An Overview of Metal(oid) Pollution, Sources, and Probabilistic Health Risk Evaluations Based on a Monte Carlo Simulation of Surface River Water in a Developing Country
Abstract
1. Introduction
2. Materials and Methods
2.1. Description of the Study Area and Data Collection
2.2. Toxic Metal Pollution Assessment in Water
2.3. Positive Matrix Factorization (PMF) Model
2.4. Health Risk Calculations
2.5. Monte Carlo Simulation and Uncertainty Analysis
2.6. Statistical Analysis
3. Results and Discussion
3.1. Metal(oid) Concentration in Bangladeshi River Water
3.2. Spatial Distribution of Metal(oid)s in Surface Water of Bangladeshi Rivers
3.3. Ecological Hazards Due to Metal(oid) Contamination in River Water
3.4. Multivariate Statistical Analysis
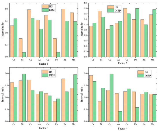
3.5. PMF Model-Based Source Identification with Uncertainty
3.6. Health Hazards Assessment
3.6.1. Average Daily Dose (ADD) and Non-Carcinogenic Risks (THQ and HI) of Metal(oid)s
3.6.2. Carcinogenic Risks Due to Metal Contamination in Water
3.6.3. Sensitivity Analysis
4. Treatment and Prevention of Metal(oid) Contamination in the River System
5. Limitation of the Study
6. Conclusions
- This study analyzed toxic metal(oid) concentrations in the surface water of Bangladeshi rivers using data from the scientific literature, focusing on ecological and health risks to infants and adults, and revealed that the average concentrations of Pb, Cd, As, Ni, and Cr exceeded WHO and Bangladesh Water Standards (BWS) guidelines.
- Pollution indices, such as the Heavy Metal Pollution Index (HPI), Heavy Metal Evaluation Index (HEI), Metal Index (MI), and Nemerow Pollution Index (NPI), indicated moderate-to-high contamination levels, emphasizing the urgent need to reduce these pollutants for making river water suitable for consumption.
- Statistical analyses, including PCA, Spearman correlation, and Cluster Analysis, revealed that the rise in toxic metal concentrations was primarily due to anthropogenic sources (industrial activities, agricultural practices, untreated wastewater discharge) and natural sources (rock weathering and lithogenic factors).
- The PMF model showed that Ni (83.80%), Cr (68.70%), and Cu (69.50%) were predominantly released from industrial sources, Cd (85.70%) was linked to mixed sources, and Mn (88.40%) originated from agricultural and natural sources, indicating a multifaceted origin of contamination.
- The non-carcinogenic risk (THQ) results revealed that As (164.80) posed the highest risk for adults, while Cd (28.71) posed the highest risk for children, demonstrating the significant health hazards associated with metal(oid) pollution.
- The carcinogenic risk assessment indicated that Cd (227.46) posed the highest cancer risk for adults, and Cr (26.52) posed the highest cancer risk for children, underscoring the severe long-term health impacts of these toxic metal(oid)s.
- Monte Carlo simulations (5th percentile) revealed carcinogenic risks for adults (Cr: 26.51, Ni: 37.13, As: 38.76, Cd: 117.16, Pb: 0.13) and children (Cr: 15.83, Ni: 3.06, As: 1.28, Cd: 1.41, Pb: 0.29), providing insights into risk exposure ranges for both populations.
- The findings stress the importance of the ongoing monitoring and effective regulation of water bodies in Bangladesh, as well as the development of national freshwater-management strategies to mitigate both the ecological and health risks associated with natural and human activities.
