Abstract
The global degradation of wetlands is increasing their susceptibility to invasions, which is greatly determined by a niche overlap between native and invasive species. We analyze its role in regulating the coexistence of the native Mediterranean stripe-necked terrapin Mauremys leprosa and the invasive Red-eared Slider Trachemys scripta elegans in a coastal wetland. We analyzed both water chemistry and landscape attributes, using variance-partitioning analysis to isolate the variance explained by each set of variables. Then, the influence of environmental variables on species co-occurrence patterns was assessed by using latent variable models (LVM), which account for correlation between species that may be attributable to biotic interactions or missing environmental covariates. The species showed a very low niche overlap, with clear differences in their response to environmental and landscape filters. The distribution of T. s. elegans was largely explained by landscape variables, preferring uniform landscapes within the daily movement buffer, whereas at larger scales, it was associated with a high diversity of habitats of small and uniform relative sizes. A high percentage of the distribution of M. leprosa was unexplained by the measured variables and may be related to the competitive exclusion processes with T. s. elegans. The species was positively related with large patches with high perimeter values or ecotone area at medium spatial scales, and it was benefited from a marked heterogeneity in the patches’ size at larger scale. According to latent variable models, both species had wide eutrophication and salinity tolerance ranges, but they showed different environmental preferences. T. s. elegans was related to eutrophic freshwater environments, whereas M. leprosa was related to more saline and less eutrophic waters. Our results suggest that M. leprosa modifies its habitat use in order to avoid interaction with the T. s. elegans. Thus, management actions aimed at removing the invasive species from the territory and promoting habitat heterogeneity might be needed to protect M. leprosa and avoid local extinctions.
1. Introduction
The introduction of exotic species is currently one of the main threats to global biodiversity [,,,]. Most studies on invasive species have focused on the ecological traits of the species or their competitive ability (e.g., [,]). However, some authors have suggested that niche width is a key factor influencing invasion success (e.g., [,,]) and its impact on native communities [,,,]. The concept of ecological niche has been defined in various ways (e.g., [,,,]). The “niche breadth–invasion success” hypothesis represents the first attempt at the generalization that species have attributes that make them successful invaders []. It suggests that species with broad niches (generalists) are more likely to invade new regions than species with narrow niches (specialists) [,,]. Geographic and climatic niche have been used to determinate the invasiveness of introduced species [,,], but fine-grained studies are needed to understand the mechanisms and consequences of species introductions [,,].
Modification of the landscape by humans has undoubtedly been a key factor in the introduction of foreign species [,,]. Anthropogenic alteration of ecosystems is promoting invasion success because the spread of invasive species occurs more rapidly in fragmented landscapes [,,], and habitat destruction favors invasions by habitat generalists [,,,]. Within this context, wetlands are interesting ecosystems in which to study the dynamics of invasions, since they are one of the most degraded and, at the same time, most biodiverse ecosystems of the world [,,,,].
Semi-aquatic organisms (e.g., insects, amphibians, reptiles) that depend on aquatic and terrestrial habitats to complete their life-cycle and maintain viable populations are threatened by the degradation of both wetlands and their associated terrestrial habitats [,,,]. Despite the global decline in populations of many freshwater turtle species, the response of this group to habitat fragmentation has been poorly described [,,,]. Most studies on the ecological niche of freshwater turtles have focused on segregation at the microhabitat level and on feeding strategies [,,,]. However, how does a native turtle species such as Mauremys leprosa respond to a highly invasive and competitive species such as Trachemys scripta elegans at larger spatial scales and in multiple niche dimensions in human-altered environments? Existing evidence suggests that niche overlap is likely to be important for answering this question [,,,]. The main goal of this study was to analyze the factors determining the coexistence of M. leprosa and T. s. elegans in a coastal wetland heavily modified by human activity (Llobregat Delta, Spain). Specifically, we aimed to (1) determine the extent of co-occurrence between the two species and (2) quantify the role of environmental and landscape variables for coexistence of these two species.
2. Materials and Methods
2.1. Study Site and Species Description
The Llobregat Delta plain is formed by the Llobregat River estuary, lakes, marshes and flood-zone grasslands, irrigation channels, agricultural, urban and industrial areas, dunes, coastal pine forests, and major infrastructure development (i.e., Barcelona’s airport and port) (Figure 1). Artificial habitats and agricultural fields occupy about 95% of the delta surface (Table 1). Due to its geomorphology and its fluvial origin, the Llobregat Delta is especially rich in aquatic environments and provides an important habitat for freshwater turtles. This area has an important population of autochthonous Mauremys leprosa [] and at the same time, exotic freshwater turtles (Trachemys scripta elegans) are often observed [,] at very high densities [,].

Figure 1.
Location of the study area (Llobregat Delta, Spain) in the distribution range of Mauremys leprosa in the Mediterranean coast of the Iberian Peninsula (squares on top). Mainland-use categories of study area: dark gray: unproductive artificial; gray: semi-natural (essentially fields); pale gray: natural (wooded areas, wetlands, water bodies, etc.). The red dots represent our sampling stations: Ca l’Arana (CA), Cal Tet (CT), la Murtra (EB10), Bassa dels Pollancres (EB4), Braç de la Vidala (EB5), Riera de Sant Climent (EB6), Can Dimoni Gran (EB7), canal de la Bunyola 2 (EC4), canal de la Bunyola 1 (EC5), Llera Nova 1 (LL1), Llera Nova 2 (LL2), el Remolar (RE) and la Ricarda (RI).

Table 1.
Mainland-use categories and their occupied surface within the study area (Llobregat Delta, Spain). Natural landscape does not exceed 7% of total surface.
The Mediterranean pond turtle (M. leprosa), is mainly distributed in countries surrounding the Mediterranean Sea (mainly Tunisia, Algeria, Morocco, Spain, Portugal and in south-western France) []. Mauremys leprosa is a thermophilic freshwater species and is not very selective in aquatic habitat requirements [,]. Its diet appears both opportunistic and omnivorous []. The species is classified as “Vulnerable” in the European Red List of Reptiles and in the Spanish Red List [,].
The red-eared slider (T. s. elegans) is a subspecies native to the south-western United States. Its native range extends from Virginia to north-eastern Mexico, occupying practically the entire Mississippi basin [,]. In this original distribution, T. s. elegans is considered a habitat generalist, being present in a wide variety of continental aquatic environments characterized by soft bottoms, minimal or no current and abundant vegetation [,,]. The species is considered omnivorous with a wide spectrum of food resources, both animal and plant, and with a clear tendency toward carnivory in newborns and juveniles and vegetarianism in adults [,].
T. s. elegans is the most widespread alien turtle in the world [,,]. It is currently considered one of the 100 most dangerous invasive species worldwide []. The invasive species causes predation [,,], competition [,,], hybridization [,,] and disease transmission [,,] against native species, with the consequent loss of biodiversity of native ecosystems [,,,].
Multiple studies highlight evidence of conflict between T. s. elegans, the alien species, and M. leprosa, the native species (e.g., [,]). M. leprosa avoids interaction with T. scripta [], the alien species competes efficiently for basking areas and food under experimental and natural conditions [,,,] and can transmit diseases and parasites to the native species [,,].
2.2. Sampling Methodology
Thirteen water bodies with different characteristics were sampled twice per month (Figure 1) from February to November 2004 and from February to November 2005. In each sampling occasion, we recorded (1) geographic coordinates of turtle collection location and different associated variables such as the number of captures, traps, time, and (2) habitat features, measured at the local and the landscape levels. Turtles were captured using nets and baited funnel traps [,]. The traps were installed in different locations within each water body, making sure that they were close to water chemistry sampling stations. Twenty-four hours after installation, traps were inspected and all captured turtles marked by making marginal cuts on the carapace scutes following an international procedure for capture–mark–recapture of turtles and measured []. Immediately, individuals were released at the site of capture, except for the last sampling campaign, in which all the collected T. s. elegans were transferred to a wildlife rehabilitation center (Centre de Recuperació d’Amfibis i Rèptils de Catalunya—CRARC) for its management as an invasive alien species. During the study period, 863 freshwater turtle individuals were captured. All capture points were integrated into a Geographic Information System, ArcGIS 10.2 [] and QGis 2.4.0-Chugiak []. Only the first captures of each individual (n = 374: 230 M. leprosa and 144 T. s. elegans) of total caches were analyzed, ignoring re-captured individuals in order to avoid any intraspecific or interspecific biases.
2.3. Landscape and Environmental Variables
For each first turtle location, three different buffers were generated: 100 m in diameter to include proximity movements (daily movements), 500 m for movements related to the annual cycle of activity and 2000 m for movements that occur occasionally (dispersive movements related to a change in the environmental conditions, in demography, etc.) [,,,].
Landscape structure was used to explore how the landscape affects the distribution of freshwater turtles, calculating different landscape parameters obtained from land-use cartography (Catalonian Land Cover Cartography []) for each individual. Eighteen landscape variables for each buffer were computed using the Patch Analyst Tool [,] implemented in ArcGIS 10.2. The variables considered were: three measures of patch richness, diversity and evenness; five patch shape and fractal dimension metrics; four edge density metrics, four patch size metrics; and two landscape descriptive metrics (Table 2). Once all variables had been registered for each captured individual, the mean value for each species per buffer combination (i.e., 100, 500 and 2000 m in diameter) at each sampling station was estimated (Supplementary Materials, Table S1). Landscape variables changed minimally during the study period (2 years).

