Sign in to use this feature.

Years

Between: -

Subjects

remove_circle_outline
remove_circle_outline
remove_circle_outline
remove_circle_outline
remove_circle_outline
remove_circle_outline

Journals

Article Types

Countries / Regions

Search Results (16)

Search Parameters:
Keywords = FOPDT model

Order results
Result details
Results per page
Select all
Export citation of selected articles as:
17 pages, 3695 KB  
Article
Experimental Investigation of Upstream Water-Level Dynamics for a Standard Open-Channel Sluice Gate and a Simplified Model
by Dongyan Li, Mouchao Lv, Hao Li, Mingliang Jiang, Wenzheng Zhang, Yingying Wang and Jingtao Qin
Water 2026, 18(4), 476; https://doi.org/10.3390/w18040476 - 12 Feb 2026
Viewed by 319
Abstract
Understanding how gate-opening variations affect the upstream water level is essential for quantitative water allocation and automation in irrigation canals. Using an indoor recirculating rectangular open-channel facility equipped with a standard flat sluice gate, we deployed five upstream water-level gauges (Points 1#D–5#H) and [...] Read more.
Understanding how gate-opening variations affect the upstream water level is essential for quantitative water allocation and automation in irrigation canals. Using an indoor recirculating rectangular open-channel facility equipped with a standard flat sluice gate, we deployed five upstream water-level gauges (Points 1#D–5#H) and conducted step response tests and pseudo-random binary sequence (PRBS) tests under four representative operating conditions (Q ≈ 30–85 m3/h). For step tests, the upstream water-level dynamics were well approximated by a first-order plus dead-time (FOPDT) model. Under low flow (Condition A, Q ≈ 29.5 m3/h) with a 1.5 → 2.0 cm opening step, the identified parameters were K ≈ −15.4 mm/mm, L ≈ 4.5–5.7 s, and T ≈ 71 s, and the five points exhibited strong spatial consistency. Under higher flow (Condition B, Q ≈ 72.5 m3/h) with a 3.0 → 3.5 cm step, the gain magnitude decreased (K ≈ −10.6 mm/mm), the dead time increased moderately (L ≈ 8.0–10.3 s), and the time constant became smaller (T ≈ 41–43 s), indicating a faster response but weaker sensitivity to gate-opening changes. For PRBS tests, a discrete-time ARX (2,2,1) model was identified between gate opening and the upstream level deviation at Point 3#F. The identified ARX models achieved R2 of 0.992 (Condition C) and 0.946 (Condition D), with MAE and RMSE within 0.65–1.85 mm, and residual diagnostics supported the adequacy of the selected model structure. Finally, steady-state gains derived from dynamic identification were consistent with static water-level–flow–opening relations obtained from quasi-steady experiments, providing a physical basis for the models. The proposed simplified models offer a unified and engineering-friendly plant description for designing and comparing controllers such as PID, fuzzy control, and reinforcement learning-based approaches. Full article
(This article belongs to the Section Hydraulics and Hydrodynamics)
Show Figures

Graphical abstract

19 pages, 5546 KB  
Article
Enhanced Frequency Regulation of Islanded Airport Microgrid Using IAE-Assisted Control with Reaction Curve-Based FOPDT Modeling
by Tarun Varshney, Naresh Patnana and Vinay Pratap Singh
Inventions 2025, 10(5), 88; https://doi.org/10.3390/inventions10050088 - 2 Oct 2025
Cited by 1 | Viewed by 688
Abstract
This paper investigates frequency regulation of an airport microgrid (AIM) through the application of an integral absolute error (IAE)-assisted control approach. The islanded AIM is initially captured using a linearized transfer function model to accurately reflect its dynamic characteristics. This model is then [...] Read more.
This paper investigates frequency regulation of an airport microgrid (AIM) through the application of an integral absolute error (IAE)-assisted control approach. The islanded AIM is initially captured using a linearized transfer function model to accurately reflect its dynamic characteristics. This model is then simplified using a first-order plus dead time (FOPDT) approximation derived via a reaction-curve-based method, which balances between model simplicity and accuracy. Two different proportional–integral–derivative (PID) controllers are designed to meet distinct objectives: one focuses on set-point tracking (SPT) to maintain the target frequency levels, while the other addresses load disturbance rejection (LDR) to reduce the effects of load fluctuations. A thorough comparison of these controllers demonstrates that the SPT-mode PID controller outperforms the LDR-mode controller by providing an improved transient response and notably lower error measures. The results underscore the effectiveness of combining IAE-based control with reaction curve modeling to tune PID controllers for islanded AIM systems, contributing to enhanced and reliable frequency regulation for microgrid operations. Full article
Show Figures