Supplementary Materials
Author Contributions
Funding
Data Availability Statement
Acknowledgments
Conflicts of Interest
Abbreviations
References
- Sahoo, M.M.; Swain, J.B. Modified Heavy Metal Pollution Index (m-HPI) for Surface Water Quality in River Basins, India. Environ. Sci. Pollut. Res. 2020, 27, 15350–15364. [Google Scholar] [CrossRef]
- Choudhury, T.R.; Acter, T.; Uddin, N.; Kamal, M.; Chowdhury, A.M.S.; Rahman, M.S. Heavy Metals Contamination of River Water and Sediments in the Mangrove Forest Ecosystems in Bangladesh: A Consequence of Oil Spill Incident. Environ. Nanotechnol. Monit. Manag. 2021, 16, 100484. [Google Scholar] [CrossRef]
- Hoang, H.G.; Lin, C.; Tran, H.T.; Chiang, C.F.; Bui, X.T.; Cheruiyot, N.K.; Shern, C.C.; Lee, C.W. Heavy Metal Contamination Trends in Surface Water and Sediments of a River in a Highly-Industrialized Region. Environ. Technol. Innov. 2020, 20, 101043. [Google Scholar] [CrossRef]
- Belhouchette, H.; Boughariou, E.; Larayedh, O.; Bouri, S. Groundwater Quality Evaluation and Human Health Risks Assessment Using the WQI, NPI and HQnitrate Models: Case of the Sfax Intermediate Aquifer, Sahel Tunisia. Environ. Geochem. Health 2021, 44, 2629–2647. [Google Scholar] [CrossRef] [PubMed]
- Tokatlı, C.; Varol, M. Impact of the COVID-19 Lockdown Period on Surface Water Quality in the Meriç-Ergene River Basin, Northwest Turkey. Environ. Res. 2021, 197, 111051. [Google Scholar] [CrossRef] [PubMed]
- U.S. Environmental Protection Agency. USEPA Supplemental Guidance for Developing Soil Screening Levels for Superfund Sites; Office of Soild Waste and Emergency Response [OSWER9355.4-24]: Washington, DC, USA, 2002.
- USEPA Risk Based Screening Table. Composite Table: Summary Tab 0615. Based Screening Table Generic Tables. 2015. Available online: https://www2.Epa.Gov/Risk/Risk (accessed on 1 June 2015).
- Botle, A.; Salgaonkar, S.; Tiwari, R.; Ambadekar, S.; Barabde, G.R. Brief Status of Contamination in Surface Water of Rivers of India by Heavy Metals: A Review with Pollution Indices and Health Risk Assessment. Environ. Geochem. Health 2023, 45, 2779–2801. [Google Scholar] [CrossRef]
- Gao, Q.; Li, Y.; Cheng, Q.; Yu, M.; Hu, B.; Wang, Z.; Yu, Z. Analysis and Assessment of the Nutrients, Biochemical Indexes and Heavy Metals in the Three Gorges Reservoir, China, from 2008 to 2013. Water Res. 2016, 92, 262–274. [Google Scholar] [CrossRef] [PubMed]
- Li, S.; Xu, Z.; Cheng, X.; Zhang, Q. Dissolved Trace Elements and Heavy Metals in the Danjiangkou Reservoir, China. Environ. Geol. 2008, 55, 977–983. [Google Scholar] [CrossRef]
- Liu, R.; Jiang, S.; Ou, J.; Kouadio, K.L.; Xiong, B. Multifaceted Anomaly Detection Framework for Leachate Monitoring in Landfills. J. Environ. Manag. 2024, 368, 122130. [Google Scholar] [CrossRef] [PubMed]
- Carafa, R.; Faggiano, L.; Real, M.; Munné, A.; Ginebreda, A.; Guasch, H.; Flo, M.; Tirapu, L.; von der Ohe, P.C. Water Toxicity Assessment and Spatial Pollution Patterns Identification in a Mediterranean River Basin District. Tools for Water Management and Risk Analysis. Sci. Total Environ. 2011, 409, 4269–4279. [Google Scholar] [CrossRef]