Table 2.
Landscape descriptive metrics computed from a land-use cartographic database [] and environmental variables considered in analyses.
Different variables related to water chemistry were taken (Table 2). Conductivity, pH, water temperature, and dissolved oxygen were measured using a multiparametric sensor (WTW, multiparameter model 197i), and water transparency was measured through Secchi disk depth. A surface-water sample (1.5 l) was collected at each site and preserved at 4 °C for laboratory analysis of nutrients (NH4+, NO3−, NO2−, PO43−, TP and SiO42−), total organic carbon (TOC), suspended solids (SSP), major ions (SO24−, Cl−, Ca2+, Mg2+, Na+, K+) and phytoplanktonic chlorophyll-a (chl-a) following standard methods [] (Supplementary Materials, Table S2).
2.4. Data Analysis
Co-occurrence between the two species was calculated from the community matrix (presence/absence data of the two species in our study sites) using the Schoener index [] in the function niche.overlap (R package spa []). This function allows for using “species lists” (lists of species generated from short-term ecological censuses within areas of relatively homogeneous habitat) to compute species co-occurrence based on null model algorithms []. Later, the influence of environmental and landscape variables on the co-occurrence of species was examined through variance partitioning analysis. Initially, to reduce multicollinearity from multivariate analysis, each landscape variable with the lower biological meaning from any pair of variables having a Spearman correlation coefficient higher than 0.70 or lower than −0.70 [,] was removed. Then, the varpart function in the vegan package [] was used in order to isolate the variance in species occurrence (i.e., number of captures of each species at each site) explained by each set of abiotic variables (i.e., environmental and landscape variables) and their combined effects. The partitioning is based on redundancy analysis (RDA), and the function uses adjusted R2 to assess the partitions explained by the explanatory variables and their combinations []. After that, different analyses were applied to environmental and landscape variables. This is because these two sets of variables had different properties. Environmental variables were measured once at each location and represented the environmental characteristics of the place in which species were captured (therefore being equal for both species), whereas landscape variables were calculated based on a buffer around the precise place in which each individual was captured and, therefore, were different for each species.
RDA analysis was used to explore the relationship between environmental variables and the abundance of each species using the function cca in the vegan package []. Then, the influence of environmental variables on species co-occurrence patterns was assessed through latent variable models (LVM []), which can be regarded as an extension of factor analysis [], following Letten et al. []. LVMs use latent variables as a parsimonious means of modeling residual species correlation [], which accounts for any residual correlation between species not attributable to spatial heterogeneity in the measured environmental variables. This correlation may be driven by biotic interactions such as competition (negative) or facilitation (positive) or alternatively to missing predictors. After fitting the LVMs, in order to visualize patterns of co-occurrence arising from the different environmental factors, two types of correlation matrices were calculated. The first was constructed by calculating the correlation between the fitted values of the two species [], representing the correlation between species that can be attributed to a shared/diverging environmental response. The second type of correlation matrix was calculated using the latent variable coefficients, also known as factor loadings. This second residual correlation matrix represents the correlation between species that may be attributable to biotic interactions or missing environmental covariates. Since Bayesian MCMC estimation was used, the correlation between fitted responses was calculated for each MCMC sample, which made it possible to obtain a posterior distribution for each cell of the environmental and residual correlation matrix. As such, correlation “significance” was evaluated on the basis of the 95% credible intervals for the posterior mean excluding zero. Bayesian MCMC was performed through JAGS v3.4.0 [] using the package R2jags v0.03-08 []. For each species, the most relevant landscape variable explaining the species occurrence and abundance were selected using a stepwise algorithm (function “step” in R “stats” package). Multiple generalized linear-regression models (including all possible combinations of landscape variables) were fitted, and the model with the lowest Akaike’s information criterion was selected (AIC [,]). All statistical analyses were carried out using the statistical computing software R 3.5.0 [].
3. Results
We captured 374 individuals, 230 corresponding to M. leprosa and 144 to T. s. elegans (Table 3). The two species showed a co-occurrence of 46.15% in the studied water bodies, 38.46% of the water bodies only had T. s. elegans and 15.38% with only M. leprosa (Table 3, Figure 2). After multicollinearity analysis, nine environmental variables (pH, T°, DIN, SRP, SSP, TOC, SO24− and K+) and 15 landscape variables (SEI(Ø100), NumP(Ø100), PSCoV(Ø100), PSSD(Ø100), CA(Ø100), MSI(Ø500), MPAR(Ø500), CA(Ø500), R(Ø2000), SEI(Ø2000), MPAR(Ø2000), ED(Ø2000), MedPS(Ø2000), PSCoV(Ø2000) and CA(Ø2000)) were retained. The distribution of T. s. elegans was largely explained by landscape variables (39.13% of total variance), whereas M. leprosa showed a very high percentage (75.60%) of unexplained variance (Figure 3).

Table 3.
Sampling stations and number of captures per species.

Figure 2.
Abundance of each species (M. leprosa and T. s. elegans) at each sampling site in relation to each other. Zero values for each species are marked with a short gray dash line.

Figure 3.
Percentage of variance in the distribution of each species explained by the two sets of explanatory variables (i.e., environmental and landscape variables) according to variance partitioning analysis.
Two main environmental gradients were identified by the RDA analysis: nutrient enrichment (i.e., concentrations of SRP and the different forms of nitrogen) and salinity (i.e., conductivity and ion concentrations). Although there was no clear differentiation of each species along the two environmental gradients, T. s. elegans tended to dominate in areas with higher nutrient concentrations and lower salinity than M. leprosa (Figure 4). Despite this, both species seemed to prefer sites with low nutrient enrichment and salinity (Figure 4).

Figure 4.
Biplot from redundancy analysis showing the relation of the species with the studied environmental variables. Environmental variables are represented by solid vector lines and their acronyms. Species are represented by stars and their name. T: temperature; SO24−: sulphates concentration; SSP: suspended solids; DIN: dissolved inorganic nitrogen concentration; Chla.a: phytoplanktonic chlorophyll-a; SRP: soluble reactive phosphorous concentration.
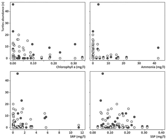
LVM yielded negative correlations (i.e., due to divergence in the environmental preferences of the species) for all environmental variables except for the Na+ (Table 4), although these were weak and not significant. Only SRP, ammonia (NH4), chlorophyll-a (Chl-a) and suspended solids (SSP) seemed to have some importance in explaining the co-occurrence of both species (Table 4). M. leprosa preferred lower ammonium, chlorophyll-a and phosphorous concentrations, and it tolerated higher SSP concentrations (highly correlated with conductivity) than T. s. elegans (Figure 5). The mean residual correlation was −0.48, meaning that 48% of the variation in the co-occurrence of the two species was explained by their biotic interaction or by variables that we did not measure.

Table 4.
Results from latent variable models (LVM). We show two types of correlation. The first (Environmental) is the correlation between the fitted values of the two species [], representing the correlation between species that can be attributed to a shared/diverging environmental response. The second type of correlation (Residual) was calculated using the latent variable coefficients, also known as factor loadings. It represents the correlation between species that may be attributable to biotic interactions or missing environmental covariates.

Figure 5.
Species abundance along the main environmental variables (i.e., those showing statistically significant relationships with the species distribution). Pale gray: M. leprosa; dark gray: T. s. elegans. SRP: soluble reactive phosphorous concentration; SSP: suspended solids.
The best model explaining the distribution of M. leprosa included the following variables: NumP(Ø100) + MPAR(Ø500) + MPFD(Ø500) + MedPS(Ø500) + SEI(Ø2000) + MPAR(Ø2000) + ED(Ø2000) + PSCoV(Ø2000) + PSSD(Ø2000) (Table 5, Figure 6). The model was significant (p = 0.017) and explained 33% of the total variance in the species’ distribution. None of the landscape variables at 100 m diameter buffer (for proximity or daily movements) were selected by the model. Median patch size (MedPS) and mean perimeter–area ratio (MPAR), both at 500 m diameter buffer (for movements related to the annual cycle of activity), were positively and negatively correlated to M. leprosa abundance, respectively. Additionally, the patch-size coefficient of variance (PSCoV) at 2000 m diameter buffer was positively correlated to M. leprosa abundance. The best model to explain T. s. elegans distribution was SEI(Ø100) + NumP(Ø100) + PSCoV(Ø100) + PSSD(Ø100) + CA(Ø100) + R(Ø2000) + MedPS(Ø2000) (Table 5) (Figure 6). The model was significant (p < 0.001) and explained 67% of the variance in the distribution of the species. At the 100 m diameter buffer (for proximity or daily movements), Shannon’s evenness index (SEI), the number of patches (NumP), the patch-size standard deviation (PSSD) and the patch-size coefficient of variance (PSCoV) were negatively correlated to T. s. elegans abundance. On the contrary, total core area (CA) showed a positive correlation. The model did not select any landscape variable at a 500 m diameter buffer (i.e., movements related to the annual cycle of activity). Finally, at the 2000 m diameter buffer, richness (R) and median patch size (MedPS) showed a positive and negative correlation with T. s. elegans abundance, respectively.

