Understanding Public Attention towards the Beautiful Village Initiative in China and Exploring the Influencing Factors: An Empirical Analysis Based on the Baidu Index
Abstract
:1. Introduction
2. Materials and Methods
2.1. Study Area
2.2. Data and Its Sources
2.2.1. Baidu Index
2.2.2. Socioeconomic Data
2.3. Methods
2.3.1. Time-Constrained Clustering
2.3.2. Geographic Concentration Index and Disequilibrium Index
2.3.3. Spatial Autocorrelation Test
2.3.4. Spatial Econometric Models
3. Results
3.1. Spatiotemporal Pattern and Evolution of Public Attention towards the Beautiful Village Initiative
3.1.1. Temporal Dynamic Evolution Characteristics
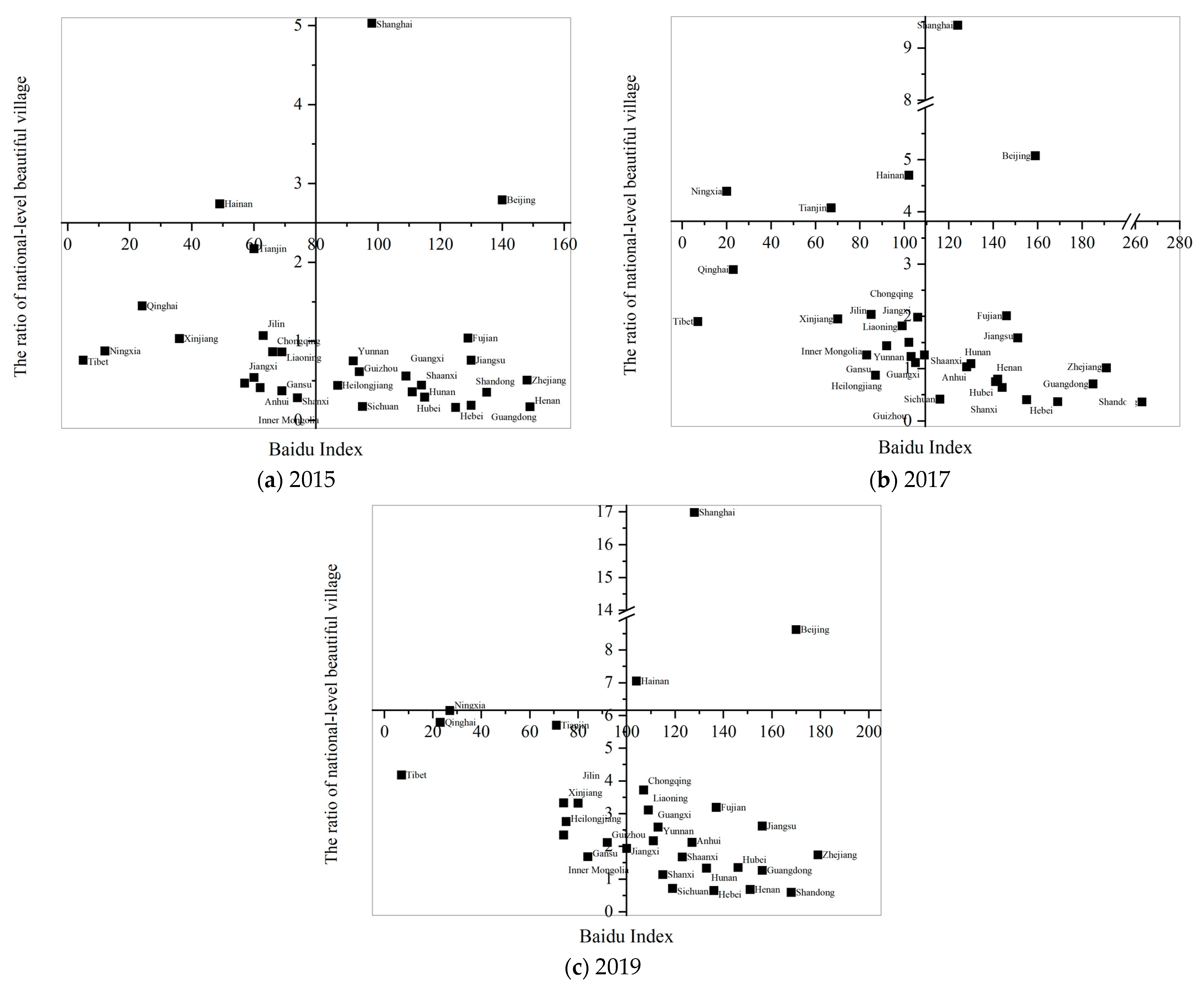
3.1.2. Spatial Distribution Pattern Characteristics
3.2. Analysis of the Factors and Mechanisms Influencing Public Attention towards “Beautiful Villages”
3.2.1. Explanatory Variables
3.2.2. Comparison of Model Goodness-of-Fit
3.2.3. Empirical Results and Interpretations
4. Discussion
5. Conclusions and Policy Suggestions
5.1. Conclusions
5.2. Policy Suggestions
Author Contributions
Funding
Institutional Review Board Statement
Informed Consent Statement
Data Availability Statement
Conflicts of Interest
Appendix A




References
- Long, H.; Li, Y.; Liu, Y.; Woods, M.; Zou, J. Accelerated restructuring in rural China fueled by ‘increasing vs. decreasing balance’ land-use policy for dealing with hollowed villages. Land Use Policy 2012, 29, 11–22. [Google Scholar] [CrossRef]
- Liu, Y.; Liu, Y.; Chen, Y.; Long, H. The process and driving forces of rural hollowing in China under rapid urbanization. J. Geogr. Sci. 2010, 20, 876–888. [Google Scholar] [CrossRef]
- Han, Z.; Ye, C.; Zhang, Y.; Dan, Z.; Zou, Z.; Liu, D.; Shi, G. Characteristics and management modes of domestic waste in rural areas of developing countries: A case study of China. Environ. Sci. Pollut. Res. 2019, 26, 8485–8501. [Google Scholar] [CrossRef]
- Groom, B.; Grosjean, P.; Kontoleon, A.; Swanson, T.; Zhang, S. Relaxing rural constraints: A ‘win-win’ policy for poverty and environment in China? Oxf. Econ. Pap. 2010, 62, 132–156. [Google Scholar] [CrossRef] [Green Version]