- Pal, D.; Maiti, S.K. Heavy Metal Speciation, Leaching and Toxicity Status of a Tropical Rain-Fed River Damodar, India. Environ. Geochem. Health 2018, 40, 2303–2324. [Google Scholar] [CrossRef]
- Lan, T.; Hu, Y.; Cheng, L.; Chen, L.; Guan, X.; Yang, Y.; Pan, J. Floods and Diarrheal Morbidity: Evidence on the Relationship, Effect Modifiers, and Attributable Risk from Sichuan Province, China. J. Glob. Health 2022, 12, 11007. [Google Scholar] [CrossRef]
- Su, L.; Wu, S.; Zhu, W.; Liang, B.; Zhang, X.; Yang, J. Enhanced Geopolymerization of MSWI Fly Ash through Combined Activator Pretreatment: A Sustainable Approach to Heavy Metal Encapsulation and Resource Recovery. J. Environ. Manag. 2024, 370, 122870. [Google Scholar] [CrossRef] [PubMed]
- Alves, R.I.S.; Sampaio, C.F.; Nadal, M.; Schuhmacher, M.; Domingo, J.L.; Segura-Muñoz, S.I. Metal Concentrations in Surface Water and Sediments from Pardo River, Brazil: Human Health Risks. Environ. Res. 2014, 133, 149–155. [Google Scholar] [CrossRef] [PubMed]
- Qu, L.; Huang, H.; Xia, F.; Liu, Y.; Dahlgren, R.A.; Zhang, M.; Mei, K. Risk Analysis of Heavy Metal Concentration in Surface Waters across the Rural-Urban Interface of the Wen-Rui Tang River, China. Environ. Pollut. 2018, 237, 639–649. [Google Scholar] [CrossRef]
- Zhang, W.; Zhu, G.; Zhao, L.; Wang, L.; Qiu, D.; Ye, L.; Lin, X. Quantifying the Changes in Solute Transport Caused by Human Influence on River Connectivity in Inland River Basins. Catena 2024, 246, 108360. [Google Scholar] [CrossRef]
- Yi, Y.; Yang, Z.; Zhang, S. Ecological Risk Assessment of Heavy Metals in Sediment and Human Health Risk Assessment of Heavy Metals in Fishes in the Middle and Lower Reaches of the Yangtze River Basin. Environ. Pollut. 2011, 159, 2575–2585. [Google Scholar] [CrossRef] [PubMed]
- Gupta, S.K.; Chabukdhara, M.; Kumar, P.; Singh, J.; Bux, F. Evaluation of Ecological Risk of Metal Contamination in River Gomti, India: A Biomonitoring Approach. Ecotoxicol. Environ. Saf. 2014, 110, 49–55. [Google Scholar] [CrossRef]
- Meng, L.; Liang, L.; Shi, Y.; Yin, H.; Li, L.; Xiao, J.; Hou, J. Biofilms in Plastisphere from Freshwater Wetlands: Biofilm Formation, Bacterial Community Assembly, and Biogeochemical Cycles. J. Hazard. Mater. 2024, 476, 134930. [Google Scholar] [CrossRef] [PubMed]
- Jin, L.; Li, L.; Xu, F.; Zhang, J. The Synthesis and Application of L-Cysteine Graphene Quantum Dots for Quantitative Analysis of Nitrite Content in Water. Phys. Scr. 2024, 99, 065124. [Google Scholar] [CrossRef]
- Eid, M.H.; Mikita, V.; Eissa, M.; Ramadan, H.S.; Mohamed, E.A.; Abukhadra, M.R.; El-Sherbeeny, A.M.; Bellucci, S.; Kovács, A.; Szűcs, P. Monte Carlo simulation and PMF model for assessing human health risks associated with heavy metals in groundwater: A case study of the Nubian aquifer, Siwa depression, Egypt. Front. Earth Sci. 2024, 12, 1431635. [Google Scholar] [CrossRef]
- Xu, J.; Liu, R.; Ni, M.; Zhang, J.; Ji, Q.; Xiao, Z. Seasonal Variations of Water Quality Response to Land Use Metrics at Multi-Spatial Scales in the Yangtze River Basin. Environ. Sci. Pollut. Res. 2021, 28, 37172–37181. [Google Scholar] [CrossRef]