Table 5.
Statistical values and significance of each variable in the models built for each species using landscape variables at different spatial scales. Buffer diameters related to different movement types of the species: Ø100: proximity movements; Ø500: annual movements; Ø2000: occasional movements. ML: Mauremys leprosa; TSE: Trachemys scripta elegans. Significance codes: 0 ‘***’; 0.001 ‘**’; 0.01 ‘*’; 0.05 ‘·’; 0.1 ‘ ’; 1.

Figure 6.
Abundance of M. leprosa (pale gray) and T. s. elegans (dark gray) along the main landscape variables (i.e., those showing statistically significant relationships with the species distribution). NumP: number of patches; SEI: Shannon’s evenness index; R: richness; MPAR: mean perimeter–area ratio; MedPS: median patch size; PSCoV: patch size coefficient of variance.
4. Discussion
We found that co-occurrence in less than 50% of the sites, and 48% of the variation in their co-occurrence was explained by their biotic interaction or by variables that we did not measure (which might be few since we included a long list of local and landscape variables in our study). Thus, according to previous studies [,,,], our results suggest that M. leprosa might be displaced by T. s. elegans. This could be partly explained by a combination of differences in environmental and habitat preferences and competitive exclusion.
Aquatic ecosystems with high levels of nutrients and organic content (and consequent eutrophication) are rich in trophic resources. This may represent an advantage for generalist species of freshwater turtles [,,]. The two species in our study seem to be very tolerant of eutrophication. M. leprosa has been reported to tolerate eutrophic waters [,] and has been found in highly polluted waters []. In addition, its sister species, Mauremys rivulata, can have very dense populations in eutrophic wetlands []. At the same time, T. s. elegans has been found in polluted environments within its natural [] and introduced ranges [,]. Regarding salinity, both species appear to tolerate a certain degree of salinity: M. leprosa has been recorded in brackish estuarine waters in Portugal [] and in coastal brackish lagoons along the Mediterranean coast of the Iberian Peninsula []. T. s. elegans has been found in brackish lagoons (<10 ppm) in South Carolina, USA [], and in environments with salinities ranging between 0.1‰ and 26‰ in China []. In agreement with these results, we did not find strong differences in the environmental preferences of both species. However, the latent variable models showed some moderate negative correlations for SRP, NH4, Chl-a and SSP, which aligned with the RDA results. Overall, M. leprosa preferred more saline and less eutrophic waters, whereas T. s. elegans preferred eutrophic freshwaters. Concordantly, and in the same study area, Franch et al. [] reported M. leprosa from high salinity environments due to the presence of T. s. elegans in other environments with lower salinity.
Landscape structure is characterized by the proportion of available habitat, the overall habitat’s diversity and the size and arrangement of these in the landscape [,]. The study area has been heavily transformed by human activities, causing severe habitat fragmentation and degradation affecting the landscape structure []. According to the results, both species are likely to be affected by this landscape transformation at the three scales studied (Ø100, Ø500 and Ø1000) and, therefore, in movement types associated with different stages of their life cycles. The native M. leprosa was the least affected by landscape structure of the two studied species. At medium scale, it was positively related with large patches (i.e., high MedPS) of high perimeter values or ecotone area (i.e., high MPAR). A large scale was benefited from a marked heterogeneity in patch sizes (i.e., high PSCoV), whereas T. s. elegans abundance was negatively related to the heterogeneity and fragmentation of the surrounding landscape structure. This invasive species prefers uniform landscape within the buffer where daily movements occur, i.e., it has a preference for a low number of different patches, Shannon evenness and patch size heterogeneity. Large-scale landscape structure, related to occasional or sporadic movements of the species, had a weak influence on the distribution of T. s. elegans. At this scale, only habitat richness was positively related with T. s. elegans abundance, whereas the average patch sizes showed a negative relation. Thus, it seems that at large scales, T. s. elegans is associated with a high diversity of habitats of small and uniform relative sizes. These results are consistent with those of Rizkalla and Swihart [], who showed that T. s. elegans was negatively affected by land-use diversity surrounding the wetland.
Freshwater turtles are particularly vulnerable to fragmentation and its consequences (i.e., increased predation pressure or isolation) because of their life history (i.e., long juvenile period, limited fecundity, and dependence on high survival rates of adults) []. Wetlands are critical for spawning, hibernation and aestivation and terrestrial dispersion of these animals, and they provide a permanent habitat. While habitat preferences vary from one species to another, all are dependent on land connections between neighboring wetlands [,,]. In the case of the Llobregat Delta, aquatic habitats might play a key role in inter/intra-population connectivity, since they are present along the landscape in very different forms (e.g., irrigation channels, lagoons, ponds wetlands) and they provide simple and secure dispersal routes, although water quality tends to be very poor [,]. If the study area is framed within a regional scale, beyond the geomorphological deltaic unit, the terrestrial matrix can be expected to have a greater importance as connector with the surrounding landscape. At this scale, landscape structure had an opposite effect on the two studied species.
Thus, the current transformation process of the Llobregat Delta (which is homogenizing of the landscape and decreasing habitat connectivity) could promote the geographical expansion of T. s. elegans through its population settlement and consolidation, competition with native turtles, transfers of parasites and diseases, structuring impact on habitats, etc. Despite the high niche breadth and habitat tolerance of M. leprosa [,,,], this species could be severely affected in an indirect way by the Delta transformation process.
Our results suggest that there were some variables with significant influence in the distribution of M. leprosa that we did not consider. Since the climatic and environmental conditions of the study area are highly favorable to M. leprosa, which has expanded its distribution within the region [], the unstudied variables may be related to the occurrence of competitive exclusion processes between the native M. leprosa and the introduced T. s. elegans []. Competitive exclusion between the two species has been previously suggested by earlier studies in the same area [], field observations in Doñana National Park [], and studies under controlled conditions [,]. In addition, previous studies have revealed the existence of different competitive advantages of T. s. elegans over M. leprosa. For example, T. s. elegans tends to monopolize the limited sites appropriate for thermoregulation and displace native turtles to less suitable or suboptimal places [,,]. Less basking can severely affect physiological efficiency (especially digestive) of M. leprosa and, consequently, the long-term survival rates of the species [,]. Food competition may also play a key role in the co-existence of both species. M. leprosa is described as an opportunistic omnivorous species with the ability to modify its diet in response to variability in trophic resources [], whereas T. s. elegans has been described as omnivorous with high carnivorous preferences [,,]. Under controlled conditions, access to food sources for M. leprosa is severely restricted by T. s. elegans. This species has a dominant aggressive behavior that can seriously affect feeding efficiency of M. leprosa, negatively impacting on their survival or reproduction []. Another aspect to consider is the chemosensory responses to the presence of freshwater turtles in aquatic habitats. It has been reported that M. leprosa prefers aquatic environments with conspecific chemical traces, avoiding those containing traces of T. s. elegans [].
Within the context of habitat generalists species [,,,], the presence of M. leprosa in highly saline and less eutrophic environments and the high unexplained variation in its distribution suggest that its distribution is strongly conditioned by the presence of the invasive T. s. elegans. These results may have implications for the conservation of the Mediterranean Pond Turtle. For example, the management of introduced sliders by removing individuals from areas with less salinity may allow M. leprosa to recolonize areas where it has been displaced. In addition, restoring natural habitats and promoting habitat heterogeneity might benefit M. leprosa.
Supplementary Materials
The following supporting information can be downloaded at: https://www.mdpi.com/article/10.3390/land11091582/s1, Table S1: Landscape metrics for three different diameter buffers and for each species; Table S2. Mean values and standard deviations of the environmental variables for each sampling station.
Author Contributions
Conceptualization, M.F. (equal), M.C.-A. (equal) and M.R. (supporting); investigation and formal analysis, M.F. (equal) and M.C.-A. (equal); writing—original draft, M.F. (equal), M.C.-A. (equal) and A.M. (supporting); writing—review and editing, M.F. (equal), M.C.-A. (equal), G.A.L. (equal) and A.M. (equal); project administration (FBG302577 project), G.A.L.; funding acquisition (FBG302577 project), G.A.L. (equal) and A.M. (equal). All authors have read and agreed to the published version of the manuscript.
Funding
Data compilation was supported by DMA and Fundació Bosch i Gimpera (FBG302577) 2004–2007. Miguel Cañedo-Argüelles received funding from the People Program (Marie Curie Actions) of the Seventh Framework Program of the European Union (FP7/2007–2013) under grant agreement no. 600388 of REA (TECNIOspring Program), the Agency for Competitiveness and Business of the Government of Catalonia (ACCIÓ) and was supported by a Ramón y Cajal contract funded by the Spanish Ministry of Science and Innovation (RYC2020-029829-I). The formal analysis and the manuscript writing process have been self-financed by the authors.