- Liu, C.; Wang, F.; Gao, X.; Smith, H. Exploring Solutions to Improve the Evaluation of Development of Rural Villages: A Case Study of the Application of the Evaluation for the Construction of Beautiful Villages (ECBV) in a Village in South China. Sustainability 2021, 13, 685. [Google Scholar] [CrossRef]
- Ding, Z.; Wang, J. Seventy Years of Rural Governance in China: Historical Evolution and Logical Path. China Rural. Surv. 2019, 4, 18–34. (In Chinese) [Google Scholar]
- Wu, L.; Wu, K. Four Patterns of Beautiful Rural Construction and Their Comparison—A Case Study in Anji, Yongjia, Gaochun and Jiangning. J. Huazhong Agric. Univ. (Soc. Sci. Ed.) 2014, 01, 15–22. (In Chinese) [Google Scholar]
- Yan, S.; Chen, C. The Spatial Transformation of Traditional Rural Villages Driven by Private Investment in China’s Developed Areas: The Case of Daxi Village, Anji County. J. Reg. City Plan. 2018, 29, 156–168. [Google Scholar] [CrossRef] [Green Version]
- Jiao, X.; Du, H. The Path of Ecological Livable and Beautiful Countryside Construction in China. Chin. Agric. Sci. Bull. 2019, 35, 158–164. (In Chinese) [Google Scholar]
- Xinhua Net. The Central Rural Work Conference Held in Beijing. Available online: http://www.gov.cn/jrzg/2013-01/31/content_2324293.htm (accessed on 11 July 2021).
- Gao, C.; Cheng, L.; Iqbal, J.; Cheng, D. An Integrated Rural Development Mode Based on a Tourism-Oriented Approach: Exploring the Beautiful Village Project in China. Sustainability 2019, 11, 3890. [Google Scholar] [CrossRef] [Green Version]
- Li, W.; Zhou, Y.; Zhang, Z. Culture-Led Plan for Peri-Urban Agricultural Sustainability: A Case of Pu’an Village in China. Land 2021, 10, 242. [Google Scholar] [CrossRef]
- Zhao, X.; Greenop, K. From ‘neo-vernacular’ to ‘semi-vernacular’: A case study of vernacular architecture representation and adaptation in rural Chinese village revitalization. Int. J. Herit. Stud. 2019, 25, 1128–1147. [Google Scholar] [CrossRef]
- People’s Daily online. Xi’s Report to the 19th CPC National Congress. Available online: http://cpc.people.com.cn/n1/2017/1028/c64094-29613660-6.html (accessed on 11 July 2021).