- Hoang, H.G.; Chiang, C.F.; Lin, C.; Wu, C.Y.; Lee, C.W.; Cheruiyot, N.K.; Tran, H.T.; Bui, X.T. Human Health Risk Simulation and Assessment of Heavy Metal Contamination in a River Affected by Industrial Activities. Environ. Pollut. 2021, 285, 117414. [Google Scholar] [CrossRef] [PubMed]
- Lipy, E.P.; Hakim, M.; Mohanta, L.C.; Islam, D.; Lyzu, C.; Roy, D.C.; Jahan, I.; Akhter, S.; Raknuzzaman, M.; Sayed, M.A. Assessment of Heavy Metal Concentration in Water, Sediment and Common Fish Species of Dhaleshwari River in Bangladesh and Their Health Implications. Biol. Trace Elem. Res. 2021, 199, 4295–4307. [Google Scholar] [CrossRef] [PubMed]
- Ustaoğlu, F.; Taş, B.; Tepe, Y.; Topaldemir, H. Comprehensive Assessment of Water Quality and Associated Health Risk by Using Physicochemical Quality Indices and Multivariate Analysis in Terme River, Turkey. Environ. Sci. Pollut. Res. 2021, 28, 62736–62754. [Google Scholar] [CrossRef] [PubMed]
- Agwu, E.J.; Odanwu, S.E.; Ezewudo, B.I.; Odo, G.E.; Nzei, J.I.; Iheanacho, S.C.; Islam, M.S. Assessment of Water Quality Status Using Heavy Metal Pollution Indices: A Case from Eha-Amufu Catchment Area of Ebonyi River, Nigeria. Acta Ecol. Sin. 2023, 43, 989–1000. [Google Scholar] [CrossRef]
- Tokatli, C. Health Risk Assessment of Toxic Metals in Surface and Groundwater Resources of a Significant Ag-riculture and Industry Zone in Turkey. Environ. Earth Sci. 2021, 80, 156. [Google Scholar] [CrossRef]
- Dai, Z.; Wolfsberg, A.; Lu, Z.; Ritzi, R. Representing Aquifer Architecture in Macrodispersivity Models with an Analytical Solution of the Transition Probability Matrix. Geophys. Res. Lett. 2007, 34, L20406. [Google Scholar] [CrossRef]
- Zhan, C.; Dai, Z.; Yin, S.; Carroll, K.C.; Soltanian, M.R. Conceptualizing Future Groundwater Models through a Ternary Framework of Multisource Data, Human Expertise, and Machine Intelligence. Water Res. 2024, 257, 121679. [Google Scholar] [CrossRef]
- Ren, C.; Zhang, Q.; Wang, H.; Wang, Y. Characteristics and Source Apportionment of Polycyclic Aromatic Hy-drocarbons of Groundwater in Hutuo River Alluvial-Pluvial Fan, China, Based on PMF Model. Environ. Sci. Pollut. Res. 2021, 28, 9647–9656. [Google Scholar] [CrossRef]
- Gholizadeh, M.H.; Melesse, A.M.; Reddi, L. Water Quality Assessment and Apportionment of Pollution Sources Using APCS-MLR and PMF Receptor Modeling Techniques in Three Major Rivers of South Florida. Sci. Total Environ. 2016, 566, 1552–1567. [Google Scholar] [CrossRef] [PubMed]
- Bhuyan, M.; Bakar, M.A. Seasonal Variation of Heavy Metals in Water and Sediments in the Halda River, Chittagong, Bangladesh. Environ. Sci. Pollut. Res. 2017, 24, 27587–27600. [Google Scholar] [CrossRef]
- Cai, Z.; Sun, Y.; Deng, Y.; Zheng, X.; Sun, S.; Romantschuk, M.; Sinkkonen, A. In Situ Electrokinetic (EK) Reme-diation of the Total and Plant Available Cadmium (Cd) in Paddy Agricultural Soil Using Low Voltage Gradients at Pilot and Full Scales. Sci. Total Environ. 2021, 785, 147277. [Google Scholar] [CrossRef] [PubMed]