Institutional Review Board Statement
The animal study protocol was approved by the Institutional Review Board (or Ethics Committee) of Environmental Department of the Catalan government (DMA) (capture permits SF/250 for 2004; SF/227 for 2005) for studies involving capture and release of wild animals.
Informed Consent Statement
Not applicable.
Data Availability Statement
Not applicable.
Acknowledgments
We thank all collaborators of the Herpetology group of Universitat de Barcelona and four anonymous reviewers for their helpful comments and suggestions that greatly improved the last version of the manuscript.
Conflicts of Interest
The authors declare no conflict of interest.
References
- Bonada, N.; Cañedo-Argüelles, M.; Obrador, B.; Rodríguez-Lozano, P.; Verkaik, I. In Memoriam: Maria Rieradevall (1960–2015). Limnetica 2015, 34, 1–6. [Google Scholar]
- Clavero, M.; García-Berthou, E. Invasive Species Are a Leading Cause of Animal Extinctions. Trends Ecol. Evol. 2005, 20, 110. [Google Scholar] [CrossRef] [PubMed]
- Gurevitch, J.; Padilla, D. Are Invasive Species a Major Cause of Extinctions? Trends Ecol. Evol. 2004, 19, 470–474. [Google Scholar] [CrossRef] [PubMed]
- McGeoch, M.A.; Butchart, S.H.M.; Spear, D.; Marais, E.; Kleynhans, E.J.; Symes, A.; Chanson, J.; Hoffmann, M. Global Indicators of Biological Invasion: Species Numbers, Biodiversity Impact and Policy Responses. Divers. Distrib. 2010, 16, 95–108. [Google Scholar] [CrossRef]
- O’Connor, R.J.; Usher, M.B.; Gibbs, A.; Brown, K.C. Biological Characteristics of Invaders among Bird Species in Britain [and Discussion]. Philos. Trans. R. Soc. B Biol. Sci. 1986, 314, 583–598. [Google Scholar] [CrossRef]
- Seabloom, E.W.; Harpole, W.S.; Reichman, O.J.; Tilman, D. Invasion, Competitive Dominance, and Resource Use by Exotic and Native California Grassland Species. Proc. Natl. Acad. Sci. USA 2003, 100, 13384–13389. [Google Scholar] [CrossRef]
- Griffen, B.D.; Altman, I.; Bess, B.M.; Hurley, J.; Penfield, A. The Role of Foraging in the Success of Invasive Asian Shore Crabs in New England. Biol. Invasions 2012, 14, 2545–2558. [Google Scholar] [CrossRef]
- Tonella, L.H.; Fugi, R.; Vitorino, O.B.; Suzuki, H.I.; Gomes, L.C.; Agostinho, A.A. Importance of Feeding Strategies on the Long-Term Success of Fish Invasions. Hydrobiologia 2018, 817, 239–252. [Google Scholar] [CrossRef]
- Liu, C.; Wolter, C.; Xian, W.; Jeschke, J.M. Most Invasive Species Largely Conserve Their Climatic Niche. Proc. Natl. Acad. Sci. USA 2020, 117, 23643–23651. [Google Scholar] [CrossRef]
- Mooney, H.A.; Cleland, E.E. The Evolutionary Impact of Invasive Species. Proc. Natl. Acad. Sci. USA 2001, 98, 5446–5451. [Google Scholar] [CrossRef]
- Didham, R.K.; Tylianakis, J.M.; Gemmell, N.J.; Rand, T.A.; Ewers, R.M. Interactive Effects of Habitat Modification and Species Invasion on Native Species Decline. Trends Ecol. Evol. 2007, 22, 489–496. [Google Scholar] [CrossRef] [PubMed]
- Vilà, M.; Espinar, J.L.; Hejda, M.; Hulme, P.E.; Jarošík, V.; Maron, J.L.; Pergl, J.; Schaffner, U.; Sun, Y.; Pyšek, P. Ecological Impacts of Invasive Alien Plants: A Meta-Analysis of Their Effects on Species, Communities and Ecosystems. Ecol. Lett. 2011, 14, 702–708. [Google Scholar] [CrossRef] [PubMed]
- Ni, M.; Deane, D.C.; Li, S.; Wu, Y.; Sui, X.; Xu, H.; Chu, C.; He, F.; Fang, S. Invasion Success and Impacts Depend on Different Characteristics in Non-native Plants. Divers. Distrib. 2021, 27, 1194–1207. [Google Scholar] [CrossRef]
- Hutchinson, G.E. Concluding Remarks. Cold Spring Harb. Symp. Quant. Biol. 1957, 22, 415–427. [Google Scholar] [CrossRef]
- Chase, J.M.; Leibold, M.A. Ecological Niches: Linking Classical and Contemporary Approaches; University of Chicago Press: Chicago, IL, USA, 2009. [Google Scholar]
- Peterson, A.T.; Soberón, J.; Pearson, R.G.; Anderson, R.P.; Martínez-Meyer, E.; Nakamura, M.; Araújo, M.B. Ecological Niches and Geographic Distributions; Princeton University Press: Princeton, NJ, USA, 2011. [Google Scholar]
- Carscadden, K.A.; Emery, N.C.; Arnillas, C.A.; Cadotte, M.W.; Afkhami, M.E.; Gravel, D.; Livingstone, S.W.; Wiens, J.J. Niche Breadth: Causes and Consequences for Ecology, Evolution, and Conservation. Q. Rev. Biol. 2020, 95, 179–214. [Google Scholar] [CrossRef]
- Vázquez, D.P. Exploring the Relationship between Nichie Breadth and Invasion Success. In Conceptual Ecology and Invasion Biology: Reciprocal Approaches to Nature SE—14; Cadotte, M., Mcmahon, S., Fukami, T., Eds.; Springer: Dordrecht, The Netherlands, 2006; Volume 1, pp. 307–322. [Google Scholar] [CrossRef]
- Ricciardi, A. Invasive Species. In Ecological Systems; Leemans, R., Ed.; Springer: New York, NY, USA, 2013; pp. 161–178. [Google Scholar] [CrossRef]
- Sol, D. Do Successful Invaders Exist? Pre-Adaptations to Novel Environments in Terrestrial Vertebrates. In Biological Invasions; Nentwig, W., Ed.; Ecological Studies; Springer: Berlin/Heidelberg, Germany, 2007; Volume 193, pp. 127–141. [Google Scholar] [CrossRef]
- Broennimann, O.; Treier, U.A.; Müller-Schärer, H.; Thuiller, W.; Peterson, A.T.; Guisan, A. Evidence of Climatic Niche Shift during Biological Invasion. Ecol. Lett. 2007, 10, 701–709. [Google Scholar] [CrossRef]
- Bates, O.K.; Bertelsmeier, C. Climatic Niche Shifts in Introduced Species. Curr. Biol. 2021, 31, R1252–R1266. [Google Scholar] [CrossRef]
- Wilbur, H.M. Experimental Ecology of Food Webs: Complex Systems in Temporary Ponds. Ecology 1997, 78, 2279–2302. [Google Scholar] [CrossRef]
- Simberloff, D.; Martin, J.-L.; Genovesi, P.; Maris, V.; Wardle, D.A.; Aronson, J.; Courchamp, F.; Galil, B.; García-Berthou, E.; Pascal, M.; et al. Impacts of Biological Invasions: What’s What and the Way Forward. Trends Ecol. Evol. 2013, 28, 58–66. [Google Scholar] [CrossRef]
- Chen, T.H.; Lue, K.Y. Ecological Notes on Feral Populations of Trachemys scripta elegans in Northern Taiwan. Chelonian Conserv. Biol. 1998, 3, 87–90. [Google Scholar]
- Romero, D.; Báez, J.C.; Ferri-Yáñez, F.; Bellido, J.J.; Real, R. Modelling Favourability for Invasive Species Encroachment to Identify Areas of Native Species Vulnerability. Sci. World J. 2014, 2014, 519710. [Google Scholar] [CrossRef] [PubMed]
- González-Lagos, C.; Cardador, L.; Sol, D. Invasion Success and Tolerance to Urbanization in Birds. Ecography 2021, 44, 1642–1652. [Google Scholar] [CrossRef]
- Sakai, A.K.; Allendorf, F.W.; Holt, J.S.; Lodge, D.M.; Molofsky, J.; With, K.A.; Baughman, S.; Cabin, R.J.; Cohen, J.E.; Ellstrand, N.C.; et al. The Population Biology of Invasive Species. Annu. Rev. Ecol. Syst. 2001, 32, 305–332. [Google Scholar] [CrossRef]
- Williams, J.L.; Kendall, B.E.; Levine, J.M. Rapid Evolution Accelerates Plant Population Spread in Fragmented Experimental Landscapes. Science 2016, 353, 482–485. [Google Scholar] [CrossRef] [PubMed]
- Borden, J.B.; Flory, S.L. Urban Evolution of Invasive Species. Front. Ecol. Environ. 2021, 19, 184–191. [Google Scholar] [CrossRef]
