Experimental Investigation of Upstream Water-Level Dynamics for a Standard Open-Channel Sluice Gate and a Simplified Model
Abstract
1. Introduction
2. Experimental Program
2.1. Experimental Facility
2.2. Measurement Points and Instrumentation
2.3. Measurement Accuracy and Uncertainty
2.4. Test Conditions and Procedures
2.5. Data Processing and Model Identification
3. Results and Discussion
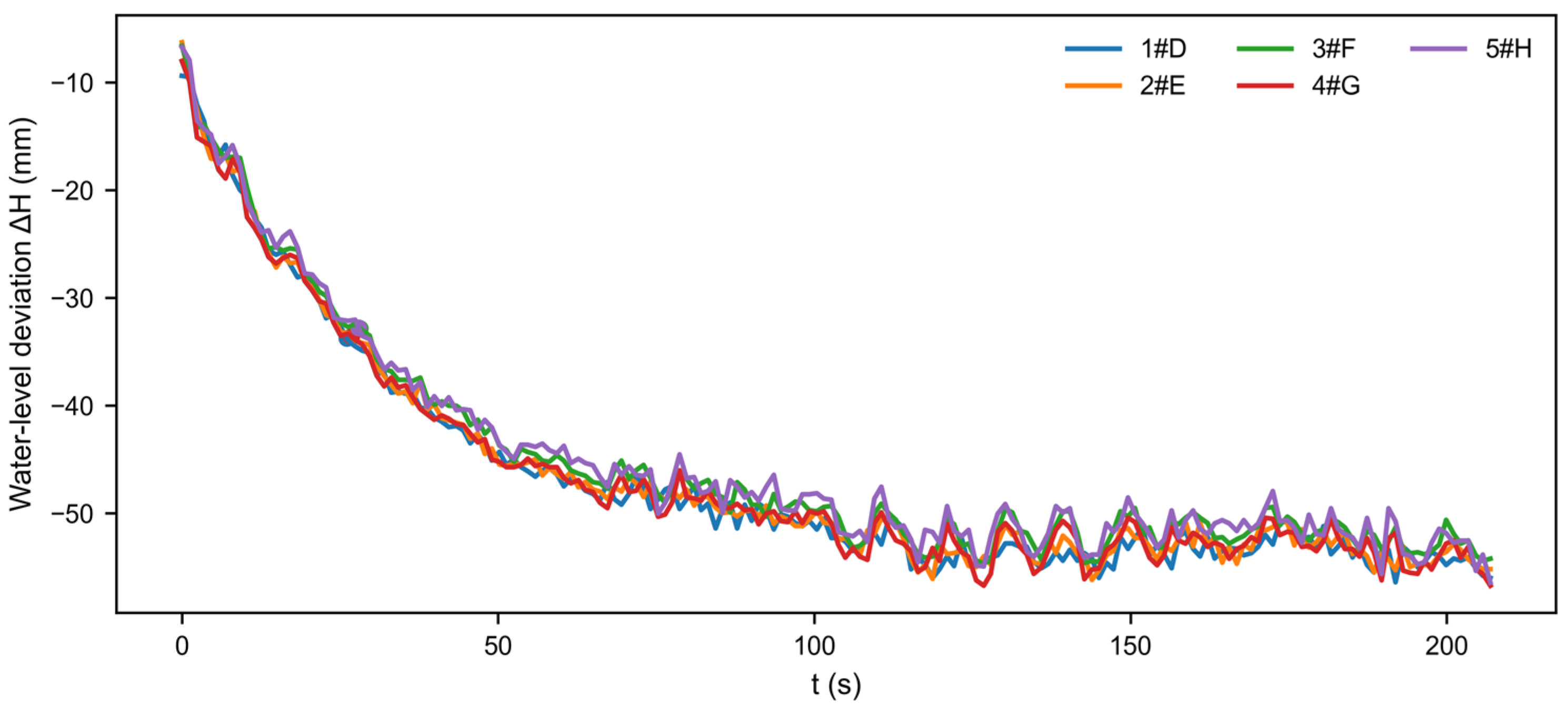
3.1. Step Response Under Low Flow (Condition A)
3.1.1. Steady-State Changes Before and After the Step
3.1.2. Identified FOPDT Parameters and Dynamic Characteristics
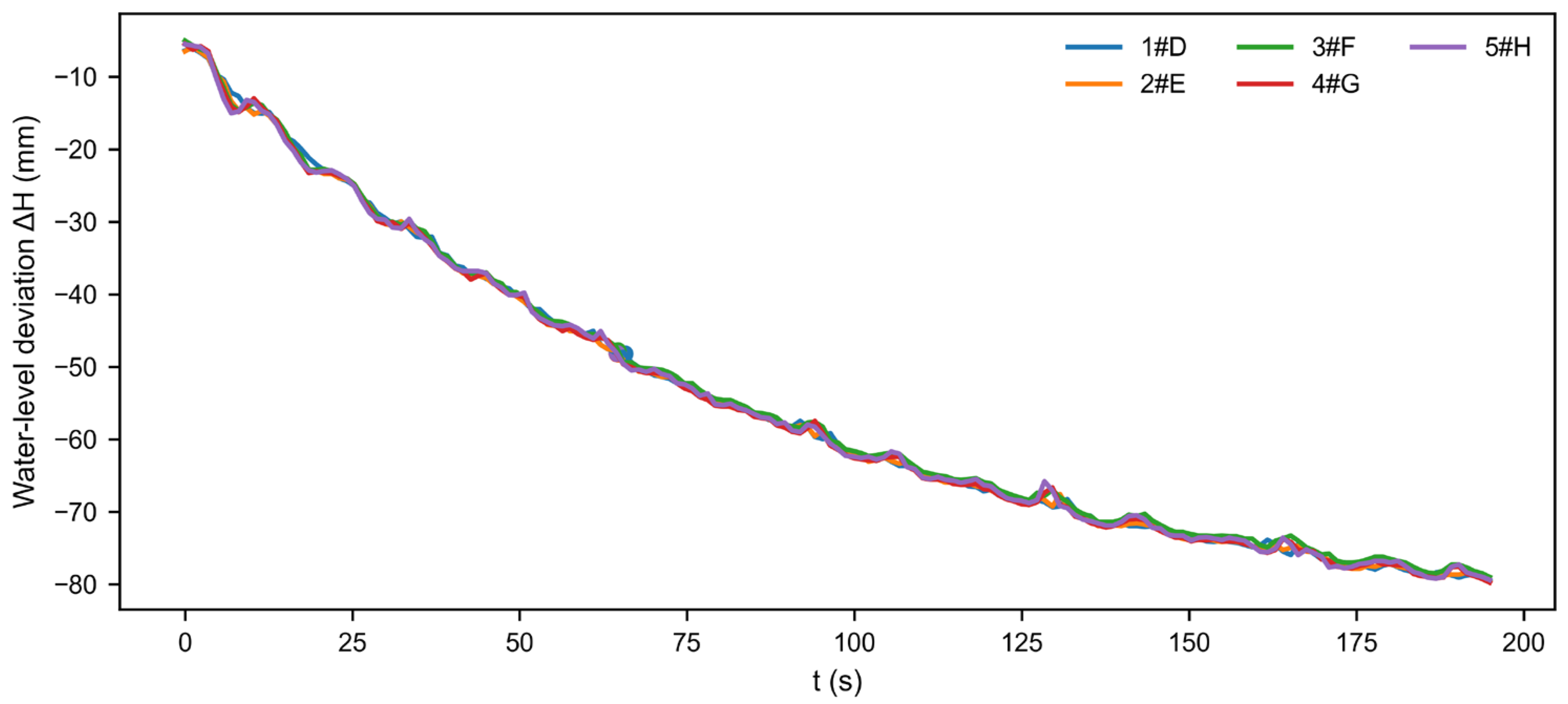
3.2. Step Response Under Higher Flow (Condition B)
3.3. PRBS Tests and Discrete-Time Model Identification
3.3.1. PRBS Excitation
3.3.2. ARX Model Structure and Identification Method
3.3.3. Identification Results and Model-Fit Comparison
3.4. Static Water-Level–Flow–Opening Relation and Steady-State Consistency
3.4.1. Features of Quasi-Steady Measurements
3.4.2. Basic Trends of Static Relations
3.4.3. Consistency Between Static Gain and Step-Identified Gain
3.5. Practical Implications and Limitations
4. Conclusions
- Step tests demonstrate that the upstream water-level response to a gate-opening increment can be approximated by an FOPDT model. Under low flow (Condition A), the identified parameters are K ≈ −15.4 mm/mm, L ≈ 4.5–5.7 s, and T ≈ 71 s, and the five upstream points show strong spatial consistency.
