development scenario. It imposes strict limitations on the conversion of forest and grassland into farmland or construction land. The probability of farmland and unused land transitioning to forest land and water bodies is increased by 60%, while the probability of conversion to construction land is decreased by 80%. Additionally, the probability of grassland converting to forest land is increased by 60%.

3. Results

3.1. Evolution of Land Use Patterns in Hunan Province from 1990 to 2020

3.1.1. Spatiotemporal Analysis of Land Use Changes from 1990 to 2020

The spatial and temporal evolution of land use in Hunan Province is illustrated in Figure 3. Overall, the land use changes exhibit a trend of “continuous rapid expansion of construction land and a significant reduction in cultivated land”. Between 1990 and 2020, forest land, as the predominant land use type, saw an increase in the transfer-in area, while cultivated land consistently decreased and construction land expanded rapidly. Grassland and unused land experienced relatively minor fluctuations.
Figure 3. Land use in Hunan Province from 1990 to 2020: (a) shows the spatiotemporal evolution of land use types; (b) illustrates the area changes of land use types; (c) presents the land use transition map. The asterisk in (c) represents the positioning of land use transfer.
As shown in the spatial and temporal evolution of land use types in Figure 3a, cultivated land is primarily concentrated in the plains and lake regions of the northeast. In contrast, forest land is predominantly distributed across the mountainous and hilly areas in the northwest and southeast. Grassland is mainly located in the northwest, and water bodies run linearly from north to south, converging in the plains and lake regions of the northeast. Construction land is concentrated within the Chang-Zhu-Tan urban agglomeration, and unused land is distributed along significant water bodies in the northeast.
Figure 3b illustrates the changes in the area of land use types in Hunan Province between 1990 and 2020. Forest land and cultivated land dominate the land use types in the province, followed by grassland and water bodies. Overall, the largest transfer-out areas were observed in cultivated land and forest land, while the largest transfer-in areas were also in cultivated land and forest land. Specifically: (1) From 1990 to 2000, cultivated land and forest land had the highest average total transfer-out areas, accounting for 47% and 36%, respectively. Construction land had the largest average total transfer-in area at 54%, followed by forest land, which accounted for 17% of the total average transfer-in area. (2) From 2000 to 2010, the average total transfer-out area for cultivated land remained stable at 47%, while forest land decreased to 25%. Forest and construction land had the largest average total transfer-in areas, accounting for 37% and 21%, respectively. (3) From 2010 to 2020, the average total transfer-out areas for cultivated land and forest land were 44% and 42%, respectively, with the reduction in area continually increasing. The largest average total transfer-in areas were forest land (35%) and cultivated land (33%).
As illustrated in the land use transition map in Figure 3c, between 1990 and 2020, the primary land use conversion was from cultivated land to forest land, followed by conversions from cultivated land to construction land. (1) Between 1990 and 2000, the predominant land use conversion was from cultivated land to construction land, affecting 30 counties, including Jinshi City, Lixian County, and Linli County, primarily located in the northeastern region and the Chang-Zhu-Tan urban agglomeration. The second most common transition occurred in 29 counties, where cultivated land was converted to forest land, including Beihu District, Beita District, and Guiyang County. (2) From 2000 to 2010, the most significant conversion area was cultivated land to forest land, impacting 60 counties, including Taoyuan County, Guidong County, and Guiyang County. The next most prevalent transition type was forest land to cultivated land, which occurred in 29 counties, including Shuangpai County, Linjiang County, and Pingjiang County. (3) Between 2010 and 2020, the primary land use conversion type remained cultivated land to forest land, involving 41 counties, such as Ningyuan County, Xintian County, and Yongding District. The second most significant transition was from cultivated land to construction land, which occurred in 22 counties, including Lukou District, Shifeng District, and Tianyuan District.

3.1.2. Drivers of Land Use Expansion from 1990 to 2020

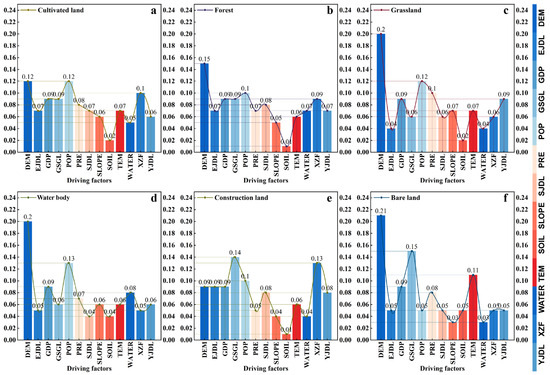
By importing land expansion data for Hunan Province from 1990 and 2020 into the LEAS module of the PLUS model 1.40, areas where land type changes occurred were identified. The contribution values of driving factors for expanding different land types were then determined using the random forest algorithm (Figure 4), with abbreviations explained in Table 1. Overall, elevation is the key factor influencing the expansion of cultivated land, forest land, grassland, water bodies, and unused land.
Figure 4. Expansion of various land use types in Hunan province from 1990 to 2020 and their major influencing factors. Figures (af) represent the contribution of driving factors to the expansion of different land types, specifically cultivated land, forest, grassland, water body, construction land, and bare land, respectively.
For cultivated land expansion, elevation, population, and proximity to the county government are the primary factors influencing it (Figure 4a). Newly cultivated land is predominantly concentrated in Junshan District and Huarong County, with a more uniform distribution in other flat areas farther from urban centers. Cultivated land typically expands into regions with lower elevation and minimal human interference. Regarding forest land expansion (Figure 4b), new forest areas are primarily located in high-altitude mountainous regions, with the most significant increase observed in Guidong County. Grassland expansion (Figure 4c) is most affected by elevation, with growth concentrated in relatively flat regions such as Lengshuitan District and Lingling District in southwestern Hunan. Newly formed water bodies (Figure 4d) are found mainly in the plain lake regions of northeastern Hunan, such as Yueyang County and Xiangyin County, due to implementation of the “returning farmland to lakes” policy. The most significant factor influencing construction land expansion is the proximity to highways (Figure 4e), with new urban construction areas forming near highway intersections. The expansion of unused land is primarily driven by unsustainable human activities, which have caused ecological degradation, rendering the land unsuitable for restoration [51] (Figure 4f). Newly expanded unused land is mainly distributed around Dongting Lake, including Yuanjiang City, Xiangyin County, and Yueyang County.