- Blair, R.B. Land Use and Avian Species Diversity Along an Urban Gradient. Ecol. Appl. 1996, 6, 506–519. [Google Scholar] [CrossRef]
- Fine, P.V.A. The Invasibility of Tropical Forests by Exotic Plants. J. Trop. Ecol. 2002, 18, 687–705. [Google Scholar] [CrossRef]
- Marvier, M.; Kareiva, P.; Neubert, M.G. Habitat Destruction, Fragmentation, and Disturbance Promote Invasion by Habitat Generalists in a Multispecies Metapopulation. Risk Anal. 2004, 24, 869–878. [Google Scholar] [CrossRef]
- Pouteau, R.; Hulme, P.E.; Duncan, R.P. Widespread Native and Alien Plant Species Occupy Different Habitats. Ecography 2015, 38, 462–471. [Google Scholar] [CrossRef]
- Finlayson, M.C. Forty Years of Wetland Conservation and Wise Use. Aquat. Conserv. Mar. Freshw. Ecosyst. 2012, 22, 139–143. [Google Scholar] [CrossRef]
- Maltby, E. Wetland Management Goals: Wise Use and Conservation. Landsc. Urban Plan. 1991, 20, 9–18. [Google Scholar] [CrossRef]
- Sánchez-Carrillo, S.; Angeler, D.G. Ecology of Threatened Semi-Arid Wetlands: Long-Term Research in Las Tablas de Daimiel; Wetlands: Ecology, Conservation and Management; Springer Science & Business Media: Dordrecht, The Netherlands, 2012; Volume 2. [Google Scholar]
- Lázaro-Lobo, A.; Ervin, G.N. Wetland Invasion: A Multi-Faceted Challenge during a Time of Rapid Global Change. Wetlands 2021, 41, 64. [Google Scholar] [CrossRef]
- Tockner, K. Freshwaters: Global Distribution, Biodiversity, Ecosystem Services, and Human Pressures. In Handbook of Water Resources Management: Discourses, Concepts and Examples; Springer International Publishing: Cham, Switzerland, 2021; pp. 489–501. [Google Scholar] [CrossRef]
- Burke, V.J.; Gibbons, J.W. Terrestrial Buffer Zones and Wetland Conservation: A Case Study of Freshwater Turtles in a Carolina Bay. Conserv. Biol. 1995, 9, 1365–1369. [Google Scholar] [CrossRef]
- Semlitsch, R.D. Biological Delineation of Terrestrial Buffer Zones for Pond-Breeding Salamanders. Conserv. Biol. 1998, 12, 1113–1119. [Google Scholar] [CrossRef]
- Semlitsch, R.D.; Jensen, J.B. Core Habitat, Not Buffer Zone. Natl. Wetl. Newsl. 2001, 23, 4–6. [Google Scholar]
- Allan, J.D. Landscapes and Riverscapes: The Influence of Land Use on Stream Ecosystems. Annu. Rev. Ecol. Evol. Syst. 2004, 35, 257–284. [Google Scholar] [CrossRef]
- Lovich, J.E. Turtles. In Our living Resources: A Report to the Nation on the Distribution, Abundance, and Health of U.S. Plants, Animals, and Ecosystems; LaRoe, E.T., Farris, G.S., Puckett, C.E., Doran, P.D., Mac, M.J., Eds.; U.S. Dept. of the Interior, National Biological Service: Washington, DC, USA, 1995; p. 548. [Google Scholar] [CrossRef]
- Gibbs, J.P.; Shriver, W.G. Estimating the Effects of Road Mortality on Turtle Populations. Conserv. Biol. 2002, 16, 1647–1652. [Google Scholar] [CrossRef]
- Marchand, M.N.; Litvaitis, J.A. Effects of Habitat Features and Landscape Composition on the Population Structure of a Common Aquatic Turtle in a Region Undergoing Rapid Development. Conserv. Biol. 2004, 18, 758–767. [Google Scholar] [CrossRef]
- Marchand, M.N.; Litvaitis, J.A. Effects of Landscape Composition, Habitat Features, and Nest Distribution on Predation Rates of Simulated Turtle Nests. Biol. Conserv. 2004, 117, 243–251. [Google Scholar] [CrossRef]
- Bodie, J.R.; Semlitsch, R.D. Spatial and Temporal Use of Floodplain Habitats by Lentic and Lotic Species of Aquatic Turtles. Oecologia 2000, 122, 138–146. [Google Scholar] [CrossRef]
- Bury, R. Population Ecology of Freshwater Turtles. In Turtles: Perspectives and Research; Harless, M., Morlock, H., Eds.; Wiley: New York, NY, USA, 1979; pp. 571–602. [Google Scholar]
- Vogt, R.C. Food Partitioning in Three Sympatric Species of Map Turtle, Genus Graptemys (Testudinata, Emydidae). Am. Midl. Nat. 1981, 105, 102. [Google Scholar] [CrossRef]
- Luiselli, L.; Akani, G.C.; Ajong, S.N.; George, A.; Di Vittorio, M.; Eniang, E.A.; Dendi, D.; Hema, E.M.; Petrozzi, F.; Fa, J.E. Predicting the Structure of Turtle Assemblages along a Megatransect in West Africa. Biol. J. Linn. Soc. 2020, 130, 296–309. [Google Scholar] [CrossRef]
- Aresco, M.J. Competitive Interactions of Two Species of Freshwater Turtles, a Generalist Omnivore and an Herbivore, under Low Resource Conditions. Herpetologica 2010, 66, 259–268. [Google Scholar] [CrossRef]
- Nori, J.; Tessarolo, G.; Ficetola, G.F.; Loyola, R.; Di Cola, V.; Leynaud, G. Buying Environmental Problems: The Invasive Potential of Imported Freshwater Turtles in Argentina. Aquat. Conserv. Mar. Freshw. Ecosyst. 2017, 27, 685–691. [Google Scholar] [CrossRef]
- Espindola, S.; Vázquez-Domínguez, E.; Nakamura, M.; Osorio-Olvera, L.; Martínez-Meyer, E.; Myers, E.A.; Overcast, I.; Reid, B.N.; Burbrink, F.T. Complex Genetic Patterns and Distribution Limits Mediated by Native Congeners of the Worldwide Invasive Red-eared Slider Turtle. Mol. Ecol. 2022, 31, 1766–1782. [Google Scholar] [CrossRef]
- Balzani, P.; Vizzini, S.; Santini, G.; Masoni, A.; Ciofi, C.; Ricevuto, E.; Chelazzi, G. Stable Isotope Analysis of Trophic Niche in Two Co-Occurring Native and Invasive Terrapins, Emys orbicularis and Trachemys scripta elegans. Biol. Invasions 2016, 18, 3611–3621. [Google Scholar] [CrossRef]
- Franch, M.; Llorente, G.A.; Montori, A.; Albornà, P.X.; Richter-Boix, À. Estudi i Seguiment de l’estat de Les Poblacions Dels Rèptils Al Delta Del Llobregat. In Seguiment de Paràmetres Biològics i Detecció de Bioindicadors de L’estat del Sistema al Llarg del Període de Creació de noves Infraestructures al Delta del Llobregat. Memòria 2005; Llorente, G.A., Ed.; Universitat de Barcelona: Barcelona, Spain, 2005; pp. 314–398. [Google Scholar]
- Ballesteros, T.; Degollada, A. Distribució Dels Amfibis i Rèptils Al Delta Del Llobregat. SPARTINA Butlletí Nat. Llobregat 1996, 2, 85–96. [Google Scholar]
- de Roa, E. Projecte de Reintroducció i Estudi de la Tortuga d’aigua Ibèrica (Mauremys leprosa) al delta del Llobregat. Primers Resultats. SPARTINA Butlletí Nat. Llobregat 1994, 1, 21–27. [Google Scholar]
- Arribas, Ó. Primera Cita de Trachemys emolli (Legler, 1990) Asilvestrada en la Península Ibérica. Bol. Asoc. Herpetol. Esp. 2008, 19, 115–117. [Google Scholar]
- Bertolero, A.; Busack, S.D. Mauremys leprosa (Schoepff in Schweigger 1812)–Mediterranean Pond Turtle, Spanish Terrapin, Mediterranean Stripe-Necked Terrapin. Chelonian Res. Monogr. 2017, 5, 102. [Google Scholar] [CrossRef]
- da Silva, E. Distribución de Los Emídidos Mauremys leprosa Schw.(1812) y Emys orbicularis L.(1758) de la Provincia de Badajoz: Factores Que Pudieran Influir en Sus Áreas de Ocupación. Donana Acta Vertebr. 1993, 20, 260–266. [Google Scholar]
- Segurado, P.; Araujo, A.P.R.; Paula, A.; Araújo, R. Coexistence of Emys orbicularis and Mauremys leprosa in Portugal at Two Spatial Scales: Is There Evidence of Spatial Segregation? Biologia 2004, 59, 61–72. [Google Scholar]
- Cox, N.A.; Temple, H.J. European Red List of Reptiles; Office for Official Publications of of the European Communities: Luxembourg, 2009. [Google Scholar]