- Under higher flow (Condition B), the gain magnitude decreased (K ≈ −10.6 mm/mm), the time constant became smaller (T ≈ 41–43 s), and the dead time increased moderately (L ≈ 8–10 s). These changes indicate a faster response but weaker sensitivity to opening changes at higher discharges.
- PRBS tests support a compact discrete-time ARX (2,2,1) model between gate-opening deviation and upstream level deviation at the representative point. The identified models achieve R2 of 0.992 (Condition C) and 0.946 (Condition D), with MAE and RMSE within 0.65–1.85 mm, and residual inspection does not reveal major systematic bias.
- Future work will include combined step and PRBS tests under identical operating conditions when feasible and extension to a wider range of inflows and downstream levels to quantify parameter variations. These efforts will support the implementation and validation of automatic upstream water-level control based on the simplified models. The models can also support controller design and benchmarking for proportional–integral/proportional–integral–derivative (PI/PID) controllers and internal model control (IMC) based PID tuning [40,41]. The reported model parameters were obtained from an indoor recirculating rectangular channel with a standard flat gate under the tested boundary and operating conditions. Therefore, the numerical values of the identified parameters may vary with changes in downstream conditions, channel roughness, and a wider range of discharges and gate openings. Although the numerical values are specific to the tested facility, the main qualitative behaviors, such as weaker steady sensitivity at higher discharge and the need for parameter sets that vary with operating condition, are expected to remain applicable to real canals. Future work will extend the experiments to broader operating regimes and explore controller design and validation based on the identified simplified models.
Author Contributions
Funding
Data Availability Statement
Conflicts of Interest
Nomenclature
- List of notations
| Symbol | Description | ||
| Q | Discharge | u(k) | Gate opening input at sample k |
| e | Gate opening | y(k) | Water level output at sample k |
| Δe | Gate opening deviation from operating point | u’(k) | Demeaned gate opening deviation |
| H | Upstream water level | y’(k) | Demeaned water level deviation |
| ΔH | Water level deviation relative to the pre-step steady level | k | Discrete time sample index |
| Hi | Water level at measurement point i | na | ARX output order |
| K | Steady-state gain of the FOPDT model | nb | ARX input order |
| L | Dead time of the FOPDT model | nk | ARX input delay (in samples) |
| T | Time constant of the FOPDT model |
References
- Shen, Z.-N.; Zhang, W.-Z.; Jiang, M.-L.; Lü, M.-C. Study on Discharge Characteristics of Open Channel under the Regulation of Flat Gate. Water Sav. Irrig. 2021, 56–60. (In Chinese) [Google Scholar]
- Zhang, W.; Jia, X.; Wang, Y. Experimental investigation of hydraulic characteristics for open channel gates. Water 2024, 16, 3717. [Google Scholar] [CrossRef]
- Yoosefdoost, A.; Lubitz, W. Sluice gate design and calibration: Simplified models to distinguish flow conditions and estimate discharge coefficient and flow rate. Water 2022, 14, 1215. [Google Scholar] [CrossRef]
- Kubrak, E.; Kubrak, J.; Kiczko, A.; Kubrak, M. Flow measurements using a sluice gate; analysis of applicability. Water 2020, 12, 819. [Google Scholar] [CrossRef]
- Guan, G.; Huang, Y.; Xiong, J.; Jin, W. Uniform Flow Rate Calibration Model for Flat Gate under Free-Submerged Orifice Flow. Trans. Chin. Soc. Agric. Eng. (Trans. CSAE) 2020, 36, 197–204. (In Chinese) [Google Scholar] [CrossRef]