3.2. Spatiotemporal Variation Characteristics of CS in Hunan Province

Based on Figure 5, which compares CS across different land use types, forest land emerges as the dominant contributor, accounting for over 70% of the total CS. Cultivated land contributes 14%, while construction land accounts for less than 1%. Over the 30 years from 1990 to 2020, Hunan Province’s total CS increased by 2.47 × 108 tons. Specifically, forest land showed a steady increase in CS, rising by 1.85 × 108 tons. In contrast, cultivated land initially experienced a decline but later rebounded, with a net increase of 0.46 × 108 tons in CS. Construction land saw a total increase of 0.17 × 108 tons in CS, whereas grassland, water bodies, and unused land contributed relatively minor amounts to the overall total.
Figure 5. CS in Hunan Province from 1990 to 2020.
The spatial distribution of CS from 1990 to 2020, as illustrated in Figure 6a, shows that areas with CS exceeding 12 tons per hectare were primarily concentrated along the western and eastern borders of the province, where forest land is the prevailing land use type. In 2020, regions with CS ranging between 6 and 12 tons per hectare were located in the northwestern part of Hunan Province. Areas with CS between 5 and 6 tons per hectare were distributed across Yuanling County and Guzhang County in northwestern Hunan between 1990 and 2000, but by 2010 and 2020, these regions had shifted to the northern lake area and urban agglomerations in the central and southwestern parts of the province. Areas with CS between 3 and 5 tons per hectare were found in the northern lake region and the central and southwestern portions of Hunan in 1990 and 2000, while in 2010 and 2020, these areas were primarily concentrated in the northeastern region of the province.
Figure 6. Spatial distribution and changes in CS in Hunan Province from 1990 to 2020. In the legend of (a), Class I indicates grids with carbon storage between 0 and 3 tons, Class II corresponds to grids with carbon storage between 3 and 5 tons, and so forth, with Class V representing grids with carbon storage exceeding 12 tons. In the legend of (b), Class V→I refers to grids where carbon storage, initially exceeding 12 tons, has decreased to a range of 0 to 3 tons by the target year.
Figure 6b illustrates the changes in CS over time. Between 2000 and 2010, the CS per grid in the Dongting Lake region and central urban agglomerations increased from 3.7 tons to 5.7 tons. However, from 2010 to 2020, a slight decline in CS was observed across several counties, particularly within the Chang-Zhu-Tan urban agglomeration, where per-grid CS decreased from 5.7 tons to 3.9 tons. Conversely, the CS per grid in the northwestern and southwestern regions of the province increased during this period. Overall, from 1990 to 2020, most areas experienced significant increases in per-grid CS, with the most substantial growth observed in Guidong County, where per-grid CS rose from 2.7 tons to 13.3 tons. In contrast, the northern part of the Dongting Lake area experienced a notable decline in CS, dropping values from 14.2 tons to 2.7 tons per grid.