- Maity, S.; Bose, S.; Dokania, P.; Lohar, S.; Sarkar, A. A comprehensive review of arsenic contamination in India with an emphasis on its detection through biosensors and bioremediation from the aqueous system. Environ. Qual. Manag. 2024, 33, 427–457. [Google Scholar] [CrossRef]
- Pan, X.; Shang-Guan, P.; Li, S.; Zhang, C.; Lou, J.; Guo, L.; Lu, Y. The Influence of Carbon Dioxide on Fermentation Products, Microbial Community, and Functional Gene in Food Waste Fermentation with Uncontrolled pH. Environ. Res. 2025, 267, 120645. [Google Scholar] [CrossRef] [PubMed]
- Mohamed, A.E.-S.; Heba, M.E.E.-D.; Ahmed, R.E.; Mahmoud, S.K.; Ghada, Y.Z. Spatial Distribution and Risk Assessment of Heavy Metals in the Coastal Waters of the Gulf of Suez, Red Sea, Egypt. Mar. Pollut. Bull. 2023, 193, 115122. [Google Scholar] [CrossRef]
- Vasseghian, Y.; Almomani, F.; Dragoi, E.-N. Health Risk Assessment Induced by Trace Toxic Metals in Tap Drinking Water: Condorcet Principle Development. Chemosphere 2022, 286, 131821. [Google Scholar] [CrossRef] [PubMed]
- Islam, A.R.M.T.; Islam, H.M.T.; Mia, M.U.; Khan, R.; Habib, M.A.; Bodrud-Doza, M.; Siddique, M.A.B.; Chu, R. Co-Distribution, Possible Origins, Status and Potential Health Risk of Trace Elements in Surface Water Sources from Six Major River Basins, Bangladesh. Chemosphere 2020, 249, 126180. [Google Scholar] [CrossRef] [PubMed]
- Li, N.; Cheng, C.; Mou, H.; Deng, M.; Tang, D.; Yang, D. Application of eco-compensation to control transboundary water pollution in water diversion projects: The case of the Heihe River transfer project in China. Ecol. Indic. 2024, 158, 111326. [Google Scholar] [CrossRef]
- Agrahari, S.; Kumar, S. Emerging and futuristic phyto-technologies for sustainable wastewater treatment with resource recovery and economical aspects. J. Water Process Eng. 2024, 65, 105753. [Google Scholar] [CrossRef]
- Beljin, J.; Đukanović, N.; Anojčić, J.; Simetić, T.; Apostolović, T.; Mutić, S.; Maletić, S. Biochar in the Remediation of Organic Pollutants in Water: A Review of Polycyclic Aromatic Hydrocarbon and Pesticide Removal. Nanomaterials 2024, 15, 26. [Google Scholar] [CrossRef]
- Nahar, K.; Sunny, S.A. Co-benefits of Eichhornia Crassipes (water hyacinth) as sustainable biomass for biofuel production and aquatic ecosystem phytoremediation. Fuels 2024, 5, 317–333. [Google Scholar] [CrossRef]
- Jaffari, Z.H.; Hong, J.; Park, K.Y. A systematic review of innovations in tannery solid waste treatment: A viable solution for the circular economy. Sci. Total Environ. 2024, 948, 174848. [Google Scholar] [CrossRef] [PubMed]











| Indexes | Equations | Classification | Contamination Degree | References |
|---|---|---|---|---|
| Heavy metal pollution index (HPI) | where Wi and Qi are a specific weight and quality rating of the ith metal, respectively. Mi, Si, and Ii are the measured, permissible (Cr: 0.05 mg/L, Ni: 0.07 mg/L, Cu: 1.5 mg/L, As: 0.01 mg/L, Cd: 0.003 mg/L, Zn: 15 mg/L, Hg: 0.006 mg/L and Pb: 0.1 mg/L), and desirable (Cr: 0.01 mg/L, Ni: 0.02 mg/L, Cu: 0.05 mg/L, As: 0.002 mg/L, Cd: 0.001 mg/L, Zn: 5 mg/L, Hg: 0.0005 mg/L and Pb: 0.01 mg/L) concentrations of the ith metal, respectively. | HPI < 15 | Low pollution | [1] |