- Vaheddoost, B.; Safari, M.J.S.; Ilkhanipour Zeynali, R. Discharge coefficient for vertical sluice gate under submerged condition using contraction and energy loss coefficients. Flow Meas. Instrum. 2021, 80, 102007. [Google Scholar] [CrossRef]
- Swamee, P.K. Sluice-Gate Discharge Equations. J. Irrig. Drain. Eng. 1992, 118, 56–60. [Google Scholar] [CrossRef]
- Habibzadeh, A.; Vatankhah, A.R.; Rajaratnam, N. Role of Energy Loss on Discharge Characteristics of Sluice Gates. J. Hydraul. Eng. 2011, 137, 1079–1084. [Google Scholar] [CrossRef]
- Cassan, L.; Belaud, G. Experimental and Numerical Investigation of Flow under Sluice Gates. J. Hydraul. Eng. 2012, 138, 367–373. [Google Scholar] [CrossRef]
- Bijankhan, M.; Ferro, V.; Kouchakzadeh, S. New stage–discharge relationships for free and submerged sluice gates. Flow Meas. Instrum. 2012, 28, 50–56. [Google Scholar] [CrossRef]
- Shayan, H.K.; Farhoudi, J. Effective parameters for calculating discharge coefficient of sluice gates. Flow Meas. Instrum. 2013, 33, 96–105. [Google Scholar] [CrossRef]
- Silva, C.O.; Rijo, M. Flow Rate Measurements under Sluice Gates. J. Irrig. Drain. Eng. 2017, 143, 06017001. [Google Scholar] [CrossRef]
- Galvis Restrepo, E. Predictive Control with Dynamic Constraints for Closure and Opening Operations of Irrigation Canals. Ph.D. Thesis, Universitat Politècnica de Catalunya, Barcelona, Spain, 2016. [Google Scholar] [CrossRef]
- Sepúlveda Toepfer, C. Instrumentation, Model Identification and Control of an Experimental Irrigation Canal. Ph.D. Thesis, Universitat Politècnica de Catalunya, Barcelona, Spain, 2008. [Google Scholar] [CrossRef]
- Kong, L.; Liu, Y.; Li, J.; Tian, Y.; Yang, Q.; Chen, Z. Nonlinear Model Predictive Controller for Gate Control in Open Canal Irrigation Systems with Flexible Water Demands. Comput. Electron. Agric. 2024, 222, 109023. [Google Scholar] [CrossRef]
- Gomez, M.; Rodellar, J.; Mantecon, J. Predictive control method for decentralised operation of irrigation canals. Appl. Math. Model. 2002, 26, 1039–1056. [Google Scholar] [CrossRef]
- Schuurmans, J.; Clemmens, A.J.; Dijkstra, S.; Hof, A.; Brouwer, R. Modeling of Irrigation and Drainage Canals for Controller Design. J. Irrig. Drain. Eng. 1999, 125, 338–344. [Google Scholar] [CrossRef]
- Litrico, X.; Fromion, V. Simplified Modeling of Irrigation Canals for Controller Design. J. Irrig. Drain. Eng. 2004, 130, 373–383. [Google Scholar] [CrossRef]
- Litrico, X.; Fromion, V. Frequency Modeling of Open-Channel Flow. J. Hydraul. Eng. 2004, 130, 806–815. [Google Scholar] [CrossRef]
- Clemmens, A.J.; Tian, X.; van Overloop, P.J.; Litrico, X. Integrator Delay Zero Model for Design of Upstream Water-Level Controllers. J. Irrig. Drain. Eng. 2017, 143, B4015001. [Google Scholar] [CrossRef]
- Clemmens, A.J.; Schuurmans, J. Simple Optimal Downstream Feedback Canal Controllers: Theory. J. Irrig. Drain. Eng. 2004, 130, 26–34. [Google Scholar] [CrossRef]
- Malaterre, P.O.; Rogers, D.C.; Schuurmans, J. Classification of canal control algorithms. J. Irrig. Drain. Eng. 1998, 124, 3–10. [Google Scholar] [CrossRef]
- Wahlin, B.T.; Clemmens, A.J. Automatic Downstream Water-Level Feedback Control of Branching Canal Networks. J. Irrig. Drain. Eng. 2006, 132, 198–207. [Google Scholar] [CrossRef]
- Schuurmans, J.; Bosgra, O.H.; Brouwer, R. Open-channel flow model approximation for controller design. Appl. Math. Model. 1995, 19, 525–530. [Google Scholar] [CrossRef]
- Schuurmans, J. Control of Water Levels in Open-Channels. Ph.D. Thesis, Delft University of Technology, Delft, The Netherland, 1997. Available online: https://resolver.tudelft.nl/uuid:4852fc0e-e54f-49aa-bfdb-750230539774 (accessed on 9 January 2026).