3.3. Scenario Simulation of Land Use and CS in Hunan Province for 2030–2040

3.3.1. Multi-Scenario Analysis of Land Use Changes

Based on the land use data and previous analyses, four future scenarios were established: natural development, rapid development, cultivated land protection, and ecological protection. The PLUS model 1.40 was employed to predict land use changes for 2030 and 2040 under these scenarios.
Figure 7 presents the land use predictions for Hunan Province in 2030 and 2040 under different scenarios. Across all four scenarios, forest land remains the dominant land type in Hunan, followed by cultivated land, grassland, water bodies, and construction land. The cultivated land area shows a declining trend in three scenarios, excluding the cultivated land protection scenario. Forest land increases only in the ecological protection scenario, while the proportion of construction land rises rapidly under natural and rapid development scenarios.
Figure 7. Land use in Hunan Province under different scenarios for 2030 and 2040.
Figure 8 illustrates land transfers in Hunan Province in 2030 and 2040 under various scenarios. Significant land transfers occur in the natural development scenario (S1) as forest land and cultivated land are converted to construction land across many counties. Forest land constitutes the largest transfer-out area share, accounting for 27% and 51% in 2030 and 2040, respectively. Conversely, construction land represents the largest transfer-in area share, making up 38% and 72%, respectively. In the rapid development scenario (S2), the total area of land conversion is the largest, with a rapid expansion of construction land. Forest land is the predominant type being transferred out, representing 27% and 52% in 2030 and 2040, respectively. Construction land again constitutes the most significant transferred-in type, comprising 36% and 69%. In the cultivated land protection scenario (S3), the total land transfer area is the smallest, with a slower construction land expansion. The pressure on surrounding farmland is less severe compared with the natural development scenario, and high-quality cultivated land is protected. Forest land is the largest share of the transferred-out area, while construction land comprises the largest transferred-in area. Although the proportion of construction land increases, the overall area of land transfers is relatively small due to the protection of cultivated land, resulting in less significant construction land expansion than the natural development and rapid development scenarios. In the ecological protection scenario (S4), measures such as restricting land use changes in nature reserves, converting farmland back to forest, and restoring grasslands are implemented. These actions prevent transfers of forest and grassland, while some cultivated land is converted to forest and grassland. Cultivated land constitutes the largest share of transferred-out areas, accounting for 83% and 51% in 2030 and 2040, respectively. Forest land represents the most significant transferred-in type, comprising 60% and 73%, respectively.
Figure 8. Land use change in Hunan Province under different scenarios for 2030 and 2040 (relative to 2020).

3.3.2. Changes in CS under Multi-Scenario Land Use Simulation in Hunan Province

Based on four future land use scenarios for Hunan Province, the Carbon module of the InVEST model 3.14.2 was applied to simulate and predict CS from 2030 to 2040 under these scenarios, followed by an analysis of the outcomes. The InVEST model 3.14.2’s Carbon module was used to calculate the changes in CS for the natural development, rapid development, cultivated land protection, and ecological protection scenarios in 2030 and 2040 (Table 4). In both 2030 and 2040, the ecological protection scenario exhibited a significantly stronger carbon sink effect compared with the other three scenarios, suggesting that limiting the conversion of ecological land to construction land is essential for Hunan Province to advance toward carbon neutrality.
Table 4. Land use types in Hunan Province under multiple scenarios for 2030 and 2040.
From a spatial perspective (Figure 9), areas with CS exceeding 12 t per grid cell are predominantly located along the western and eastern borders of Hunan Province. Regions with CS between 6 t and 12 t are concentrated in the northwest, while areas with CS between 5 t and 6 t are found around the Dongting Lake urban cluster in the north as well as in the central and southwestern regions. CS values ranging from 3 t to 5 t are primarily found in central areas such as Kaifu and Tianxin Districts.
Figure 9. CS in Hunan Province under different scenarios for 2030 and 2040. In the legend of this Figure, Class I represents grids with carbon storage between 0 and 3 tons, Class II corresponds to grids with carbon storage between 3 and 5 tons, and Class V indicates grids with carbon storage exceeding 12 tons.
CS variation across different scenarios is shown in Figure 10: (S1) Under the natural development scenario, between 2020 and 2030, 38 counties experienced a reduction in CS of less than 0.5 × 108 t, with only a few counties showing an increase. However, from 2020 to 2040, the areas of CS reduction expanded considerably, with 30 counties seeing reductions exceeding 1.5 × 108 t. (S2) The rapid development scenario followed a similar pattern, with a significant rise in the number of counties experiencing declines in CS, while only a few counties saw increases. (S3) Under the cultivated land protection scenario, most regions saw a continued decrease in CS between 2020 and 2030, with only five counties showing minor increases. By 2040, reductions in CS across 78 counties were less than 1 × 108 t. (S4) Under the ecological protection scenario, there is a significant increase in the regions with rising carbon storage compared to other scenarios. From 2020 to 2030, a total of 101 counties experience growth in carbon storage, with most counties seeing an increase ranging from 0.5 × 108 to 1 × 108 tons. By 2040, the number of counties with increasing carbon storage continues to rise, with 57 counties showing an increase greater than 1.5 × 108 tons. In summary, under the natural and rapid development scenarios, the acceleration of urbanization leads to the rapid conversion of agricultural land for construction, with high-carbon-density areas such as forests and grasslands being replaced by low-carbon-density land uses, resulting in a continuous decline in carbon storage across Hunan Province. Although the farmland protection scenario ensures economic benefits, it also leads to some loss of ecological benefits. In contrast, the implementation of ecological protection measures significantly enhances carbon storage.
Figure 10. Changes in CS in Hunan Province under different scenarios for 2030 and 2040 (relative to 2020).
In summary, under the natural and rapid development scenarios, accelerated urbanization led to the rapid conversion of cultivated land to construction land, causing high-carbon-density regions, such as forests and grasslands, to be converted into low-carbon-density areas. This shift resulted in a steady decline in Hunan Province’s overall CS. Although the cultivated land protection scenario provided economic benefits, it also resulted in some ecological losses. In contrast, ecological protection measures significantly enhanced CS.