- Wang, Y.; Zhu, Y.; Yu, M. Evaluation and determinants of satisfaction with rural livability in China’s less-developed eastern areas: A case study of Xianju County in Zhejiang Province. Ecol. Indic. 2019, 104, 711–722. [Google Scholar] [CrossRef]
- Sun, Y. The Practical Consideration of Ecological Landscape Design of Beautiful Countryside-The Practice and Consideration of Landscape Design of Countryside in Changan District, Xi’an. IOP Conf. Ser. Earth Environ. Sci. 2020, 495, 012051. [Google Scholar]
- Chen, H.; Jian, X.; Wu, W.; Zhou, B.; Jia, Y. Attempt to Main Points of Village Planning into Impoverished Villages under the Background of Rural Revitalization. J. Anhui Sci. Technol. Univ. 2019, 33, 80–84. (In Chinese) [Google Scholar]
- Wu, Q.; Feng, J.; Zhu, C.; Teng, W. Spatial Evolution and Influencing Factors of China’s Beautiful Villages. Areal Res. Dev. 2020, 39, 19–24. (In Chinese) [Google Scholar]
- Xiang, F. The Connotation of Beautiful Countryside based on Content Analysis. Chin. J. Agric. Resour. Reg. Plan. 2017, 38, 25–30. (In Chinese) [Google Scholar]
- Naustdalslid, J. Circular economy in China—the environmental dimension of the harmonious society. Int. J. Sustain. Dev. World Ecol. 2014, 21, 303–313. [Google Scholar] [CrossRef]
- Li, F.; Cheng, S.; Yu, H.; Yang, D. Waste from livestock and poultry breeding and its potential assessment of biogas energy in rural China. J. Clean. Prod. 2016, 126, 451–460. [Google Scholar] [CrossRef]
- Wang, C.; Huang, B.; Deng, C.; Wan, Q.; Zhang, L.; Fei, Z.; Li, H. Rural settlement restructuring based on analysis of the peasant household symbiotic system at village level: A Case Study of Fengsi Village in Chongqing, China. J. Rural Stud. 2016, 47, 485–495. [Google Scholar] [CrossRef]
- Office of the Deputy Prime Minister. Planning Policy Statements 7: Sustainable Development in Rural Areas; The United Kingdom for the Stationery Office: Norwich, UK, 2004.
- Wu, Q.; Gong, Y.; Chen, Q. Development Characteristics of Beautiful Countryside in Hangzhou, Regarding Theory of Consumption Space Production: A Comparative Study on Three Villages. China City Plan. Rev. 2017, 26, 58–68. [Google Scholar]
- Liu, D.; Zhou, Q. Study on Spatio-temporal Evolution and Its Influencing Factors of Beautiful Rural Construction Level in China. East China Econ. Manag. 2020, 34, 1–8. (In Chinese) [Google Scholar]
- Zhang, C.; Xiao, D.; Huang, Y. Spatial Differentiation and Influencing Factors of Beautiful Village in Guangzhou. Trop. Geogr. 2020, 40, 551–561. (In Chinese) [Google Scholar]
- Yu, X. Spatial Differentiation Characteristics and Its Influencing Factors of Beautiful Villages in Hubei Province. J. Hubei Univ. Arts Sci. 2020, 41, 68–73. (In Chinese) [Google Scholar]
- Lincoln, T.; Madgin, R. The inherent malleability of heritage: Creating China’s beautiful villages. Int. J. Herit. Stud. 2018, 24, 938–953. [Google Scholar] [CrossRef] [Green Version]
- Zhang, Y.; Wu, Z. The reproduction of heritage in a Chinese village: Whose heritage, whose pasts? Int. J. Herit. Stud. 2016, 22, 228–241. [Google Scholar] [CrossRef]