Figure 1

20 pages, 2185 KB  
Article
Fermentation Kinetics Beyond Viability: A Fitness-Based Framework for Microbial Modeling
by Pablo Javier Ruarte, María Carla Groff, María Nadia Pantano, Silvia Cristina Vergara, María José Leiva Alaniz, María Victoria Mestre, Yolanda Paola Maturano and Gustavo Juan Eduardo Scaglia
Processes 2025, 13(9), 3018; https://doi.org/10.3390/pr13093018 - 21 Sep 2025
Cited by 3 | Viewed by 1673
Abstract
Traditional fermentation models often oversimplify kinetics by treating microbial populations as physiologically homogeneous. To address this, we introduce a novel framework that explicitly incorporates cellular fitness by distinguishing the metabolically active subpopulation (“productive cells”) responsible for biosynthesis. This approach integrates established growth models [...] Read more.
Traditional fermentation models often oversimplify kinetics by treating microbial populations as physiologically homogeneous. To address this, we introduce a novel framework that explicitly incorporates cellular fitness by distinguishing the metabolically active subpopulation (“productive cells”) responsible for biosynthesis. This approach integrates established growth models (First Order Plus Dead Time and Logistic) with a modified Luedeking–Piret model (MALP), which introduces a new differential equation to dynamically quantify productive cells. This modeling study relies exclusively on experimental data available in the literature; no new experimental work was conducted. Validated against four diverse fermentation systems from published datasets, the MALP model demonstrated superior predictive accuracy, achieving coefficients of determination (R2 > 0.97) for metabolite kinetics. Sensitivity analysis identified time-delay and maintenance-associated parameters as dominant factors governing system behavior. The key contribution of this work is a mechanistic equation that universally captures the real-world dynamics of metabolite production, providing a more realistic and robust framework for modeling heterogeneous bioprocesses. Full article
Show Figures

Figure 1

16 pages, 2155 KB  
Article
Research on Simplified Design of Model Predictive Control
by Qing Zhang, Chi Zhang, Qi Wang, Shiyun Dong and Aoqi Xiao
Actuators 2025, 14(4), 191; https://doi.org/10.3390/act14040191 - 13 Apr 2025
Cited by 2 | Viewed by 1839
Abstract
PID controllers have been dominant in the field of process control for a long time, but their control quality is not ideal and the difficulty of parameter tuning has always been a problem. MPCs have good control quality and robustness, but due to [...] Read more.
PID controllers have been dominant in the field of process control for a long time, but their control quality is not ideal and the difficulty of parameter tuning has always been a problem. MPCs have good control quality and robustness, but due to the complexity of the algorithm, most are limited to software on PC machines. Although there are examples of implementations on hardware, they are restricted to specific scenarios and are of an experimental nature. The barriers to application and maintenance are high, and therefore, it has not become as popular as PID. The common self-balancing industrial objects are approximated as a first order plus dead time (FOPDT) model, and various parameters are simplified to obtain the control law of the simplified MPC controller. The control law has a small amount of calculation, good control quality, simple parameter settings, and is suitable for embedding in the field controller. Coupled with the auxiliary identification method, field technicians can easily use it. MATLAB (2016a) comparative simulation experiments show that the simplified MPC controller has obvious control advantages over PID. The results of field engineering applications also show that the simplified MPC controller can feasibly replace the PID algorithm in industrialization. Full article
(This article belongs to the Section Control Systems)
Show Figures