4. Discussion

4.1. Analysis of Land Use and CS Evolution Caused by Regional Resource Imbalances

Under the “dual carbon” development goals, this study explores the impact of land use change on CS from a regional resource imbalance perspective, employing the InVEST and PLUS models 1.40 to forecast and analyze CS. Firstly, this research innovatively considers the influence of natural and socio-economic factors driving regional resource imbalances on land use and CS, whereas most existing studies primarily focus on single natural elements [52], such as water networks or arid lands. Secondly, it examines the relationship between land use and CS evolution at the provincial scale while offering a novel, in-depth analysis at the county level. By studying at the county scale, this approach diverges from previous studies [53], providing detailed insights into inter-county differences and offering targeted recommendations for change analysis and policy development.
The findings indicate that, in regions with extensive mountainous areas, CS is predominantly concentrated in forest ecosystems. Additionally, differences in regional resource endowment have led to distinctive patterns of land use change throughout 30 years of urbanization and industrialization. Within the ecological barrier zones of Hunan Province, including mountainous areas and four major river basins, there has been a steady increase in CS over the past three decades, from 4.6 to 5.4 t, underscoring the importance of preserving Hunan’s ecological security barriers—a conclusion corroborated by Zhou et al. [54]. In contrast, CS has decreased in areas with high human activity, such as the central plains, due to ecosystem fragmentation and degradation. Notably, CS in the northern Dongting Lake region dropped significantly from 13.7 to 2.8 t per grid cell between 2000 and 2010, consistent with findings from provincial and municipal studies [35]. Forest and cropland remain the primary CS land types, in line with other relevant research results [55,56]. This study aims to support low-carbon green development, optimize spatial planning, and provide theoretical insights for sustainable policy planning.

4.2. Considerations for Future Scenario Predictions of CS Enhancement

In this study, the total CS in the research area increased by 0.22 × 108 t and 0.31 × 108 t in 2030 and 2040, respectively, under the ecological protection scenario. This scenario effectively preserves high-carbon-density land types such as grassland and forest land [57,58]; however, it also highlights insufficient protection for cultivated land, which warrants further specific discussion. Under the cultivated land protection scenario, although cultivated land area increased, forest land substantially decreased and construction land expanded, leading to a reduction in CS. Meanwhile, the rapid development and natural development scenarios indicate that the unregulated expansion of construction land results in significant losses.
In light of previous studies and the results of this research, regional protection efforts should emphasize sustainable land use to enhance regional CS [59]. Firstly, strengthening the protection of ecological lands, such as forests and grasslands [60], is crucial to maintaining the ecological benefits of reforestation and wetland restoration programs. Secondly, strict adherence to the cultivated land protection boundaries and restricting urban development limits are essential to curbing the encroachment of construction land. Lastly, attention should be given to the transitions between cultivated land, forest land, and water networks, with a focus on expanding forested areas to bolster future CS.
This study utilized the PLUS model 1.40 to explore land use changes, which provides a comprehensive consideration of climatic, environmental, and socio-economic factors. However, the model does not fully account for policy impacts on land use, which could introduce potential biases into the simulation results. To improve the accuracy of future research, policy factors should be integrated to achieve more robust predictive outcomes.

4.3. Strategic Recommendations for CS Development

The terrestrial ecosystem carbon pool is a core component of CS, with over 70% of Hunan Province’s CS coming from forest land. However, the high-intensity disturbances from human activities have led to the conversion of significant land areas into construction land, posing challenges to ecological conservation efforts. Implementing the “Grain for Green” policy has become necessary to sustain ecological balance. Nonetheless, large-scale reforestation is no longer viable for future development [61]. Thus, enhancing ecological protection will be crucial for increasing CS and achieving sustainable development.
Based on the study’s findings, the following policy recommendations are proposed: (1) Carefully consider policy development guided by regional resource imbalances, prioritizing the strict protection of high CS areas while restricting further ecological degradation in densely populated areas. (2) Establish a robust ecological compensation mechanism to increase CS by providing financial incentives to those who generate ecological benefits. (3) Support and encourage carbon sequestration initiatives, such as wetland protection, restoration projects, and lake rehabilitation. (4) Develop a comprehensive monitoring and assessment system for CS to track the carbon sequestration in ecosystems such as forests and wetlands, thereby providing a scientific basis for informed decision making.
Finally, due to data limitations, this study did not account for the effects of climate variability, nitrogen deposition, increased carbon dioxide concentrations, and other influencing factors in the calculation of CS, which presents certain limitations. Therefore, future research should consider these factors to enhance the model’s simulation accuracy and provide a theoretical and scientific basis for the precise calculations of CS.