| 15 < HPI < 30 | Medium pollution | |||
| HPI > 30 | High pollution | |||
| Contamination factor (CF) | where is the heavy metal concentration in surface water; is the reference values (As: 0.05 mg L−1; Cd: 0.005 mg L−1, Cr: 0.05 mg L−1, Cu: 0.03 mg L−1, Pb: 0.01 mg L−1, Ni: 0.1 mg L−1, Zn: 0.5 mg L−1, Mn: 0.04 mgL−1) | CF < 1 | Low degree | [2] |
| 1 ≤ CF < 3 | Moderate degree | |||
| 3 ≤ CF < 6 | Considerable degree | |||
| CF ≥ 6 | Very high degree | |||
| Metal index (MI) | MI = where is the contamination factor of heavy metal i; n is the number of heavy metals | MI < 0.3 | Very pure | [3] |
| 0.3 ≤ MI < 1 | Pure | |||
| 1 ≤ MI < 2 | Slightly affected | |||
| 2 ≤ MI < 4 | Moderately affected | |||
| 4 ≤ MI < 6 | Strongly affected | |||
| MI ≥ 6 | Seriously affected | |||
| Nemerrow pollution index (NPI) | where Ci and Si are the measured and standard concentrations of the chemical parameters, respectively, and n is the number of the chemical parameters. | NPI < 0.5 | No pollution | [4] |
| 0.5 < NPI < 0.7 | Clean | |||
| 0.7 < NPI < 1 | Very low pollution | |||
| 1 < NPI < 2 | Low pollution | |||
| 2 < NPI < 3 | Medium pollution | |||
| NPI > 3 | High pollution | |||
| Heavy metal evaluation index (HEI) | where Mi is the measured concentration of metal i and MAC is the maximum allowable concentration of the relevant metal. The maximum allowable concentrations for Cr, Ni, Cu, As, Cd, Mn, Zn, and Pb are 0.05, 0.02, 0.05, 0.04, 0.005, 0.4, 5, and 0.05 mg/L, respectively | HEI < 10 | Low pollution | [5] |
| 10 < HEI < 20 | Medium pollution | |||
| HEI > 20 | High pollution |
| Cr | Ni | Cu | As | Cd | Pb | Zn | Mn | Reference | |
|---|---|---|---|---|---|---|---|---|---|
| Mean | 232.49 | 158.11 | 195.46 | 225.16 | 136.81 | 101.35 | 378.18 | 350.72 | Present study |
| Minimum | 3.00 | 4.12 | 4.20 | 1.25 | 0.44 | 4.80 | 6.56 | 18.82 | |
| Maximum | 2970.00 | 960.00 | 1050.00 | 2970.00 | 1705.00 | 1170.00 | 3320.00 | 1530.00 | |
| Standard deviation | 635.04 | 243.82 | 345.54 | 720.93 | 401.37 | 238.32 | 801.86 | 474.41 | |
| Variance | 469.50 | 549.31 | 940.42 | 743.74 | 1095.44 | 798.55 | 983.94 | 568.42 | |
| Skewness | 4.04 | 2.40 | 2.04 | 3.89 | 3.47 | 4.28 | 3.23 | 1.98 | |
| Kurtosis | 17.28 | 6.55 | 2.81 | 15.50 | 11.88 | 19.45 | 10.93 | 3.00 | |
| Freshwater quality criteria for protection of aquatic life | |||||||||
| USEPA (CMC, acute) | 16 | 470 | - | 340 | 1.8 | 65 | 120 | - | [6] |
| USEPA (CCC, chronic) | 11 | 52 | - | 150 | 0.72 | 2.5 | 120 | [7] | |
| Literature | |||||||||
| Indian rivers | 941.79 | 408.82 | 1020.60 | 63.97 | 354.84 | 450.24 | 2026.04 | 611.81 | [8] |
| Three Gorges Reservoir, China | - | - | 0.00894 | 0.00233 | 0.00102 | 0.01121 | 0.01304 | - | [9] |
| Danjiangkou Reservoir, China | 0.0063 | - | 0.0133 | 0.0111 | 0.0117 | 0.0106 | 0.00202 | 0.00569 | [10] |
| Catalan River, Spain | 2.4 | 2.7 | 1.3 | 2.9 | 1.2 | 2.2 | 1.9 | - | [12] |
| Damodar River, India | 16 | 52 | 18 | - | 9 | 10 | 89 | 33 | [13] |
| Houjing River, Taiwan | 10.5 | 30.9 | 105.4 | 3.2 | 1.5 | 51.3 | 32.5 | - | [14] |
| Pardo River, Brazil | 1.88 | 9.75 | 3.28 | 2.14 | 0.05 | 1.8 | 13.3 | - | [16] |