Figure 1

21 pages, 2620 KB  
Article
AGTM Optimization Technique for Multi-Model Fractional-Order Controls of Spherical Tanks
by Sabavath Jayaram, Cristiano Maria Verrelli and Nithya Venkatesan
Mathematics 2025, 13(3), 351; https://doi.org/10.3390/math13030351 - 22 Jan 2025
Viewed by 1816
Abstract
Spherical tanks are widely utilized in process industries due to their substantial storage capacity. These industries’ inherent challenges necessitate using highly efficient controllers to manage various process parameters, especially given their nonlinear behavior. This paper proposes the Approximate Generalized Time Moments (AGTM) optimization [...] Read more.
Spherical tanks are widely utilized in process industries due to their substantial storage capacity. These industries’ inherent challenges necessitate using highly efficient controllers to manage various process parameters, especially given their nonlinear behavior. This paper proposes the Approximate Generalized Time Moments (AGTM) optimization technique for designing the parameters of multi-model fractional-order controllers for regulating the output (liquid level) of a real-time nonlinear spherical tank. System identification for different regions of the nonlinear process is here innovatively conducted using a black-box model, which is determined to be nonlinear and approximated as a First Order Plus Dead Time (FOPDT) system over each region. Both model identification and controller design are performed in simulation and real-time using a National Instruments NI DAQmx 6211 Data Acquisition (DAQ) card (NI SYSTEMS INDIA PVT. LTD., Bangalore Karnataka, India) and MATLAB/SIMULINK software (MATLAB R2021a). The performance of the overall algorithm is evaluated through simulation and experimental testing, with several setpoints and load changes, and is compared to the performance of other algorithms tuned within the same framework. While traditional approaches, such as integer-order controllers or linear approximations, often struggle to provide consistent performance across the operating range of spherical tanks, it is originally shown how the combination of multi-model fractional-order controller design—AGTM optimization method—GA for expansion point selection and index minimization has benefits in specifically controlling a (difficult to be controlled) nonlinear process. Full article
(This article belongs to the Special Issue Fractional Calculus and Mathematical Applications, 2nd Edition)
Show Figures

Figure 1

18 pages, 12884 KB  
Article
Data-Driven Analysis of High-Temperature Fluorocarbon Plasma for Semiconductor Processing
by Sung Kyu Jang, Woosung Lee, Ga In Choi, Jihun Kim, Minji Kang, Seongho Kim, Jong Hyun Choi, Seul-Gi Kim, Seoung-Ki Lee, Hyeong-U Kim and Hyeongkeun Kim
Sensors 2024, 24(22), 7307; https://doi.org/10.3390/s24227307 - 15 Nov 2024
Cited by 2 | Viewed by 2406
Abstract
The semiconductor industry increasingly relies on high aspect ratio etching facilitated by Amorphous Carbon Layer (ACL) masks for advanced 3D-NAND and DRAM technologies. However, carbon contamination in ACL deposition chambers necessitates effective fluorine-based plasma cleaning. This study employs a high-temperature inductively coupled plasma [...] Read more.
The semiconductor industry increasingly relies on high aspect ratio etching facilitated by Amorphous Carbon Layer (ACL) masks for advanced 3D-NAND and DRAM technologies. However, carbon contamination in ACL deposition chambers necessitates effective fluorine-based plasma cleaning. This study employs a high-temperature inductively coupled plasma (ICP) system and Time-of-Flight Mass Spectrometry (ToF-MS) to analyze gas species variations under different process conditions. We applied Principal Component Analysis (PCA) and Non-negative Matrix Factorization (NMF) to identify key gas species, and used the First-Order Plus Dead Time (FOPDT) model to quantify dynamic changes in gas signals. Our analysis revealed the formation of COF3 at high gas temperatures and plasma power levels, indicating the presence of additional reaction pathways under these conditions. This study provides a comprehensive understanding of high-temperature plasma interactions and suggests new strategies for optimizing ACL processes in semiconductor manufacturing. Full article
(This article belongs to the Section Physical Sensors)
Show Figures

Figure 1

14 pages, 5178 KB  
Article
Model Predictive Control with Powertrain Delay Consideration for Longitudinal Speed Tracking of Autonomous Electric Vehicles
by Junhee Lee and Kichun Jo
World Electr. Veh. J. 2024, 15(10), 433; https://doi.org/10.3390/wevj15100433 - 25 Sep 2024
Cited by 4 | Viewed by 3779
Abstract
Accurate longitudinal control is crucial in autonomous driving, but inherent delays and lag in electric vehicle powertrains hinder precise control. This paper presents a two-stage design for a longitudinal speed controller to enhance speed tracking performance in autonomous electric vehicles. The first stage [...] Read more.
Accurate longitudinal control is crucial in autonomous driving, but inherent delays and lag in electric vehicle powertrains hinder precise control. This paper presents a two-stage design for a longitudinal speed controller to enhance speed tracking performance in autonomous electric vehicles. The first stage involves designing a Model Predictive Control (MPC) system that accounts for powertrain signal delay and response lag using a First Order Plus Dead Time (FOPDT) model integrated with the vehicle’s longitudinal dynamics. The second stage employs lookup tables for the drive motor and brake system to convert control signals into actual vehicle inputs, ensuring precise throttle/brake pedal values for the desired driving torque. The proposed controller was validated using the CarMaker simulator and real vehicle tests with a Hyundai IONIQ5. In real vehicle tests, the proposed controller achieved a mean speed error of 0.54 km/h, outperforming conventional PID and standard MPC methods that do not account for powertrain delays. It also eliminated acceleration and deceleration overshoots and demonstrated real-time performance with an average computation time of 1.32 ms. Full article
Show Figures