- Díaz-paniagua, C.; Andreu, A.C.; Keller, C. Galápago Leproso—Mauremys leprosa (Schweigger, 1812). In Enciclopedia Virtual de los Vertebrados Españoles; Salvador, A., Marco, A., Eds.; Museo Nacional de Ciencias Naturales: Madrid, Spain, 2015; pp. 1–49. [Google Scholar]
- Ernst, C.H.; Barbour, R.W. Turtles of the World; Press, S.I., Ed.; Smithsonian Institution Press: Washington, DC, USA, 1989. [Google Scholar]
- Seidel, M.E. Taxonomic Observations on Extant Species and Subspecies of Slider Turtles, Genus Trachemys. J. Herpetol. 2002, 36, 285–292. [Google Scholar] [CrossRef]
- Gibbons, J.W.; Avery, H.W. Life History and Ecology of the Slider Turtle, 2nd ed.; Smithsonian Institution Press: Washington, DC, USA, 2000. [Google Scholar]
- Ernst, C.H.; Lovich, J.E. Turtles of the United States and Canada; Ernst, C.H., Ed.; Johns Hopkins University Press: Baltimore, MD, USA, 2009. [Google Scholar]
- Buhlmann, K.; Tuberville, T.; Gibbons, J.W. Turtles of the Southeast. A Wormsloe Foundation Nature Book; University of Georgia Press: Athens, GA, USA, 2008. [Google Scholar]
- Parmenter, R.R.; Avery, H.W. The Feeding Ecology of the Slider Turtle. In Life History and Ecology of the Slider Turtle; Gibbons, J.W., Ed.; Smithsonian Institution Press: Washington, DC, USA, 1990; pp. 257–266. [Google Scholar]
- Luiselli, L.; Capula, M.; Capizzi, D.; Filippi, E.; Trujillo Jesus, V.; Anibaldi, C. Problems for Conservation of Pond Turtles (Emys orbicularis) in Central Italy: Is the Introduced Red-Eared Turtle (Trachemys scripta) a Serious Threat? Chelonian Conserv. Biol. 1997, 2, 417–419. [Google Scholar]
- García-Díaz, P.; Ross, J.V.; Ayres, C.; Cassey, P.; García-Díaz, P.; Ross, J.V.; Ayres, C.; Cassey, P. Understanding the Biological Invasion Risk Posed by the Global Wildlife Trade: Propagule Pressure Drives the Introduction and Establishment of Nearctic Turtles. Glob. Chang. Biol. 2015, 21, 1078–1091. [Google Scholar] [CrossRef] [PubMed]
- Ficetola, G.F.; Rödder, D.; Padoa-Schioppa, E. Trachemys scripta (Slider Terrapin). In Handbook of Global Freshwater Invasive Species. Earthscan, Taylor & Francis Group, Abingdon; Francis, R.A., Ed.; Earthscan from Routledge: Abingdon, UK, 2012; pp. 331–339. [Google Scholar]
- Lowe, S.; Browne, M.; Boudjelas, S.; De Poorter, M. 100 of the World’s Worst Invasive Alien Species: A Selection from the Global Invasive Species Database; ISSG, SSC, IUCN, Eds.; Invasive Species Specialist Group: Auckland, New Zealand, 2000. [Google Scholar]
- Rayner, M.J.; Hauber, M.E.; Imber, M.J.; Stamp, R.K.; Clout, M.N. Spatial Heterogeneity of Mesopredator Release within an Oceanic Island System. Proc. Natl. Acad. Sci. USA 2007, 104, 20862–20865. [Google Scholar] [CrossRef]
- Sanders, H.; Mills, D.N. Predation Preference of Signal Crayfish (Pacifastacus leniusculus) on Native and Invasive Bivalve Species. River Res. Appl. 2022. [Google Scholar] [CrossRef]
- Simberloff, D. Invasive Species. In Conservation Biology for All; Sodhi, N.S., Ehrlich, P.R., Eds.; Oxford University Press: Oxford, UK, 2010; pp. 131–152. [Google Scholar] [CrossRef]
- Dominguez Almela, V.; South, J.; Britton, J.R. Predicting the Competitive Interactions and Trophic Niche Consequences of a Globally Invasive Fish with Threatened Native Species. J. Anim. Ecol. 2021, 90, 2651–2662. [Google Scholar] [CrossRef]
- Falaschi, M.; Melotto, A.; Manenti, R.; Ficetola, G.F. Invasive Species and Amphibian Conservation. Herpetologica 2020, 76, 216. [Google Scholar] [CrossRef]
- LaForgia, M.L.; Harrison, S.P.; Latimer, A.M. Invasive Species Interact with Climatic Variability to Reduce Success of Natives. Ecology 2020, 101, e03022. [Google Scholar] [CrossRef]
- Parham, J.F.; Papenfuss, T.J.; Sellas, A.B.; Stuart, B.L.; Simison, W.B. Genetic Variation and Admixture of Red-Eared Sliders (Trachemys scripta elegans) in the USA. Mol. Phylogenet. Evol. 2020, 145, 106722. [Google Scholar] [CrossRef] [PubMed]
- Kraus, F. Impacts from Invasive Reptiles and Amphibians. Annu. Rev. Ecol. Evol. Syst. 2015, 46, 75–97. [Google Scholar] [CrossRef]
- Sancho, V.; Lacomba, I.; Bataller, J.V.; Veríssimo, J.; Velo-Antón, G. First Report of Hybridization between Mauremys leprosa and Mauremys sinensis Highlights the Risk of Exotic Mauremys spp. Pet Trade. Basic Appl. Herpetol. 2020, 34, 75–81. [Google Scholar] [CrossRef]
- Demkowska-Kutrzepa, M.; Studzińska, M.; Roczeń-Karczmarz, M.; Tomczuk, K.; Abbas, Z.; Różański, P. A Review of the Helminths Co-Introduced with Trachemys scripta elegans—A Threat to European Native Turtle Health. Amphibia-Reptilia 2018, 39, 177–189. [Google Scholar] [CrossRef]
- Weitzman, C.L.; Kaestli, M.; Gibb, K.; Brown, G.P.; Shine, R.; Christian, K. Disease Exposure and Antifungal Bacteria on Skin of Invasive Cane Toads, Australia. Emerg. Infect. Dis. 2019, 25, 1770–1771. [Google Scholar] [CrossRef]
- Dueñas, M.-A.; Hemming, D.J.; Roberts, A.; Diaz-Soltero, H. The Threat of Invasive Species to IUCN-Listed Critically Endangered Species: A Systematic Review. Glob. Ecol. Conserv. 2021, 26, e01476. [Google Scholar] [CrossRef]
- Pyšek, P.; Hulme, P.E.; Simberloff, D.; Bacher, S.; Blackburn, T.M.; Carlton, J.T.; Dawson, W.; Essl, F.; Foxcroft, L.C.; Genovesi, P.; et al. Scientists’ Warning on Invasive Alien Species. Biol. Rev. 2020, 95, 1511–1534. [Google Scholar] [CrossRef]
- Blackburn, T.M.; Bellard, C.; Ricciardi, A. Alien versus Native Species as Drivers of Recent Extinctions. Front. Ecol. Environ. 2019, 17, 203–207. [Google Scholar] [CrossRef]
- Bax, N.; Williamson, A.; Aguero, M.; Gonzalez, E.; Geeves, W. Marine Invasive Alien Species: A Threat to Global Biodiversity. Mar. Policy 2003, 27, 313–323. [Google Scholar] [CrossRef]
- Linders, T.E.W.; Schaffner, U.; Eschen, R.; Abebe, A.; Choge, S.K.; Nigatu, L.; Mbaabu, P.R.; Shiferaw, H.; Allan, E. Direct and Indirect Effects of Invasive Species: Biodiversity Loss Is a Major Mechanism by Which an Invasive Tree Affects Ecosystem Functioning. J. Ecol. 2019, 107, 2660–2672. [Google Scholar] [CrossRef]
- Polo-Cavia, N. Factores Que Afectan a la Competencia Entre el Galápago Leproso (Mauremys leprosa) y el Introducido Galápago de Florida (Trachemys scripta). Ph.D. Thesis, Consejo Superior de Investigaciones Científicas (CSIC), Madrid, Spain, 2009. [Google Scholar]
- Polo-Cavia, N.; López, P.; Martín, J. Interference Competition between Native Iberian Turtles and the Exotic Trachemys scripta. Basic Appl. Herpetol. 2015, 28, 5–20. [Google Scholar] [CrossRef]
- Polo-Cavia, N.; López, P.; Martín, J. Interspecific Differences in Chemosensory Responses of Freshwater Turtles: Consequences for Competition between Native and Invasive Species. Biol. Invasions 2009, 11, 431–440. [Google Scholar] [CrossRef]
- Polo-Cavia, N.; López, P.; Martín, J. Competitive Interactions during Basking between Native and Invasive Freshwater Turtle Species. Biol. Invasions 2010, 12, 2141–2152. [Google Scholar] [CrossRef]