- Minfeng, R. Protection and Inheritance of Intangible Cultural Heritage in Tangshan “Beautiful Country”. Agro Food Ind. Hi-Tech 2017, 28, 376–380. [Google Scholar]
- Qi, W.; Li, L.; Zhong, J. Value Preferences and Intergenerational Differences of Tourists to Traditional Chinese Villages. Discret. Dyn. Nat. Soc. 2021, 2021, 9059164. [Google Scholar] [CrossRef]
- Sun, J.; Ma, Y.; Wang, Z.; Wang, X.; Liang, L. Rural tourism industry revitalization path based on the analysis of lock-in effects. Prog. Geogr. 2020, 39, 1037–1046. (In Chinese) [Google Scholar] [CrossRef]
- Xie, Y.; Zhao, L.; Liu, Y.; Wang, Y.; Hou, L.; Li, X. Development of tourism beautiful village complex ecosystem based on the coupling coordinated model. J. Zhejiang A&F Univ. 2018, 35, 743–749. (In Chinese) [Google Scholar]
- Fang, C.; Wang, Z.; Liu, H. Beautiful China Initiative: Human-nature harmony theory, evaluation index system and application. J. Geogr. Sci. 2020, 30, 691–704. [Google Scholar] [CrossRef]
- Liu, H.; Fang, C.; Fang, K. Coupled Human and Natural Cube: A novel framework for analyzing the multiple interactions between humans and nature. J. Geogr. Sci. 2020, 30, 355–377. [Google Scholar] [CrossRef]
- Wang, J.; Lu, C.; Tang, J.; Ge, L.; Huang, Z.; Zhou, S. Time Series and Spatial Characteristics of Public Attention towards Huangyan Island Based on Baidu Index. J. Coast. Res. 2019, 91, 281–285. [Google Scholar] [CrossRef]
- Zhu, X.; Xia, C. Visual network analysis of the Baidu-index data on greenhouse gas. Int. J. Mod. Phys. B 2021, 35, 2150115. [Google Scholar] [CrossRef]
- Mavragani, A.; Ochoa, G. Google Trends in Infodemiology and Infoveillance: Methodology Framework. JMIR Public Health Surveill. 2019, 5, 13439. [Google Scholar] [CrossRef] [Green Version]
- Plantin, J.; Lagoze, C.; Edwards, P.N.; Sandvig, C. Infrastructure studies meet platform studies in the age of Google and Facebook. New Media Soc. 2018, 20, 293–310. [Google Scholar] [CrossRef] [Green Version]
- Sparrow, B.; Liu, J.; Wegner, D.M. Google Effects on Memory: Cognitive Consequences of Having Information at Our Fingertips. Science 2011, 333, 776–778. [Google Scholar] [CrossRef] [PubMed] [Green Version]
- Stow, H.; Bason, T. Bidding for attention: Using google trends to measure global interest in Olympic bidders. Sport Soc. 2021, 24, 303–322. [Google Scholar] [CrossRef]
- Yeo, J.; Knox, C.C. Public Attention to a Local Disaster Versus Competing Focusing Events: Google Trends Analysis Following the 2016 Louisiana Flood. Soc. Sci. Q. 2019, 100, 2542–2554. [Google Scholar] [CrossRef]
- Lo, K.L.; Liu, H.; Yang, M.; Mi, J.J. The relationship between public attention and COVID-19: Evidence from the big data analysis of Google trends. Appl. Econ. Lett. 2021, 1948958. [Google Scholar] [CrossRef]
- Swamy, V.; Dharani, M.; Takeda, F. Investor attention and Google Search Volume Index: Evidence from an emerging market using quantile regression analysis. Res. Int. Bus. Financ. 2019, 50, 1–17. [Google Scholar] [CrossRef]
- China Internet Network Information Center. The 42th Survey Report on Search Engine Website Market in China. CNNIC: Beijing, China, 2017. Available online: http://www.cnnic.net.cn/ (accessed on 12 March 2021).