Figure 1

20 pages, 3138 KB  
Article
Tuning a PI/PID Controller with Direct Synthesis to Obtain a Non-Oscillatory Response of Time-Delayed Systems
by Krzysztof S. Kula
Appl. Sci. 2024, 14(13), 5468; https://doi.org/10.3390/app14135468 - 24 Jun 2024
Cited by 7 | Viewed by 6383
Abstract
The article presents a method for tuning PI/PID regulators controlling inertial time-delayed plants. The method was formulated on the basis of direct synthesis using the FOPDT (First-Order Plus Dead-Time) and the SOPDT (Second-Order Plus Dead-Time) models to represent the dynamics of the object. [...] Read more.
The article presents a method for tuning PI/PID regulators controlling inertial time-delayed plants. The method was formulated on the basis of direct synthesis using the FOPDT (First-Order Plus Dead-Time) and the SOPDT (Second-Order Plus Dead-Time) models to represent the dynamics of the object. The performance objective is to achieve the non-oscillatory response of the system in the shortest time possible while set-point tracking. By employing a novel approach to the synthesis of the control systems with a time delay based on a root-locus analysis, the method eliminates errors resulting from the omission of high-order terms in the Taylor series expansion or the Padé approximation in simplified mathematical descriptions of the process. Consequently, the proposed method makes it possible to precisely determine controller settings to achieve the set control objective. The method was tested with a computer simulation, and the results obtained were compared with those of other methods designed to ensure specific system responses in the designed control systems. The comparisons confirm the proposed method’s ability to achieve the desired reference response and demonstrate its effectiveness in overcoming the limitation of permissible time delays present in other similar methods. Full article
Show Figures

Figure 1

19 pages, 6303 KB  
Article
Reaction Curve-Assisted Rule-Based PID Control Design for Islanded Microgrid
by T. K. Bashishtha, V. P. Singh, U. K. Yadav and T. Varshney
Energies 2024, 17(5), 1110; https://doi.org/10.3390/en17051110 - 26 Feb 2024
Cited by 36 | Viewed by 2585 | Correction
Abstract
In a renewable energy-based islanded microgrid system, frequency control is one of the major challenges. In general, frequency oscillations occur in islanded microgrids due to the stochastic nature of load and variable output power of distributed generating units (DGUs). In the presented research [...] Read more.
In a renewable energy-based islanded microgrid system, frequency control is one of the major challenges. In general, frequency oscillations occur in islanded microgrids due to the stochastic nature of load and variable output power of distributed generating units (DGUs). In the presented research proposal, frequency oscillations are suppressed by implementing the proportional integral derivative (PID) controller-based control design strategy for an islanded microgrid. The modeling of the islanded microgrid is firstly presented in the form of a linearized transfer function. Further, the derived transfer function is approximated into its equivalent first-order plus dead time (FOPDT) form. The approximated FOPDT transfer function is obtained by employing the reaction curve method to calculate the parameters of the FOPDT transfer function. Furthermore, the desired frequency regulation is achieved for the manifested FOPDT transfer function by incorporating PID control design. For PID controller tuning, different rule-based methods are implemented. Additionally, comparative analysis is also performed to ensure the applicability of the comparatively better rule-based tuning method. The Wang–Chan–Juang (WCJ) method is found effective over other rule-based tuning methods. The efficacy of the WCJ method is proved in terms of transient response and frequency deviation. The tabulated data of tuning parameters, time domain specifications, and error indices along with responses are provided in support of the presented control strategy. Full article
Show Figures