5. Conclusions

This study utilizes the PLUS-InVEST integrated model to assess the CS of land use across 122 counties in Hunan Province from 1990 to 2020, examining the implications of regional resource imbalance and predicting land use and CS under four scenarios for 2030 and 2040.
(1)
From 1990 to 2020, land use in Hunan Province exhibited significant changes, characterized by a substantial reduction in arable land and a dramatic increase in construction land. In the context of regional resource endowment imbalances, ongoing human activities in the Dongting Lake area, the Chang-Zhu-Tan urban agglomeration, and the southern plain region have led to the continuous expansion of construction land.
(2)
The increment of CS is primarily concentrated within Hunan Province’s ecological barrier, particularly in the Dongting Lake area, the Wuling-Xuefeng Mountains, the Nanling Mountains, and the Luoxiao-Mufu Mountain regions, as well as in the basins of the Xiang, Zi, Yuan, and Li rivers. During this period, CS increased from 22.69 × 108 t to 25.17 × 108 t, reflecting a gradual upward trend. Forest CS constitutes over 70% of the total CS in Hunan, which is closely linked to the implementation of the “Returning Farmland to Forest” policy since 2000 and the low intensity of human activities within the ecological barrier.
(3)
To enhance CS, predictions of CS under the four future scenarios indicate that the majority of counties exhibit continuous increases in CS within the ecological protection scenario, demonstrating significant ecological benefits compared with the other three scenarios.
Therefore, understanding the interactive relationship between land use changes and CS in Hunan Province suggests that maintaining regional ecological development and adopting refined land management policies at the county level are essential strategies for effectively enhancing regional CS. This study explores the impact of land use changes on CS across 122 counties from the perspective of regional resource imbalance, providing methodological references for the scientific management of other resource-imbalanced regions. Additionally, practical applications can leverage predictive simulations to select the most suitable land use practices for achieving CS objectives.

Author Contributions

Conceptualization, J.Z. and H.D.; methodology, H.D.; software, J.Z., H.D. and J.X.; validation, J.Z., H.D. and B.Z.; formal analysis, J.Z.; investigation, H.D.; resources, B.Z.; data curation, J.X.; writing—original draft preparation, H.D. and B.Z.; writing—review and editing, J.Z. and B.Z.; visualization, J.Z.; supervision, B.Z.; project administration, B.Z.; funding acquisition, B.Z. All authors have read and agreed to the published version of the manuscript.

Funding

This research was funded by the Natural Science Foundation of Hunan Province (Grant No. 2023JJ30693).

Data Availability Statement

The data presented in this study are available on request from the corresponding author. The data are not publicly available due to privacy restrictions.

Acknowledgments

The authors are grateful to the editor and reviewers for their valuable comments and suggestions.

Conflicts of Interest

The authors declare no conflicts of interest.