- Polo-Cavia, N.; López, P.; Martín, J. Aggressive Interactions during Feeding between Native and Invasive Freshwater Turtles. Biol. Invasions 2011, 13, 1387–1396. [Google Scholar] [CrossRef]
- Polo-Cavia, N.; López, P.; Martín, J. Feeding Status and Basking Requirements of Freshwater Turtles in an Invasion Context. Physiol. Behav. 2012, 105, 1208–1213. [Google Scholar] [CrossRef] [PubMed]
- Díaz-Paniagua, C.; Pérez-Santigosa, N.; Hidalgo-Vila, J.; Florencio, M. Does the Exotic Invader Turtle, Trachemys scripta elegans, Compete for Food with Coexisting Native Turtles? Amphibia-Reptilia 2011, 32, 167–175. [Google Scholar] [CrossRef]
- Hidalgo-Vila, J.; Martínez-Silvestre, A.; Pérez-Santigosa, N.; León-Vizcaíno, L.; Díaz-Paniagua, C. High Prevalence of Diseases in Two Invasive Populations of Red-Eared Sliders (Trachemys scripta elegans) in Southwestern Spain. Amphibia-Reptilia 2020, 41, 509–518. [Google Scholar] [CrossRef]
- Meyer, O.L.; Du Preez, L.; Bonneau, E.; Héritier, L.; Franch, M.; Valdeón, A.; Sadaoui, A.; Kechemir-Issad, N.; Palacios, C.; Verneau, O. Parasite Host-Switching from the Invasive American Red-Eared Slider, Trachemys scripta elegans, to the Native Mediterranean Pond Turtle, Mauremys leprosa, in Natural Environments. Aquat. Invasions 2015, 10, 79–91. [Google Scholar] [CrossRef]
- Verneau, O.; Palacios, C.; Platt, T.; Alday, M.; Billard, E.; Allienne, J.-F.; Basso, C.; du Preez, L.H. Invasive Species Threat: Parasite Phylogenetics Reveals Patterns and Processes of Host-Switching between Non-Native and Native Captive Freshwater Turtles. Parasitology 2011, 138, 1778–1792. [Google Scholar] [CrossRef]
- Keller, C. Ecología de Poblaciones de Mauremys Leprosa y Emys Orbicularis en el Parque Nacional de Doñana; Universidad de Sevilla: Sevilla, Spain, 1997. [Google Scholar]
- Franch, M.; Llorente, G.A.; Montori, A. Primeros Datos Sobre la Biología de Trachemys scripta elegans en Sintopía Con Mauremys leprosa en el delta del Llobregat (NE Ibérico). In Invasiones Biológicas: Un Factor del Cambio Global, Proceedings of the EEI 2006 Actualización de Conocimientos. 2º Congreso Nacional de Especies Exóticas Invasoras. EEI 2006, León, Spain, 19–22 September 2016; Series Técnica N.o 3; Grupo Especialista en Invasiones Biológicas (GEIB): León, Spain, 2007; pp. 85–101. [Google Scholar]
- ESRI. ArcGIS 10.2 Released. Support Services Blog; ESRI: Redlands, CA, USA, 2013; Available online: https://blogs.esri.com/esri/supportcenter/2013/07/31/arcgis-10-2-released/ (accessed on 16 August 2022).
- QGIS Development Team. QGis 2.4.0 Chugiak. Quantum GIS Geographic Information System. Open Source Geospatial Foundation Project; QGIS Development Team: Berne, Switzerland, 2014; Available online: https://www.qgis.org/en/site/index.html (accessed on 16 August 2022).
- Schubauer, J.P.; Gibbons, J.W.; Spotila, J.R. Home Range and Movement Patterns of Slider Turtles Inhabiting Par Pond. In Life History and Ecology of the Slider Turtle; Gibbons, J.W., Ed.; Smithsonian Institution Press: Washington, DC, USA, 1990; pp. 223–232. [Google Scholar]
- Gibbons, J.W. The Slider Turtle. In Life History and Ecology of the Slider Turtle; Gibbons, J.W., Ed.; Smithsonian Institution Press: Washington, DC, USA, 1990; pp. 3–18. [Google Scholar]
- Moll, D.; Moll, E.O. The Ecology, Exploitation and Conservation of River Turtles; Oxford University Press: Oxford, UK, 2004. [Google Scholar]
- Pérez-Santigosa, N.; Hidalgo-Vila, J.; Díaz-Paniagua, C. Comparing Activity Patterns and Aquatic Home Range Areas among Exotic and Native Turtles in Southern Spain. Chelonian Conserv. Biol. 2013, 12, 313–319. [Google Scholar] [CrossRef]
- Ibàñez, J.J.; Burriel, J.Á. Mapa de Cubiertas del Suelo de Cataluña: Características de la Tercera Edición y Relación Con SIOSE. Tecnol. Inf. Geográfi. Inf. Geográfi. Serv. Ciudad. 2010, 3, 179–198. [Google Scholar]
- Rempel, R.; Kaukinen, D.; Carr, A.P. Patch Analyst; Ontario Ministry of Natural Resources; Center for Northern Forest Ecosystem Research: Thunder Bay, ON, Canada, 2012; pp. 1–15. [Google Scholar]
- Paudel, S.; Yuan, F. Assessing Landscape Changes and Dynamics Using Patch Analysis and GIS Modeling. Int. J. Appl. Earth Obs. Geoinf. 2012, 16, 66–76. [Google Scholar] [CrossRef]
- Rice, E.W.; Bridgewater, L. Standard Methods for the Examination of Water & Wastewater, 22nd ed.; Rice, E.W., Bridgewater, L., Health, A.A.P., Works, A.A.W., Federation, W.E., Eds.; American Public Health Association: Washington, DC, USA, 2012. [Google Scholar]
- Schoener, T.W. Nonsynchronous Spatial Overlap of Lizards in Patchy Habitats. Ecology 1970, 51, 408. [Google Scholar] [CrossRef]
- Zhang, J.; Zhang, M.J. Package “Spaa”: Species Association Analysis. 2013. Available online: https://citeseerx.ist.psu.edu/viewdoc/download?doi=10.1.1.204.8570&rep=rep1&type=pdf (accessed on 16 August 2022).
- Gotelli, N.J. Null model analysis of species co-occurrence patterns. Ecology 2000, 81, 2606–2621. [Google Scholar] [CrossRef]
- Gomes, L.; Grilo, C.; Silva, C.; Mira, A. Identification Methods and Deterministic Factors of Owl Roadkill Hotspot Locations in Mediterranean Landscapes. Ecol. Res. 2009, 24, 355–370. [Google Scholar] [CrossRef]
- Tabachnick, B.G.; Fidell, L.S. Using Multivariate Statistics, 6th ed.; Pearson: London, UK, 2012. [Google Scholar]
- Oksanen, J.; Kindt, R.; Legendre, P.; O’Hara, B.; Stevens, M.H.H.; Oksanen, M.J.; Suggests, M. The Vegan Package: Community Ecology Package. 2015. Available online: https://www.researchgate.net/profile/Gavin-Simpson-2/publication/228339454_The_vegan_Package/links/0912f50be86bc29a7f000000/The-vegan-Package.pdf (accessed on 16 August 2022).
- Peres-Neto, P.R.; Legendre, P.; Dray, S.; Borcard, D. Variation Partitioning of Species Data Matrices: Estimation and Comparison of Fractions. Ecology 2006, 87, 2614–2625. [Google Scholar] [CrossRef]
- Skrondal, A.; Rabe-Hesketh, S. Generalized Latent Variable Modeling: Multilevel, Longitudinal, and Structural Equation Models; CRC Press: Boca Raton, FL, USA, 2004. [Google Scholar]
- Bartholomew, D.J.; Knott, M.; Moustaki, I. Latent Class Models and Factor Analysis: A Unified Approach, 3rd ed.; Wiley: Hoboken, NJ, USA, 2011. [Google Scholar]
- Letten, A.D.; Keith, D.A.; Tozer, M.G.; Hui, F.K.C. Fine-Scale Hydrological Niche Differentiation through the Lens of Multi-Species Co-Occurrence Models. J. Ecol. 2015, 103, 1264–1275. [Google Scholar] [CrossRef]
- Harris, D.J. Generating Realistic Assemblages with a Joint Species Distribution Model. Methods Ecol. Evol. 2015, 6, 465–473. [Google Scholar] [CrossRef]
- Plummer, M. JAGS: A Program for Analysis of Bayesian Graphical Models Using Gibbs Sampling. In Proceedings of the 3rd International Workshop on Distributed Statistical Computing (DSC 2003), Vienna, Austria, 20–22 March 2003; Technische Universit at Wien: Vienna, Austria, 2003; pp. 20–22. [Google Scholar]
- Su, Y.-S.; Yajima, M. R2jags: A Package for Running Jags from R. 2012. Available online: https://cran.r-project.org/web/packages/R2jags/R2jags.pdf (accessed on 16 August 2022).