- Weyer, E. System identification of an open water channel. Control Eng. Pract. 2001, 9, 1289–1299. [Google Scholar] [CrossRef]
- Eurén, K.; Weyer, E. System Identification of Open Water Channels with Undershot and Overshot Gates. IFAC Proc. Vol. 2005, 38, 638–643. [Google Scholar] [CrossRef]
- Conde, G.; Quijano, N.; Ocampo-Martinez, C. Modeling and control in open-channel irrigation systems: A review. Annu. Rev. Control 2021, 51, 153–171. [Google Scholar] [CrossRef]
- Liu, W.; Guan, G.; Tian, X.; Cao, Z.; Chen, X.; Shi, L. A Real-Time Refined Roughness Estimation Framework for the Digital Twin Model Calibration of Irrigation Canal Systems. J. Irrig. Drain. Eng. 2024, 150, 10227. [Google Scholar] [CrossRef]
- Ranjbar, R.; Segovia Castillo, P.; Duviella, E.; Etienne, L.; Maestre, J.M.; Camacho, E.F. Digital Twin of Calais Canal with Model Predictive Controller: A Simulation on a Real Database. J. Water Resour. Plan. Manag. 2024, 150, 05024002. [Google Scholar] [CrossRef]
- Zhu, Z.; Guan, G.; Wang, K. Distributed Model Predictive Control Based on the Alternating Direction Method of Multipliers for Branching Open Canal Irrigation Systems. Agric. Water Manag. 2023, 285, 108372. [Google Scholar] [CrossRef]
- Cozzolino, L.; Varra, G.; Cimorelli, L.; Della Morte, R. Mathematical and Numerical Modelling of Rapid Transients at Partially Lifted Sluice Gates. Adv. Water Resour. 2023, 181, 104562. [Google Scholar] [CrossRef]
- Söderström, T.; Stoica, P. System Identification; Prentice Hall: Englewood Cliffs, NJ, USA, 1989. [Google Scholar]
- Skogestad, S. Simple analytic rules for model reduction and PID controller tuning. J. Process Control 2003, 13, 291–309. [Google Scholar] [CrossRef]
- Muresan, C.I.; Ionescu, C.M. Generalization of the FOPDT model for identification and control purposes. Processes 2020, 8, 682. [Google Scholar] [CrossRef]
- Wu, X.; Xu, J. Study on a Linear System Identification Method Based on Step-Response Curve Features. Meas. Control Technol. 2019, 38, 127–133, 139. (In Chinese) [Google Scholar]
- Godfrey, K. Perturbation Signals for System Identification; Prentice Hall International (UK) Ltd.: Great Britain, UK, 1993. [Google Scholar]
- Ljung, L. System identification. In Signal Analysis and Prediction; Procházka, A., Uhlíř, J., Rayner, P.W.J., Eds.; Birkhäuser Boston: Boston, MA, USA, 1998; pp. 163–173. [Google Scholar] [CrossRef]
- Ding, A.; Guo, X.; Chen, W.; Wu, Y.; Liu, Z. Hydraulic Sensitivity Analysis of Diversion Offtakes and Check Gates in Water Conveyance Canals. Yellow River 2010, 32, 109–111, 113. (In Chinese) [Google Scholar]
- Rana, V.M. MatLab/Simulink Based PI Controller Modeling with Unsteady State Simulation Results for Multiple Canal Pools System. In Hydraulics and Fluid Mechanics, Volume 1; Pandey, M., Umamahesh, N.V., Ahmad, Z., Oliveto, G., Eds.; Lecture Notes in Civil Engineering; Springer: Singapore, 2025; Volume 547, pp. 381–394. [Google Scholar] [CrossRef]
- Rivera, D.E.; Morari, M.; Skogestad, S. Internal model control: PID controller design. Ind. Eng. Chem. Process Des. Dev. 1986, 25, 252–265. [Google Scholar] [CrossRef]












| Condition | Test Type | Target Flow Q (m3/h) | Pump Frequency (Hz) | Gate-Opening Excitation | Primary Purpose |
|---|---|---|---|---|---|
| A | Step test | ≈29.5 | ≈15 | Step: 1.5 cm to 2.0 cm | Identify an FOPDT model under low-flow condition; analyze K, L, T, and spatial consistency |
| B | Step test | ≈72.5 | ≈32.3 | Step: 3.0 cm to 3.5 cm | Identify an FOPDT model under higher-flow condition and compare with Condition A |