References

  1. Zhi, F.; Zhou, Z.; Zhao, M.; Wang, S. Temporal and Spatial Evolution Characteristics of Carbon Storage in Hefei Ecosystem Based on PLUS and InVEST Models. Bull. Soil Water Conserv. 2024, 38, 205–215. [Google Scholar]
  2. Sweet, S.K.; Schuldt, J.P.; Lehmann, J.; Bossio, D.A.; Woolf, D. Perceptions of naturalness predict US public support for Soil Carbon Storage as a climate solution. Clim. Chang. 2021, 166, 22. [Google Scholar] [CrossRef]
  3. Shaw, C.H.; Hilger, A.B.; Metsaranta, J.; Kurz, W.A.; Russo, G.; Eichel, F.; Stinson, G.; Smyth, C.; Filiatrault, M. Evaluation of simulated estimates of forest ecosystem carbon stocks using ground plot data from Canada’s National Forest Inventory. Ecol. Model. 2014, 272, 323–347. [Google Scholar] [CrossRef]
  4. Vizcaíno-Bravo, Q.; Williams-Linera, G.; Asbjornsen, H. Biodiversity and carbon storage are correlated along a land use intensity gradient in a tropical montane forest watershed, Mexico. Basic Appl. Ecol. 2020, 44, 24–34. [Google Scholar] [CrossRef]
  5. Wang, A.; Zhang, M.; Kafy, A.A.; Tong, B.; Hao, D.; Feng, Y. Predicting the impacts of urban land change on LST and carbon storage using InVEST, CA-ANN and WOA-LSTM models in Guangzhou, China. Earth Sci. Inform. 2023, 16, 437–454. [Google Scholar] [CrossRef]
  6. Zhang, Z.; Liu, Y.; Wang, Y.; Liu, Y.; Zhang, Y.; Zhang, Y. What factors affect the synergy and tradeoff between ecosystem services, and how, from a geospatial perspective? J. Clean. Prod. 2020, 257, 120454. [Google Scholar] [CrossRef]
  7. Wei, Q.; Abudureheman, M.; Halike, A.; Yao, K.; Yao, L.; Tang, H.; Tuheti, B. Temporal and spatial variation analysis of habitat quality on the PLUS-InVEST model for Ebinur Lake Basin, China. Ecol. Indic. 2022, 145, 109632. [Google Scholar] [CrossRef]
  8. Yang, L.; Zhao, J.; Zhu, J.; Liu, L.; Zhang, P. Spatial-temporal change and prediction of carbon stock in the ecosystem of Xi’an based on PLUS and InVEST models. Remote Sens. Nat. Resour. 2022, 34, 175–182. [Google Scholar]
  9. Houghton, R.A. Counting Terrestrial Sources and Sinks of Carbon. Clim. Chang. 2001, 48, 525–534. [Google Scholar] [CrossRef]
  10. Ismaili Alaoui, H.; Chemchaoui, A.; El Asri, B.; Ghazi, S.; Brhadda, N.; Ziri, R. Modeling predictive changes of carbon storage using invest model in the Beht watershed (Morocco). Model. Earth Syst. Environ. 2023, 9, 4313–4322. [Google Scholar] [CrossRef]
  11. Redhead, J.W.; Stratford, C.; Sharps, K.; Jones, L.; Ziv, G.; Clarke, D.; Oliver, T.H.; Bullock, J.M. Empirical validation of the InVEST water yield ecosystem service model at a national scale. Sci. Total Environ. 2016, 569–570, 1418–1426. [Google Scholar] [CrossRef] [PubMed]
  12. Wang, C.; Luo, J.; Qing, F.; Tang, Y.; Wang, Y. Analysis of the Driving Force of Spatial and Temporal Differentiation of Carbon Storage in Taihang Mountains Based on InVEST Model. Appl. Sci. 2022, 12, 10662. [Google Scholar] [CrossRef]
  13. Gong, W.; Duan, X.; Mao, M.; Hu, J.; Sun, Y.; Wu, G.; Zhang, Y.; Xie, Y.; Qiu, X.; Rao, X.; et al. Assessing the impact of land use and changes in land cover related to carbon storage by linking trajectory analysis and InVEST models in the Nandu River Basin on Hainan Island in China. Front. Environ. Sci. 2022, 10, 1038752. [Google Scholar] [CrossRef]
  14. Liang, Y.; Liu, L.; Huang, J. Integrating the SD-CLUE-S and InVEST models into assessment of oasis carbon storage in northwestern China. PLoS ONE 2017, 12, e0172494. [Google Scholar] [CrossRef] [PubMed]
  15. Xie, X.; Lin, X.; Wang, Y.; Tu, R.; Zhang, J. Multi-scenario Simulation of Land Use in Nanchuan District of Chongqing Based on PLUS Model. J. Chang. River Sci. Res. Inst. 2023, 40, 86–92, 113. [Google Scholar]
  16. Yin, K.; Liao, S. Spatial and temporal variability and prediction of carbon stocks in the Three Gorges reservoir area (Chongqing section) based on the InVEST-PLUS model. J. Chang. River Sci. Res. Inst. 2024, 41, 60–69. [Google Scholar]
  17. Wu, Q.; Wang, L.; Wang, T.; Ruan, Z.; Du, P. Spatial–temporal evolution analysis of multi-scenario land use and carbon storage based on PLUS-InVEST model: A case study in Dalian, China. Ecol. Indic. 2024, 166, 112448. [Google Scholar] [CrossRef]
  18. Fu, K.; Jia, G.; Yu, X.; Chen, L. Analysis of Temporal and Spatial Carbon Stock Changes and Driving Mechanism in Xinjiang Region by Coupled PLUS-InVEST-Geodector Model. Environ. Sci. 2024, 45, 5416–5430. [Google Scholar]
  19. Li, J.; Yang, D.; Wu, F.; Chen, R.; He, W. Dynamic Simulation of Land Use Changes and Assessment of Carbon Storage in Kunming City Based on PLUS and InVEST Models. Bull. Soil Water Conserv. 2023, 43, 378–387. [Google Scholar]
  20. He, N.; Guo, W.; Wang, H.; Yu, L.; Cheng, S.; Huang, L.; Jiao, X.; Chen, W.; Zhou, H. Temporal and Spatial Variations in Landscape Habitat Quality under Multiple Land-Use/Land-Cover Scenarios Based on the PLUS-InVEST Model in the Yangtze River Basin, China. Land 2023, 12, 1338. [Google Scholar] [CrossRef]