Figure 1

22 pages, 8756 KB  
Article
Frequency Domain Specifications Based Robust Decentralized PI/PID Control Algorithm for Benchmark Variable-Area Coupled Tank Systems
by Achu Govind K.R. and Subhasish Mahapatra
Sensors 2022, 22(23), 9165; https://doi.org/10.3390/s22239165 - 25 Nov 2022
Cited by 26 | Viewed by 2892
Abstract
A decentralized PI/PID controller based on the frequency domain analysis for two input two output (TITO) coupled tank systems is exploited in this paper. The fundamentals of the gain margin and phase margin are used to design the proposed PI/PID controller. The basic [...] Read more.
A decentralized PI/PID controller based on the frequency domain analysis for two input two output (TITO) coupled tank systems is exploited in this paper. The fundamentals of the gain margin and phase margin are used to design the proposed PI/PID controller. The basic objective is to keep the tank at the predetermined level. To satisfy the design specifications, the control algorithm is implemented for decoupled subsystems by employing a decoupler. First-order plus dead time (FOPDT) models are obtained for the decoupled subsystems using the model-reduction technique. In addition, the control law is realized by considering the frequency domain analysis. Further, the robustness of the controller is verified by considering multiplicative input and output uncertainties. The proposed method is briefly contrasted with existing techniques. It is envisaged that the proposed control algorithm exhibits better servo and regulatory responses compared to the existing techniques. Full article
(This article belongs to the Special Issue Intelligent Industrial Process Control Systems)
Show Figures

Figure 1

17 pages, 19831 KB  
Article
Methanol–Water Purification Control Using Multi-Loop PI Controllers Based on Linear Set Point and Disturbance Models
by Abdul Wahid and Monica Rikimata
ChemEngineering 2021, 5(4), 70; https://doi.org/10.3390/chemengineering5040070 - 20 Oct 2021
Cited by 1 | Viewed by 4980
Abstract
Dimethyl ether (DME), derived from methanol, has been issued as an alternative to diesel and LPG. This study will continue the research of an optimized process control design for DME purification plants, specifically the methanol purification process. This way, water can be separated, [...] Read more.
Dimethyl ether (DME), derived from methanol, has been issued as an alternative to diesel and LPG. This study will continue the research of an optimized process control design for DME purification plants, specifically the methanol purification process. This way, water can be separated, and the main product, methanol, can be recycled for DME synthesis. A setpoint-based linear model of a methanol–water purification system has been developed with four controlled variables (CV) with objectives to; maintain a separated liquid water stream in the bottom stage (Stage 30) of the distillation column for methanol–water separation at 11.22%, keep the purified liquid methanol at a condenser at 58.81 °C and 49.96% of level, and the last CV is the cooler in the distillate stream, to keep the purified methanol’s top product at 40.75 °C. To complete the model, a first order plus dead time (FOPDT) disturbance model is created against the inlet temperature and flow rate of the feed, the major cause of disturbances in the industry. Using a traditional proportional integral controller connected to each controlled variable, a multi-loop control system is formed with optimization and compared to the disturbance rejection of multivariable model predictive control (MMPC). The final improvement against the feed temperature and flow for CV1, CV2, CV3, and CV4 is shown by, respectively, Integral Absolute Error (IAE) values of 79.49%, 99.90%, 100%, and 99.99% and Integral Square Error (ISE) values of 97.1%, 100%, 99.99%, and 100%. Full article
Show Figures

Graphical abstract

19 pages, 3928 KB  
Article
Event-Based Implementation of Fractional Order IMC Controllers for Simple FOPDT Processes
by Cristina I. Muresan, Isabela R. Birs and Eva H. Dulf
Mathematics 2020, 8(8), 1378; https://doi.org/10.3390/math8081378 - 17 Aug 2020
Cited by 22 | Viewed by 3756
Abstract
Fractional order calculus has been used to generalize various types of controllers, including internal model controllers (IMC). The focus of this manuscript is towards fractional order IMCs for first order plus dead-time (FOPDT) processes, including delay and lag dominant ones. The design is [...] Read more.
Fractional order calculus has been used to generalize various types of controllers, including internal model controllers (IMC). The focus of this manuscript is towards fractional order IMCs for first order plus dead-time (FOPDT) processes, including delay and lag dominant ones. The design is novel at it is based on a new approximation approach, the non-rational transfer function method. This allows for a more accurate approximation of the process dead-time and ensures an improved closed loop response. The main problem with fractional order controllers is concerned with their implementation as higher order transfer functions. In cases where central processing unit CPU, bandwidth allocation, and energy usage are limited, resources need to be efficiently managed. This can be achieved using an event-based implementation. The novelty of this paper resides in such an event-based algorithm for fractional order IMC (FO-IMC) controllers. Numerical results are provided for lag and delay dominant FOPDT processes. For comparison purposes, an integer order PI controller, tuned according to the same performance specifications as the FO-IMC, is also implemented as an event-based control strategy. The numerical results show that the proposed event-based implementation for the FO-IMC controller is suitable and provides for a smaller computational effort, thus being more suitable in various industrial applications. Full article
(This article belongs to the Special Issue Applications of Mathematical Models in Engineering)
Show Figures