- Li, W.; Yang, G.; Li, X. Correlation between PM2.5 pollution and its public concern in China: Evidence from Baidu Index. J. Clean. Prod. 2021, 293, 126091. [Google Scholar] [CrossRef]
- Li, M.; Wang, C.; Xue, M. Analysis of Spatio-temporal Evolution Characteristics and Influence Factors of the Network Attention Degree of Novel Coronavirus Pneumonia Epidemic. Hum. Geogr. 2021, 36, 110–119. (In Chinese) [Google Scholar]
- Du, M.; Yang, X.; Chen, P. On Spatial and Temporal Characteristics of Online Scenic Spot Based on Baidu Index. J. Southwest China Norm. Univ. (Nat. Sci. Ed.) 2020, 45, 72–79. (In Chinese) [Google Scholar]
- Li, H.; Li, D.; Dong, X.; Xu, N. Spatial patterns of 5A-level tourist attractions and their network attention degrees in China. J. Arid. Land Resour. Environ. 2019, 33, 178–184. (In Chinese) [Google Scholar]
- Yu, Y.; Song, Z.; Shi, K. Network pattern of inter-provincial information connection and its dynamic mechanism in China: Based on Baidu index. Econ. Geogr. 2019, 39, 147–155. (In Chinese) [Google Scholar]
- Ward, J.; Joe, H. Hierarchical grouping to optimize an objective function. J. Am. Stat. Assoc. 1963, 58, 236–244. [Google Scholar] [CrossRef]
- Chen, X.; Yuan, L.; Song, C.; Cheng, C.; Wang, X.; Liang, X.; Wang, Y.; Cao, D.; Yi, H. Quantitative Tools and Applications of Time Stages Division in Human Geography Research. Econ. Geogr. 2021, 41, 21–29. (In Chinese) [Google Scholar]
- Wang, F.; Mao, W.; Dong, Y.; Zhu, X. Implications for Cultural Landscape in a Chinese Context: Geo-analysis of Spatial Distribution of Historic Sites. Chin. Geogr. Sci. 2018, 28, 167–182. [Google Scholar] [CrossRef] [Green Version]
- Yang, C.; Xin, J.; Yang, Y. Geographical Distribution of Characteristic Towns in Zhejiang Province. IOP Conf. Ser. Earth Environ. Sci. 2019, 300, 022072. [Google Scholar] [CrossRef]
- Wang, Z.; Liu, Q. Spatial Heterogeneity and the Influencing Factors of Ethnic Villages in China. Econ. Geogr. 2019, 39, 150–158. (In Chinese) [Google Scholar]
- Li, B.; Yin, S.; Liu, P.; Dou, Y. Spatial Distribution of Traditional Villages and Influence Factors in Hunan Province. J. Landsc. Res. 2016, 08, 63–67. [Google Scholar]
- Getis, A.; Ord, J.K. The Analysis of Spatial Association by Use of Distance Statistics. Geogr. Anal. 1992, 24, 189–206. [Google Scholar] [CrossRef]
- Chen, L.; Wei, Q.; Fu, Q.; Feng, D. Spatiotemporal Evolution Analysis of Habitat Quality under High-Speed Urbanization: A Case Study of Urban Core Area of China Lin-Gang Free Trade Zone (2002–2019). Land 2021, 10, 167. [Google Scholar] [CrossRef]
- Liu, Q.; Wang, S.; Zhang, W.; Zhan, D.; Li, J. Does foreign direct investment affect environmental pollution in China’s cities? A spatial econometric perspective. Sci. Total Environ. 2018, 613, 521–529. [Google Scholar] [CrossRef] [PubMed]
- Shukla, R.; Sachdeva, K.; Joshi, P.K. Inherent vulnerability of agricultural communities in Himalaya: A village-level hotspot analysis in the Uttarakhand state of India. Appl. Geogr. 2016, 74, 182–198. [Google Scholar] [CrossRef]
- Sannigrahi, S.; Pilla, F.; Basu, B.; Basu, A.S.; Molter, A. Examining the association between socio-demographic composition and COVID-19 fatalities in the European region using spatial regression approach. Sustain. Cities Soc. 2020, 62, 102418. [Google Scholar] [CrossRef]