  21. Wang, C.; Li, T.; Guo, X.; Xia, L.; Lu, C.; Wang, C. Plus-InVEST Study of the Chengdu-Chongqing Urban Agglomeration’s Land-Use Change and Carbon Storage. Land 2022, 11, 1617. [Google Scholar] [CrossRef]
  22. Nelson, E.; Sander, H.; Hawthorne, P.; Conte, M.; Ennaanay, D.; Wolny, S.; Manson, S.; Polasky, S. Projecting Global Land-Use Change and Its Effect on Ecosystem Service Provision and Biodiversity with Simple Models. PLoS ONE 2010, 5, e14327. [Google Scholar] [CrossRef]
  23. Liang, Y.; Hashimoto, S.; Liu, L. Integrated assessment of land-use/land-cover dynamics on carbon storage services in the Loess Plateau of China from 1995 to 2050. Ecol. Indic. 2021, 120, 106939. [Google Scholar] [CrossRef]
  24. Liu, W.; Liu, D.; Liu, Y. Spatially Heterogeneous Response of Carbon Storage to Land Use Changes in Pearl River Delta Urban Agglomeration, China. Chin. Geogr. Sci. 2023, 33, 271–286. [Google Scholar] [CrossRef]
  25. Jiao, Y.; Wang, Y.; Tu, C.; Hou, X.; Lyu, C.; Fan, X.; Xia, L. Spatiotemporal Evolution and Future of Carbon Storage in Resource-Based Chinese Province: A Case Study from Shanxi Using PLUS–InVEST Model Prediction. Sustainability 2024, 16, 4461. [Google Scholar] [CrossRef]
  26. Li, P.; Chen, J.; Li, Y.; Wu, W. Using the InVEST-PLUS Model to Predict and Analyze the Pattern of Ecosystem Carbon storage in Liaoning Province, China. Remote Sens. 2023, 15, 4050. [Google Scholar] [CrossRef]
  27. Yue, S.; Ji, G.; Chen, W.; Huang, J.; Guo, Y.; Cheng, M. Spatial and Temporal Variability Characteristics of Future Carbon Stocks in Anhui Province under Different SSP Scenarios Based on PLUS and InVEST Models. Land 2023, 12, 1668. [Google Scholar] [CrossRef]
  28. Lyu, R.; Mi, L.; Zhang, J.; Xu, M.; Li, J. Modeling the effects of urban expansion on regional carbon storage by coupling SLEUTH-3r model and InVEST model. Ecol. Res. 2019, 34, 380–393. [Google Scholar] [CrossRef]
  29. Li, Y.; Yao, S.; Jiang, H.; Wang, H.; Ran, Q.; Gao, X.; Ding, X.; Ge, D. Spatial-Temporal Evolution and Prediction of Carbon Storage: An Integrated Framework Based on the MOP–PLUS–InVEST Model and an Applied Case Study in Hangzhou, East China. Land 2022, 11, 2213. [Google Scholar] [CrossRef]
  30. Zhao, H.; Mo, H. Dynamic analysis of vegetation carbon sink and its natural driving factors in Hunan Province. Remote Sens. Nat. Resour. 2023, 1–10. Available online: http://kns.cnki.net/kcms/detail/10.1759.P.20231124.1348.012.html (accessed on 17 October 2024).
  31. Xiong, Y.; Zhang, F.; Gong, C.; Luo, P. Spatial-temporal Evolvement of Ecosystem Service Value in Hunan Province Based on LUCC. Resour. Environ. Yangtze Basin 2018, 27, 1397–1408. [Google Scholar]
  32. Cui, S.; Zhu, P.; Zhou, G.; Zhang, H.; Deng, X. Urban Spatial Function Change and Regulation Path from the Perspective of “Production-Living-Ecological”: Taking Changsha City as An Example. Resour. Environ. Yangtze Basin 2020, 29, 1733–1745. [Google Scholar]
  33. Tang, L.; Hu, X.; Luo, Z.; Wei, B.; Wang, Y.; Zhang, Y.; Shao, R.; Chen, C. Spatiotemporal coupling of ecological vulnerability and urbanization level and their interactive influencing factors:a case study of Hunan Province. Acta Ecol. Sin. 2024, 44, 4662–4677. [Google Scholar]
  34. Li, H. Evaluation of the Optimality of Survival Resources for Sustainable Agricultural Development in Hunan. Prog. Geogr. 2000, 1, 41–49. [Google Scholar]
  35. Zhou, W.; Han, Y.; Wang, J.; Yang, L.; Que, H. Spatiotemporal heterogeneity and driving forces of carbon storage in the Dongting Lake Basin. China Environ. Sci. 2024, 44, 1851–1862. [Google Scholar]
  36. Pontius, R.G.; Shusas, E.; McEachern, M. Detecting important categorical land changes while accounting for persistence. Agric. Ecosyst. Environ. 2004, 101, 251–268. [Google Scholar] [CrossRef]
  37. Zhang, F.; Zhan, J.; Zhang, Q.; Yao, L.; Liu, W. Impacts of land use/cover change on terrestrial carbon stocks in Uganda. Phys. Chem. Earth Parts A/B/C 2017, 101, 195–203. [Google Scholar] [CrossRef]
  38. Fu, Q.; Xu, L.; Zheng, H.; Chen, J. Spatiotemporal Dynamics of Carbon Storage in Response to Urbanization: A Case Study in the Su-Xi-Chang Region, China. Processes 2019, 7, 836. [Google Scholar] [CrossRef]
  39. Alam, S.A.; Starr, M.; Clark, B.J.F. Tree biomass and soil organic carbon densities across the Sudanese woodland savannah: A regional carbon sequestration study. J. Arid Environ. 2013, 89, 67–76. [Google Scholar] [CrossRef]
  40. Giardina, C.P.; Ryan, M.G. Evidence that decomposition rates of organic carbon in mineral soil do not vary with temperature. Nature 2000, 404, 858–861. [Google Scholar] [CrossRef]
  41. Chen, G.; Yang, Y.; Xie, J.; Du, Z.; Zhang, J. Total belowground carbon allocation in China’s forests. Acta Ecol. Sin. 2007, 27, 5148–5157. [Google Scholar]