- Akaike, H. Information Theory and an Extension of the Maximum Likelihood Principle. In Selected Papers of Hirotugu Akaike SE—15; Parzen, E., Tanabe, K., Kitagawa, G., Eds.; Springer Series in Statistics; Springer: New York, NY, USA, 1998; pp. 199–213. [Google Scholar] [CrossRef]
- Burnham, K.P.; Anderson, D.R. Model Selection and Multimodel Inference: A Practical Information-Theoretic Approach, 2nd ed.; Springer Science & Business Media: New York, NY, USA, 2002. [Google Scholar]
- R Development Core Team. R: A Language and Environment for Statistical Computing; R Foundation for Statistical Computing: Vienna, Austria, 2020. [Google Scholar]
- Lindeman, P.V. Comparative Life History of Painted Turtles (Chrysemys picta) in Two Habitats in the Inland Pacific Northwest. Copeia 1996, 1996, 114–130. [Google Scholar] [CrossRef]
- Moll, D. Dirty River Turtles. Nat. Hist. 1980, 89, 42. [Google Scholar]
- Souza, F.L.; Abe, A.S. Feeding Ecology, Density and Biomass of the Freshwater Turtle, Phrynops geoffroanus, Inhabiting a Polluted Urban River in South-Eastern Brazil. J. Zool. 2000, 252, 437–446. [Google Scholar] [CrossRef]
- da Silva, E. Notes on Clutch Size and Egg Size of Mauremys leprosa from Spain. J. Herpetol. 1995, 29, 484. [Google Scholar] [CrossRef]
- Franch, M. Caracterització de la Tortuga de Rierol Mauremys leprosa (Schweigger, 1812) a l’Alt Empordà: Biometria i Cicle Biològic, Barcelona. Master’s Thesis, Universitat de Barcelona, Barcelona, Spain, 2003. [Google Scholar] [CrossRef]
- Naimi, M.; Znari, M.; Lovich, J.E.; Feddadi, Y.; Baamrane, M.A.A. Clutch and Egg Allometry of the Turtle Mauremys leprosa (Chelonia: Geoemydidae) from a Polluted Peri-Urban River in West-Central Morocco. Herpetol. J. 2012, 22, 43–49. [Google Scholar]
- Gasith, A.; Sidis, I. Polluted Water Bodies, the Main Habitat of the Caspian Terrapin (Mauremys caspica rivulata) in Israel. Copeia 1984, 1984, 216–219. [Google Scholar] [CrossRef]
- Ferronato, B.O.; Marques, T.S.; Guardia, I.; Longo, A.L.B.; Piña, C.I.; Bertoluci, J.; Verdade, L.M.; Pina, C.I.; Bertoluci, J.; Verdade, L.M. The Turtle Trachemys scripta elegans (Testudines, Emydidae) as an Invasive Species in a Polluted Stream of Southeastern Brazil. Herpetol. Bull. 2009, 109, 29–34. [Google Scholar]
- Malkmus, R. Amphibians and Reptiles of Portugal, Madeira and the Azores-Archipelago: Distribution and Natural History Notes; A.R.G. Gantner Verlag K.G.: Königstein, Germany, 2004. [Google Scholar]
- Gibbons, J.W.; Keaton, G.H.; Schuhauer, J.P.; Greene, J.L.; Bennett, D.P.; McAuliffe, J.R.; Sharitz, R.R. Unusual Population Size Structure in Freshwater Turtles on Barrier Islands. Georg. J. Sci. 1979, 37, 155–159. [Google Scholar]
- Meiling, H.; Ke, Z.; Chaohua, S.; Di, X.; Haitao, S. Effect of Salinity on the Survival, Ions and Urea Modulation in Red-Eared Slider(Trachemys scripta elegans). Asian Herpetol. Res. 2014, 5, 128. [Google Scholar] [CrossRef]
- Andrén, H.; Andren, H. Effects of Habitat Fragmentation on Birds and Mammals in Landscapes with Different Proportions of Suitable Habitat: A Review. Oikos 1994, 71, 355. [Google Scholar] [CrossRef]
- Gustafson, E.J. Quantifying Landscape Spatial Pattern: What Is the State of the Art? Ecosystems 1998, 1, 143–156. [Google Scholar] [CrossRef]
- Lloret, F.; Calvo, E.; Pons, X.; Díaz-Delgado, R. Wildfires and Landscape Patterns in the Eastern Iberian Peninsula. Landsc. Ecol. 2002, 17, 745–759. [Google Scholar] [CrossRef]
- Rizkalla, C.E.; Swihart, R.K. Community Structure and Differential Responses of Aquatic Turtles to Agriculturally Induced Habitat Fragmentation. Landsc. Ecol. 2006, 21, 1361–1375. [Google Scholar] [CrossRef]
- Baldwin, E.A.; Marchand, M.N.; Litvaitis, J.A. Terrestrial Habitat Use by Nesting Painted Turtles in Landscapes with Different Levels of Fragmentation. Northeast. Nat. 2004, 11, 41–48. [Google Scholar] [CrossRef]
- Gibbons, J.W.J.W. Terrestrial Habitat: A Vital Component for Herpetofauna of Isolated Wetlands. Wetlands 2003, 23, 630–635. [Google Scholar] [CrossRef]
- Buhlmann, K.A.; Gibbons, J.W. Terrestrial Habitat Use by Aquatic Turtles from a Seasonally Fluctuating Wetland: Implications for Wetland Conservation Boundaries. Chelonian Conserv. Biol. 2001, 4, 115–127. [Google Scholar]
- Semlitsch, R.D.; Bodie, J.R. Biological Criteria for Buffer Zones around Wetlands and Riparian Habitats for Amphibians and Reptiles. Conserv. Biol. 2003, 17, 1219–1228. [Google Scholar] [CrossRef]
- Cañedo-Argüelles, M. Ecology of Macroinvertebrate Communities in Transitional Waters: Influence of the Environment, Responde to Disturbance and Successional Processes. Ph.D. Thesis, University of Barcelona, Barcelona, Spain, 2009. [Google Scholar] [CrossRef]
- Cañedo-Argüelles, M.; Rieradevall, M. Quantification of Environment-Driven Changes in Epiphytic Macroinvertebrate Communities Associated to Phragmites Australis. J. Limnol. 2009, 68, 229. [Google Scholar] [CrossRef][Green Version]
- da Silva, E. Mauremys leprosa (Schweiger, 1812). In Atlas y Libro Rojo de los Anfibios y Reptiles de España; Pleguezuelos, J.M., Márquez, R., Lizana, M., Eds.; Dirección General de Conservación de la Naturaleza—Asociación Herpetológica Española: Madrid, Spain, 2002; pp. 143–146. [Google Scholar]
- Segurado, P.; Figueiredo, D. Coexistence of Two Freshwater Turtle Species along a Mediterranean Stream: The Role of Spatial and Temporal Heterogeneity. Acta Oecol. 2007, 32, 134–144. [Google Scholar] [CrossRef]
- Franch, M.; Montori, A.; Sillero, N.; Llorente, G.A.A. Temporal Analysis of Mauremys leprosa (Testudines, Geoemydidae) Distribution in Northeastern Iberia: Unusual Increase in the Distribution of a Native Species. Hydrobiologia 2015, 757, 129–142. [Google Scholar] [CrossRef]
- Cadi, A.; Joly, P. Impact of the Introduction of the Red-Eared Slider (Trachemys scripta elegans) on Survival Rates of the European Pond Turtle (Emys orbicularis). Biodivers. Conserv. 2004, 13, 2511–2518. [Google Scholar] [CrossRef]
- Díaz-Paniagua, C.; Marco, A.; Andreu, A.C.; Sánchez, C.; Pena, L.; Acosta, M.; Molina, I. Trachemys Scripta en Doñana; Museo Nacional de Ciencias Naturales: Sevilla, Spain, 2002. [Google Scholar]
- Cadi, A.; Joly, P. Competition for Basking Places between the Endangered European Pond Turtle (Emys orbicularis galloitalica) and the Introduced Red-Eared Slider (Trachemys scripta elegans). Can. J. Zool. 2003, 81, 1392–1398. [Google Scholar] [CrossRef]
- Lambert, M.R.; Nielsen, S.N.; Wright, A.N.; Thomson, R.C.; Shaffer, H.B. Habitat Features Determine the Basking Distribution of Introduced Red-Eared Sliders and Native Western Pond Turtles. Chelonian Conserv. Biol. 2013, 12, 192–199. [Google Scholar] [CrossRef]
- Parmenter, R.R. Effects of Food Availability and Water Temperature on the Feeding Ecology of Pond Sliders (Chrysemys s. scripta). Copeia 1980, 1980, 503. [Google Scholar] [CrossRef]
- Prévot-Julliard, A.-C.; Gousset, E.; Archinard, C.; Cadi, A.; Girondot, M. Pets and Invasion Risks: Is the Slider Turtle Strictly Carnivorous? Amphibia-Reptilia 2007, 28, 139–143. [Google Scholar] [CrossRef]
- Lindeman, P.V. A Comparative Spotting-Scope Study of the Distribution and Relative Abundance of River Cooters (Pseudemys concinna) in Western Kentucky and Southern Mississippi. Chelonian Conserv. Biol. 1997, 2, 378–383. [Google Scholar]
Publisher’s Note: MDPI stays neutral with regard to jurisdictional claims in published maps and institutional affiliations. |
© 2022 by the authors. Licensee MDPI, Basel, Switzerland. This article is an open access article distributed under the terms and conditions of the Creative Commons Attribution (CC BY) license (https://creativecommons.org/licenses/by/4.0/).