Figure 1

17 pages, 1923 KB  
Article
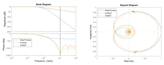
Generalization of the FOPDT Model for Identification and Control Purposes
by Cristina I. Muresan and Clara M. Ionescu
Processes 2020, 8(6), 682; https://doi.org/10.3390/pr8060682 - 10 Jun 2020
Cited by 41 | Viewed by 13206
Abstract
This paper proposes a theoretical framework for generalization of the well established first order plus dead time (FOPDT) model for linear systems. The FOPDT model has been broadly used in practice to capture essential dynamic response of real life processes for the purpose [...] Read more.
This paper proposes a theoretical framework for generalization of the well established first order plus dead time (FOPDT) model for linear systems. The FOPDT model has been broadly used in practice to capture essential dynamic response of real life processes for the purpose of control design systems. Recently, the model has been revisited towards a generalization of its orders, i.e., non-integer Laplace order and fractional order delay. This paper investigates the stability margins as they vary with each generalization step. The relevance of this generalization has great implications in both the identification of dynamic processes as well as in the controller parameter design of dynamic feedback closed loops. The discussion section addresses in detail each of this aspect and points the reader towards the potential unlocked by this contribution. Full article
(This article belongs to the Section Process Control and Monitoring)
Show Figures

Figure 1

19 pages, 853 KB  
Article
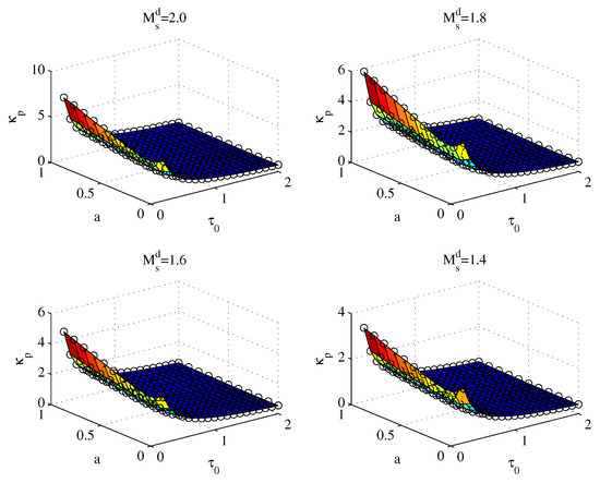
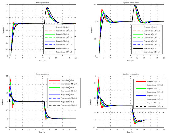
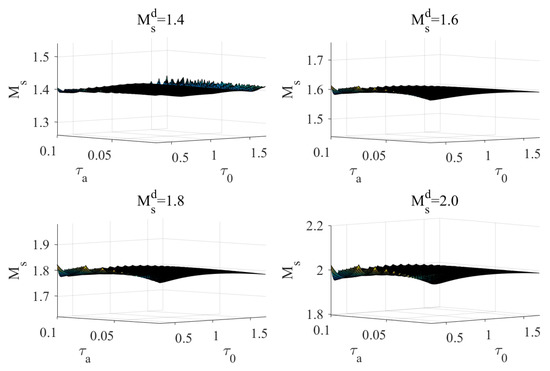
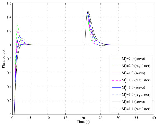
Discrete-Time First-Order Plus Dead-Time Model-Reference Trade-off PID Control Design
by Ryo Kurokawa, Takao Sato, Ramon Vilanova and Yasuo Konishi
Appl. Sci. 2019, 9(16), 3220; https://doi.org/10.3390/app9163220 - 7 Aug 2019
Cited by 14 | Viewed by 4869
Abstract
The present study proposes a novel proportional-integral-derivative (PID) control design method in discrete time. In the proposed method, a PID controller is designed for first-order plus dead-time (FOPDT) systems so that the prescribed robust stability is accomplished. Furthermore, based on the control performance, [...] Read more.
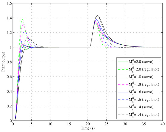
The present study proposes a novel proportional-integral-derivative (PID) control design method in discrete time. In the proposed method, a PID controller is designed for first-order plus dead-time (FOPDT) systems so that the prescribed robust stability is accomplished. Furthermore, based on the control performance, the relationship between the servo performance and the regulator performance is a trade-off relationship, and hence, these items are not simultaneously optimized. Therefore, the proposed method provides an optimal design method of the PID parameters for optimizing the reference tracking and disturbance rejection performances, respectively. Even though such a trade-off design method is being actively researched for continuous time, few studies have examined such a method for discrete time. In conventional discrete time methods, the robust stability is not directly prescribed or available systems are restricted to systems for which the dead-time in the continuous time model is an integer multiple of the sampling interval. On the other hand, in the proposed method, even when a discrete time zero is included in the controlled plant, the optimal PID parameters are obtained. In the present study, as well as the other plant parameters, a zero in the FOPDT system is newly normalized, and then, a universal design method is obtained for the FOPDT system with the zero. Finally, the effectiveness of the proposed method is demonstrated through numerical examples. Full article
(This article belongs to the Section Electrical, Electronics and Communications Engineering)
Show Figures