  42. Xiao, D.; Deng, L.; Kim, D.-G.; Huang, C.; Tian, K. Carbon budgets of wetland ecosystems in China. Glob. Chang. Biol. 2019, 25, 2061–2076. [Google Scholar] [CrossRef] [PubMed]
  43. Xiaohuan, X.; Jianxin, Z.; Qilin, L.; Deyou, C.; Rongjie, B.; Zengfang, H. Multi-purpose Regional Geochemical Survey and Soil Carbon Reserves Problem: Examples of Jiangsu, Henan, Sichuan, Jilin Provinces and Inner Mongolia. Quat. Sci. 2008, 28, 58–67. [Google Scholar]
  44. Li, J.; Shao, Z. Spatiotemporal evolution and prediction of carbon stock in Urumqi City based on PLUS and InVEST models. Arid Zone Res. 2024, 41, 499–508. [Google Scholar]
  45. Bai, W.; Zhao, S. System Analysis of the Driving Forces of Land Use Change. Resour. Sci. 2001, 3, 39–41. [Google Scholar]
  46. Li, Y.; Lin, T.; Zhou, W.; Yang, L. Analysis of ecosystem service value with multi-scenario simulation in dongting lake basin. Chin. J. Agric. Resour. Reg. Plan. 2024, 1–12. Available online: http://kns.cnki.net/kcms/detail/11.3513.S.20240130.1603.020.html (accessed on 17 October 2024).
  47. Yang, L.; Wang, J.; Zhou, W. Coupling evolution analysis of LUCC and habitat quality in Dongting Lake Basin Based on multi-scenario simulation. China Environ. Sci. 2023, 43, 863–873. [Google Scholar]
  48. Wang, B.; Shu, X.; Liao, F.; Li, Y.; Wan, Z. Spatitemporal of Land Use Conflicts and Multi-Scenario Simulation in Poyang Lake Area Based on Optimal Landscape Scale. Res. Soil Water Conserv. 2024, 31, 336–347. [Google Scholar]
  49. Wu, D.; Zhu, K.; Zhang, S.; Huang, C.; Li, J. Evolution Analysis of Carbon Stock in Chengdu-Chongqing Economic Zone Based on PLUS Model and InVEST Model. Ecol. Environ. Monit. Three Gorges 2022, 7, 85–96. [Google Scholar]
  50. Dong, G.; Ge, Y.; Jia, H.; Sun, C.; Pan, S. Land Use Multi-Suitability, Land Resource Scarcity and Diversity of Human Needs: A New Framework for Land Use Conflict Identification. Land 2021, 10, 1003. [Google Scholar] [CrossRef]
  51. Zhou, M.; Wang, C. Multi-scenario simulation of”production-livelihood-ecological”space in Urumqi based on PLUS. China Environ. Sci. 2024, 44, 4021–4030. [Google Scholar]
  52. Rahman, M.M.; Zimmer, M.; Ahmed, I.; Donato, D.; Kanzaki, M.; Xu, M. Co-benefits of protecting mangroves for biodiversity conservation and carbon storage. Nat. Commun. 2021, 12, 3875. [Google Scholar] [CrossRef] [PubMed]
  53. Wang, Y.; Xu, Y.; Yu, H. Prediction of Spatial and Temporal Changes of Carbon Stocks in Anhui Province Based on PLUS-InVEST Model. Res. Soil Water Conserv. 2023, 43, 277–289. [Google Scholar]
  54. Zhou, R.; Lin, M.; Wu, Z.; Gong, J. Responses of ecosystem carbon stocks to land use change on the west side of the Pearl River. Ecol. Sci. 2018, 37, 175–183. [Google Scholar]
  55. Kong, L.; Zheng, H.; Ouyang, Z. Ecological protection and restoration of forest, wetland, grassland and cropland based on the perspective of ecosystem services: A case study in Dongting Lake Watershed. Acta Ecol. Sin. 2019, 39, 8903–8910. [Google Scholar]
  56. Guo, Y.; Li, P.; Cheng, W.; Xiao, Z.; Mu, Y.; Zhi, L.; Li, X. Evaluation and complex relations analysis of ecosystem services based on spatial-temporal change of land use in Dongting Lake. Acta Sci. Circumstantiae 2022, 42, 121–130. [Google Scholar]
  57. Pan, Y.; Birdsey, R.A.; Fang, J.; Houghton, R.; Kauppi, P.E.; Kurz, W.A.; Phillips, O.L.; Shvidenko, A.; Lewis, S.L.; Canadell, J.G.; et al. A Large and Persistent Carbon Sink in the World’s Forests. Science 2011, 333, 988–993. [Google Scholar] [CrossRef]
  58. Bian, R.; Zhao, A.; Liu, X.; Xu, R.; Li, Z. The Impact of Land Use Change on Carbon Storage in the Guanzhong Plain Urban Agglomeration. Environ. Sci. 2024, 45, 3260–3269. [Google Scholar]
  59. Piao, S.; Fang, J.; Ciais, P.; Peylin, P.; Huang, Y.; Sitch, S.; Wang, T. The carbon balance of terrestrial ecosystems in China. Nature 2009, 458, 1009–1013. [Google Scholar] [CrossRef]
  60. Shuman, J.K.; Shugart, H.H.; Krankina, O.N. Assessment of carbon stores in tree biomass for two management scenarios in Russia. Environ. Res. Lett. 2013, 8, 045019. [Google Scholar] [CrossRef]
  61. Yang, X.; Qian, B.; Ji, G.; Chen, W.; Huang, J.; Guo, Y.; Chen, Y. Characteristics of Spatial and Temporal Changes in Carbon Stocks in the Middle and Upper Reaches of the Huaihe River Basin and Future Multi-scenario Simulation Prediction. Environ. Sci. 2023, 1–21. [Google Scholar] [CrossRef]
Disclaimer/Publisher’s Note: The statements, opinions and data contained in all publications are solely those of the individual author(s) and contributor(s) and not of MDPI and/or the editor(s). MDPI and/or the editor(s) disclaim responsibility for any injury to people or property resulting from any ideas, methods, instructions or products referred to in the content.

Article Metrics

Citations

Article Access Statistics

Multiple requests from the same IP address are counted as one view.