| C | PRBS test | ≈41.5 | ≈18.2 | PRBS about 3.5 cm with a 1 cm step size | Identify a discrete-time ARX model under moderate flow |
| D | PRBS test | ≈84.5 | ≈33.2 | PRBS about 6.5 cm with a 1 cm step size | Identify a discrete-time ARX model near the maximum operating flow and compare with Condition C |
| Point | Pre-Step Mean (mm) | Pre-Step SD (mm) | Post-Step Mean (mm) | Post-Step SD (mm) | ΔH (mm) | K (mm/mm) | L (s) | T (s) |
|---|---|---|---|---|---|---|---|---|
| 1#D | 226.6 | 0.32 | 149.6 | 2.33 | −77.0 | −15.41 | 5.7 | 71.5 |
| 2#E | 231.7 | 0.33 | 154.6 | 2.41 | −77.1 | −15.42 | 4.5 | 71.1 |
| 3#F | 231.6 | 0.35 | 155.3 | 2.42 | −76.3 | −15.27 | 4.5 | 71.2 |
| 4#G | 235.3 | 0.39 | 158.2 | 2.43 | −77.0 | −15.41 | 4.5 | 71.5 |
| 5#H | 238.0 | 0.38 | 161.1 | 2.42 | −76.9 | −15.39 | 4.5 | 70.8 |
| Point | Pre-Step Mean (mm) | Pre-Step SD (mm) | Post-Step Mean (mm) | Post-Step SD (mm) | ΔH (mm) | K (mm/mm) | L (s) | T (s) |
|---|---|---|---|---|---|---|---|---|
| 1#D | 337.6 | 1.12 | 283.9 | 1.46 | −53.7 | −10.75 | 10.3 | 41.1 |
| 2#E | 342.1 | 1.08 | 288.6 | 1.44 | −53.5 | −10.71 | 9.2 | 42.2 |
| 3#F | 340.5 | 0.59 | 288.2 | 1.39 | −52.3 | −10.46 | 8.0 | 43.3 |
| 4#G | 346.6 | 1.28 | 293.2 | 1.61 | −53.5 | −10.69 | 10.3 | 42.2 |
| 5#H | 348.0 | 0.63 | 295.9 | 1.88 | −52.2 | −10.43 | 9.2 | 43.3 |
| Condition | a1 | a2 | b1 | b2 | R2 | MAE (mm) | RMSE (mm) |
|---|---|---|---|---|---|---|---|
| C | 0.713 | 0.248 | −1.93 | 1.17 | 0.992 | 0.65 | 1.04 |
| D | 0.575 | 0.148 | −2.53 | −0.51 | 0.946 | 1.42 | 1.85 |
| Condition | Source | Typical Flow Q (m3/h) | Gate-Opening Change Δe (mm) | Upstream Water-Level Change ΔH3 (mm) | Steady Gain K (mm/mm) |
|---|---|---|---|---|---|
| A | Static tests | ≈26.3 | +5 (1.5 to 2.0 cm) | −79.5 | −15.9 |
| A | Step test | ≈29.5 | +5 (1.5 to 2.0 cm) | ≈−77 | ≈−15.4 |
| B | Static tests | ≈68.1 | +5 (3.0 to 3.5 cm) | −54.6 | −10.9 |
| B | Step test | ≈72.5 | +5 (3.0 to 3.5 cm) | ≈−53 | ≈−10.6 |
Disclaimer/Publisher’s Note: The statements, opinions and data contained in all publications are solely those of the individual author(s) and contributor(s) and not of MDPI and/or the editor(s). MDPI and/or the editor(s) disclaim responsibility for any injury to people or property resulting from any ideas, methods, instructions or products referred to in the content. |
© 2026 by the authors. Licensee MDPI, Basel, Switzerland. This article is an open access article distributed under the terms and conditions of the Creative Commons Attribution (CC BY) license.
Share and Cite
Li, D.; Lv, M.; Li, H.; Jiang, M.; Zhang, W.; Wang, Y.; Qin, J. Experimental Investigation of Upstream Water-Level Dynamics for a Standard Open-Channel Sluice Gate and a Simplified Model. Water 2026, 18, 476. https://doi.org/10.3390/w18040476
Li D, Lv M, Li H, Jiang M, Zhang W, Wang Y, Qin J. Experimental Investigation of Upstream Water-Level Dynamics for a Standard Open-Channel Sluice Gate and a Simplified Model. Water. 2026; 18(4):476. https://doi.org/10.3390/w18040476
Chicago/Turabian StyleLi, Dongyan, Mouchao Lv, Hao Li, Mingliang Jiang, Wenzheng Zhang, Yingying Wang, and Jingtao Qin. 2026. "Experimental Investigation of Upstream Water-Level Dynamics for a Standard Open-Channel Sluice Gate and a Simplified Model" Water 18, no. 4: 476. https://doi.org/10.3390/w18040476
APA StyleLi, D., Lv, M., Li, H., Jiang, M., Zhang, W., Wang, Y., & Qin, J. (2026). Experimental Investigation of Upstream Water-Level Dynamics for a Standard Open-Channel Sluice Gate and a Simplified Model. Water, 18(4), 476. https://doi.org/10.3390/w18040476