- Tian, W.; Song, J.; Li, Z. Spatial regression analysis of domestic energy in urban areas. Energy 2014, 76, 629–640. [Google Scholar] [CrossRef]
- Ahn, K.; Palmer, R. Regional flood frequency analysis using spatial proximity and basin characteristics: Quantile regression vs. parameter regression technique. J. Hydrol. 2016, 540, 515–526. [Google Scholar] [CrossRef]
- Wang, C.; Chu, Z.; Gu, W. Assessing the role of public attention in China’s wastewater treatment: A spatial perspective. Technol. Forecast. Soc. Chang. 2021, 171, 120984. [Google Scholar] [CrossRef]
- Li, L.; Liu, X.; Zhang, X. Public attention and sentiment of recycled water: Evidence from social media text mining in China. J. Clean. Prod. 2021, 303, 126814. [Google Scholar] [CrossRef]
- Wang, Q.; Pan, L.; Lyu, J.; Li, W. Spatio-temporal Characteristics Analysis for Residents Tourism Demand in Anhui Province Based on Network Attention. Areal Res. Dev. 2021, 40, 120–125. (In Chinese) [Google Scholar]
- Wong, K.K.F.; Song, H.; Chon, K.S. Bayesian models for tourism demand forecasting. Tour. Manag. 2006, 27, 773–780. [Google Scholar] [CrossRef] [Green Version]










| Year | Moran’s I | Z-Score | p-Value |
|---|---|---|---|
| 2013 | 0.329 | 4.037 | 0.001 |
| 2014 | 0.301 | 3.721 | 0.002 |
| 2015 | 0.305 | 3.763 | 0.003 |
| 2016 | 0.336 | 4.336 | 0.002 |
| 2017 | 0.346 | 4.428 | 0.001 |
| 2018 | 0.384 | 4.498 | 0.001 |
| 2019 | 0.412 | 4.898 | 0.001 |
| 2020 | 0.378 | 4.408 | 0.001 |
| Variables | Factors | Labels | Units | Definitions |
|---|---|---|---|---|
| Economic Development | GDP Per Capita | GDPP | Yuan | The gross domestic product divided by the population |
| Urbanization | Urbanization Rate | UR | % | The proportion of urban population to total population |
| Population | Population Density | PD | Person/km2 | The amount of population per unit area |
| Educational Attainment | Education Level | EL | % | The ratio of the population with high education level to the population aged 6 and over |
| Social Informatization | Network Popularity Rate | NPR | % | The proportion of the household with Internet broadband access to the total households |
| Beautiful Village Construction | National-Level Beautiful Village | NBV | ‰ | The ratio of national-level beautiful village to total villages |
| Historical and Cultural Protection | National-Level Traditional Village | NTV | ‰ | The ratio of national-level traditional village to total villages |
| Year | Variables | |||||||
|---|---|---|---|---|---|---|---|---|
| GDPP | UR | PD | EL | NPR | NBV | NTV | ||
| 2015 | Mean | 53084 | 56.64 | 474.74 | 14.31 | 48.19 | 0.92 | 5.72 |
| Min | 26165 | 27.74 | 2.70 | 7.11 | 34.00 | 0.16 | 0.27 | |
| Max | 107960 | 87.60 | 4163.79 | 42.34 | 75.00 | 5.03 | 41.93 | |
| Std. Dev | 23308.50 | 12.89 | 762.11 | 6.75 | 11.41 | 1.02 | 8.60 | |
| VIF | 6.14 | 9.71 | 2.54 | 4.70 | 4.21 | 1.89 | 1.41 | |
| 2017 | Mean | 60856 | 58.98 | 478.65 | 15.33 | 53.35 | 1.94 | 8.87 |
| Min | 28497 | 30.89 | 2.81 | 7.65 | 40.00 | 0.36 | 0.66 | |
| Max | 128994 | 87.70 | 4168.97 | 47.61 | 77.00 | 9.43 | 51.37 | |
| Std. Dev | 27573.46 | 12.01 | 763.25 | 8.18 | 10.06 | 1.89 | 11.02 | |
| VIF | 5.46 | 8.23 | 3.21 | 5.77 | 4.45 | 1.88 | 1.37 | |
| 2019 | Mean | 69235 | 60.85 | 482.28 | 15.74 | 56.19 | 3.31 | 13.84 |