Figure 1

19 pages, 1870 KB  
Article
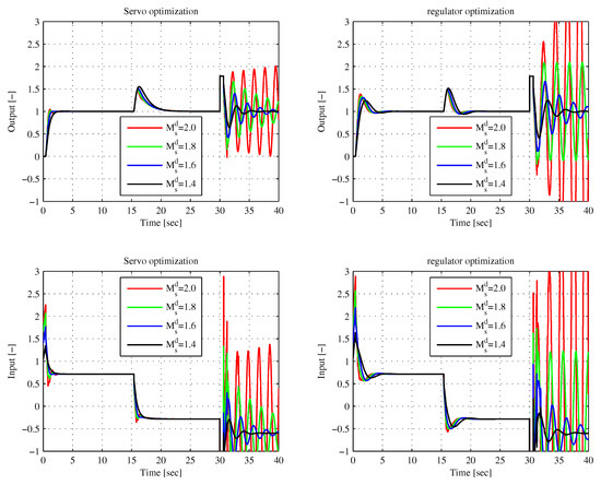
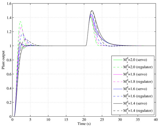
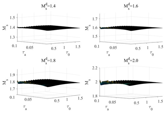
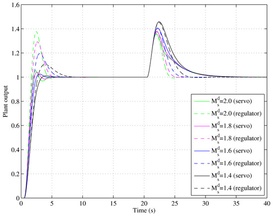
Optimal Robust PID Control for First- and Second-Order Plus Dead-Time Processes
by Takao Sato, Itaru Hayashi, Yohei Horibe, Ramon Vilanova and Yasuo Konishi
Appl. Sci. 2019, 9(9), 1934; https://doi.org/10.3390/app9091934 - 10 May 2019
Cited by 19 | Viewed by 5359
Abstract
The present study proposes a new design method for a proportional-integral-derivative (PID) control system for first-order plus dead-time (FOPDT) and over-damped second-order plus dead-time (SOPDT) systems. What is presented is an optimal PID tuning constrained to robust stability. The optimal tuning is defined [...] Read more.
The present study proposes a new design method for a proportional-integral-derivative (PID) control system for first-order plus dead-time (FOPDT) and over-damped second-order plus dead-time (SOPDT) systems. What is presented is an optimal PID tuning constrained to robust stability. The optimal tuning is defined for each one of the two operation modes the control system may operate in: servo (reference tracking) and regulation (disturbance rejection). The optimization problem is stated for a normalized second-order plant that unifies FOPDT and SOPDT process models. Different robustness levels are considered and for each one of them, the set of optimal controller parameters is obtained. In a second step, suitable formulas are found that provide continuous values for the controller parameters. Finally, the effectiveness of the proposed method is confirmed through numerical examples. Full article
(This article belongs to the Section Electrical, Electronics and Communications Engineering)
Show Figures

Figure 1

Back to TopTop