| Wen-Rui Tang River, China | 5.32 | - | 20.9 | 0.98 | 4.23 | 72.1 | - | [17] | |
| Yangtze River, China | 1.3 | - | 2.8 | 0.97 | 0.4 | 2 | 31 | - | [19] |
| Gomti River, India | - | 40 | 20 | - | 100 | 20 | 70 | - | [20] |
| Metals | Category | S/N | Min | 25th | 50th | 75th | Max | |
|---|---|---|---|---|---|---|---|---|
| Cr | Strong | 8.19 | 3.00 | 8.65 | 36.40 | 88.50 | 2970.00 | |
| Ni | Strong | 8.22 | 4.12 | 9.58 | 33.00 | 200.47 | 960.00 | |
| Cu | Strong | 8.72 | 4.20 | 7.20 | 53.18 | 107.50 | 1050.00 | |
| As | Strong | 8.13 | 1.25 | 4.63 | 10.94 | 24.00 | 2970.00 | |
| Cd | Strong | 9.00 | 0.44 | 1.48 | 11.10 | 37.68 | 1705.00 | |
| Pb | Strong | 8.45 | 4.80 | 13.65 | 23.59 | 101.93 | 1170.00 | |
| Zn | Strong | 8.42 | 6.56 | 41.09 | 74.80 | 327.00 | 3320.00 | |
| Mn | Strong | 8.70 | 18.82 | 71.05 | 179.70 | 330.75 | 1530.00 | |
| Species | Category | R2 | Intercept | Intercept SE | Slope | Slope SE | SE | |
| Cr | Strong | 0.65 | 33.92 | 26.59 | 0.26 | 0.04 | 122.37 | |
| Ni | Strong | 0.79 | 10.17 | 15.61 | 0.55 | 0.06 | 64.36 | |
| Cu | Strong | 0.61 | 14.17 | 30.16 | 0.51 | 0.08 | 130.35 | |
| As | Strong | 0.79 | 27.71 | 23.23 | 0.13 | 0.03 | 109.74 | |
| Cd | Strong | 0.97 | 6.68 | 13.75 | 1.08 | 0.04 | 63.72 | |
| Pb | Strong | 0.63 | 28.10 | 14.75 | 0.36 | 0.05 | 66.15 | |
| Zn | Strong | 0.71 | 75.72 | 25.80 | 0.05 | 0.03 | 113.29 | |
| Mn | Strong | 0.67 | 46.15 | 52.75 | 0.66 | 0.10 | 202.10 | |
| Factor Profile (μg/L) | Factor contributions (%) | |||||||
| Factor 1 | Factor 2 | Factor 3 | Factor 4 | Factor 1 | Factor 2 | Factor 3 | Factor 4 | |
| Cr | 8.98 | 64.21 | 20.24 | 0.00 | 9.60 | 68.70 | 21.70 | 0.00 |
| Ni | 73.36 | 0.00 | 1.46 | 12.70 | 83.80 | 0.00 | 1.70 | 14.50 |
| Cu | 11.95 | 68.00 | 16.97 | 0.88 | 12.20 | 69.50 | 17.30 | 0.90 |
| As | 0.00 | 19.76 | 27.67 | 1.69 | 0.00 | 40.20 | 56.30 | 3.40 |
| Cd | 13.06 | 6.43 | 117.04 | 0.00 | 9.60 | 4.70 | 85.70 | 0.00 |
| Pb | 30.00 | 7.83 | 19.26 | 7.54 | 46.40 | 12.10 | 29.80 | 11.70 |
| Zn | 9.07 | 54.08 | 0.00 | 32.07 | 9.50 | 56.80 | 0.00 | 33.70 |
| Mn | 16.62 | 0.00 | 12.30 | 219.49 | 6.70 | 0.00 | 5.00 | 88.40 |
| Heavy Metals | Adult | Children | Adult | Children | Hazard Index | |||||
|---|---|---|---|---|---|---|---|---|---|---|
| ADD (Ingestion) | ADD (Dermal) | ADD (Ingestion) | ADD (Dermal) | HQ (Ingestion) | HQ (Dermal) | HQ (Ingestion) | HQ (Dermal) | HI (Adult) | HI (Child) | |
| Cr | 63.00 | 0.57 | 0.63 | 1.31 | 21.00 | 7.56 | 0.21 | 17.47 | 28.56 | 17.68 |
| Ni | 39.25 | 0.07 | 0.40 | 0.16 | 1.96 | 0.09 | 0.02 | 0.20 | 2.05 | 0.22 |
| Cu | 46.16 | 0.42 | 0.46 | 0.96 | 1.15 | 0.05 | 0.01 | 0.12 | 1.2 | 0.13 |
| As | 46.37 | 0.42 | 0.47 | 0.96 | 154.56 | 1.46 | 1.56 | 3.38 | 156.02 | 4.94 |
| Cd | 37.27 | 0.34 | 0.38 | 0.78 | 74.53 | 11.18 | 0.75 | 25.84 | 85.71 | 26.59 |
| Pb | 28.62 | 0.03 | 0.29 | 0.06 | 20.44 | 0.06 | 0.21 | 0.14 | 20.5 | 0.35 |
| Zn | 98.00 | 0.09 | 0.99 | 0.20 | 0.33 | 0.01 | 0.11 | 0.09 | 0.34 | 0.20 |
| Mn | 86.32 | 0.78 | 0.87 | 1.80 | 3.60 | 0.81 | 0.04 | 1.87 | 4.41 | 1.91 |
| Heavy Metals | Adult | Children | Cancer Risk | |||