| Min | 32995 | 31.54 | 2.93 | 8.32 | 43.00 | 0.59 | 1.09 | |
| Max | 164220 | 88.30 | 4186.21 | 50.49 | 78.00 | 16.98 | 59.14 | |
| Std. Dev | 32698.43 | 11.59 | 765.84 | 8.05 | 8.84 | 3.22 | 14.83 | |
| VIF | 3.98 | 9.03 | 3.19 | 5.37 | 4.81 | 1.68 | 1.33 | |
| Variables | 2015 | 2017 | 2019 | |||||||||
|---|---|---|---|---|---|---|---|---|---|---|---|---|
| OLS | SEM | OLS | SEM | OLS | SEM | |||||||
| Ln GDPP | −0.195 | (−0.356) | 0.008 | (−0.016) | −0.496 | (−1.439) | −0.379 | (−1.433) | 0.020 | (−0.067) | −0.125 | (−0.640) |
| Ln UR | 0.875 | (−0.734) | 0.841 | (−0.898) | 1.160 | (−1.422) | 0.732 | (−1.221) | 1.340 | (−1.455) | 0.507 | (−0.701) |
| Ln PD | 0.314 *** | (−3.411) | 0.320 *** | (−4.230) | 0.310 *** | (−4.475) | 0.343 *** | (−6.130) | 0.240 *** | (−3.376) | 0.313 *** | (−5.469) |
| Ln EL | 0.226 | (−0.428) | 0.018 | (−0.045) | 0.589 * | (−1.718) | 0.285 | (−1.124) | 0.278 | (−0.729) | 0.248 | (−0.962) |
| Ln NPR | 0.247 | (−0.310) | 0.068 | (−0.102) | 0.046 | (−0.067) | 0.610 *** | (−1.146) | −0.671 | (−0.759) | 0.114 | (−0.180) |
| Ln NBV | −1.679 | (−3.116) | –1.493 *** | (−3.480) | −1.506 *** | (−5.980) | −1.361 *** | (−7.222) | −0.865 *** | (−4.433) | −0.746 *** | (−5.641) |
| Ln NTV | 0.225 | (−1.379) | 0.223 ** | (−1.781) | 0.204 ** | (−2.143) | 0.172 *** | (−2.720) | 0.137 * | (−1.669) | 0.148 *** | (−2.860) |
| Lambda | 0.639 ** | (−2.271) | 0.933 *** | (−5.592) | 0.986 *** | (−7.174) | ||||||
| R2 | 0.683 | 0.726 | 0.848 | 0.893 | 0.816 | 0.889 | ||||||
| AIC | 49.119 | 46.396 | 24.024 | 17.259 | 25.695 | 14.817 | ||||||
| Sigma2 | 0.230 | 0.147 | 0.102 | 0.053 | 0.108 | 0.048 | ||||||
Publisher’s Note: MDPI stays neutral with regard to jurisdictional claims in published maps and institutional affiliations. |
© 2021 by the authors. Licensee MDPI, Basel, Switzerland. This article is an open access article distributed under the terms and conditions of the Creative Commons Attribution (CC BY) license (https://creativecommons.org/licenses/by/4.0/).
Share and Cite
Ji, Q.; Yang, J.; He, Q.; Chen, H.; Wang, X.; Tang, F.; Ge, Q.; Wang, Y.; Ding, F. Understanding Public Attention towards the Beautiful Village Initiative in China and Exploring the Influencing Factors: An Empirical Analysis Based on the Baidu Index. Land 2021, 10, 1169. https://doi.org/10.3390/land10111169
Ji Q, Yang J, He Q, Chen H, Wang X, Tang F, Ge Q, Wang Y, Ding F. Understanding Public Attention towards the Beautiful Village Initiative in China and Exploring the Influencing Factors: An Empirical Analysis Based on the Baidu Index. Land. 2021; 10(11):1169. https://doi.org/10.3390/land10111169
Chicago/Turabian StyleJi, Qin, Jianping Yang, Qingshan He, Hongju Chen, Xiran Wang, Fan Tang, Qiuling Ge, Yanxia Wang, and Feng Ding. 2021. "Understanding Public Attention towards the Beautiful Village Initiative in China and Exploring the Influencing Factors: An Empirical Analysis Based on the Baidu Index" Land 10, no. 11: 1169. https://doi.org/10.3390/land10111169
APA StyleJi, Q., Yang, J., He, Q., Chen, H., Wang, X., Tang, F., Ge, Q., Wang, Y., & Ding, F. (2021). Understanding Public Attention towards the Beautiful Village Initiative in China and Exploring the Influencing Factors: An Empirical Analysis Based on the Baidu Index. Land, 10(11), 1169. https://doi.org/10.3390/land10111169