|---|---|---|---|---|---|---|
| CR ADD (Ingestion) | CR ADD (Dermal) | CR ADD (Ingestion) | CR ADD (Dermal) | CI (Adult) | CI (Children) | |
| Cr | 31.50 | 11.34 | 0.3171 | 26.2106 | 42.84 | 26.52 |
| Ni | 66.72 | 3.00 | 0.6716 | 6.9390 | 69.72 | 7.61 |
| As | 69.55 | 0.63 | 0.7001 | 1.4467 | 70.18 | 2.14 |
| Cd | 227.33 | 0.13 | 2.2882 | 0.2946 | 227.46 | 2.58 |
| Pb | 0.24 | 0.00 | 0.0024 | 0.0043 | 0.24 | 0.006 |
| Adult | ||||||
| Metals | Mean | SD | 5% | 50% | 75% | 95% |
| Cr | 39.54 | 30.40 | 26.51 | 38.53 | 44.96 | 56.32 |
| Ni | 70.50 | 45.26 | 37.13 | 66.09 | 84.40 | 117.55 |
| As | 73.43 | 47.02 | 38.76 | 68.82 | 87.05 | 123.67 |
| Cd | 239.00 | 141.83 | 117.16 | 221.22 | 288.57 | 424.42 |
| Pb | 0.29 | 0.16 | 0.13 | 0.27 | 0.35 | 0.52 |
| CRs | 422.76 | |||||
| Children | ||||||
| Cr | 27.40 | 18.84 | 15.83 | 26.12 | 32.17 | 42.99 |
| Ni | 6.07 | 3.73 | 3.06 | 5.65 | 7.29 | 10.47 |
| As | 2.74 | 1.55 | 1.28 | 2.49 | 3.32 | 4.97 |
| Cd | 3.23 | 1.73 | 1.41 | 2.93 | 3.95 | 6.08 |
| Pb | 0.86 | 0.35 | 0.29 | 0.74 | 1.08 | 1.84 |
| CRs | 39.45 | |||||
Disclaimer/Publisher’s Note: The statements, opinions and data contained in all publications are solely those of the individual author(s) and contributor(s) and not of MDPI and/or the editor(s). MDPI and/or the editor(s) disclaim responsibility for any injury to people or property resulting from any ideas, methods, instructions or products referred to in the content. |
© 2025 by the authors. Licensee MDPI, Basel, Switzerland. This article is an open access article distributed under the terms and conditions of the Creative Commons Attribution (CC BY) license (https://creativecommons.org/licenses/by/4.0/).
Share and Cite
Proshad, R.; Chandra, K.; Akash, P.B.; Ritu, S.A.; Khan, M.S.U.; Dey, H.C.; Sarker, J.; Baroi, A.; Idris, A.M. An Overview of Metal(oid) Pollution, Sources, and Probabilistic Health Risk Evaluations Based on a Monte Carlo Simulation of Surface River Water in a Developing Country. Water 2025, 17, 630. https://doi.org/10.3390/w17050630
Proshad R, Chandra K, Akash PB, Ritu SA, Khan MSU, Dey HC, Sarker J, Baroi A, Idris AM. An Overview of Metal(oid) Pollution, Sources, and Probabilistic Health Risk Evaluations Based on a Monte Carlo Simulation of Surface River Water in a Developing Country. Water. 2025; 17(5):630. https://doi.org/10.3390/w17050630
Chicago/Turabian StyleProshad, Ram, Krishno Chandra, Pritom Bhowmik Akash, Sadia Afroz Ritu, Md Shihab Uddine Khan, Hridoy Chandra Dey, Joy Sarker, Artho Baroi, and Abubakr M. Idris. 2025. "An Overview of Metal(oid) Pollution, Sources, and Probabilistic Health Risk Evaluations Based on a Monte Carlo Simulation of Surface River Water in a Developing Country" Water 17, no. 5: 630. https://doi.org/10.3390/w17050630
APA StyleProshad, R., Chandra, K., Akash, P. B., Ritu, S. A., Khan, M. S. U., Dey, H. C., Sarker, J., Baroi, A., & Idris, A. M. (2025). An Overview of Metal(oid) Pollution, Sources, and Probabilistic Health Risk Evaluations Based on a Monte Carlo Simulation of Surface River Water in a Developing Country. Water, 17(5), 630. https://doi.org/10.3390/w17050630

